Study of the Adsorption and Separation Behavior of Scandium and Zirconium by Trialkyl Phosphine Oxide-Modified Resins in Sulfuric and Hydrochloric Acid Media
Abstract
1. Introduction
2. Experimental
2.1. Materials
2.2. Synthesis of TRPO/SiO2-P Adsorbent
2.3. Characterization
2.4. Batch Adsorption Experiment
2.5. Column Separation Experiment
3. Results and Discussion
3.1. Batch Adsorption Experiment
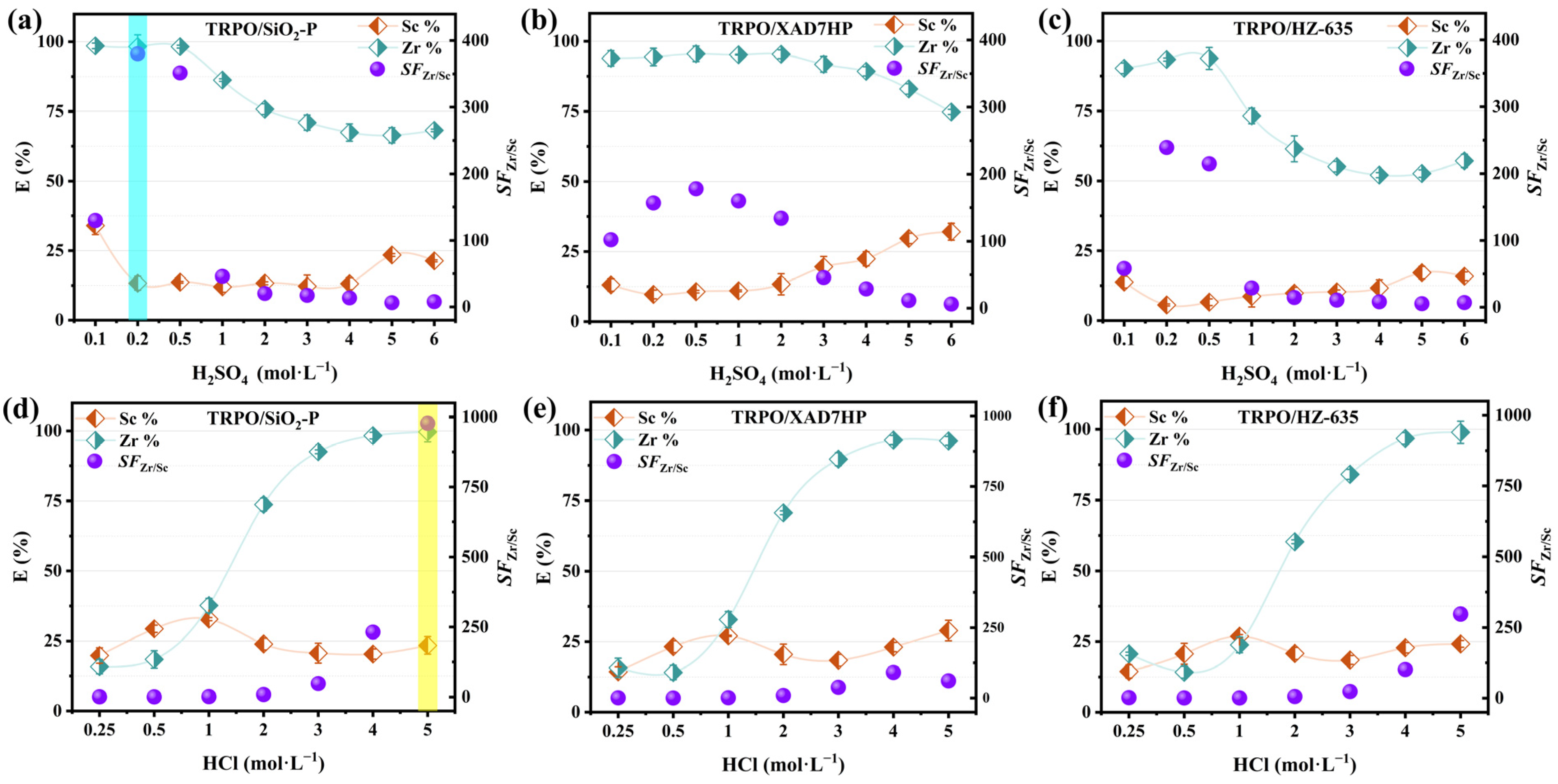
3.1.1. Effect of Carrier and Acidity
3.1.2. Effect of Sc/Zr Ratio and V/m Ratio
3.1.3. Kinetic Analysis
3.1.4. Adsorption Isothermal
3.1.5. Thermodynamic Analysis
3.2. Adsorption Mechanism
3.2.1. SEM-EDS Analysis
3.2.2. FT-TR Analysis
3.2.3. XPS Analysis
3.3. Elution and Reusability of TRPO/SiO2-P
3.4. Column Separation Experiment
4. Conclusions
Supplementary Materials
Author Contributions
Funding
Institutional Review Board Statement
Informed Consent Statement
Data Availability Statement
Conflicts of Interest
References
- Gupta, C.K.; Krishnamurthy, N. Extractive metallurgy of rare earths. Int. Mater. Rev. 1992, 37, 197–248. [Google Scholar] [CrossRef]
- Binnemans, K.; Jones, P.T.; Müller, T.; Yurramendi, L. Rare earths and the balance problem: How to deal with changing markets? J. Sustain. Met. 2018, 4, 126–146. [Google Scholar] [CrossRef]
- He, Z.; Yin, Z.; Lin, S.; Deng, Y.; Shang, B.; Zhou, X. Preparation, microstructure and properties of Al-Zn-Mg-Sc alloy tubes. J. Rare Earths 2010, 28, 641–646. [Google Scholar] [CrossRef]
- Riva, S.; Yusenko, K.V.; Lavery, N.P.; Jarvis, D.J.; Brown, S.G. The scandium effect in multicomponent alloys. Int. Mater. Rev. 2016, 61, 203–228. [Google Scholar] [CrossRef]
- Dorin, T.; Ramajayam, M.; Langan, T.J. Impact of Scandium and Zirconium on extrudability, microstructure and hardness of a binary Al-Cu alloy. Mater. Today Proc. 2019, 10, 242–247. [Google Scholar] [CrossRef]
- Luo, Y.; Ma, Y.; Hou, Z. alpha-C-H Alkylation of Methyl Sulfides with Alkenes by a Scandium Catalyst. J. Am. Chem. Soc. 2018, 140, 114–117. [Google Scholar] [CrossRef] [PubMed]
- He, M.; Han, S.; Xu, Z.; Liu, G.; Qiao, G. Electrocatalytic properties of scandium metallofullerenes for the hydrogen evolution reaction. Int. J. Hydrogen Energy 2022, 47, 11904–11915. [Google Scholar] [CrossRef]
- Rao, D.; Pillai, A.I.K.; Garbrecht, M.; Saha, B. Scandium Nitride as a Gateway III-Nitride Semiconductor for both Excitatory and Inhibitory Optoelectronic Artificial Synaptic Devices. Adv. Electron. Mater. 2022, 9, 2200975. [Google Scholar] [CrossRef]
- Botelho, A.B., Jr.; Espinosa, D.C.R.; Vaughan, J.; Tenório, J.A.S. Recovery of scandium from various sources: A critical review of the state of the art and future prospects. Miner. Eng. 2021, 172, 107148. [Google Scholar] [CrossRef]
- Thejo Kalyani, N.; Dhoble, S.J. Novel materials for fabrication and encapsulation of OLEDs. Renew. Sustain. Energy Rev. 2015, 44, 319–347. [Google Scholar] [CrossRef]
- Sahlberg, M.; Zlotea, C.; Latroche, M.; Andersson, Y. Fully reversible hydrogen absorption and desorption reactions with Sc (Al1−xMgx), x = 0.0, 0.15, 0.20. J. Solid State Chem. 2011, 184, 104–108. [Google Scholar] [CrossRef]
- Kalisvaart, W.P.; Latroche, M.; Cuevas, F.; Notten, P.H.L. In situ neutron diffraction study on Pd-doped Mg0.65Sc0.35 electrode material. J. Solid State Chem. 2008, 181, 1141–1148. [Google Scholar] [CrossRef]
- Wang, W.; Pranolo, Y.; Cheng, C.Y. Metallurgical processes for scandium recovery from various resources: A review. Hydrometallurgy 2011, 108, 100–108. [Google Scholar] [CrossRef]
- Nie, H.; Wang, Y.; Wang, Y.; Zhao, Z.; Dong, Y.; Sun, X. Recovery of scandium from leaching solutions of tungsten residue using solvent extraction with Cyanex 572. Hydrometallurgy 2018, 175, 117–123. [Google Scholar] [CrossRef]
- Liu, C.; Chen, L.; Chen, J.; Zou, D.; Deng, Y.; Li, D. Application of P507 and isooctanol extraction system in recovery of scandium from simulated red mud leach solution. J. Rare Earths 2019, 37, 1002–1008. [Google Scholar] [CrossRef]
- Li, S.-C.; Kim, S.-C.; Kang, C.-S. Recovery of scandium from KOH sub-molten salt leaching cake of fergusonite. Miner. Eng. 2019, 137, 200–206. [Google Scholar] [CrossRef]
- Das, S.; Behera, S.S.; Murmu, B.M.; Mohapatra, R.K.; Mandal, D.; Samantray, R.; Parhi, P.K.; Senanayake, G. Extraction of scandium(III) from acidic solutions using organo-phosphoric acid reagents: A comparative study. Sep. Purif. Technol. 2018, 202, 248–258. [Google Scholar] [CrossRef]
- Yuldashbaeva, A.; Kirillov, E.; Kirillov, S.; Bunkov, G.; Rychkov, V.; Botalov, M.; Smyshlyaev, D. Sorption separation of scandium and zirconium by weakly basic anion exchangers. AIP Conf. Proc. 2018, 2015, 020114. [Google Scholar]
- Peng, Z.; Li, Q.-G.; Li, Z.-Y.; Zhang, G.-Q.; Cao, Z.-Y.; Guan, W.-J. Removal of impurities from scandium solutions by ion exchange. J. Cent. South Univ. 2019, 25, 2953–2961. [Google Scholar] [CrossRef]
- Zhang, Z.; Du, R.; Li, Y.; Gao, B.; An, F.; Huang, X.; Zhang, Y.; Xu, Y. Binding and recognizing properties of ionic imprinted polymer towards Sc (III). J. Funct. Mater. 2014, 45, 87. [Google Scholar]
- Chen, Y.; Ning, S.; Zhong, Y.; Li, Z.; Wang, J.; Chen, L.; Yin, X.; Fujita, T.; Wei, Y. Study on highly efficient separation of zirconium from scandium with TODGA-modified macroporous silica-polymer based resin. Sep. Purif. Technol. 2023, 305, 122499. [Google Scholar] [CrossRef]
- Yu, Q.; Ning, S.; Zhang, W.; Wang, X.; Wei, Y. Recovery of scandium from sulfuric acid solution with a macro porous TRPO/SiO2-P adsorbent. Hydrometallurgy 2018, 181, 74–81. [Google Scholar] [CrossRef]
- Zhang, W.; Yu, S.; Zhang, S.; Zhou, J.; Ning, S.; Wang, X.; Wei, Y. Separation of scandium from the other rare earth elements with a novel macro-porous silica-polymer based adsorbent HDEHP/SiO2-P. Hydrometallurgy 2019, 185, 117–124. [Google Scholar] [CrossRef]
- Chi, J.; Wang, C.; Zhou, G.; Fu, X.; Chen, X.; Yin, X.; Zhang, Z.; Wang, Y. A critical review on separation and extraction of scandium from industrial wastes: Methods, difficulties, and mechanism. J. Environ. Chem. Eng. 2023, 11, 111068. [Google Scholar] [CrossRef]
- Attallah, M.F.; Hilal, M.A.; Moussa, S.I. Quantification of some elements of nuclear and industrial interest from zircon mineral using neutron activation analysis and passive gamma-ray spectroscopy. Appl. Radiat. Isot. 2017, 128, 224–230. [Google Scholar] [CrossRef] [PubMed]
- Rizk, H.E.; El-Din, A.M.S.; Afifi, E.M.E.; Attallah, M.F. Potential separation of zirconium and some lanthanides of the nuclear and industrial interest from zircon mineral using cation exchanger resin. J. Dispers. Sci. Technol. 2021, 43, 1642–1651. [Google Scholar] [CrossRef]
- Sokolova, Y.V. Sorption purification of scandium (III) to remove zirconium (IV) impurity in hydrochloric acid solutions. Russ. J. Appl. Chem. 2001, 74, 414–416. [Google Scholar] [CrossRef]
- Peng, X.; Li, L.; Zhang, M.; Cui, Y.; Jiang, X.; Sun, G. Preparation of ultra-high pure scandium oxide with crude product from titanium white waste acid. J. Rare Earths 2023, 41, 764–770. [Google Scholar] [CrossRef]
- Casamento, J.; Lee, H.; Chang, C.S.; Besser, M.F.; Maeda, T.; Muller, D.A.; Xing, H.; Jena, D. Strong effect of scandium source purity on chemical and electronic properties of epitaxial ScxAl1−xN/GaN heterostructures. APL Mater. 2021, 9, 091106. [Google Scholar] [CrossRef]
- Zhang, W.; Ning, S.; Zhang, S.; Wang, S.; Zhou, J.; Wang, X.; Wei, Y. Synthesis of functional silica composite resin for the selective separation of zirconium from scandium. Microporous Mesoporous Mater. 2019, 288, 109602. [Google Scholar] [CrossRef]
- Zhou, J.; Yu, Q.; Huang, Y.; Meng, J.; Chen, Y.; Ning, S.; Wang, X.; Wei, Y.; Yin, X.; Liang, J. Recovery of scandium from white waste acid generated from the titanium sulphate process using solvent extraction with TRPO. Hydrometallurgy 2020, 195, 105398. [Google Scholar] [CrossRef]
- Wei, Y.; Kumagai, M.; Takashima, Y.; Modolo, G.; Odoj, R. Studies on the Separation of Minor Actinides from High-Level Wastes by Extraction Chromatography Using Novel Silica-Based Extraction Resins. Nucl. Technol. 2017, 132, 413–423. [Google Scholar] [CrossRef]
- Li, Z.; Ning, S.; Su, Y.; Su, Z.; He, H.; Fujita, T.; Wei, Y. Highly stable macro-porous N-donor CyMe4-BTPhen/SiO2-P adsorbent for efficient selective extraction of actinides from HLLW: An experimental, mechanism, theoretical study. Environ. Nanotechnol. Monit. Manag. 2022, 18, 100749. [Google Scholar] [CrossRef]
- Zhang, A.; Zhu, Y.; Liu, Y.; Chai, Z. Preparation of a Macroporous Silica-Based Pyridine Impregnated Material and Its Adsorption for Palladium. Ind. Eng. Chem. Res. 2011, 50, 6898–6905. [Google Scholar] [CrossRef]
- Ning, S.; Zou, Q.; Wang, X.; Liu, R.; Wei, Y. Adsorption behavior of Me2-CA-BTP/SiO2-P adsorbent toward MA(III) and Ln(III) in nitrate solution. Sci. China Chem. 2016, 59, 862–868. [Google Scholar] [CrossRef]
- Zhong, Y.; Ning, S.; Wang, X.; He, C.; Fujita, T.; Hamza, M.F.; Wei, Y. Highly efficiently selective separation of zirconium from scandium by TRPO modified adsorbent. J. Environ. Chem. Eng. 2023, 11, 109906. [Google Scholar] [CrossRef]
- Youssef, M.A.; El-Naggar, M.R.; Ahmed, I.M.; Attallah, M.F. Batch kinetics of 134Cs and 152+154Eu radionuclides onto poly-condensed feldspar and perlite based sorbents. J. Hazard Mater. 2021, 403, 123945. [Google Scholar] [CrossRef] [PubMed]
- Zhang, S.; Ning, S.; Liu, H.; Wang, X.; Wei, Y.; Yin, X. Preparation of ion-exchange resin via in-situ polymerization for highly selective separation and continuous removal of palladium from electroplating wastewater. Sep. Purif. Technol. 2021, 258, 117670. [Google Scholar] [CrossRef]
- Liu, H.; Ning, S.; Zhang, S.; Wang, X.; Chen, L.; Fujita, T.; Wei, Y. Preparation of a mesoporous ion-exchange resin for efficient separation of palladium from simulated electroplating wastewater. J. Environ. Chem. Eng. 2022, 10, 106966. [Google Scholar] [CrossRef]
- Vijayaraghavan, K.; Padmesh, T.V.; Palanivelu, K.; Velan, M. Biosorption of nickel(II) ions onto Sargassum wightii: Application of two-parameter and three-parameter isotherm models. J. Hazard Mater. 2006, 133, 304–308. [Google Scholar] [CrossRef]
- Zeldowitsch, J. Adsorption site energy distribution. Acta Phys. Chim. URSS 1934, 1, 961–973. [Google Scholar]
- Ayawei, N.; Ebelegi, A.N.; Wankasi, D. Modelling and Interpretation of Adsorption Isotherms. J. Chem. 2017, 2017, 3039817. [Google Scholar] [CrossRef]
- Han, R.; Zou, W.; Wang, Y.; Zhu, L. Removal of uranium(VI) from aqueous solutions by manganese oxide coated zeolite: Discussion of adsorption isotherms and pH effect. J. Environ. Radioact. 2007, 93, 127–143. [Google Scholar] [CrossRef] [PubMed]
- Arias, M.; Pérez-Novo, C.; López, E.; Soto, B. Competitive adsorption and desorption of copper and zinc in acid soils. Geoderma 2006, 133, 151–159. [Google Scholar] [CrossRef]
- Borchers, A.; Pieler, T. Programming pluripotent precursor cells derived from Xenopus embryos to generate specific tissues and organs. Genes 2010, 1, 413–426. [Google Scholar] [CrossRef] [PubMed]
- Xu, S.; Zhou, C.; Fang, H.; Zhu, W.; Shi, J.; Liu, G. Synthesis of ordered mesoporous silica from biomass ash and its application in CO2 adsorption. Environ. Res. 2023, 231, 116070. [Google Scholar] [CrossRef] [PubMed]
- Cui, S.; Cheng, W.; Shen, X.; Fan, M.; Russell, A.; Wu, Z.; Yi, X. Mesoporous amine-modified SiO2 aerogel: A potential CO2 sorbent. Energy Environ. Sci. 2011, 4, 2070–2074. [Google Scholar] [CrossRef]
- Babu, M.K.S.; Katchala, N.; Sivakumar Natarajan, T.; Suresh, S.; Kancharla, S. Nd(III) and Dy(III) extraction from discarded NdFeB magnets using TOPO-based hydrophobic eutectic solvents. J. Mol. Liq. 2024, 402, 124697. [Google Scholar] [CrossRef]
- Li, K.-M.; Jiang, J.-G.; Tian, S.-C.; Chen, X.-J.; Yan, F. Influence of Silica Types on Synthesis and Performance of Amine–Silica Hybrid Materials Used for CO2 Capture. J. Phys. Chem. C 2014, 118, 2454–2462. [Google Scholar] [CrossRef]
- Biesinger, M.C.; Lau, L.W.M.; Gerson, A.R.; Smart, R.S.C. Resolving surface chemical states in XPS analysis of first row transition metals, oxides and hydroxides: Sc, Ti, V, Cu and Zn. Appl. Surf. Sci. 2010, 257, 887–898. [Google Scholar] [CrossRef]
- Bakradze, G.; Jeurgens, L.P.H.; Mittemeijer, E.J. Valence-Band and Chemical-State Analyses of Zr and O in Thermally Grown Thin Zirconium-Oxide Films: An XPS Study. J. Phys. Chem. C 2011, 115, 19841–19848. [Google Scholar] [CrossRef]
- Hammad ul Haq, M.; Zhang, X.; Zhang, F.; Tesfay Reda, A.; Zhang, D.; Zahid, M.; Khurram Tufail, M.; Constantin, M.; Hasaan, N.; Li, J.; et al. Selective capture of uranium and zirconium from strong HNO3 solution by ethenylphosphonic acid copolymerized polymer. Chem. Eng. J. 2023, 476, 146674. [Google Scholar] [CrossRef]
- Ma, W.; Lv, T.T.; Tang, J.H.; Feng, M.L.; Huang, X.Y. Highly Efficient Uptake of Cs(+) by Robust Layered Metal-Organic Frameworks with a Distinctive Ion Exchange Mechanism. JACS Au 2022, 2, 492–501. [Google Scholar] [CrossRef] [PubMed]
- Vigdorowitsch, M.; Pchelintsev, A.; Tsygankova, L.; Tanygina, E. Freundlich Isotherm: An Adsorption Model Complete Framework. Appl. Sci. 2021, 11, 8078. [Google Scholar] [CrossRef]
- Al-Ghouti, M.A.; Da’ana, D.A. Guidelines for the use and interpretation of adsorption isotherm models: A review. J. Hazard. Mater. 2020, 393, 122383. [Google Scholar] [CrossRef]
- Foo, K.Y.; Hameed, B.H. Insights into the modeling of adsorption isotherm systems. Chem. Eng. J. 2010, 156, 2–10. [Google Scholar] [CrossRef]












| Resin | Acid | SFZr/Sc | Source |
|---|---|---|---|
| TRPO/SiO2-P | 0.2 M H2SO4 | 380 | Figure 2a |
| 5 M HCl | 977 | Figure 2d | |
| TRPO/XAD7HP | 0.5 M H2SO4 | 178 | Figure 2b |
| 4 M HCl | 91 | Figure 2e | |
| TRPO/HZ-635 | 0.2 M H2SO4 | 239 | Figure 2c |
| 5 M HCl | 297 | Figure 2f |
| Elements | T(K) | Pseudo-First-Order | Pseudo-Second-Order | (mg·g−1) | ||||
|---|---|---|---|---|---|---|---|---|
| K1 (min−1) | (mg·g−1) | R2 | K2 (g·mg−1·min−1) | (mg·g−1) | R2 | |||
| Sc | 298 | 0.86 | 7.00 | 0.94 | 0.21 | 7.23 | 0.99 | 7.18 |
| Zr | 298 | 0.39 | 29.48 | 0.81 | 0.02 | 30.38 | 0.99 | 30.5 |
| 308 | 0.44 | 29.99 | 0.83 | 0.03 | 30.83 | 0.99 | 30.9 | |
| 318 | 0.67 | 30.14 | 0.85 | 0.05 | 30.79 | 0.99 | 30.4 | |
| Elements | T(K) | Pseudo-First-Order | Pseudo-Second-Order | (mg·g−1) | ||||
|---|---|---|---|---|---|---|---|---|
| K1 (min−1) | Qe (mg·g−1) | R2 | K2 (g·mg−1·min−1) | Qe (mg·g−1) | R2 | |||
| Sc | 298 | 0.31 | 7.20 | 0.87 | 0.07 | 7.42 | 0.99 | 7.41 |
| Zr | 298 | 0.09 | 34.60 | 0.86 | 0.004 | 36.64 | 0.98 | 37.11 |
| 308 | 0.13 | 36.01 | 0.85 | 0.006 | 37.64 | 0.98 | 38.80 | |
| 318 | 0.17 | 38.52 | 0.93 | 0.007 | 39.87 | 1 | 39.62 | |
| Elements | T(K) | Langmuir | Freundlich | Redlich–Peterson | (mg·g−1) | |||||||
|---|---|---|---|---|---|---|---|---|---|---|---|---|
| KL (L·mg−1) | (mg·g−1) | R2 | KF (L·g−1) | n | R2 | A | B | g | R2 | |||
| Sc | 298 | 0.01 | 10.71 | 0.996 | 0.74 | 2.34 | 0.964 | 0.11 | 0.001 | 1.01 | 0.996 | 8.00 |
| Zr | 298 | 0.06 | 32.83 | 0.985 | 9.52 | 4.67 | 0.797 | 1.54 | 0.026 | 1.10 | 0.998 | 30.26 |
| 308 | 0.08 | 32.76 | 0.975 | 10.43 | 4.99 | 0.783 | 1.98 | 0.035 | 1.10 | 0.987 | 30.98 | |
| 318 | 0.13 | 32.10 | 0.941 | 11.94 | 5.64 | 0.772 | 3.42 | 0.080 | 1.05 | 0.941 | 31.28 | |
| Elements | T (K) | Langmuir | Freundlich | Redlich–Peterson | (mg·g−1) | |||||||
|---|---|---|---|---|---|---|---|---|---|---|---|---|
| KL (L·mg−1) | (mg·g−1) | R2 | KF (L·g−1) | n | R2 | A | B | g | R2 | |||
| Sc | 298 | 0.04 | 8.77 | 0.976 | 2.10 | 4.04 | 0.965 | 0.65 | 0.15 | 0.87 | 0.995 | 8.31 |
| Zr | 298 | 1.25 | 38.03 | 0.987 | 20.59 | 6.98 | 0.754 | 47.86 | 1.27 | 1 | 0.985 | 38.65 |
| 308 | 1.53 | 38.82 | 0.987 | 21.62 | 7.13 | 0.743 | 58.77 | 1.5 | 1 | 0.987 | 39.54 | |
| 318 | 1.71 | 39.66 | 0.986 | 22.41 | 7.03 | 0.740 | 67.34 | 1.69 | 1 | 0.984 | 40.12 | |
| Media | (kJ/mol) | (kJ/K·mol) | (kJ/mol) | |||
|---|---|---|---|---|---|---|
| 298 K | 308 K | 318 K | ||||
| 0.2 M H2SO4 | 28.19 | 0.20 | −22.64 | −24.84 | −35.41 | 0.92 |
| 5 M HCl | 12.35 | 0.14 | −29.37 | −30.77 | −32.17 | 0.95 |
Disclaimer/Publisher’s Note: The statements, opinions and data contained in all publications are solely those of the individual author(s) and contributor(s) and not of MDPI and/or the editor(s). MDPI and/or the editor(s) disclaim responsibility for any injury to people or property resulting from any ideas, methods, instructions or products referred to in the content. |
© 2024 by the authors. Licensee MDPI, Basel, Switzerland. This article is an open access article distributed under the terms and conditions of the Creative Commons Attribution (CC BY) license (https://creativecommons.org/licenses/by/4.0/).
Share and Cite
Xu, B.; Yin, X.; Ning, S.; Zhong, Y.; Wang, X.; Fujita, T.; Hamza, M.F.; Wei, Y. Study of the Adsorption and Separation Behavior of Scandium and Zirconium by Trialkyl Phosphine Oxide-Modified Resins in Sulfuric and Hydrochloric Acid Media. Toxics 2024, 12, 350. https://doi.org/10.3390/toxics12050350
Xu B, Yin X, Ning S, Zhong Y, Wang X, Fujita T, Hamza MF, Wei Y. Study of the Adsorption and Separation Behavior of Scandium and Zirconium by Trialkyl Phosphine Oxide-Modified Resins in Sulfuric and Hydrochloric Acid Media. Toxics. 2024; 12(5):350. https://doi.org/10.3390/toxics12050350
Chicago/Turabian StyleXu, Botao, Xiangbiao Yin, Shunyan Ning, Yilai Zhong, Xinpeng Wang, Toyohisa Fujita, Mohammed F. Hamza, and Yuezhou Wei. 2024. "Study of the Adsorption and Separation Behavior of Scandium and Zirconium by Trialkyl Phosphine Oxide-Modified Resins in Sulfuric and Hydrochloric Acid Media" Toxics 12, no. 5: 350. https://doi.org/10.3390/toxics12050350
APA StyleXu, B., Yin, X., Ning, S., Zhong, Y., Wang, X., Fujita, T., Hamza, M. F., & Wei, Y. (2024). Study of the Adsorption and Separation Behavior of Scandium and Zirconium by Trialkyl Phosphine Oxide-Modified Resins in Sulfuric and Hydrochloric Acid Media. Toxics, 12(5), 350. https://doi.org/10.3390/toxics12050350

