Changes in Human Colonic Microbiota Promoted by Synbiotic Açai Juice Composed of Gluco-Oligosaccharides, Dextran, and Bifidobacterium breve NRRL B-41408
Abstract
1. Introduction
2. Materials and Methods
2.1. Synbiotic Açai Juice
2.2. Determination of the B. breve NRRL B-41408 Viability
2.3. B. breve NRRL B-41408 Survival During In-Vitro-Simulated Digestion
2.4. Fecal Samples
2.5. Fecal Fermentation
2.6. Dextran Quantification
2.7. Analysis of Gluco-Oligosaccharides Degree of Polymerization Using Thin Layer Chromatography and Densitometry
2.8. Sugar, Organic Acids, and SCFA Determination
2.9. DNA Extraction through 16S rRNA Gene Sequencing
2.10. Statistical Analysis
3. Results and Discussion
3.1. Synbiotic Açai Juice: Production by Fermentation and Storage
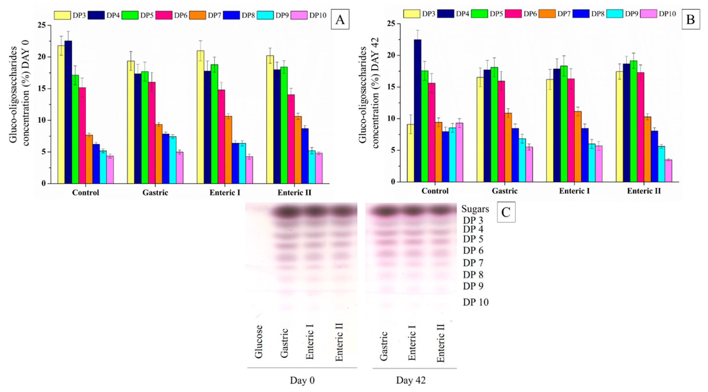
3.2. In-Vitro-Simulated Digestion
3.3. Human Fecal Microbiota Fermentation
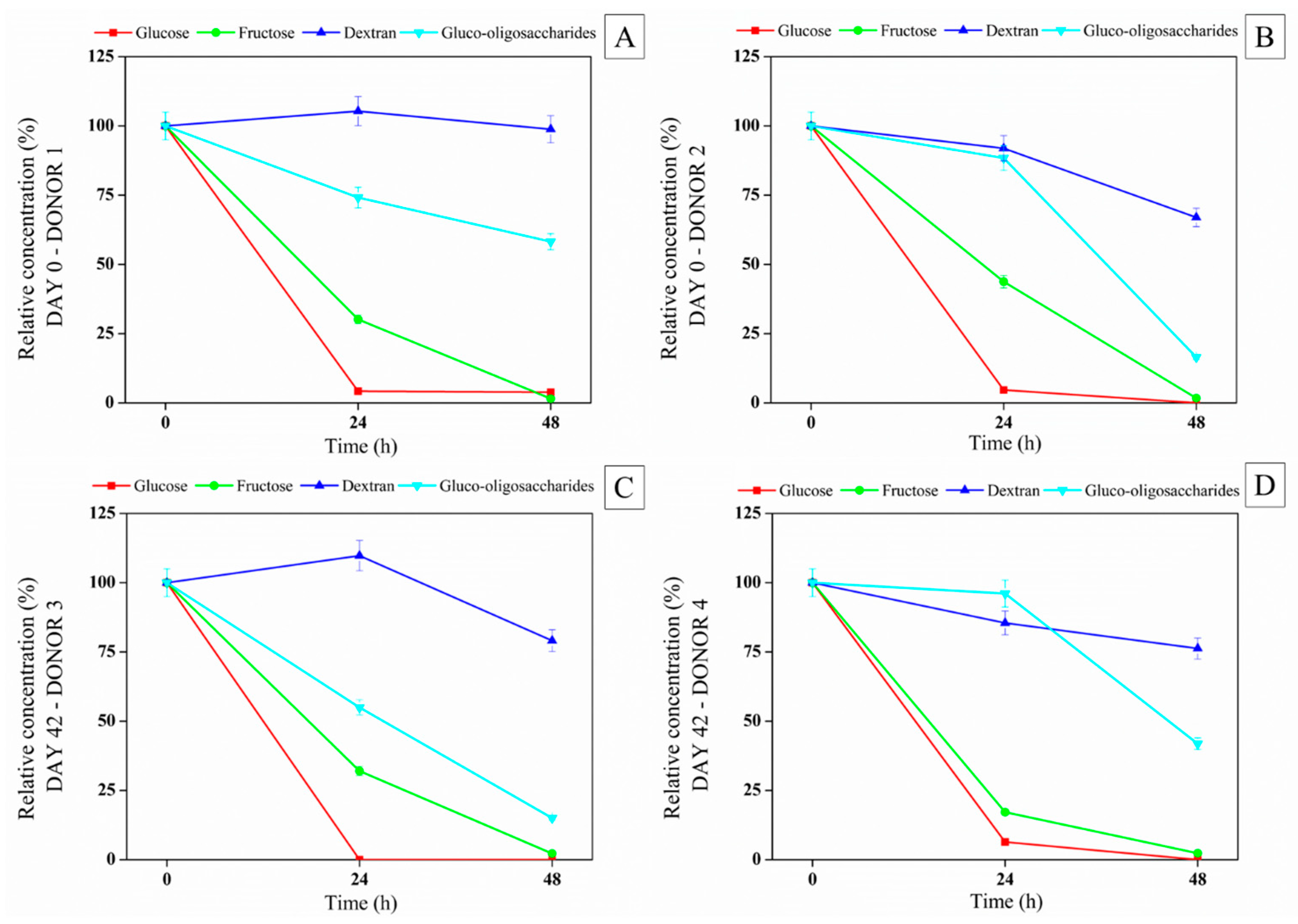
3.3.1. Sugar Consumption
3.3.2. Organic Acids and SCFA Production
3.3.3. Relative Abundance
3.3.4. Diversity and Richness
4. Conclusions
Author Contributions
Funding
Institutional Review Board Statement
Informed Consent Statement
Data Availability Statement
Acknowledgments
Conflicts of Interest
References
- Swanson, K.S.; Gibson, G.R.; Hutkins, R.; Reimer, R.A.; Reid, G.; Verbeke, K.; Scott, K.P.; Holscher, H.D.; Azad, M.B.; Delzenne, N.M.; et al. The International Scientific Association for Probiotics and Prebiotics (ISAPP) Consensus Statement on the Definition and Scope of Synbiotics. Nat. Rev. Gastroenterol. Hepatol. 2020, 17, 687–701. [Google Scholar] [CrossRef] [PubMed]
- Wang, Z.; Feng, Y.; Yang, N.; Jiang, T.; Xu, H.; Lei, H. Fermentation of Kiwifruit Juice from Two Cultivars by Probiotic Bacteria: Bioactive Phenolics, Antioxidant Activities and Flavor Volatiles. Food Chem. 2022, 373, 131455. [Google Scholar] [CrossRef] [PubMed]
- Freitas, H.V.; Dos Santos Filho, A.L.; Rodrigues, S.; Abreu, V.K.G.; Narain, N.; Lemos, T.D.O.; Gomes, W.F.; Pereira, A.L.F. Synbiotic Açaí Juice (Euterpe Oleracea) Containing Sucralose as Noncaloric Sweetener: Processing Optimization, Bioactive Compounds, and Acceptance during Storage. J. Food Sci. 2021, 86, 730–739. [Google Scholar] [CrossRef] [PubMed]
- de Godoy Alves Filho, E.; Rodrigues, T.H.S.; Fernandes, F.A.N.; Pereira, A.L.F.; Narain, N.; de Brito, E.S.; Rodrigues, S. Chemometric Evaluation of the Volatile Profile of Probiotic Melon and Probiotic Cashew Juice. Food Res. Int. 2017, 99, 461–468. [Google Scholar] [CrossRef] [PubMed]
- Chen, C.; Lu, Y.; Yu, H.; Chen, Z.; Tian, H. Influence of 4 Lactic Acid Bacteria on the Flavor Profile of Fermented Apple JuiceInfluence of 4 Lactic Acid Bacteria. Food Biosci. 2019, 27, 30–36. [Google Scholar] [CrossRef]
- Li, T.; Jiang, T.; Liu, N.; Wu, C.; Xu, H.; Lei, H. Biotransformation of Phenolic Profiles and Improvement of Antioxidant Capacities in Jujube Juice by Select Lactic Acid Bacteria. Food Chem. 2021, 339, 127859. [Google Scholar] [CrossRef] [PubMed]
- Silva, R.M.d.; Henrique Campelo, P.; Rodrigues, S. In Vitro Viability of L. Casei B-442 and Fructooligosaccharides Integrity in Amazonian Sapota-Do-Solimões Functional Juice. Food Res. Int. 2022, 154, 111036. [Google Scholar] [CrossRef] [PubMed]
- Costa, G.T.; Vasconcelos, Q.D.J.S.; Aragão, G.F. Fructooligosaccharides on Inflammation, Immunomodulation, Oxidative Stress, and Gut Immune Response: A Systematic Review. Nutr. Rev. 2022, 80, 709–722. [Google Scholar] [CrossRef]
- Kim, M.; Jang, J.K.; Park, Y.S. Production Optimization, Structural Analysis, and Prebiotic-and Anti-Inflammatory Effects of Gluco-Oligosaccharides Produced by Leuconostoc Lactis Sbc001. Microorganisms 2021, 9, 200. [Google Scholar] [CrossRef] [PubMed]
- da Silva, R.M.; Santos, B.N.; da Silva Oliveira, F.A.; Filho, E.G.A.; Fonteles, T.V.; Campelo, P.H.; Rodrigues, S. Synbiotic Sapota-Do-Solimões (Quararibea Cordata Vischer) Juice Improves Gut Microbiota and Short-Chain Fatty Acid Production in an In Vitro Model. Probiotics Antimicrob. Proteins 2023. [Google Scholar] [CrossRef]
- Chang, L.; Wang, P.; Sun, S.; Shen, Z.; Jiang, X. A Synbiotic Marine Oligosaccharide Microcapsules for Enhancing Bifidobacterium Longum Survivability and Regulatory on Intestinal Probiotics. Int. J. Food Sci. Technol. 2021, 56, 362–373. [Google Scholar] [CrossRef]
- da Cruz Rodrigues, V.C.; da Silva, L.G.S.; Simabuco, F.M.; Venema, K.; Antunes, A.E.C. Survival, Metabolic Status and Cellular Morphology of Probiotics in Dairy Products and Dietary Supplement after Simulated Digestion. J. Funct. Foods 2019, 55, 126–134. [Google Scholar] [CrossRef]
- Da Cruz Rodrigues, V.C.; Rocha Faria Duque, A.L.; De Carvalho Fino, L.; Simabuco, F.M.; Sartoratto, A.; Cabral, L.; Noronha, M.F.; Sivieri, K.; Antunes, A.E.C. Modulation of the Intestinal Microbiota and the Metabolites Produced by the Administration of Ice Cream and a Dietary Supplement Containing the Same Probiotics. Br. J. Nutr. 2020, 124, 57–68. [Google Scholar] [CrossRef] [PubMed]
- Leite, A.K.F.; Santos, B.N.; Fonteles, T.V.; Rodrigues, S. Cashew Apple Juice Containing Gluco-Oligosaccharides, Dextran, and Tagatose Promotes Probiotic Microbial Growth. Food Biosci. 2021, 42, 101080. [Google Scholar] [CrossRef]
- Silva do Nascimento, C.; Santos, B.N.; Rodrigues, S. High-Intensity Ultrasound Processed Acerola Juice Containing Oligosaccharides and Dextran Promotes Lacticaseibacillus Casei NRRL B-442 Growth. Int. J. Food Sci. Technol. 2022, 57, 5186–5194. [Google Scholar] [CrossRef]
- Barbosa, J.R.; de Carvalho Junior, R.N. Food Sustainability Trends-How to Value the Açaí Production Chain for the Development of Food Inputs from Its Main Bioactive Ingredients? Trends Food Sci. Technol. 2022, 124, 86–95. [Google Scholar] [CrossRef]
- Florence Rios Serra. CONAB-Companhia Nacional de Abastecimento. Análise Mensal (Açaí-Fruto) 2019. Análise Mens. (Açaí-Fruto) 2019 2020. Available online: https://www.conab.gov.br/info-agro/analises-do-mercado-agropecuario-e-extrativista/analises-do-mercado/historico-mensal-de-acai (accessed on 24 November 2024).
- Companhia Nacional do Abastecimento. Boletim Da Sociobiodiversidade; Companhia Nacional do Abastecimento: Brasília, Brazil, 2022; Volume 6. [Google Scholar]
- Carvalho, A.V.; da Silveira, T.F.F.; Mattietto, R.d.A.; de Oliveira, M.D.S.P.; Godoy, H.T. Chemical Composition and Antioxidant Capacity of Açaí (Euterpe Oleracea) Genotypes and Commercial Pulps. J. Sci. Food Agric. 2016, 97, 1467–1474. [Google Scholar] [CrossRef]
- Curimbaba, T.F.S.; Almeida-Junior, L.D.; Chagas, A.S.; Quaglio, A.E.V.; Herculano, A.M.; Di Stasi, L.C. Prebiotic, Antioxidant and Anti-Inflammatory Properties of Edible Amazon Fruits. Food Biosci. 2020, 36, 100599. [Google Scholar] [CrossRef]
- Xiao, M.; Zhang, C.; Duan, H.; Narbad, A.; Zhao, J.; Chen, W.; Zhai, Q.; Yu, L.; Tian, F. Cross-Feeding of Bifidobacteria Promotes Intestinal Homeostasis: A Lifelong Perspective on the Host Health. npj Biofilms Microbiomes 2024, 10, 47. [Google Scholar] [CrossRef]
- Karoline Ferreira Leite, A.; Vidal Fonteles, T.; Godoy Alves Filho, E.; Andrea da Silva Oliveira, F.; Rodrigues, S. Impact of Orange Juice Containing Potentially Prebiotic Ingredients on Human Gut Microbiota Composition and Its Metabolites. Food Chem. 2023, 405, 134706. [Google Scholar] [CrossRef]
- Lo Curto, A.; Pitino, I.; Mandalari, G.; Richard, J.; Martin, R.; Sean, M.; Wickham, J. Survival of Probiotic Lactobacilli in the Upper Gastrointestinal Tract Using an in Vitro Gastric Model of Digestion. Food Microbiol. 2011, 28, 1359–1366. [Google Scholar] [CrossRef]
- Martinez, R.C.R.; Aynaou, A.; Albrecht, S.; Schols, H.A.; De Martinis, E.C.; Zoetendal, E.G.; Venema, K.; Saad, S.M.I.; Smidt, H. International Journal of Food Microbiology In Vitro Evaluation of Gastrointestinal Survival of Lactobacillus Amylovorus DSM 16698 Alone and Combined with Galactooligosaccharides, Milk and / or Bi Fi Dobacterium Animalis Subsp. Lactis Bb-12. Int. J. Food Microbiol. 2011, 149, 152–158. [Google Scholar] [CrossRef] [PubMed]
- Minekus, M.; Alminger, M.; Alvito, P.; Ballance, S.; Bohn, T.; Bourlieu, C.; Carrière, F.; Boutrou, R.; Corredig, M.; Dupont, D.; et al. A Standardised Static in Vitro Digestion Method Suitable for Food-an International Consensus. Food Funct. 2014, 5, 1113–1124. [Google Scholar] [CrossRef] [PubMed]
- Fox, J.D.; Robyt, J.F. Miniaturization of Three Carbohydrate Analyses Using a Microsample Plate Reader. Anal. Biochem. 1991, 195, 93–96. [Google Scholar] [CrossRef]
- de Araujo Pereira, A.P.; Mendes, L.W.; Oliveira, F.A.S.; Antunes, J.E.L.; Melo, V.M.M.; Araujo, A.S.F. Land Degradation Affects the Microbial Communities in the Brazilian Caatinga Biome. CATENA 2022, 211, 105961. [Google Scholar] [CrossRef]
- Chao, A.; Bunge, J. Estimating the Number of Species in a Stochastic Abundance Model. Biometrics 2002, 58, 531–539. [Google Scholar] [CrossRef] [PubMed]
- Shannon, C.E. A Mathematical Theory of Communication. Bell Syst. Tech. J. 1948, 27, 379–423. [Google Scholar] [CrossRef]
- Nishida, C.; Uauy, R.; Kumanyika, S.; Shetty, P. The Joint WHO/FAO Expert Consultation on Diet, Nutrition and the Prevention of Chronic Diseases: Process, Product and Policy Implications. Public Health Nutr. 2004, 7, 245–250. [Google Scholar] [CrossRef]
- NDA. Scientific Opinion on Dietary Reference Values for Carbohydrates and Dietary Fibre. EFSA J. 2010, 8, 77. [Google Scholar] [CrossRef]
- Parhi, P.; Song, K.P.; Choo, W.S. Effect of Prebiotic Supplementation on the Low-Temperature Storage Stability and in Vitro Gastrointestinal Tolerance of Bifidobacterium Breve and Bifidobacterium Longum in Lactose and Sucrose Systems. Bioact. Carbohydr. Diet. Fibre 2023, 30, 100369. [Google Scholar] [CrossRef]
- Achi, S.C.; Halami, P.M. Bifidobacterial Probiotics through Fermented Foods. In Mining of Microbial Wealth and MetaGenomics; Springer: Singapore, 2017; pp. 267–285. [Google Scholar] [CrossRef]
- Zhao, C.; Dong, H.; Zhang, Y.; Li, Y. Discovery of Potential Genes Contributing to the Biosynthesis of Short-Chain Fatty Acids and Lactate in Gut Microbiota from Systematic Investigation in E. coli. npj Biofilms Microbiomes 2019, 5, 19. [Google Scholar] [CrossRef] [PubMed]
- Markowiak-Kopeć, P.; Śliżewska, K. The Effect of Probiotics on the Production of Short-Chain Fatty Acids by Human Intestinal Microbiome. Nutrients 2020, 12, 1107. [Google Scholar] [CrossRef]
- Xavier-Santos, D.; Bedani, R.; Lima, E.D.; Saad, S.M.I. Impact of Probiotics and Prebiotics Targeting Metabolic Syndrome. J. Funct. Foods 2020, 64, 103666. [Google Scholar] [CrossRef]
- Moussavi, M.; Barouei, J.; Evans, C.; Adams, M.C.; Baines, S. Viability and In Vitro Gastrointestinal Transit Tolerance of Multispecies Probiotic Combinations Incorporated into Orange Juice and Drinking Water. Foods 2023, 12, 2249. [Google Scholar] [CrossRef]
- Hill, C.; Guarner, F.; Reid, G.; Gibson, G.R.; Merenstein, D.J.; Pot, B.; Morelli, L.; Canani, R.B.; Flint, H.J.; Salminen, S.; et al. Expert Consensus Document: The International Scientific Association for Probiotics and Prebiotics Consensus Statement on the Scope and Appropriate Use of the Term Probiotic. Nat. Rev. Gastroenterol. Hepatol. 2014, 11, 506–514. [Google Scholar] [CrossRef]
- Wendel, U. Assessing Viability and Stress Tolerance of Probiotics—A Review. Front. Microbiol. 2022, 12, 818468. [Google Scholar] [CrossRef]
- Kaewarsar, E.; Chaiyasut, C.; Lailerd, N.; Makhamrueang, N.; Peerajan, S.; Sirilun, S. Effects of Synbiotic Lacticaseibacillus Paracasei, Bifidobacterium Breve, and Prebiotics on the Growth Stimulation of Beneficial Gut Microbiota. Foods 2023, 12, 3847. [Google Scholar] [CrossRef] [PubMed]
- Saarela, M.; Virkajärvi, I.; Alakomi, H.L.; Sigvart-Mattila, P.; Mättö, J. Stability and Functionality of Freeze-Dried Probiotic Bifidobacterium Cells during Storage in Juice and Milk. Int. Dairy. J. 2006, 16, 1477–1482. [Google Scholar] [CrossRef]
- Guo, S.; Sun, Y.; Wu, T.; Kwok, L.Y.; Sun, Z.; Wang, J.; Zhang, H. Co-Fermented Milk Beverage Has Better Stability and Contains More Health-Promoting Amino Acid Metabolites than Single-Strain-Fermented Milk Beverage over One-Month Storage. Food Chem. 2024, 430, 136840. [Google Scholar] [CrossRef] [PubMed]
- Hesam, F.; Tarzi, B.G.; Honarvar, M.; Jahadi, M. Valorization of Sugarcane Bagasse to High Value-Added Xylooligosaccharides and Evaluation of Their Prebiotic Function in a Synbiotic Pomegranate Juice. Biomass Convers. Biorefin. 2023, 13, 787–799. [Google Scholar] [CrossRef]
- Cielecka-Piontek, J.; Dziedziński, M.; Szczepaniak, O.; Kobus-Cisowska, J.; Telichowska, A.; Szymanowska, D. Survival of Commercial Probiotic Strains and Their Effect on Dark Chocolate Synbiotic Snack with Raspberry Content during the Storage and after Simulated Digestion. Electron. J. Biotechnol. 2020, 48, 62–71. [Google Scholar] [CrossRef]
- Langa, S.; Peirotén, A.; Gaya, P.; Garde, S.; Arqués, J.L.; Nuñez, M.; Medina, M.; Rodríguez-Mínguez, E. Human Bifidobacterium Strains as Adjunct Cultures in Spanish Sheep Milk Cheese. J. Dairy. Sci. 2020, 103, 7695–7706. [Google Scholar] [CrossRef]
- Kothari, D.; Tingirikari, J.M.R.; Goyal, A. In Vitro Analysis of Dextran from Leuconostoc Mesenteroides NRRL B-1426 for Functional Food Application. Bioact. Carbohydr. Diet. Fibre 2015, 6, 55–61. [Google Scholar] [CrossRef]
- Kim, G.; Bae, J.H.; Cheon, S.; Lee, D.H.; Kim, D.H.; Lee, D.; Park, S.H.; Shim, S.; Seo, J.H.; Han, N.S. Prebiotic Activities of Dextran from Leuconostoc Mesenteroides SPCL742 Analyzed in the Aspect of the Human Gut Microbial Ecosystem. Food Funct. 2022, 13, 1256–1267. [Google Scholar] [CrossRef] [PubMed]
- Grimoud, J.; Durand, H.; Courtin, C.; Monsan, P.; Ouarné, F.; Theodorou, V.; Roques, C. In Vitro Screening of Probiotic Lactic Acid Bacteria and Prebiotic Glucooligosaccharides to Select Effective Synbiotics. Anaerobe 2010, 16, 493–500. [Google Scholar] [CrossRef] [PubMed]
- Lu, Y.; Zhang, Y.; Zhao, X.; Shang, C.; Xiang, M.; Li, L.; Cui, X. Microbiota-Derived Short-Chain Fatty Acids: Implications for Cardiovascular and Metabolic Disease. Front. Cardiovasc. Med. 2022, 9, 900381. [Google Scholar] [CrossRef]
- Pan, L.; Han, Y.; Zhou, Z. In Vitro Prebiotic Activities of Exopolysaccharide from Leuconostoc Pseudomesenteroides XG5 and Its Effect on the Gut Microbiota of Mice. J. Funct. Foods 2020, 67, 103853. [Google Scholar] [CrossRef]
- Díaz, R.; Garrido, D. Screening Competition and Cross-Feeding Interactions during Utilization of Human Milk Oligosaccharides by Gut Microbes. Microbiome Res. Rep. 2024, 3, 12. [Google Scholar] [CrossRef] [PubMed]
- Chen, C.; Li, T.; Chen, G.; Chen, D.; Peng, Y.; Hu, B.; Sun, Y.; Zeng, X. Prebiotic Effect of Sialylated Immunoglobulin G on Gut Microbiota of Patients with Inflammatory Bowel Disease by in Vitro Fermentation. Food Biosci. 2023, 52, 102393. [Google Scholar] [CrossRef]
- Baldelli, V.; Scaldaferri, F.; Putignani, L.; Del Chierico, F. The Role of Enterobacteriaceae in Gut Microbiota Dysbiosis in Inflammatory Bowel Diseases. Microorganisms 2021, 9, 697. [Google Scholar] [CrossRef] [PubMed]
- Moreira de Gouveia, M.I.; Bernalier-Donadille, A.; Jubelin, G. Enterobacteriaceae in the Human Gut: Dynamics and Ecological Roles in Health and Disease. Biology 2024, 13, 142. [Google Scholar] [CrossRef] [PubMed]
- Guo, P.; Zhang, K.; Ma, X.; He, P. Clostridium Species as Probiotics: Potentials and Challenges. J. Anim. Sci. Biotechnol. 2020, 11, 24. [Google Scholar] [CrossRef] [PubMed]
- Sorbara, M.T.; Littmann, E.R.; Fontana, E.; Moody, T.U.; Kohout, C.E.; Gjonbalaj, M.; Eaton, V.; Seok, R.; Leiner, I.M.; Pamer, E.G. Functional and Genomic Variation between Human-Derived Isolates of Lachnospiraceae Reveals Inter- and Intra-Species Diversity. Cell Host Microbe 2020, 28, 134–146.e4. [Google Scholar] [CrossRef]
- Rahman, M.M.; Islam, M.R.; Shohag, S.; Ahasan, M.T.; Sarkar, N.; Khan, H.; Hasan, A.M.; Cavalu, S.; Rauf, A. Microbiome in Cancer: Role in Carcinogenesis and Impact in Therapeutic Strategies. Biomed. Pharmacother. 2022, 149, 112898. [Google Scholar] [CrossRef] [PubMed]
- Krawczyk, B.; Wityk, P.; Gałęcka, M.; Michalik, M. The Many Faces of Enterococcus Spp.—Commensal, Probiotic and Opportunistic Pathogen. Microorganisms 2021, 9, 1900. [Google Scholar] [CrossRef] [PubMed]
- Sharma, R.; Padwad, Y. Plant Polyphenol–Based Second-Generation Synbiotic Agents: Emerging Concepts, Challenges, and Opportunities. Nutrition 2020, 77, 110785. [Google Scholar] [CrossRef] [PubMed]
- Rau, M.; Rehman, A.; Dittrich, M.; Groen, A.K.; Hermanns, H.M.; Seyfried, F.; Beyersdorf, N.; Dandekar, T.; Rosenstiel, P.; Geier, A. Fecal SCFAs and SCFA-Producing Bacteria in Gut Microbiome of Human NAFLD as a Putative Link to Systemic T-Cell Activation and Advanced Disease. United Eur. Gastroenterol J. 2018, 6, 1496–1507. [Google Scholar] [CrossRef]
- Peng, Y.; Yan, Y.; Wan, P.; Chen, C.; Chen, D.; Zeng, X.; Cao, Y. Prebiotic Effects in Vitro of Anthocyanins from the Fruits of Lycium Ruthenicum Murray on Gut Microbiota Compositions of Feces from Healthy Human and Patients with Inflammatory Bowel Disease. LWT 2021, 149, 111829. [Google Scholar] [CrossRef]
- Liu, J.; Tan, Y.; Cheng, H.; Zhang, D.; Feng, W.; Peng, C. Functions of Gut Microbiota Metabolites, Current Status and Future Perspectives. Aging Dis. 2022, 13, 1106–1126. [Google Scholar] [CrossRef] [PubMed]
- Li, Y.; Faden, H.S.; Zhu, L. The Response of the Gut Microbiota to Dietary Changes in the First Two Years of Life. Front. Pharmacol. 2020, 11, 1–7. [Google Scholar] [CrossRef]










Disclaimer/Publisher’s Note: The statements, opinions and data contained in all publications are solely those of the individual author(s) and contributor(s) and not of MDPI and/or the editor(s). MDPI and/or the editor(s) disclaim responsibility for any injury to people or property resulting from any ideas, methods, instructions or products referred to in the content. |
© 2024 by the authors. Licensee MDPI, Basel, Switzerland. This article is an open access article distributed under the terms and conditions of the Creative Commons Attribution (CC BY) license (https://creativecommons.org/licenses/by/4.0/).
Share and Cite
Reges, B.M.; da Silva Oliveira, F.A.; Fonteles, T.V.; Rodrigues, S. Changes in Human Colonic Microbiota Promoted by Synbiotic Açai Juice Composed of Gluco-Oligosaccharides, Dextran, and Bifidobacterium breve NRRL B-41408. Foods 2024, 13, 4121. https://doi.org/10.3390/foods13244121
Reges BM, da Silva Oliveira FA, Fonteles TV, Rodrigues S. Changes in Human Colonic Microbiota Promoted by Synbiotic Açai Juice Composed of Gluco-Oligosaccharides, Dextran, and Bifidobacterium breve NRRL B-41408. Foods. 2024; 13(24):4121. https://doi.org/10.3390/foods13244121
Chicago/Turabian StyleReges, Bianca Mara, Francisca Andréa da Silva Oliveira, Thatyane Vidal Fonteles, and Sueli Rodrigues. 2024. "Changes in Human Colonic Microbiota Promoted by Synbiotic Açai Juice Composed of Gluco-Oligosaccharides, Dextran, and Bifidobacterium breve NRRL B-41408" Foods 13, no. 24: 4121. https://doi.org/10.3390/foods13244121
APA StyleReges, B. M., da Silva Oliveira, F. A., Fonteles, T. V., & Rodrigues, S. (2024). Changes in Human Colonic Microbiota Promoted by Synbiotic Açai Juice Composed of Gluco-Oligosaccharides, Dextran, and Bifidobacterium breve NRRL B-41408. Foods, 13(24), 4121. https://doi.org/10.3390/foods13244121

