Oxidative Dissolution Process of Sphalerite in Fe2(SO4)3-O3 System: Implications for Heavy Metals Removal and Recovery
Abstract
1. Introduction
2. Materials and Methods
2.1. Materials
2.2. Dissolution Experiments
2.3. Analysis of the Residue Surface
2.4. Electrochemical Tests
3. Results and Discussion
3.1. Comparision of Sphalerite Leaching in Various Systems
3.1.1. Dissolution of Sphalerite
3.1.2. Role of Reactive Oxygen Species
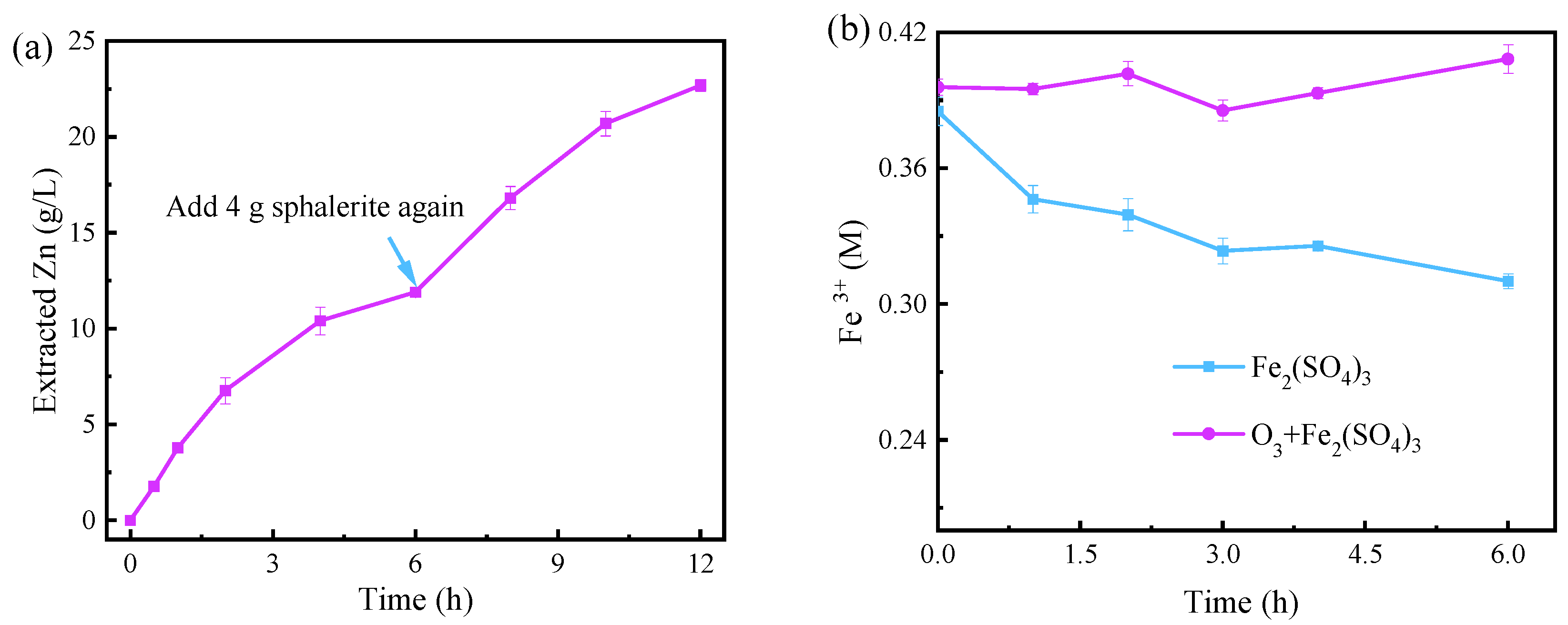
3.1.3. The Reuse of Leachate
3.2. The Effect of Different Dissolving Conditions on the Extracted Zinc
3.3. Properties of the Residue Surface
3.3.1. SEM Images and EDS
3.3.2. Spectral Properties
3.4. Electrochemical Characterization
3.5. Dissolution Kinetics
3.6. Possible Reaction Mechanisms
4. Conclusions
Author Contributions
Funding
Institutional Review Board Statement
Informed Consent Statement
Data Availability Statement
Acknowledgments
Conflicts of Interest
References
- Peleka, E.N.; Gallios, G.P.; Matis, K.A. A perspective on flotation: A review. J. Chem. Technol. Biotechnol. 2018, 93, 615–623. [Google Scholar] [CrossRef]
- Xie, X.-D.; Min, X.-B.; Chai, L.-Y.; Tang, C.-J.; Liang, Y.-J.; Li, M.; Ke, Y.; Chen, J.; Wang, Y. Quantitative evaluation of environmental risks of flotation tailings from hydrothermal sulfidation–flotation process. Environ. Sci. Pollut. Res. 2013, 20, 6050–6058. [Google Scholar] [CrossRef] [PubMed]
- Mahmoud, A.; Cézac, P.; Hoadley, A.F.A.; Contamine, F.; D’Hugues, P. A review of sulfide minerals microbially assisted leaching in stirred tank reactors. Int. Biodeterior. Biodegrad. 2017, 119, 118–146. [Google Scholar] [CrossRef]
- Romero-García, A.; Iglesias-González, N.; Romero, R.; Lorenzo-Tallafigo, J.; Mazuelos, A.; Carranza, F. Valorisation of a flotation tailing by bioleaching and brine leaching, fostering environmental protection and sustainable development. J. Clean. Prod. 2019, 233, 573–581. [Google Scholar] [CrossRef]
- Zhang, R.Y.; Hedrich, S.; Römer, F.; Goldmann, D.; Schippers, A. Bioleaching of cobalt from Cu/Co-rich sulfidic mine tailings from the polymetallic Rammelsberg mine, Germany. Hydrometallurgy 2020, 197, 105443. [Google Scholar] [CrossRef]
- Hubau, A.; Guezennec, A.G.; Joulian, C.; Falagán, C.; Dew, D.; Hudson-Edwards, K.A. Bioleaching to reprocess sulfidic polymetallic primary mining residues: Determination of metal leaching mechanisms. Hydrometallurgy 2020, 197, 105484. [Google Scholar] [CrossRef]
- Mäkinen, J.; Salo, M.; Khoshkhoo, M.; Sundkvist, J.E.; Kinnunen, P. Bioleaching of cobalt from sulfide mining tailings; a mini-pilot study. Hydrometallurgy 2020, 196, 105418. [Google Scholar] [CrossRef]
- Lorenzo-Tallafigo, J.; Iglesias-González, N.; Romero-García, A.; Mazuelos, A.; del Amo, P.R.; Romero, R.; Carranza, F. The reprocessing of hydrometallurgical sulphidic tailings by bioleaching: The extraction of metals and the use of biogenic liquors. Miner. Eng. 2022, 176, 107343. [Google Scholar] [CrossRef]
- Valdés, J.; Pedroso, I.; Quatrini, R.; Dodson, R.J.; Tettelin, H.; Blake, R.; Eisen, J.A.; Holmes, D.S. metabolism: From genome sequence to industrial applications. BMC Genom. 2008, 9, 597. [Google Scholar] [CrossRef]
- Markus, H.; Fugleberg, S.; Valtakari, D.; Salmi, T.; Murzin, D.Y.; Lahtinen, M. Reduction of ferric to ferrous with sphalerite concentrate, kinetic modelling. Hydrometallurgy 2004, 73, 269–282. [Google Scholar] [CrossRef]
- Aydogan, S.; Aras, A.; Canbazoglu, M. Dissolution kinetics of sphalerite in acidic ferric chloride leaching. Chem. Eng. J. 2005, 114, 67–72. [Google Scholar] [CrossRef]
- Nikkhou, F.; Xia, F.; Deditius, A.P. Variable surface passivation during direct leaching of sphalerite by ferric sulfate, ferric chloride, and ferric nitrate in a citrate medium. Hydrometallurgy 2019, 188, 201–215. [Google Scholar] [CrossRef]
- Lv, X.; Zhao, H.; Zhang, Y.; Yan, Z.; Zhao, Y.; Zheng, H.; Liu, W.; Xie, J.; Qiu, G. Active destruction of pyrite passivation by ozone oxidation of a biotic leaching system. Chemosphere 2021, 277, 130335. [Google Scholar] [CrossRef] [PubMed]
- Zeng, Z.; Zou, H.; Li, X.; Sun, B.; Chen, J.; Shao, L. Ozonation of Phenol with O3/Fe(II) in Acidic Environment in a Rotating Packed Bed. Ind. Eng. Chem. Res. 2012, 51, 10509–10516. [Google Scholar] [CrossRef]
- Vinals, J.; Juan, E.; Ruiz, M.; Ferrando, E.; Cruells, M.; Roca, A.; Casadao, J. Leaching of gold and palladium with aqueous ozone in dilute chloride media. Hydrometallurgy 2006, 81, 142–151. [Google Scholar] [CrossRef]
- Li, Q.; Li, D.; Qian, F. Pre-oxidation of high-sulfur and high-arsenic refractory gold concentrate by ozone and ferric ions in acidic media. Hydrometallurgy 2009, 97, 61–66. [Google Scholar] [CrossRef]
- Rodriguez-Rodriguez, C.; Nava-Alonso, F.; Uribe-Salas, A. Silver leaching from pyrargyrite oxidation by ozone in acid media. Hydrometallurgy 2014, 149, 168–176. [Google Scholar] [CrossRef]
- Tian, Q.; Wang, H.; Xin, Y.; Yang, Y.; Li, D.; Guo, X. Effect of selected parameters on stibnite concentrates leaching by ozone. Hydrometallurgy 2016, 165, 295–299. [Google Scholar] [CrossRef]
- Mubarok, M.Z.; Sukamto, K.; Ichlas, Z.T.; Sugiarto, A.T. Direct sulfuric acid leaching of zinc sulfide concentrate using ozone as oxidant under atmospheric pressure. Miner. Metall. Process. 2018, 35, 133–140. [Google Scholar] [CrossRef]
- Carrillo-Pedroza, F.R.; Nava-Alonso, F.; Uribe-Salas, A. Cyanide oxidation by ozone in cyanidation tailings: Reaction kinetics. Miner. Eng. 2000, 13, 541–548. [Google Scholar] [CrossRef]
- Gervais, M.; Dubuc, J.; Paquin, M.; Gonzalez-Merchan, C.; Genty, T.; Neculita, C.M. Comparative efficiency of three advanced oxidation processes for thiosalts oxidation in mine-impacted water. Miner. Eng. 2020, 152, 106349. [Google Scholar] [CrossRef]
- Wang, J.; Chen, H. Catalytic ozonation for water and wastewater treatment: Recent advances and perspective. Sci. Total Environ. 2020, 704, 135249. [Google Scholar] [CrossRef] [PubMed]
- Beltran, F.J.; Rivas, F.J.; Montero-de-Espinosa, R. Iron type catalysts for the ozonation of oxalic acid in water. Water Res. 2005, 39, 3553–3564. [Google Scholar] [CrossRef] [PubMed]
- Pirgalıoğlu, S.; Özbelge, T.A. Comparison of non-catalytic and catalytic ozonation processes of three different aqueous single dye solutions with respect to powder copper sulfide catalyst. Appl. Catal. A Gen. 2009, 363, 157–163. [Google Scholar] [CrossRef]
- Fu, P.F.; Wang, L.H.; Lin, X.F.; Ma, Y.H.; Hou, Z.W. Ozonation of recalcitrant O-isopropyl-N-ethylthionocarbamate catalyzed by galena in flotation effluents and its dissolution behaviors. Miner. Eng. 2021, 165, 106859. [Google Scholar] [CrossRef]
- Zhang, X.B.; Dong, W.Y.; Yang, W. Decolorization efficiency and kinetics of typical reactive azo dye RR2 in the homogeneous Fe(II) catalyzed ozonation process. Chem. Eng. J. 2013, 233, 14–23. [Google Scholar] [CrossRef]
- Saveliev, A.A.; Galeeva, E.V.; Semanov, D.A.; Galeev, R.R.; Aryslanov, I.R.; Falaleeva, T.S.; Davletshin, R.R. Adaptive noise model based iteratively reweighted penalized least squares for fluorescence background subtraction from Raman spectra. J. Raman Spectrosc. 2022, 53, 247–255. [Google Scholar] [CrossRef]
- Wu, C.H.; Kuo, C.Y.; Chang, C.L. Homogeneous catalytic ozonation of C.I. Reactive Red 2 by metallic ions in a bubble column reactor. J. Hazard. Mater. 2008, 154, 748–755. [Google Scholar] [CrossRef] [PubMed]
- Berezowsky, R.M.G.S.; Collins, M.J.; Kerfoot, D.G.E.; Torres, M.S. The commercial status of pressure leaching technology. JOM 1991, 43, 9–15. [Google Scholar] [CrossRef]
- Zhang, D.P.; Liu, Y.D.; Song, Y.Y.; Sun, X.B.; Liu, W.; Duan, J.; Cai, Z.Q. Synergistic effect of Fe and Ce on Fe doped CeO for catalytic ozonation of amoxicillin: Efficiency evaluation and mechanism study. Sep. Purif. Technol. 2023, 313, 123430. [Google Scholar] [CrossRef]
- Wang, Y.S.; Li, N.; Fu, Q.L.; Cheng, Z.J.; Song, Y.J.; Yan, B.B.; Chen, G.Y.; Hou, L.A.; Wang, S.B. Conversion and impact of dissolved organic matters in a heterogeneous catalytic peroxymonosulfate system for pollutant degradation. Water Res. 2023, 241, 120166. [Google Scholar] [CrossRef] [PubMed]
- Dutrizac, J.E. The dissolution of sphalerite in ferric sulfate media. Met. Mater. Trans. B 2006, 37, 161–171. [Google Scholar] [CrossRef]
- Zhao, H.; Zhang, Y.; Sun, M.; Ou, P.; Zhang, Y.; Liao, R.; Qiu, G. Catalytic mechanism of silver in the oxidative dissolution process of chalcopyrite: Experiment and DFT calculation. Hydrometallurgy 2019, 187, 18–29. [Google Scholar] [CrossRef]
- White, S.N. Laser Raman spectroscopy as a technique for identification of seafloor hydrothermal and cold seep minerals. Chem. Geol. 2009, 259, 240–252. [Google Scholar] [CrossRef]
- Liu, J.; Wen, S.-M.; Xian, Y.-J.; Bai, S.-J.; Chen, X.-M. First-principle study on the surface atomic relaxation properties of sphalerite. Int. J. Miner. Metall. Mater. 2012, 19, 775–781. [Google Scholar] [CrossRef]
- Harmer, S.L.; Goncharova, L.V.; Kolarova, R.; Lennard, W.N.; Muñoz-Márquez, M.A.; Mitchell, I.V.; Nesbitt, H.W. Surface structure of sphalerite studied by medium energy ion scattering and XPS. Surf. Sci. 2007, 601, 352–361. [Google Scholar] [CrossRef]
- Zhang, Y.S.; Zhao, H.B.; Zhang, Y.J.; Liu, H.W.; Yin, H.Q.; Deng, J.S.; Qiu, G.Z. Interaction mechanism between marmatite and chalcocite in acidic (microbial) environments. Hydrometallurgy 2020, 191, 105217. [Google Scholar] [CrossRef]
- Dickinson, C.F.; Heal, G.R. Solid–liquid diffusion controlled rate equations. Thermochim. Acta 1999, 340–341, 89–103. [Google Scholar] [CrossRef]









| Aqueous Solution | pH | Total Dissolved Solids (mg/L) | Electrical Conductivity (μS/cm) | Total Hardness |
|---|---|---|---|---|
| distilled water-1 | 7.15 | 0.44 | 0.072 | NA |
| distilled water-2 | 7.07 | 0.29 | 0.065 | NA |
| Parameters | Zn (wt%) | S (wt%) |
|---|---|---|
| a | 66.34 | 28.28 |
| b | 50.60 | 41.53 |
| c | 67.52 | 27.89 |
| d | 58.61 | 38.22 |
| Parameters | Cat Slp (1/v) | Ano Slp (1/v) | Lin Pol R (ohms) | Corr I (A) |
|---|---|---|---|---|
| Unprocessed | 25.0 | 4.0 | 534,38 | 1.600 × 10−6 |
| By O3 | 25.0 | 6.5 | 146,393 | 1.000 × 10−6 |
| By Fe2(SO4)3 | 10.5 | 10.0 | 194,038 | 7.112 × 10−7 |
| By O3 + Fe2(SO4)3 | 15.5 | 6.0 | 127,008 | 1.033 × 10−6 |
| Parameters | R1 | CPE-T1 | CPE-P1 | R2 | CPE-T2 | CPE-P2 | R3 | W1-R | W1-T | W1-P |
|---|---|---|---|---|---|---|---|---|---|---|
| Unprocessed | 7.24 | 6.84 × 10−7 | 1.118 | 2.59 | 4.93 × 10−5 | 0.778 | 0.002 | 8432 | 5.94 | 0.297 |
| By Fe2(SO4)3 | 6.70 | 3.98 × 10−6 | 1.211 | 63.58 | 1.62 × 10−5 | 1.042 | 733 | 8996 | 456.21 | 0.496 |
| By O3 | 6.06 | 1.03 × 10−6 | 1.516 | 8.60 | 3.72 × 10−7 | 1.464 | <10−5 | 5418 | 5.88 | 0.477 |
| By O3 + Fe2(SO4)3 | 6.09 | 2.04 × 10−7 | 1.476 | 26.55 | 3.93 × 10−7 | 1.357 | <10−5 | 7600 | 6.33 | 0.390 |
Disclaimer/Publisher’s Note: The statements, opinions and data contained in all publications are solely those of the individual author(s) and contributor(s) and not of MDPI and/or the editor(s). MDPI and/or the editor(s) disclaim responsibility for any injury to people or property resulting from any ideas, methods, instructions or products referred to in the content. |
© 2024 by the authors. Licensee MDPI, Basel, Switzerland. This article is an open access article distributed under the terms and conditions of the Creative Commons Attribution (CC BY) license (https://creativecommons.org/licenses/by/4.0/).
Share and Cite
Zhang, M.; Zhao, H.; Zhang, Y.; Lv, X.; Zhang, L.; Shen, L.; Hu, L.; Wen, J.; Shen, L.; Luo, X. Oxidative Dissolution Process of Sphalerite in Fe2(SO4)3-O3 System: Implications for Heavy Metals Removal and Recovery. Toxics 2024, 12, 275. https://doi.org/10.3390/toxics12040275
Zhang M, Zhao H, Zhang Y, Lv X, Zhang L, Shen L, Hu L, Wen J, Shen L, Luo X. Oxidative Dissolution Process of Sphalerite in Fe2(SO4)3-O3 System: Implications for Heavy Metals Removal and Recovery. Toxics. 2024; 12(4):275. https://doi.org/10.3390/toxics12040275
Chicago/Turabian StyleZhang, Mingtong, Hongbo Zhao, Yisheng Zhang, Xin Lv, Luyuan Zhang, Li Shen, Liang Hu, Jiankang Wen, Louyan Shen, and Xianping Luo. 2024. "Oxidative Dissolution Process of Sphalerite in Fe2(SO4)3-O3 System: Implications for Heavy Metals Removal and Recovery" Toxics 12, no. 4: 275. https://doi.org/10.3390/toxics12040275
APA StyleZhang, M., Zhao, H., Zhang, Y., Lv, X., Zhang, L., Shen, L., Hu, L., Wen, J., Shen, L., & Luo, X. (2024). Oxidative Dissolution Process of Sphalerite in Fe2(SO4)3-O3 System: Implications for Heavy Metals Removal and Recovery. Toxics, 12(4), 275. https://doi.org/10.3390/toxics12040275

