Silicon and Zinc Fertilizer Application Improves Grain Quality and Aroma in the japonica Rice Variety Nanjing 46
Abstract
1. Introduction
2. Materials and Methods
2.1. Experimental Material
2.2. Experimental Site
2.3. Experimental Treatment
2.4. Experimental Management
2.5. Determination Items of Parameters and Methods
2.5.1. Determination of Rice Quality
2.5.2. Determination of the RVA Profile Characteristics
2.5.3. Determination of the Taste of Cooked Rice
2.5.4. Determination of 2-AP
2.6. Data Analysis
3. Results
3.1. Effects of Silicon and Zinc Fertilizers on the Processing and Appearance Quality of Nanjing 46
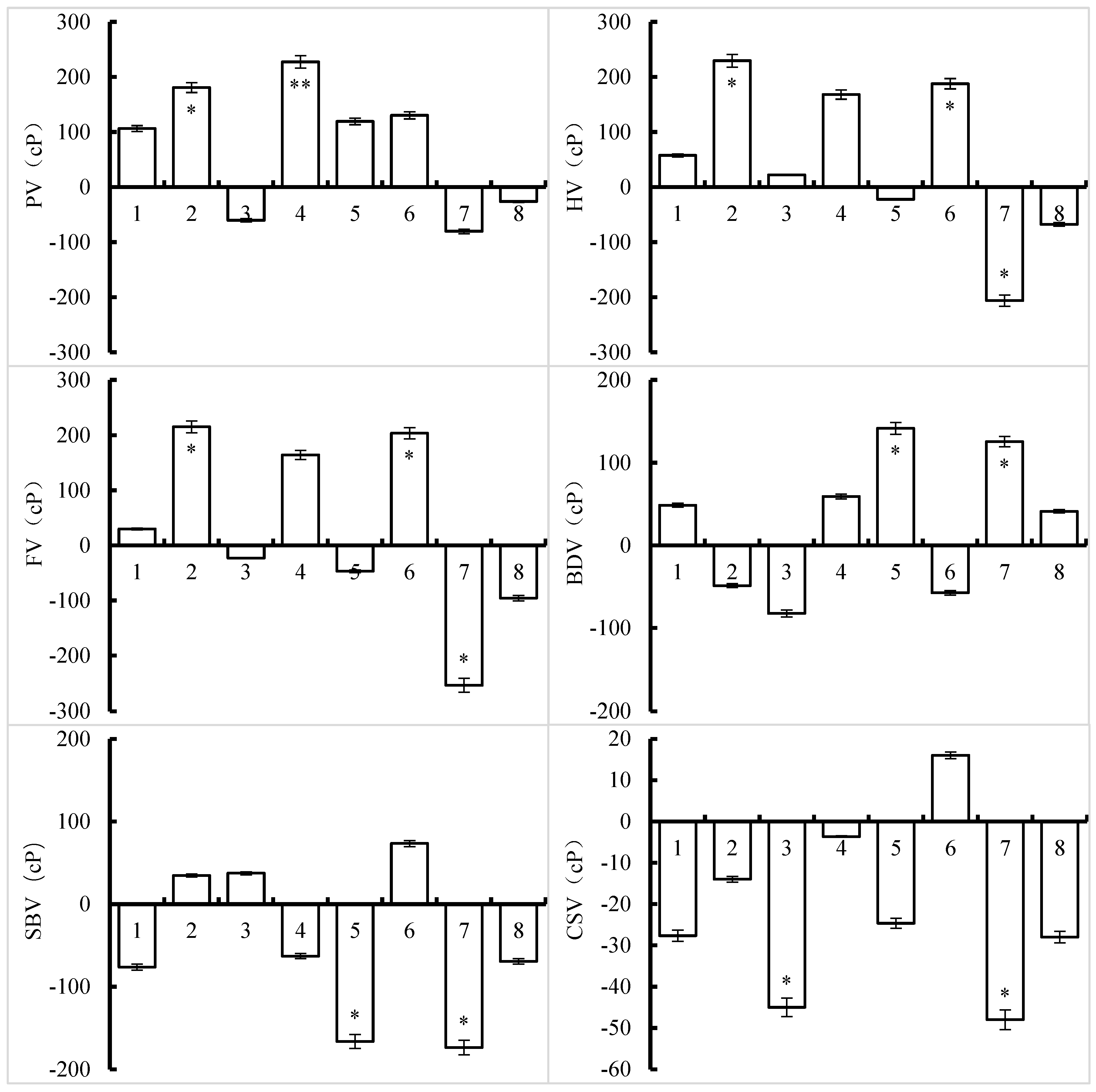
3.2. Effects of Silicon and Zinc Fertilizers on the RVA Profile of Nanjing 46
3.3. Effects of Silicon and Zinc Fertilizers on the Cooking Quality and Aroma of Nanjing 46
4. Discussion
5. Conclusions
Author Contributions
Funding
Institutional Review Board Statement
Informed Consent Statement
Data Availability Statement
Conflicts of Interest
Abbreviations
| AC | Amylose content | 
| ANOVA | Analysis of variance | 
| BDV | Breakdown viscosity | 
| cP | Centipoise | 
| CSV | Consistency viscosity | 
| FV | Final viscosity | 
| GC | Gel consistency | 
| GT | Gelatinization temperature | 
| HV | Hot viscosity | 
| MS | Mean Square | 
| PaT | Pasting temperature | 
| PC | Protein content | 
| PeT | Peak time | 
| PV | Peak viscosity | 
| RVA | Rapid Visco-analyzer | 
| SBV | Setback viscosity | 
| TV | Taste value | 
| 2-AP | 2-acetyl-1-pyrroline | 
References
- Sasaki, T.; Burr, B. International Rice Genome Sequencing Project: The effort to completely sequence the rice genome. Curr. Opin. Plant Biol. 2000, 3, 138–142. [Google Scholar] [CrossRef] [PubMed]
- Chen, S.H. Centennial development and Prospect of rice breeding in China. China Rice 2021, 27, 1–6, (In Chinese with English abstract). [Google Scholar]
- Wang, C.L. China Rice Varieties, Jiangsu Volume. In China Rice Varieties; Wan, J.M., Ed.; China Agricultural Press: Beijing, China, 2018; pp. 13–32. (In Chinese) [Google Scholar]
- Wang, C.L.; Zhang, Y.D.; Zhao, C.F.; Wei, X.D.; Yao, S.; Zhou, L.H.; Zhu, Z.; Chen, T.; Zhao, Q.Y.; Zhao, L.; et al. Inheritance and breeding of japonica rice with good eating quality in Jiangsu province. Hereditas 2021, 43, 442–458, (In Chinese with English abstract). [Google Scholar] [PubMed]
- Wang, C.L.; Zhang, Y.D.; Zhu, Z.; Zhao, C.F.; Wei, X.D.; Chen, T.; Zhao, Q.Y.; Zhao, L.; Yao, S.; Zhou, L.H.; et al. Development and application of quality standard for semi glutinous japonica rice with good taste. Jiangsu J. Agric. Sci. 2022, 38, 1–8, (In Chinese with English abstract). [Google Scholar]
- Dai, Q.Y.; Liu, D.H.; Wang, D.X.; Li, P.X.; Zhu, W.; Gui, J. A review on silicon: Effect on rice growth and its mechanism of relieving cadmium toxicity. Chin. Agric. Sci. Bull. 2020, 36, 86–92, (In Chinese with English abstract). [Google Scholar]
- Yang, B.; Jin, H.Y.; Tu, N.M.; Tian, M.C.; Tian, F.; Zhou, W.; Li, D.Y. Progress of researches on Zinc fertilizer application in rice. Tianjin Agric. Sci. 2018, 24, 47–50, 58, (In Chinese with English abstract). [Google Scholar]
- Alvarez, J.; Datnoff, L.E. The Economic potential of silicon for integrated management and sustainable rice production. Crop Prot. 2001, 20, 43–48. [Google Scholar] [CrossRef]
- Ding, N.F.; Guo, B.; Li, J.Q.; Lin, Y.C.; Liu, C.; Li, H.; Li, N.Y.; Fu, Q.L. Effects of nitrogen and silicon interaction on the nutrition and yield of rice. Chin. Agric. Sci. Bull. 2013, 29, 127–130. [Google Scholar]
- Zhang, G.L.; Dai, Q.G.; Wang, J.W.; Zhang, H.C.; Huo, Z.Y.; Ling, L.; Wang, Y.; Zhang, J. Effects of silicon fertilizer rate on yield and quality of japonica rice Wuyujing 3. Chin. J. Rice Sci. 2007, 21, 299–303, (In Chinese with English abstract). [Google Scholar]
- Deng, J.L.; Wang, A.P.; He, C.S.; Wang, A.B.; Xu, F.F. The effect of Si fertilizer on growth and development, yield and quality of rice. Guangdong Agric. Sci. 2011, 58–61, (In Chinese with English abstract). [Google Scholar]
- Luo, H.W.; Du, B.; He, L.X.; Pan, S.; Tang, X. Exogenous application of zinc (Zn) at the heading stage regulates 2-acetyl-1-pyrroline(2-AP) biosynthesis in different fragrant rice genotypes. Sci. Rep. 2019, 9, 19513. [Google Scholar] [CrossRef] [PubMed]
- Mo, Z.W.; Lei, S.; Umair, A.; Imran, K.; Li, Y.; Pan, S.G.; Duan, M.Y.; Tian, H.; Tang, X.R. Silicon fertilization modulates 2-acetyl-1-pyrroline content, yield formation and grain quality of aromatic rice. J. Cereal Sci. 2017, 75, 17–24, (In Chinese with English abstract). [Google Scholar] [CrossRef]
- Gao, D.; Chen, J.N.; Cai, K.Z.; Luo, S.M. Distribution and absorption of Si in plant and its role in plant disease resistance under environmental stress. Acta Ecol. Sin. 2010, 30, 2745–2755, (In Chinese with English abstract). [Google Scholar]
- Xue, G.F.; Sun, W.C.; Song, A.L.; Li, Z.J.; Fan, F.L.; Liang, Y.C. Influence of Si on rice growth, resistance to bacterial blight and activity of pathogenesis-related proteins. Sci. Agric. Sin. 2010, 43, 690–697, (In Chinese with English abstract). [Google Scholar]
- Wang, L.; Sun, Y.; Zhang, H.C.; Wei, H.Y.; Zhu, D.W.; Zhu, Y.; Xu, D.; Huo, Z.Y. Effect of Zn and Si fertilizers applied at different stages on yield and quality of japonica rice with good eating quality. Acta Agron. Sin. 2017, 43, 885–898, (In Chinese with English abstract). [Google Scholar] [CrossRef]
- Huang, J.X.; Xiao, D.; Duan, M.Y.; Tian, H.; Li, G.X.; Zhong, K.Y.; Tang, X.R. Effects of Different Applications of ZnCl2 on the Yield and Aroma Content of Aromatic Rice. North China Agric. Bull. 2008, 23, 290–292, (In Chinese with English abstract). [Google Scholar]
- Huang, J.X.; Xiao, D.; Tang, X.R. Effects of zinc application on yield, aroma and quality of fragrant rice. Tillage Cultiv. 2010, 5–7, (In Chinese with English abstract). [Google Scholar]
- Liu, X.W.; Huang, Z.L.; Li, Y.H.; Xie, W.J.; Li, W.; Tang, X.R.; Ashraf, U.; Kong, L.L.; Wu, L.M.; Wang, S.L.; et al. Selenium-silicon (Se-Si) induced modulations in physio-biochemical responses, grain yield, quality, aroma formation and lodging in fragrant rice. Ecotoxicol. Environ. Saf. 2020, 196, 110525, (In Chinese with English abstract). [Google Scholar] [CrossRef]
- Li, J.; Deng, X.L.; Zhu, X.M.; Guo, B.W.; Wei, H.Y.; Zhang, H.C. Effects of magnesium and zinc microelement fertilizer on the yield and accumulation of six elements of japonica rice. China Rice 2018, 24, 57–63, (In Chinese with English abstract). [Google Scholar]
- Zhang, L.; Chen, X.L.; Li, W.Q.; Chang, B.C.; Wang, S.; Gu, X.J.; Wang, X.J.; Wang, Y.F.; Wang, Y. Effects of leaf spraying high efficiency silicon fertilizer on yield and quality of rice. Mod. Agric. 2009, 18. (In Chinese) [Google Scholar]
- Shih, F.F. Rice proteins. In Rice: Chemistry and Technology, 3rd ed.; Champagne, E.T., Ed.; American Association of Cereal Chemists: St. Paul, MN, USA, 2004; pp. 143–162. [Google Scholar]
- Zhang, G.L. Effects of Silicon Fertilizer on Rice Yield and Quality and Resistance to Rice Sheath Blight. Master’s Thesis, Yangzhou University, Yangzhou, China, 2005. (In Chinese with English abstract). [Google Scholar]
- Shang, Q.Y.; Zhang, W.Z.; Han, Y.D.; Rong, R.; Xu, H.; Xu, Z.J.; Chen, W.F. Effect of Silicon Fertilizer Application on Yield and Grain Quality of japonica Rice from Northeast China. Chin. J. Rice Sci. 2009, 23, 661–664, (In Chinese with English abstract). [Google Scholar]
- Tang, X.R.; Wu, M. Effects of zinc, iron and lanthanum on rice quality and yield of fragrant rice. Hybrid Rice 2007, 22, 69–72, (In Chinese with English abstract). [Google Scholar]
- Wang, Y.M. Effects of Silicon on Growth, Yield and Quality of Rice. Master’s Thesis, Southwest University, Chongqing, China, 2007. (In Chinese with English abstract). [Google Scholar]
- Zhao, H.C.; Li, H.Y.; Chen, L.Q.; He, C.; Zhen, G.P.; Han, X.; He, W.C.; Zhou, Y.F. Effects of combined application of silicon and nitrogen on yield and lodging resistance of cold-region rice. Acta Agric. Shanghai 2018, 34, 36–42, (In Chinese with English abstract). [Google Scholar]
- Ding, W.M. Effects of Nano Silicon Preparation on Nutrient Absorption and Quality of Rice. Master’s Thesis, Northeast Agricultural University, Shenyang, China, 2015. (In Chinese with English abstract). [Google Scholar]



| Symbol | Treatment | 
|---|---|
| CK | no silicon and zinc fertilizer | 
| Si-B | soil topdressing silicon fertilizer | 
| Si-L | foliar spraying silicon fertilizer | 
| Zn-B | soil topdressing zinc fertilizer | 
| Zn-L | foliar spraying zinc fertilizer | 
| Si-B + Si-L | soil topdressing silicon fertilizer and foliar spraying silicon fertilizer | 
| Zn-B + Zn-L | soil topdressing zinc fertilizer and foliar spraying zinc fertilizer | 
| Si-B + Zn-B | soil topdressing silicon fertilizer and soil topdressing zinc fertilizer | 
| Si-L + Zn-L | foliar spraying silicon fertilizer and foliar spraying zinc fertilizer | 
| Source of Variance | df | Brown Rice (%) | Milled Rice (%) | Head Rice (%) | Chalky Grain (%) | Chalkiness (%) | ||||
| Repetition | 2 | 0.07 | 0.53 | 1.70 | 0.07 | 0.12 | ||||
| Year | 1 | 0.11 | 1.98 | 0.02 | 0.26 | 0.29 | ||||
| Treatment | 8 | 6.03 ** | 12.90 ** | 9.73 ** | 1.10 | 1.35 | ||||
| Year × treatment | 8 | 0.53 | 2.58 | 1.48 | 1.13 | 1.21 | ||||
| Source of variance | df | PV (cP) | HV (cP) | FV (cP) | BDV (cP) | SBV (cP) | CSV (cP) | PeT (min) | PaT (°C) | |
| Repetition | 2 | 0.35 | 0.27 | 0.28 | 0.21 | 0.38 | 0.77 | 0.33 | 1.42 | |
| Year | 1 | 0.23 | 0.96 | 0.62 | 0.83 | 0.51 | 0.02 | 0.19 | 0.08 | |
| Treatment | 8 | 6.51 ** | 6.89 ** | 4.10 ** | 7.64 ** | 4.52 ** | 6.66 ** | 7.21 ** | 3.00 * | |
| Year × treatment | 8 | 1.65 | 1.95 | 1.41 | 2.20 | 1.46 | 2.11 | 2.23 | 0.87 | |
| Source of variance | df | Appearance | Hardness | Stickiness | Balance | TV (Score) | PC (%) | AC (%) | GC (mm) | 2-AP (µg/g−1) | 
| Repetition | 2 | 2.99 | 1.15 | 2.10 | 2.87 | 0.21 | 3.91 * | 3.41 | 2.31 | 4.26 * | 
| Year | 1 | 0.46 | 0.38 | 0.15 | 0.53 | 0.01 | 6.51 * | 1.37 | 7.13 * | 76.68 ** | 
| Treatment | 8 | 2.14 | 2.97 | 1.86 | 2.29 | 6.83 ** | 1.30 | 7.77 ** | 14.15 ** | 1292.03 ** | 
| Year × treatment | 8 | 0.91 | 0.90 | 0.87 | 0.98 | 1.73 | 0.29 | 1.11 | 0.98 | 18.00 ** | 
| Treatment | Brown Rice (%) | Milled Rice (%) | Head Rice (%) | PV (cP) | HV (cP) | BDV (cP) | FV (cP) | SBV (cP) | 
| CK | 84.3 ± 0.1 ab | 75.9 ± 0.2 a | 59.5 ± 0.0 b | 2588 ± 3 bc | 1485 ± 62 abc | 1103 ± 65 ab | 2095 ± 87 ab | −493 ± 89 ab | 
| Si-B | 83.8 ± 0.3 bc | 75.5 ± 0.4 a | 58.9 ± 0.3 b | 2694 ± 78 abc | 1542 ± 41 abc | 1152 ± 119 ab | 2125 ± 32 ab | −570 ± 109 ab | 
| Si-L | 83.7 ± 0.1 bc | 75.4 ± 0.0 a | 61.8 ± 0.0 ab | 2769 ± 29 ab | 1714 ± 10 a | 1055 ± 39 ab | 2310 ± 13 a | −459 ± 41 ab | 
| Zn-B | 83.8 ± 0.2 bc | 75.5 ± 0.3 a | 61.9 ± 2.4 ab | 2528 ± 109 c | 1507 ± 157 abc | 1021 ± 47 b | 2072 ± 164 ab | −456 ± 54 ab | 
| Zn-L | 84.4 ± 0.0 ab | 76.0 ± 0.2 a | 63.6 ± 3.2 ab | 2815 ± 5 a | 1653 ± 23 ab | 1163 ± 18 ab | 2259 ± 23 a | −556 ± 17 ab | 
| Si-B + Si-L | 83.4 ± 0.0 c | 73.9 ± 1.2 b | 58.9 ± 1.8 b | 2707 ± 42 abc | 1462 ± 130 abc | 1245 ± 88 a | 2048 ± 136 ab | −660 ± 94 b | 
| Zn-B + Zn-L | 84.4 ± 0.2 ab | 75.9 ± 0.0 a | 65.8 ± 0.9 a | 2718 ± 11 abc | 1672 ± 34 ab | 1046 ± 23 ab | 2298 ± 39 a | −420 ± 28 a | 
| Si-B + Zn-B | 84.1 ± 0.1 ab | 75.7 ± 0.1 a | 65.1 ± 0.5 a | 2508 ± 168 c | 1279 ± 172 c | 1229 ± 4 a | 1841 ± 210 b | −667 ± 42 b | 
| Si-L + Zn-L | 84.6 ± 0.2 a | 76.4 ± 0.1 a | 66.2 ± 0.6 a | 2562 ± 39 bc | 1417 ± 114 bc | 1145 ± 75 ab | 1999 ± 115 ab | −563 ± 76 ab | 
| Treatment | CSV (cP) | PeT (min) | PaT (°C) | TV (Score) | AC (%) | GC (mm) | 2-AP (µg/g−1) | |
| CK | 610 ± 24 a | 6.2 ± 0.1 ab | 70.4 ± 0.6 b | 86.1 ± 0.1 c | 10.4 ± 0.2 abc | 84.3 ± 0.5 c | 0.1855 ± 0.0048 d | |
| Si-B | 582 ± 10 ab | 6.1 ± 0.1 b | 70.4 ± 0.5 b | 88.8 ± 0.3 ab | 10.3 ± 0.0 abcd | 93.7 ± 2.6 ab | 0.2465 ± 0.0027 bc | |
| Si-L | 596 ± 3 ab | 6.3 ± 0.1 ab | 71.3 ± 0.0 a | 89.3 ± 1.3 ab | 9.8 ± 0.0 cd | 88.7 ± 2.6 c | 0.1795 ± 0.0016 d | |
| Zn-B | 565 ± 7 b | 6.2 ± 0.1 ab | 71.2 ± 0.1 a | 88.6 ± 0.2 ab | 10.2 ± 0.0 bcd | 96.0 ± 0.7 a | 0.2345 ± 0.0080 bc | |
| Zn-L | 606 ± 0 a | 6.2 ± 0.0 ab | 70.7 ± 0.1 ab | 89.4 ± 0.4 ab | 10.9 ± 0.2 a | 94.0 ± 0.0 ab | 0.2815 ± 0.0090 a | |
| Si-B + Si-L | 585 ± 6 ab | 6.0 ± 0.2 b | 71.3 ± 0.6 a | 89.0 ± 0.7 ab | 9.6 ± 0.5 d | 90.0 ± 1.4 bc | 0.2300 ± 0.0085 c | |
| Zn-B + Zn-L | 626 ± 5 a | 6.4 ± 0.0 a | 70.2 ± 0.2 b | 90.6 ± 0.0 a | 10.5 ± 0.2 ab | 92.0 ± 1.4 abc | 0.2520 ± 0.0021 b | |
| Si-B + Zn-B | 562 ± 38 b | 6.0 ± 0.1 b | 71.5 ± 0.2 a | 88.9 ± 1.6 ab | 10.2 ± 0.2 bcd | 89.7 ± 1.2 bc | 0.2545 ± 0.0080 b | |
| Si-L + Zn-L | 582 ± 1 ab | 6.2 ± 0.0 ab | 71.0 ± 0.2 ab | 88.6 ± 0.6 b | 10.4 ± 0.2 abc | 91.3 ± 2.4 bc | 0.2545 ± 0.0080 b | |
| Comparison between Treatments | Brown Rice (%) | Milled Rice (%) | Head Rice (%) | PV (cP) | HV (cP) | FV (cP) | BDV (cP) | 
| Treatment and nontreatment (1) | −0.2 | −0.4 | 3.3 * | 75 | 46 | 24 | 29 | 
| Application of Si and Zn fertilizer (2) | −0.6 * | −0.9 * | −3.9 * | 36 | −38 | −49 | 74 | 
| Si-B and Zn-B | 0.0 | 0.0 | −3.0 | 167 * | 36 | 53 | 131 * | 
| Si-L and Zn-L | −0.6 ** | −0.6 | −1.8 | −47 | 61 | 51 | −108 | 
| Si-B + Si-L and Zn-B + Zn-L | −1.0 * | −2.0 ** | −7.0 ** | −11 | −210 * | −251 * | 199 ** | 
| Soil topdressing and foliar spraying (3) | −0.3 | −0.4 | −1.9 | −139 | −152 | −177 | 13 | 
| Si-B and Si-L | 0.1 | 0.1 | −2.9 | −74 | −172 | −185 | 97 | 
| Zn-B and Zn-L | −0.5 * | −0.5 | −1.7 | −288 ** | −146 | −187 | −142 * | 
| Si-B + Zn-B and Si-L + Zn-L | −0.5 * | −0.7 * | −1.1 | −54 | −138 | −158 | 84 | 
| Comparison between Treatments | SBV (cP) | CSV (cP) | TV (Score) | AC (%) | GC (mm) | 2-AP (µg/g−1) | |
| Treatment and nontreatment (1) | −50 | −22 | 3.0 ** | −0.2 | 7.6 ** | 0.0561 ** | |
| Application of Si and Zn fertilizer (2) | −85 | −11 | −0.5 | −0.6 | −3.2 * | −0.0373 ** | |
| Si-B and Zn-B | −114 | 17 | 0.1 | 0.1 | −2.3 | 0.0120 | |
| Si-L and Zn-L | 98 | −10 | −0.1 | −1.1 ** | −5.3 ** | −0.1020 ** | |
| Si-B + Si-L and Zn-B + Zn-L | −240 ** | −41 * | −1.6 | −0.9 ** | −2.0 | −0.0220 ** | |
| Soil topdressing and foliar spraying (3) | −38 | −25 | −0.3 | −0.2 | 1.8 | 0.0067 | |
| Si-B and Si-L | −111 | −14 | −0.5 | 0.5 * | 5.0 | 0.0670 ** | |
| Zn-B and Zn-L | 100 | −41 * | −0.8 | −0.8 ** | 2.0 | −0.0470 ** | |
| Si-B + Zn-B and Si-L + Zn-L | −104 | −20 | 0.3 | −0.2 | −1.7 | 0.0000 | |
| Disclaimer/Publisher’s Note: The statements, opinions and data contained in all publications are solely those of the individual author(s) and contributor(s) and not of MDPI and/or the editor(s). MDPI and/or the editor(s) disclaim responsibility for any injury to people or property resulting from any ideas, methods, instructions or products referred to in the content. | 
© 2024 by the authors. Licensee MDPI, Basel, Switzerland. This article is an open access article distributed under the terms and conditions of the Creative Commons Attribution (CC BY) license (https://creativecommons.org/licenses/by/4.0/).
Share and Cite
Wei, X.; Zhang, Y.; Song, X.; Zhao, L.; Zhao, Q.; Chen, T.; Lu, K.; Zhu, Z.; Huang, S.; Wang, C. Silicon and Zinc Fertilizer Application Improves Grain Quality and Aroma in the japonica Rice Variety Nanjing 46. Foods 2024, 13, 152. https://doi.org/10.3390/foods13010152
Wei X, Zhang Y, Song X, Zhao L, Zhao Q, Chen T, Lu K, Zhu Z, Huang S, Wang C. Silicon and Zinc Fertilizer Application Improves Grain Quality and Aroma in the japonica Rice Variety Nanjing 46. Foods. 2024; 13(1):152. https://doi.org/10.3390/foods13010152
Chicago/Turabian StyleWei, Xiaodong, Yadong Zhang, Xuemei Song, Ling Zhao, Qingyong Zhao, Tao Chen, Kai Lu, Zhen Zhu, Shengdong Huang, and Cailin Wang. 2024. "Silicon and Zinc Fertilizer Application Improves Grain Quality and Aroma in the japonica Rice Variety Nanjing 46" Foods 13, no. 1: 152. https://doi.org/10.3390/foods13010152
APA StyleWei, X., Zhang, Y., Song, X., Zhao, L., Zhao, Q., Chen, T., Lu, K., Zhu, Z., Huang, S., & Wang, C. (2024). Silicon and Zinc Fertilizer Application Improves Grain Quality and Aroma in the japonica Rice Variety Nanjing 46. Foods, 13(1), 152. https://doi.org/10.3390/foods13010152
 
        


 
       