Short-Term Chronic Toxicity of Copper to Hyalella azteca: Contrast in Terms of Equilibrating Diet, Diet Type, and Organic Matter Source
Abstract
1. Introduction
2. Materials and Methods
2.1. Treatment Water Setup for Exposure Conditions
2.2. Treatment of Diet
2.3. Exposure Setup
2.4. Toxicity Bioassay
2.5. Post-Exposure Treatment
2.6. Analytical Chemistry
2.7. Toxicity Data Analysis
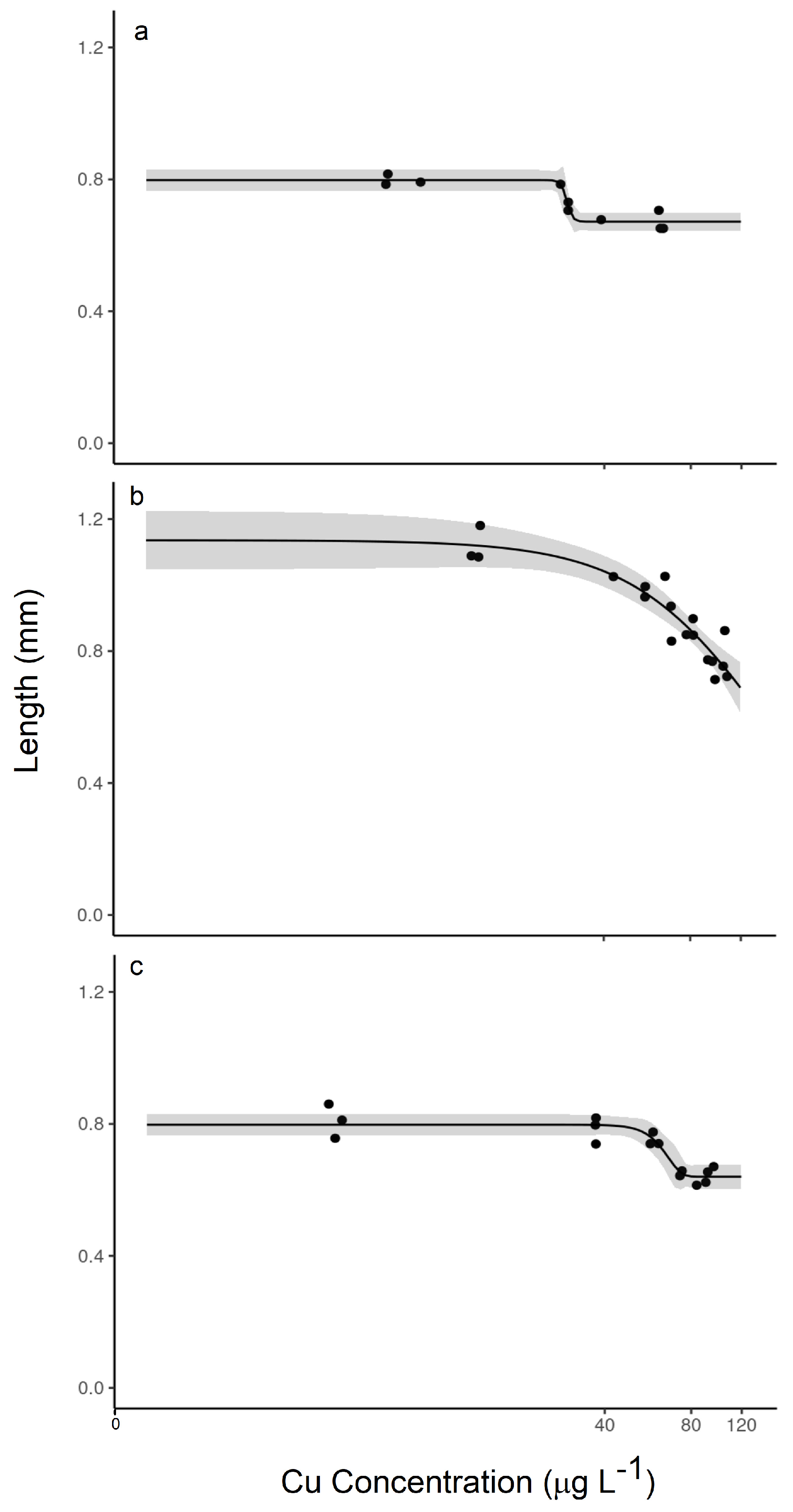
3. Results
3.1. Control of Experiments
3.2. Effect of Pre-Treatment of Diet
3.3. Effect of the Organic Matter Source
4. Discussion
5. Conclusions
Supplementary Materials
Author Contributions
Funding
Institutional Review Board Statement
Informed Consent Statement
Data Availability Statement
Acknowledgments
Conflicts of Interest
References
- Nriagu, J.O. Copper in the Environment; Wiley: New York, NY, USA, 1979. [Google Scholar]
- Nriagu, J.O. A history of global metal pollution. Science 1996, 272, 223–224. [Google Scholar] [CrossRef]
- Bowen, H.J.M. The natural environment and the biogeochemical cycles. In The Handbook of Environmental Chemistry; Hutzinger, D., Ed.; Springer: New York, NY, USA; Berlin/Heidelberg, Germany, 1985; Volume 1, pp. 1–26. [Google Scholar]
- Lopez, J.M.; Fred Lee, G. Environmental chemistry of copper in Torch Lake, Michigan. Water Air Soil Pollut. 1977, 8, 373–385. [Google Scholar] [CrossRef]
- Davis, A.; Ashenberg, D. The aqueous geochemistry of the Berkeley Pit, Butte, Montana, U.S.A. Appl. Geochem. 1989, 4, 23–36. [Google Scholar] [CrossRef]
- Robins, R.G.; Berg, R.B.; Young, C.A.; Dysinger, D.K.; Duaime, T.E.; Metesh, J.J. Chemical, physical and biological interaction at the Berkeley Pit, Butte, Montana. In Proceedings of the Tailings and Mine Waste’97, Fort Collins, CO, USA, 13–17 January 1997; pp. 529–541. [Google Scholar]
- Kapustka, L.A. Issue Paper on the Ecological Effects of Metals; US Environmental Protection Agency: Washington, DC, USA, 2004. [Google Scholar]
- Sunda, W.G.; Hanson, P.J. Chemical Speciation of Copper in River Water: Effect of Total Copper, pH, Carbonate, and Dissolved Organic Matter; ACS Publications: Washington, DC, USA, 1979; Volume 93, pp. 147–180. [Google Scholar]
- Playle, R.C.; Dixon, D.G.; Burnison, K. Copper and cadmium binding to fish gills: Estimates of metal–gill stability constants and modelling of metal accumulation. Can. J. Fish. Aquat. Sci. 1993, 50, 2678–2687. [Google Scholar] [CrossRef]
- Welsh, P.G. Influence of Dissolved Organic Carbon on the Speciation, Bioavailability and Toxicity of Metals to Aquatic Biota in Soft Water Lakes. Ph.D. Thesis, University of Waterloo, Waterloo, ON, USA, 1997. [Google Scholar]
- Poteat, M.D.; Buchwalter, D.B. Four reasons why traditional metal toxicity testing with aquatic insects is irrelevant. Environ. Sci. Technol. 2013, 48, 887–888. [Google Scholar] [CrossRef] [PubMed]
- Kramer, J.R.; Allen, H.E.; Davison, W.; Godtfredsen, K.L.; Meyer, J.S.; Perdue, E.M.; Tipping, E.; Van De Meent, D.; Westall, J.C. Chemical speciation and metal toxicity in surface freshwaters. SETAC Tech. Publ. Ser. 1997, 57–70. [Google Scholar]
- Bryan, S.E.; Tipping, E.; Hamilton-Taylor, J. Comparison of measured and modelled copper binding by natural organic matter in freshwaters. Comp. Biochem. Physiol. Part C Toxicol. Pharmacol. 2002, 133, 37–49. [Google Scholar] [CrossRef] [PubMed]
- Smith, D.S.; Bell, R.A.; Kramer, J.R. Metal speciation in natural waters with emphasis on reduced sulfur groups as strong metal binding sites. Comp. Biochem. Physiol. Part C Toxicol. Pharmacol. 2002, 133, 65–74. [Google Scholar] [CrossRef] [PubMed]
- Stephen, C.E.; Mount, D.I.; Hansen, D.J.; Gentile, J.R.; Chapman, G.A.; Brungs, W.A. Guidelines for Deriving Numerical National Water Quality Criteria for the Protection of Aquatic Organisms and Their Uses; US Environmental Protection Agency: Washington, DC, USA, 2010. [Google Scholar]
- Buchwalter, D.B.; Clements, W.H.; Luoma, S.N. Modernizing water quality criteria in the United States: A need to expand the definition of acceptable data. Environ. Toxicol. Chem. 2017, 36, 285–291. [Google Scholar] [CrossRef] [PubMed]
- Conley, J.M.; Funk, D.H.; Hesterberg, D.H.; Hsu, L.-C.; Kan, J.; Liu, Y.-T.; Buchwalter, D.B. Bioconcentration and biotransformation of selenite versus selenate exposed periphyton and subsequent toxicity to the mayfly Centroptilum triangulifer. Environ. Sci. Technol. 2013, 47, 7965–7973. [Google Scholar] [CrossRef] [PubMed]
- Kim, K.S.; Funk, D.H.; Buchwalter, D.B. Dietary (periphyton) and aqueous Zn bioaccumulation dynamics in the mayfly Centroptilum triangulifer. Ecotoxicology 2012, 21, 2288–2296. [Google Scholar] [CrossRef]
- Cain, D.; Croteau, M.; Luoma, S. Bioaccumulation dynamics and exposure routes of Cd and Cu among species of aquatic mayflies. Environ. Toxicol. Chem. 2011, 30, 2532–2541. [Google Scholar] [CrossRef]
- Xie, L.; Funk, D.H.; Buchwalter, D.B. Trophic transfer of Cd from natural periphyton to the grazing mayfly Centroptilum triangulifer in a life cycle test. Environ. Pollut. 2010, 158, 272–277. [Google Scholar] [CrossRef]
- Xie, L.; Buchwalter, D.B. Cadmium exposure route affects antioxidant responses in the mayfly Centroptilum triangulifer. Aquat. Toxicol. 2011, 105, 199–205. [Google Scholar] [CrossRef]
- Turpin-Nagel, K.; Vadas, T.M. Controls on metal exposure to aquatic organisms in urban streams. Environ. Sci. Process. Impacts 2016, 18, 956. [Google Scholar] [CrossRef]
- Luan, H.; Vadas, T.M. Size characterization of dissolved metals and organic matter in source waters to streams in developed landscapes. Environ. Pollut. 2015, 197, 76–83. [Google Scholar] [CrossRef]
- USEPA. Methods for Measuring the Toxicity and Bioaccumulation of Sediment-Associated Contaminants with Freshwater Invertebrates, 2nd ed.; EPA/600/R-99/064; US Environmental Protection Agency: Washington, DC, USA, 2000. [Google Scholar]
- Serra, A.; Corcoll, N.; Guasch, H. Copper accumulation and toxicity in fluvial periphyton: The influence of exposure history. Chemosphere 2009, 74, 633–641. [Google Scholar] [CrossRef]
- Rasband, W. ImageJ, (version 1.54g) MacOS; National Institutes of Health: Bethesda, MD, USA, 2023.
- Ritz, C.; Baty, F.; Streibig, J.C.; Gerhard, D. Dose-response analysis using R. PLoS ONE 2016, 10, e0146021. [Google Scholar] [CrossRef]
- Luan, H. Impacts of Effluent and Stormwater Runoff Sources on Metal Lability and Bioavailability in Developed Streams. Ph.D. Thesis, University of Connecticut, Storrs, CT, USA, 2016. [Google Scholar]
- USEPA. Aquatic Life Ambient Freshwater Quality Criteri-Copper; US Environmental Protection Agency: Washington, DC, USA, 2007. [Google Scholar]
- Borgmann, U.; Couillard, Y.; Doyle, P.; Dixon, D.G. Toxicity of sixty-three metals and metalloids to Hyalella azteca at two levels of water hardness. Environ. Toxicol. Chem. Int. J. 2005, 24, 641–652. [Google Scholar] [CrossRef]
- Borgmann, U.; Nowierski, M.; Dixon, D.G. Effect of major ions on the toxicity of copper to Hyalella azteca and implications for the biotic ligand model. Aquat. Toxicol. 2005, 73, 268–287. [Google Scholar] [CrossRef]
- Borgmann, U. Accumulation, regulation and toxicity of copper, zinc, lead and mercury in Hyalella azteca. Hydrobiologia 1993, 259, 79–89. [Google Scholar] [CrossRef]
- Golding, L.A.; Borgmann, U.; George Dixon, D. Cadmium bioavailability to Hyalella azteca from a periphyton diet compared to an artificial diet and application of a biokinetic model. Aquat. Toxicol. 2013, 126, 291–298. [Google Scholar] [CrossRef]
- Borgmann, U.; Couillard, Y.; Grapentine, L.C. Relative contribution of food and water to 27 metals and metalloids accumulated by caged Hyalella azteca in two rivers affected by metal mining. Environ. Pollut. 2007, 145, 753–765. [Google Scholar] [CrossRef]
- Tipping, E. WHAMC-A chemical equilibrium model and computer code for waters, sediments, and soils incorporating a discrete site/electrostatic model of ion-binding by humic substances. Comput. Geosci. 1994, 20, 973–1023. [Google Scholar] [CrossRef]
- Dwane, G.C.; Tipping, E. Testing a humic speciation model by titration of copper-amended natural water. Environ. Int. 1998, 24, 609. [Google Scholar] [CrossRef]
- Morel, F.M. Complexation: Trace metals and microorganisms. In Principles of Aquatic Chemistry; Morel, F.M., Ed.; Wiley Interscience: New York, NY, USA, 1983; pp. 301–308. [Google Scholar]
- Campbell, P.G.C. Interactions between trace metals and aquatic organisms: A critique of the free-ion activity model. In Metal Speciation and Bioavailability in Aquatic Systems; Tessier, A., Turner, D.R., Eds.; John Wiley and Sons: New York, NY, USA, 1995; pp. 45–102. [Google Scholar]
- Fortin, C. Metal bioavailability in aquatic systems—Beyond complexation and competition. Front. Environ. Chem. 2024, 5, 1345484. [Google Scholar] [CrossRef]
- Laurén, D.J.; McDonald, D.G. Influence of water hardness, pH, and alkalinity on the mechanisms of copper toxicity in juvenile rainbow trout, Salmo gairdneri. Can. J. Fish. Aquat. Sci. 1986, 43, 1488–1496. [Google Scholar] [CrossRef]
- Wood, C.M. Flux measurements as indices of H+ and metal effects on freshwater fish. Aquat. Toxicol. 1992, 22, 239–263. [Google Scholar] [CrossRef]
- Wood, C.; Adams, W.; Ankley, G. Reassessment of metals criteria for aquatic life protection. Environ. Sci. Technol. 1997, 31, 328A. [Google Scholar]
- Paquin, P.R.; Gorsuch, J.W.; Apte, S.; Batley, G.E.; Bowles, K.C.; Campbell, P.G.; Delos, C.G.; Di Toro, D.M.; Dwyer, R.L.; Galvez, F.; et al. The biotic ligand model: A historical overview. Comp. Biochem. Physiol. Part C Toxicol. Pharmacol. 2002, 133, 3–35. [Google Scholar] [CrossRef]
- Erickson, R.J.; Benoit, D.A.; Mattson, V.R.; Leonard, E.N.; Nelson, H.P., Jr. The effects of water chemistry on the toxicity of copper to fathead minnows. Environ. Toxicol. Chem. 1996, 15, 181–193. [Google Scholar] [CrossRef]





| OM Source | Diet | Equilibration | Organic Carbon Conc. | Based on Nominal Cu (µg/L) | Based on Measured Cu (µg/L) | ||
|---|---|---|---|---|---|---|---|
| mg/L | LC50 | EC20 | LC50 | EC20 | |||
| Effluent | Commercial diet | Unequilibrated | 2.5 | Id | Id | Id | Id |
| Pre-equilibrated | 2.5 | Id | Id | 125.7 | 119.3 | ||
| Effluent | Natural diet | Unequilibrated | 2.5 | Id | 183.5 | 105.6 | Id |
| Pre-equilibrated | 2.5 | 83.2 | 50.4 | 84.3 | 39.6 | ||
| Stormwater | Natural diet | Pre-equilibrated | 2.5 | 60.3 | 53.5 | 44.6 | 28.7 |
| Effluent | Natural diet | Pre-equilibrated | 4 | Id | Id | >105.7 | 70.5 |
| Stormwater | Natural diet | Pre-equilibrated | 4 | 82.0 | 61.1 | 76.9 | 56.7 |
Disclaimer/Publisher’s Note: The statements, opinions and data contained in all publications are solely those of the individual author(s) and contributor(s) and not of MDPI and/or the editor(s). MDPI and/or the editor(s) disclaim responsibility for any injury to people or property resulting from any ideas, methods, instructions or products referred to in the content. |
© 2024 by the authors. Licensee MDPI, Basel, Switzerland. This article is an open access article distributed under the terms and conditions of the Creative Commons Attribution (CC BY) license (https://creativecommons.org/licenses/by/4.0/).
Share and Cite
Fuad, N.; Williams, R.; Vadas, T.M. Short-Term Chronic Toxicity of Copper to Hyalella azteca: Contrast in Terms of Equilibrating Diet, Diet Type, and Organic Matter Source. Toxics 2024, 12, 608. https://doi.org/10.3390/toxics12080608
Fuad N, Williams R, Vadas TM. Short-Term Chronic Toxicity of Copper to Hyalella azteca: Contrast in Terms of Equilibrating Diet, Diet Type, and Organic Matter Source. Toxics. 2024; 12(8):608. https://doi.org/10.3390/toxics12080608
Chicago/Turabian StyleFuad, Nafis, Rebecca Williams, and Timothy M. Vadas. 2024. "Short-Term Chronic Toxicity of Copper to Hyalella azteca: Contrast in Terms of Equilibrating Diet, Diet Type, and Organic Matter Source" Toxics 12, no. 8: 608. https://doi.org/10.3390/toxics12080608
APA StyleFuad, N., Williams, R., & Vadas, T. M. (2024). Short-Term Chronic Toxicity of Copper to Hyalella azteca: Contrast in Terms of Equilibrating Diet, Diet Type, and Organic Matter Source. Toxics, 12(8), 608. https://doi.org/10.3390/toxics12080608

