Impact of Pressure on Arsenic Released from Pore Water in Clayey Sediment
Abstract
1. Introduction
2. Materials and Methods
2.1. Sample Collection
2.2. Experimental Method
2.3. Pore Water Analysis
3. Results
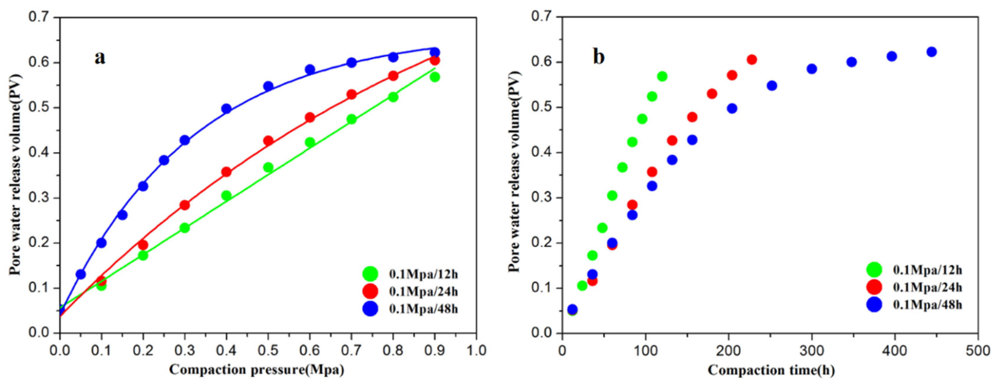
3.1. Pore Water Chemistry at Different Compaction Rates
3.2. Pore Water Chemistry under Different Compaction Patterns
4. Discussion
4.1. Pore Water Releases at Different Compaction Rates
4.2. Effect of Compaction Rate on As Release
4.3. Effect of Compaction Pattern on As Release
4.4. Connections between Physical Processes and As Release
5. Conclusions
Supplementary Materials
Author Contributions
Funding
Institutional Review Board Statement
Informed Consent Statement
Data Availability Statement
Acknowledgments
Conflicts of Interest
References
- Guo, H.; Wen, D.; Liu, Z.; Jia, Y.; Guo, Q. A review of high arsenic groundwater in Mainland and Tai-wan, China: Distribution, characteristics and geochemical processes. Appl. Geochem. 2014, 41, 196–217. [Google Scholar] [CrossRef]
- Pokhrel, Y.N.; Koirala, S.; Yeh, P.J.-F.; Hanasaki, N.; Longuevergne, L.; Kanae, S.; Oki, T. Incorpo-ration of groundwater pumping in a global Land Surface Model with the representation of human impacts. Water Resour. Res. 2015, 51, 78–96. [Google Scholar] [CrossRef]
- Podgorski, J.; Berg, M. Global threat of arsenic in groundwater. Science 2020, 368, 845–850. [Google Scholar] [CrossRef] [PubMed]
- Connolly, C.T.; Stahl, M.O.; DeYoung, B.A.; Bostick, B.C. Surface Flooding as a Key Driver of Groundwater Arsenic Contamination in Southeast Asia. Environ. Sci. Technol. 2021, 56, 928–937. [Google Scholar] [CrossRef] [PubMed]
- Shaji, E.; Santosh, M.; Sarath, K.; Prakash, P.; Deepchand, V.; Divya, B. Arsenic contamination of groundwater: A global synopsis with focus on the Indian Peninsula. Geosci. Front. 2021, 12, 101079. [Google Scholar] [CrossRef]
- Erban, L.E.; Gorelick, S.M.; Zebker, H.A.; Fendorf, S. Release of arsenic to deep groundwater in the Mekong Delta, Vietnam, linked to pumping-induced land subsidence. Proc. Natl. Acad. Sci. USA 2013, 110, 13751–13756. [Google Scholar] [CrossRef]
- Ahmad, A.; Bhattacharya, P. Arsenic in Drinking Water: Is 10 μg/L a Safe Limit? Curr. Pollut. Rep. 2019, 5, 1–3. [Google Scholar] [CrossRef]
- Ahmad, A.; van der Wens, P.; Baken, K.; de Waal, L.; Bhattacharya, P.; Stuyfzand, P. Arsenic reduction to <1 µg/L in Dutch drinking water. Environ. Int. 2019, 134, 105253. [Google Scholar] [CrossRef] [PubMed]
- Knappett, P.; Mailloux, B.; Choudhury, I.; Khan, M.; Michael, H.; Barua, S.; Mondal, D.; Steckler, M.; Akhter, S.; Ahmed, K.; et al. Vulnerability of low-arsenic aquifers to municipal pumping in Bangladesh. J. Hydrol. 2016, 539, 674–686. [Google Scholar] [CrossRef]
- Mihajlov, I.; Mozumder, M.R.H.; Bostick, B.C.; Stute, M.; Mailloux, B.J.; Knappett, P.S.K.; Choudhury, I.; Ahmed, K.M.; Schlosser, P.; Van Geen, A. Arsenic contamination of Bangladesh aquifers exacerbated by clay layers. Nat. Commun. 2020, 11, 2244–2249. [Google Scholar] [CrossRef]
- Bhowmik, T.; Sarkar, S.; Bhattacharya, A.; Mukherjee, A. A review of arsenic mitigation strategies in community water supplies with insights from South Asia: Options, opportunities and constraints. Environ. Sci. Water Res. Technol. 2022, 8, 2491–2520. [Google Scholar] [CrossRef]
- Hosono, T.; Nakano, T.; Shimizu, Y.; Onodera, S.-I.; Taniguchi, M. Hydrogeological constraint on nitrate and arsenic contamination in Asian metropolitan groundwater. Hydrol. Process. 2011, 25, 2742–2754. [Google Scholar] [CrossRef]
- Guo, H.; Zhang, Z.; Cheng, G.; Li, W.; Li, T.; Jiao, J.J. Groundwater-derived land subsidence in the North China Plain. Environ. Earth Sci. 2015, 74, 1415–1427. [Google Scholar] [CrossRef]
- Qian, H.; Chen, J.; Howard, K.W. Assessing groundwater pollution and potential remediation processes in a multi-layer aquifer system. Environ. Pollut. 2020, 263, 114669. [Google Scholar] [CrossRef] [PubMed]
- Cao, W.; Gao, Z.; Guo, H.; Pan, D.; Qiao, W.; Wang, S.; Ren, Y.; Li, Z. Increases in groundwater arsenic concentrations and risk under decadal groundwater withdrawal in the lower reaches of the Yellow River basin, Henan Province, China. Environ. Pollut. 2022, 296, 118741. [Google Scholar] [CrossRef]
- Khan, M.R.; Koneshloo, M.; Knappett, P.S.K.; Ahmed, K.M.; Bostick, B.; Mailloux, B.J.; Mozumder, R.; Zahid, A.; Harvey, C.; Van Geen, A.; et al. Megacity pumping and preferential flow threaten groundwater quality. Nat. Commun. 2016, 7, 12833. [Google Scholar] [CrossRef] [PubMed]
- Wang, X.-S.; Jiao, J.J.; Wang, Y.; Cherry, J.A.; Kuang, X.; Liu, K.; Lee, C.; Gong, Z. Accumulation and transport of ammonium in aquitards in the Pearl River Delta (China) in the last 10,000 years: Conceptual and numerical models. Appl. Hydrogeol. 2013, 21, 961–976. [Google Scholar] [CrossRef]
- Li, J.; Liang, X.; Jin, M.; Yang, J.; Ma, B.; Ge, Q. Origin and Evolution of Aquitard Porewater in the Western Coastal Plain of Bohai Bay, China. Groundwater 2017, 55, 917–925. [Google Scholar] [CrossRef]
- Du, Y.; Ma, T.; Xiao, C.; Liu, Y.; Chen, L.; Yu, H. Water-rock interaction during the diagenesis of mud and its prospect in hydrogeology. Int. Biodeterior. Biodegrad. 2018, 128, 141–147. [Google Scholar] [CrossRef]
- Ma, T.; Du, Y.; Ma, R.; Xiao, C.; Liu, Y. Review: Water–rock interactions and related eco-environmental effects in typical land subsidence zones of China. Appl. Hydrogeol. 2018, 26, 1339–1349. [Google Scholar] [CrossRef]
- Glodowska, M.; Stopelli, E.; Schneider, M.; Lightfoot, A.; Rathi, B.; Straub, D.; Patzner, M.; Duyen, V.T.; Berg, M.; Kleindienst, S.; et al. Role of in Situ Natural Organic Matter in Mobilizing As during Microbial Reduction of FeIII-Mineral-Bearing Aquifer Sediments from Hanoi (Vietnam). Environ. Sci. Technol. 2020, 54, 4149–4159. [Google Scholar] [CrossRef] [PubMed]
- Liu, Y.; Ma, T.; Chen, J.; Peng, Z. Compaction Simulator: A Novel Device for Pressure Experiments of Subsurface Sediments. J. Earth Sci. 2020, 31, 1045–1050. [Google Scholar] [CrossRef]
- Van Geen, A.; Bostick, B.C.; Trang, P.T.K.; Lan, V.M.; Mai, N.-N.; Manh, P.D.; Viet, P.H.; Radloff, K.; Aziz, Z.; Mey, J.L.; et al. Retardation of arsenic transport through a Pleistocene aquifer. Nature 2013, 501, 204–207. [Google Scholar] [CrossRef]
- Smith, R.; Knight, R.; Fendorf, S. Overpumping leads to California groundwater arsenic threat. Nat. Commun. 2018, 9, 1–6. [Google Scholar] [CrossRef]
- Mozumder, M.R.H.; Michael, H.A.; Mihajlov, I.; Khan, M.R.; Knappett, P.S.K.; Bostick, B.C.; Mailloux, B.J.; Ahmed, K.M.; Choudhury, I.; Koffman, T.; et al. Origin of Groundwater Arsenic in a Rural Pleistocene Aquifer in Bangladesh Depressurized by Distal Municipal Pumping. Water Resour. Res. 2020, 56, e2020WR027178. [Google Scholar] [CrossRef] [PubMed]
- Xiao, C.; Ma, T.; Du, Y. Arsenic releasing mechanisms during clayey sediments compaction: An experiment study. J. Hydrol. 2021, 597, 125743. [Google Scholar] [CrossRef]
- Zhang, Z.; Guo, H.; Zhao, W.; Liu, S.; Cao, Y.; Jia, Y. Influences of groundwater extraction on flow dy-namics and arsenic levels in the western Hetao Basin, Inner Mongolia, China. Hydrogeol. J. 2018, 26, 1499–1512. [Google Scholar] [CrossRef]
- Smith, R.G.; Majumdar, S. Groundwater Storage Loss Associated with Land Subsidence in West-ern US Mapped Using Machine Learning. Water Resour. Res. 2020, 56, e2019WR026621. [Google Scholar] [CrossRef]
- Liu, Y.; Liu, J.; Xia, X.; Bi, H.; Huang, H.; Ding, R.; Zhao, L. Land subsidence of the Yellow River Delta in China driven by river sediment compaction. Sci. Total. Environ. 2020, 750, 142165. [Google Scholar] [CrossRef]
- Rieke, H.; Chilingarian, G.V. Compaction of Argillaceous Sediments, Elsevier Scientific Publishing Company, Amsterdam, London and New York. Geol. Mag. 1974, 111, 474–475. [Google Scholar]
- Bjørlykke, K. An Overview of Factors Controlling Rates of Compaction, Fluid Generation and Flow in Sedimentary Basins. In Growth, Dissolution and Pattern Formation in Geosystems; Jamtveit, B., Meakin, P., Eds.; Springer: Dordrecht, The Netherlands; pp. 381–404. [CrossRef]
- Erban, L.E.; Gorelick, S.M.; Zebker, H.A. Groundwater extraction, land subsidence, and sea-level rise in the Mekong Delta, Vietnam. Environ. Res. Lett. 2014, 9, 084010. [Google Scholar] [CrossRef]
- Wallis, I.; Prommer, H.; Berg, M.; Siade, A.J.; Sun, J.; Kipfer, R. The river–groundwater interface as a hotspot for arsenic release. Nat. Geosci. 2020, 13, 288–295. [Google Scholar] [CrossRef]
- Tran, T.H.H.; Kim, S.H.; Jo, H.Y.; Chung, J.; Lee, S. Transient behavior of arsenic in vadose zone under alternating wet and dry conditions: A comparative soil column study. J. Hazard. Mater. 2022, 422, 126957. [Google Scholar] [CrossRef] [PubMed]
- Zheng, T.; Deng, Y.; Wang, Y.; Jiang, H.; Xie, X.; Gan, Y. Microbial sulfate reduction facilitates seasonal variation of arsenic concentration in groundwater of Jianghan Plain, Central China. Sci. Total Environ. 2020, 735, 139327. [Google Scholar] [CrossRef]
- Khan, M.U.; Rai, N. Arsenic and selected heavy metal enrichment and its health risk assessment in groundwater of the Haridwar district, Uttarakhand, India. Environ. Earth Sci. 2022, 81, 337. [Google Scholar] [CrossRef]
- Varkouhi, S.; Tosca, N.J.; Cartwright, J.A. Pore-water chemistry: A proxy for tracking the signature of ongoing silica diagenesis. J. Sediment Res. 2020, 90, 1037–1067. [Google Scholar] [CrossRef]
- Pathak, P.; Ghosh, P.; Banerjee, S.; Chatterjee, R.S.; Muzakkira, N.; Sikdar, P.K.; Ghosal, U.; Liang, M.-C.; Meeran, K. Relic surface water (clay-pore water) input triggers arsenic release into the shallow groundwater of Bengal aquifers. J. Earth Syst. Sci. 2022, 131, 1–17. [Google Scholar] [CrossRef]
- Liu, R.; Ma, T.; Qiu, W.; Du, Y.; Liu, Y. Effects of Fe oxides on organic carbon variation in the evolution of clayey aquitard and environmental significance. Sci. Total Environ. 2020, 701, 134776. [Google Scholar] [CrossRef]
- Postma, D.; Jessen, S.; Hue, N.T.M.; Duc, M.T.; Koch, C.B.; Viet, P.H.; Nhan, P.Q.; Larsen, F. Mobiliza-tion of arsenic and iron from Red River floodplain sediments, Vietnam. Geochim. Cosmochim. Acta 2010, 74, 3367–3381. [Google Scholar] [CrossRef]
- Mai, N.T.H.; Postma, D.; Trang, P.T.K.; Jessen, S.; Viet, P.H.; Larsen, F. Adsorption and desorption of arsenic to aquifer sediment on the Red River floodplain at Nam Du, Vietnam. Geochim. Cosmochim. Acta 2014, 142, 587–600. [Google Scholar] [CrossRef]
- Wang, Y.; Xie, X.; Ma, T.; Pi, K.; Su, C.; Liu, Y.; Li, J. Remediation of High Arsenic Aquifers by Learning from the Nature. Procedia Earth Planet. Sci. 2017, 17, 13–16. [Google Scholar] [CrossRef]
- Polizzotto, M.L.; Lineberger, E.M.; Matteson, A.R.; Neumann, R.B.; Badruzzaman, A.B.M.; Ali, M.A. Arsenic transport in irrigation water across rice-field soils in Bangladesh. Environ. Pollut. 2013, 179, 210–217. [Google Scholar] [CrossRef] [PubMed]
- Hu, P.; Li, Z.; Yuan, C.; Ouyang, Y.; Zhou, L.; Huang, J.; Huang, Y.; Luo, Y.; Christie, P.; Wu, L. Effect of water management on cadmium and arsenic accumulation by rice (Oryza sativa L.) with different metal accumulation capacities. J. Soils Sediments 2013, 13, 916–924. [Google Scholar] [CrossRef]
- Jiao, J.J.; Wang, Y.; Cherry, J.A.; Wang, X.; Zhi, B.; Du, H.; Wen, D. Abnormally High Ammonium of Natural Origin in a Coastal Aquifer-Aquitard System in the Pearl River Delta, China. Environ. Sci. Technol. 2010, 44, 7470–7475. [Google Scholar] [CrossRef] [PubMed]
- Hendry, M.J.; Wassenaar, L.I. Millennial-scale diffusive migration of solutes in thick clay-rich aquitards: Evidence from multiple environmental tracers. Hydrogeol. J. 2010, 19, 259–270. [Google Scholar] [CrossRef]
- Wang, Y.; Jiao, J.J.; Zhang, K.; Zhou, Y. Enrichment and mechanisms of heavy metal mobility in a coastal quaternary groundwater system of the Pearl River Delta, China. Sci. Total Environ. 2016, 545–546, 493–502. [Google Scholar] [CrossRef] [PubMed]
- Xue, X.; Li, J.; Xie, X.; Qian, K.; Wang, Y. Impacts of sediment compaction on iodine enrichment in deep aquifers of the North China Plain. Water Res. 2019, 159, 480–489. [Google Scholar] [CrossRef] [PubMed]
- Cigna, F.; Tapete, D. Present-day land subsidence rates, surface faulting hazard and risk in Mexico City with 2014–2020 Sentinel-1 IW InSAR. Remote. Sens. Environ. 2021, 253, 112161. [Google Scholar] [CrossRef]
- Qiu, W.; Ma, T.; Liu, R.; Du, Y. Variations in the mineral structures dominating solute mobilization during clay compaction. J. Hydrol. 2022, 610, 127843. [Google Scholar] [CrossRef]







| Group | Initial Pressure | Final Pressure | Compaction Rate |
|---|---|---|---|
| A | 0 MPa | 0.9 MPa | 0.1 MPa/12 h |
| B | 0 MPa | 0.9 MPa | 0.1 MPa/24 h |
| C | 0 MPa | 0.9 MPa | 0.1 MPa/48 h |
| D | 0 MPa | 0.9 MPa | 0.1 MPa/24 h at 0–0.4 Mpa, 0.1 MPa/12 h at 0.5–0.9Mpa |
| E | 0 MPa | 0.9 MPa | 0.1 MPa/12 h at 0–0.4 Mpa, 0.1 MPa/24 h at 0.5–0.9 Mpa |
| Sample | Eh | pH | EC | As | As(III) | DOC | Fe | Mn | NO3− | SO42− | Fe2+ | NH4-N |
|---|---|---|---|---|---|---|---|---|---|---|---|---|
| mV | μs/cm | μg/L | μg/L | mg/L | mg/L | mg/L | mg/L | mg/L | mg/L | mg/L | ||
| A-12 | −20.5 | 7.9 | 636 | 10.1 | 2.6 | 6.93 | 1.88 | 1.11 | 7.64 | 7.83 | 1.38 | 0.50 |
| A-24 | −87.5 | 7.82 | 666 | 16.1 | 7.3 | 8.30 | 2.38 | 1.31 | 7.47 | 6.50 | 1.13 | 1.00 |
| A-36 | −93.4 | 7.64 | 682 | 12.3 | 5.1 | 6.82 | 3.00 | 1.43 | 6.18 | 6.25 | 1.00 | 0.75 |
| A-48 | −90.6 | 7.65 | 682 | 11.4 | 3.6 | 6.30 | 2.63 | 1.52 | 6.24 | 5.78 | 1.00 | 0.88 |
| A-60 | −92.0 | 7.62 | 683 | 13.4 | 4.2 | 6.25 | 2.75 | 1.6 | 5.55 | 5.52 | 1.00 | 1.25 |
| A-72 | −92.7 | 7.73 | 676 | 13.9 | 3.6 | 6.17 | 3.25 | 1.62 | 5.88 | 5.87 | 1.00 | 1.50 |
| A-84 | −80.6 | 7.84 | 672 | 12.6 | 3.7 | 6.45 | 2.25 | 1.63 | 5.35 | 5.44 | 0.75 | 1.25 |
| A-96 | −91.3 | 7.97 | 673 | 10.9 | 2.9 | 6.37 | 2.75 | 1.67 | 4.93 | 5.00 | 0.75 | 1.00 |
| A-108 | −84.5 | 7.95 | 667 | 8.7 | 2.2 | 6.41 | 2.63 | 1.65 | 3.70 | 4.99 | 1.00 | 1.25 |
| A-120 | −66.3 | 8.01 | 615 | 7.6 | 2.0 | 6.58 | 2.13 | 1.64 | 2.46 | 4.87 | 1.00 | 1.25 |
| B-12 | −15.7 | 8.09 | 794 | 14.1 | 3.9 | 6.01 | 5.50 | 0.97 | 7.30 | 7.09 | 2.44 | 2.50 |
| B-36 | −73.2 | 7.74 | 832 | 26.9 | 11.9 | 6.88 | 5.51 | 1.05 | 5.86 | 6.11 | 2.44 | 1.75 |
| B-60 | −89.3 | 7.18 | 777 | 36.4 | 22.0 | 7.54 | 7.00 | 1.16 | 3.73 | 5.27 | 2.63 | 2.75 |
| B-84 | −91.1 | 7.47 | 851 | 30.0 | 17.3 | 6.98 | 7.50 | 1.15 | 2.61 | 5.54 | 3.19 | 2.25 |
| B-108 | −101.9 | 7.61 | 851 | 24.2 | 12.1 | 6.79 | 4.28 | 1.15 | 1.83 | 5.25 | 2.25 | 0.75 |
| B-132 | −91.6 | 7.59 | 844 | 22.7 | 12.3 | 6.22 | 6.25 | 1.13 | 1.66 | 5.20 | 2.81 | 1.25 |
| B-156 | −97.2 | 7.68 | 844 | 20.3 | 6.4 | 5.74 | 5.40 | 1.12 | 1.08 | 4.96 | 1.31 | 2.50 |
| B-180 | −97.9 | 7.89 | 840 | 23.9 | 7.1 | 5.87 | 6.00 | 1.11 | 0.57 | 3.56 | 1.31 | 2.00 |
| B-204 | −86.0 | 7.95 | 839 | 14.9 | 4.0 | 5.60 | 5.75 | 1.11 | 0.56 | 3.93 | 1.88 | 2.00 |
| B-228 | −97.4 | 7.98 | 842 | 11.1 | 3.3 | 5.75 | 4.28 | 1.09 | 0.32 | 3.03 | 1.69 | 1.75 |
| C-12 | −25.6 | 7.84 | 849 | 15.7 | 4.7 | 6.22 | 5.38 | 1.17 | 7.92 | 7.52 | 2.25 | 2.00 |
| C-36 | −91.6 | 7.87 | 860 | 28.4 | 11.6 | 6.79 | 6.63 | 1.14 | 6.48 | 6.16 | 4.00 | 1.25 |
| C-60 | −87.4 | 7.12 | 796 | 30.5 | 17.4 | 6.81 | 7.50 | 1.23 | 5.84 | 5.92 | 2.50 | 2.00 |
| C-84 | −102 | 7.52 | 843 | 23.4 | 12.2 | 6.74 | 4.88 | 1.23 | 2.48 | 5.23 | 2.00 | 1.75 |
| C-108 | −97.2 | 7.65 | 850 | 24.8 | 13.1 | 6.29 | 7.00 | 1.20 | 1.66 | 5.36 | 2.00 | 1.00 |
| C-132 | −95.8 | 7.65 | 835 | 19.6 | 10.4 | 6.27 | 6.38 | 1.18 | 0.65 | 5.29 | 3.50 | 2.00 |
| C-156 | −96.4 | 7.64 | 845 | 19.4 | 7.8 | 6.05 | 6.75 | 1.17 | 0.57 | 4.90 | 2.00 | 2.25 |
| C-204 | −98.9 | 7.79 | 842 | 21.1 | 8.0 | 6.18 | 6.13 | 1.16 | 0.55 | 3.94 | 1.50 | 1.25 |
| C-252 | −107.8 | 7.84 | 836 | 15.7 | 5.0 | 5.99 | 5.13 | 1.12 | 0.58 | 3.79 | 1.75 | 1.25 |
| C-300 | −86.8 | 8.09 | 834 | 16.5 | 5.1 | 6.02 | 5.13 | 0.55 | 0.60 | 3.89 | 0.75 | 1.50 |
| C-348 | −92.5 | 8.23 | 815 | 13.2 | 3.6 | 6.16 | 2.00 | 0.55 | 0.50 | 3.42 | 1.00 | 1.50 |
| C-396 | −89.0 | 8.00 | 762 | 10.2 | 2.6 | 5.43 | 3.88 | 0.44 | 0.58 | 3.23 | 1.25 | 1.50 |
| C-444 | −76.6 | 7.89 | 764 | 6.7 | 1.3 | 5.52 | 2.30 | 0.41 | 0.52 | 3.52 | 1.60 | 1.25 |
| Sample | Eh | pH | As | As(III) | DOC | Fe | Mn | NO3− | SO42− | Fe2+ | NH4-N |
|---|---|---|---|---|---|---|---|---|---|---|---|
| mV | μg/L | μg/L | mg/L | mg/L | mg/L | mg/L | mg/L | mg/L | mg/L | ||
| D-12 | −18.9 | 7.94 | 16.8 | 4.4 | 5.97 | 5.25 | 0.88 | 7.21 | 7.95 | 2.25 | 0.50 |
| D-36 | −59.9 | 7.74 | 23.9 | 11.5 | 6.79 | 5.75 | 0.88 | 5.67 | 6.22 | 2.00 | 0.75 |
| D-60 | −94.0 | 7.23 | 32.1 | 17.2 | 6.90 | 6.50 | 0.93 | 3.04 | 6.02 | 1.50 | 1.25 |
| D-84 | −108.9 | 7.58 | 27.4 | 15.3 | 5.85 | 5.25 | 1.00 | 2.24 | 5.81 | 1.50 | 1.25 |
| D-108 | −97.5 | 7.53 | 27.9 | 13.4 | 5.71 | 4.75 | 1.02 | 1.46 | 5.76 | 2.25 | 1.25 |
| D-120 | −95.0 | 7.61 | 42.9 | 25.8 | 4.49 | 4.00 | 0.78 | 0.57 | 5.79 | 2.50 | 1.25 |
| D-132 | −91.4 | 7.71 | 47.4 | 21.5 | 4.99 | 3.75 | 0.59 | 0.51 | 5.33 | 1.75 | 1.00 |
| D-144 | −96.6 | 7.75 | 34.9 | 11.0 | 3.32 | 5.75 | 1.1 | 0.54 | 4.51 | 1.50 | 1.00 |
| D-156 | −88.9 | 7.73 | 37.0 | 11.3 | 2.21 | 4.50 | 1.09 | 0.58 | 4.75 | 2.75 | 1.25 |
| D-168 | −90.5 | 7.77 | 33.4 | 8.4 | 1.71 | 5.50 | 1.08 | 0.52 | 3.23 | 2.00 | 1.00 |
| E-12 | −18.1 | 7.91 | 10.8 | 2.9 | 6.67 | 2.00 | 0.91 | 8.21 | 7.12 | 1.25 | 2.50 |
| E-24 | −62.3 | 7.83 | 14.4 | 6.8 | 8.92 | 2.00 | 0.46 | 7.88 | 7.07 | 0.75 | 1.75 |
| E-36 | −75.0 | 7.67 | 12.8 | 5.4 | 6.95 | 2.00 | 0.98 | 5.91 | 6.83 | 1.00 | 2.75 |
| E-48 | −73.9 | 7.70 | 12.7 | 4.6 | 6.90 | 2.63 | 1.05 | 5.45 | 6.98 | 0.88 | 2.25 |
| E-60 | −85.6 | 7.74 | 13.7 | 4.7 | 6.95 | 2.25 | 1.06 | 5.77 | 7.00 | 1.00 | 0.75 |
| E-84 | −79.8 | 7.70 | 11.7 | 2.9 | 6.90 | 2.38 | 1.08 | 5.79 | 6.60 | 0.63 | 1.25 |
| E-108 | −76.3 | 7.82 | 9.8 | 2.4 | 6.94 | 1.88 | 1.13 | 4.83 | 6.39 | 0.75 | 2.50 |
| E-132 | −72.5 | 7.95 | 5.0 | 1.5 | 6.34 | 2.25 | 1.18 | 4.96 | 5.53 | 0.88 | 2.00 |
| E-156 | −77.4 | 7.93 | 5.0 | 1.3 | 6.56 | 2.00 | 1.18 | 3.12 | 5.48 | 0.63 | 2.00 |
| E-180 | −68.5 | 7.99 | 4.3 | 1.5 | 6.07 | 1.50 | 1.22 | 1.46 | 3.43 | 0.63 | 1.75 |
Publisher’s Note: MDPI stays neutral with regard to jurisdictional claims in published maps and institutional affiliations. |
© 2022 by the authors. Licensee MDPI, Basel, Switzerland. This article is an open access article distributed under the terms and conditions of the Creative Commons Attribution (CC BY) license (https://creativecommons.org/licenses/by/4.0/).
Share and Cite
Xiao, C.; Chen, Y.; Ma, T.; Xiong, W. Impact of Pressure on Arsenic Released from Pore Water in Clayey Sediment. Toxics 2022, 10, 738. https://doi.org/10.3390/toxics10120738
Xiao C, Chen Y, Ma T, Xiong W. Impact of Pressure on Arsenic Released from Pore Water in Clayey Sediment. Toxics. 2022; 10(12):738. https://doi.org/10.3390/toxics10120738
Chicago/Turabian StyleXiao, Cong, Yuzhu Chen, Teng Ma, and Wen Xiong. 2022. "Impact of Pressure on Arsenic Released from Pore Water in Clayey Sediment" Toxics 10, no. 12: 738. https://doi.org/10.3390/toxics10120738
APA StyleXiao, C., Chen, Y., Ma, T., & Xiong, W. (2022). Impact of Pressure on Arsenic Released from Pore Water in Clayey Sediment. Toxics, 10(12), 738. https://doi.org/10.3390/toxics10120738
