Occurrence, Removal, and Mass Balance of Polycyclic Aromatic Hydrocarbons and Their Derivatives in Wastewater Treatment Plants in Northeast China
Abstract
1. Introduction
2. Materials and Methods
2.1. Samples Collection
2.2. Pretreatment and Instrumental Analysis
2.3. Quality Control/Quality Assurance (QC/QA)
2.4. Statistical Analyses
2.5. Modelling
2.6. Meta-Regression Model
2.7. Mass Loading
2.8. Potential Cancers Risk Assessment
3. Results
3.1. Occurrence and Profiles of PAHs, Me-PAHs, and NPAHs
3.1.1. PAHs, Me-PAHs, and NPAHs in the Influent
3.1.2. PAHs, Me-PAHs, and NPAHs in the Effluent
3.1.3. Comparison of PAHs, Me-PAHs, and NPAHs in Sewage Worldwide
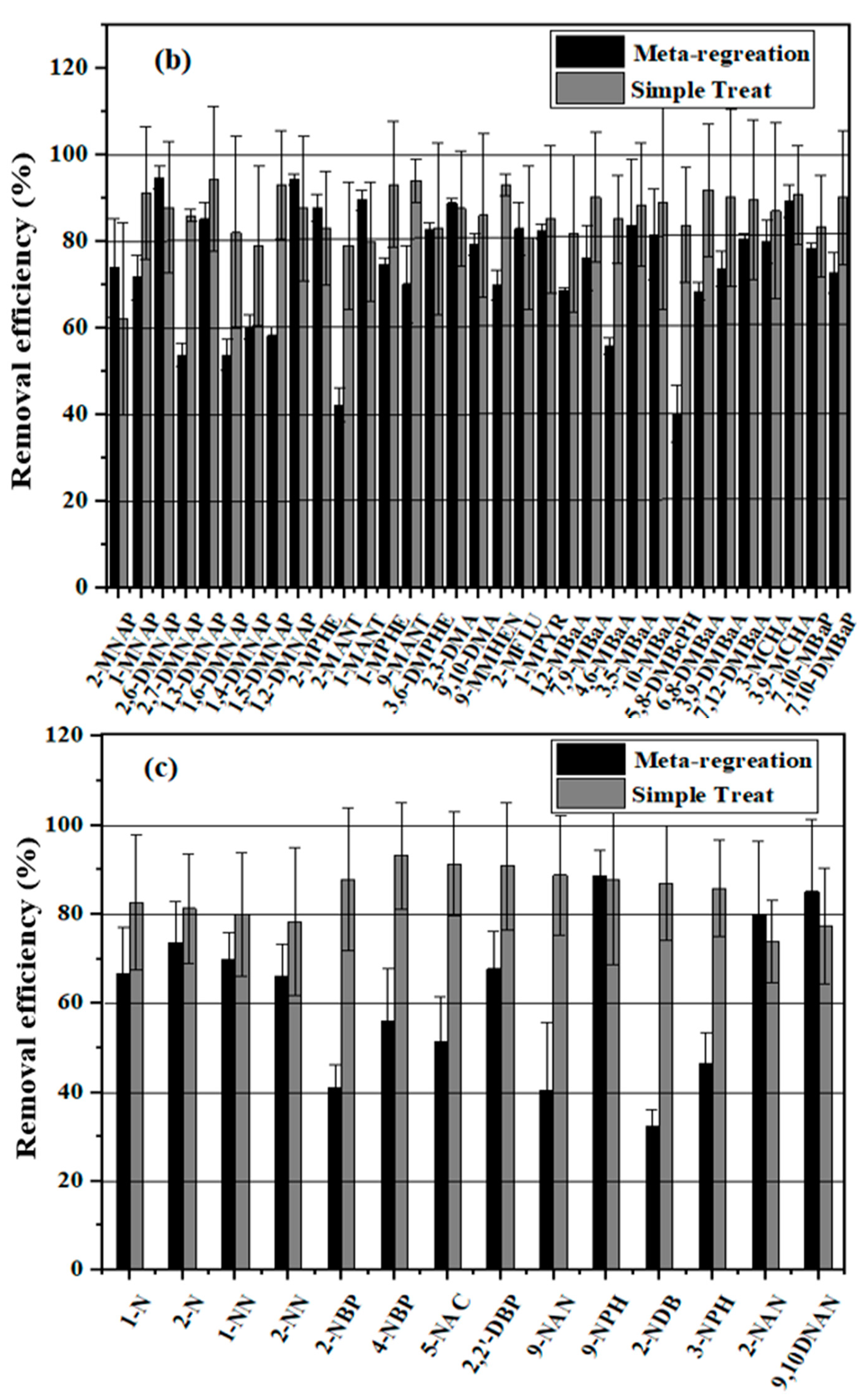
3.2. Removal Efficiencies of PAHs, Me-PAHs, and NPAHs by Model Prediction
3.3. Source Apportionment by Principal Component Analysis
3.4. Source Apportionment by Diagnostic Ratios
3.5. Ecological Risk Assessment
4. Conclusions
Supplementary Materials
Author Contributions
Funding
Institutional Review Board Statement
Informed Consent Statement
Data Availability Statement
Conflicts of Interest
References
- Shi, J.; Xu, C.; Han, H. The concept of anaerobic hydrolysis to produce clean and stable energy from the case study of utilization of three types of pollutants in coal pyrolysis wastewater. Bioresour. Technol. 2020, 298, 122570. [Google Scholar] [CrossRef] [PubMed]
- Han, F.; Guo, H.; Hu, J.; Zhang, J.; Ying, Q.; Zhang, H. Sources and health risks of ambient polycyclic aromatic hydrocarbons in China. Sci. Total Environ. 2020, 698, 134229. [Google Scholar] [CrossRef] [PubMed]
- Marques, B.T.-R.; Kostenidou, E.; Martinez-Valiente, A.; R’Mili, B.; Temime-Roussel, B.; André, M.; Yao, L.; Louis, C.; Vansevenant, B.; Ferry, D.; et al. Emission factors, chemical composition and morphology of particles emitted from Euro 5 diesel and gasoline light-duty vehicles during transient cycles. Atmos. Chem. Phys. Discuss. 2020, 21, 1–33. [Google Scholar] [CrossRef]
- Bandowe, B.A.M.; Meusel, H. Nitrated polycyclic aromatic hydrocarbons (nitro-PAHs) in the environment—A review. Sci. Total Environ. 2017, 581–582, 237–257. [Google Scholar] [CrossRef]
- Qiao, M.; Qi, W.; Liu, H.; Qu, J. Oxygenated, nitrated, methyl and parent polycyclic aromatic hydrocarbons in rivers of Haihe River System, China: Occurrence, possible formation, and source and fate in a water-shortage area. Sci. Total Environ. 2014, 481, 178–185. [Google Scholar] [CrossRef]
- Qiao, M.; Qi, W.; Liu, H.; Bai, Y.; Qu, J. Formation of oxygenated polycyclic aromatic hydrocarbons from polycyclic aromatic hydrocarbons during aerobic activated sludge treatment and their removal process. Chem. Eng. J. 2016, 302, 50–57. [Google Scholar] [CrossRef]
- Santos, L.O.; Santos, A.G.; de Andrade, J.B. Methodology to examine polycyclic aromatic hydrocarbons (PAHs) nitrated PAHs and oxygenated PAHs in sediments of the Paraguacu River (Bahia, Brazil). Mar. Pollut. Bull. 2018, 136, 248–256. [Google Scholar] [CrossRef]
- Liu, Z.; Li, Q.; Wu, Q.; Kuo, D.T.F.; Chen, S.; Hu, X.; Deng, M.; Zhang, H.; Luo, M. Removal Efficiency and Risk Assessment of Polycyclic Aromatic Hydrocarbons in a Typical Municipal Wastewater Treatment Facility in Guangzhou, China. Int. J. Environ. Res. Public Health 2017, 14, 861. [Google Scholar] [CrossRef]
- Qiao, M.; Cao, W.; Liu, B.; Bai, Y.; Qi, W.; Zhao, X.; Qu, J. Impact of upgrading wastewater treatment plant on the removal of typical methyl, oxygenated, chlorinated and parent polycyclic aromatic hydrocarbons. Sci. Total Environ. 2017, 603–604, 140–147. [Google Scholar] [CrossRef] [PubMed]
- Mozo, I.; Bounouba, M.; Mengelle, E.; Lesage, N.; Sperandio, M.; Bessiere, Y. Modelling PAHs removal in activated sludge process: Effect of disintegration. Water Sci. Technol. 2019, 80, 794–805. [Google Scholar] [CrossRef] [PubMed]
- Chen, B.; Yuan, M.; Liu, H. Removal of polycyclic aromatic hydrocarbons from aqueous solution using plant residue ma-terials as a biosorbent. J. Hazard. Mater. 2011, 188, 436–442. [Google Scholar] [CrossRef]
- Song, T.; Tian, W.; Qiao, K.; Zhao, J.; Chu, M.; Du, Z.; Wang, L.; Xie, W. Adsorption Behaviors of Polycyclic Aromatic Hydrocarbons and Oxygen Derivatives in Wastewater on N-Doped Reduced Graphene Oxide. Sep. Purif. Technol. 2021, 254, 117565. [Google Scholar] [CrossRef]
- Kim, Y.; Jeong, D.; Park, K.H.; Yu, J.-H.; Jung, S. Efficient Adsorption on Benzoyl and Stearoyl Cellulose to Remove Phenanthrene and Pyrene from Aqueous Solution. Polymers 2018, 10, 1042. [Google Scholar] [CrossRef]
- Li, W.-L.; Zhang, Z.-F.; Sparham, C.; Li, Y.-F. Validation of sampling techniques and SPE-UPLC/MS/MS for home and personal care chemicals in the Songhua Catchment, Northeast China. Sci. Total Environ. 2020, 707, 136038. [Google Scholar] [CrossRef]
- Lautz, L.S.; Struijs, J.; Nolte, T.M.; Breure, A.M.; Van der Grinten, E.; Van de Meent, D.L.; Van Zels, R. Evaluation of SimpleTreat 4.0: Simulations of pharmaceutical removal in wastewater treatment plant facil-ities. Chemosphere 2017, 168, 870–876. [Google Scholar] [CrossRef]
- Franco, A.; Struijs, J.; Gouin, T.; Price, O.R. Evolution of the sewage treatment plant model SimpleTreat: Use of realistic biodegradability tests in probabilistic model simulations. Integr. Environ. Assess. Manag. 2013, 9, 569–579. [Google Scholar] [CrossRef]
- Struijs, J.; Van De Meent, D.; Schowanek, D.; Buchholz, H.; Patoux, R.; Wolf, T.; Austin, T.; Tolls, J.; Van Leeuwen, K.; Galay-Burgos, M. Adapting SimpleTreat for simulating behaviour of chemical substances during industrial sewage treatment. Chemosphere 2016, 159, 619–627. [Google Scholar] [CrossRef]
- Douziech, M.; Conesa, I.R.; Benítez-López, A.; Franco, A.; Huijbregts, M.; Van Zelm, R. Quantifying variability in removal efficiencies of chemicals in activated sludge wastewater treatment plants—A meta-analytical approach. Environ. Sci. Process. Impacts 2018, 20, 171–182. [Google Scholar] [CrossRef] [PubMed]
- Li, W.-L.; Zhang, Z.-F.; Ma, W.-L.; Liu, L.-Y.; Song, W.-W.; Li, Y.-F. An evaluation on the intra-day dynamics, seasonal variations and removal of selected pharmaceuticals and personal care products from urban wastewater treatment plants. Sci. Total Environ. 2018, 640–641, 1139–1147. [Google Scholar] [CrossRef] [PubMed]
- Alves, C.A.; Vicente, A.M.; Custódio, D.; Cerqueira, M.; Nunes, T.; Pio, C.; Lucarelli, F.; Calzolai, G.; Nava, S.; Diapouli, E.; et al. Polycyclic aromatic hydrocarbons and their derivatives (nitro-PAHs, oxygenated PAHs, and azaarenes) in PM 2.5 from Southern European cities. Sci. Total Environ. 2017, 595, 494–504. [Google Scholar] [CrossRef] [PubMed]
- Ibe, F.C.; Duru, C.E.; Isiuku, B.O.; Akalazu, J.N. Ecological risk assessment of the levels of polycyclic aromatic hydrocarbons in soils of the abandoned sections of Orji Mechanic Village, Owerri, Imo State, Nigeria. Bull. Natl. Res. Cent. 2021, 45, 1–16. [Google Scholar] [CrossRef]
- Balgobin, A.; Singh, N.R. Source apportionment and seasonal cancer risk of polycyclic aromatic hydrocarbons of sediments in a multi-use coastal environment containing a Ramsar wetland, for a Caribbean island. Sci. Total Environ. 2019, 664, 474–486. [Google Scholar] [CrossRef]
- Brewster, C.S.; Sharma, V.K.; Cizmas, L.; McDonald, T.J. Occurrence, distribution and composition of aliphatic and polycyclic aromatic hydrocarbons in sediment cores from the Lower Fox River, Wisconsin, US. Environ. Sci. Pollut. Res. 2018, 25, 4974–4988. [Google Scholar] [CrossRef] [PubMed]
- Cao, W.; Qiao, M.; Liu, B.; Zhao, X. Occurrence of parent and substituted polycyclic aromatic hydrocarbons in typical wastewater treatment plants and effluent receiving rivers of Beijing, and risk assessment. J. Environ. Sci. Heal. Part A 2018, 53, 1–8. [Google Scholar] [CrossRef]
- Berardi, C.; Fibbi, D.; Coppini, E.; Renai, L.; Caprini, C.; Scordo, C.V.A.; Checchini, L.; Orlandini, S.; Bruzzoniti, M.C.; del Bubba, M. Removal efficiency and mass balance of polycyclic aromatic hydrocarbons, phthalates, ethoxylated al-kylphenols and alkylphenols in a mixed textile-domestic wastewater treatment plant. Sci. Total Environ. 2019, 674, 36–48. [Google Scholar] [CrossRef] [PubMed]
- Sánchez-Avila, J.; Bonet, J.; Velasco, G.; Lacorte, S. Determination and occurrence of phthalates, alkylphenols, bisphenol A, PBDEs, PCBs and PAHs in an industrial sewage grid discharging to a Municipal Wastewater Treatment Plant. Sci. Total Environ. 2009, 407, 4157–4167. [Google Scholar] [CrossRef]
- Wang, X.; Xi, B.; Huo, S.; Sun, W.; Pan, H.; Zhang, J.; Ren, Y.; Liu, H. Characterization, treatment and releases of PBDEs and PAHs in a typical municipal sewage treatment plant situated beside an urban river, East China. J. Environ. Sci. 2013, 25, 1281–1290. [Google Scholar] [CrossRef]
- Manoli, E.; Samara, C. The removal of Polycyclic Aromatic Hydrocarbons in the wastewater treatment process: Experi-mental calculations and model predictions. Environ. Pollut. 2008, 151, 477–485. [Google Scholar] [CrossRef]
- Man, Y.B.; Chow, K.L.; Cheng, Z.; Mo, W.Y.; Chan, Y.H.; Lam, J.C.W.; Lau, F.T.K.; Fung, W.C.; Wong, M.H. Profiles and removal efficiency of polycyclic aromatic hydrocarbons by two different types of sewage treatment plants in Hong Kong. J. Environ. Sci. 2017, 53, 196–206. [Google Scholar] [CrossRef]
- Tian, W.; Bai, J.; Liu, K.; Sun, H.; Zhao, Y. Occurrence and removal of polycyclic aromatic hydrocarbons in the wastewater treatment process. Ecotoxicol. Environ. Saf. 2012, 82, 1–7. [Google Scholar] [CrossRef]
- Yao, M.; Zhang, X.; Lei, L. Polycyclic aromatic hydrocarbons in the centralized wastewater treatment plant of a chemical industry zone: Removal, mass balance and source analysis. Sci. China Ser. B Chem. 2011, 55, 416–425. [Google Scholar] [CrossRef]
- Sun, S.; Jia, L.; Li, B.; Yuan, A.; Kong, L.; Qi, H.; Ma, W.; Zhang, A.; Wu, Y. The occurrence and fate of PAHs over multiple years in a wastewater treatment plant of Harbin, Northeast China. Sci. Total Environ. 2018, 624, 491–498. [Google Scholar] [CrossRef] [PubMed]
- Biel-Maeso, M.; Corada-Fernández, C.; Lara-Martín, P.A. Removal of personal care products (PCPs) in wastewater and sludge treatment and their occurrence in receiving soils. Water Res. 2019, 150, 129–139. [Google Scholar] [CrossRef]
- Fountoulakis, M.; Terzakis, S.; Kalogerakis, N.; Manios, T. Removal of polycyclic aromatic hydrocarbons and linear alkylbenzene sulfonates from domestic wastewater in pilot constructed wetlands and a gravel filter. Ecol. Eng. 2009, 35, 1702–1709. [Google Scholar] [CrossRef]
- Ozaki, N.; Takamura, Y.; Kojima, K.; Kindaichi, T. Loading and removal of PAHs in a wastewater treatment plant in a separated sewer system. Water Res. 2015, 80, 337–345. [Google Scholar] [CrossRef] [PubMed]
- Qiao, M.; Qi, W.; Liu, H.; Qu, J. Occurrence, behavior and removal of typical substituted and parent polycyclic aromatic hydrocarbons in a biological wastewater treatment plant. Water Res. 2014, 52, 11–19. [Google Scholar] [CrossRef] [PubMed]
- Lee, I.-S.; Sim, W.-J.; Kim, C.-W.; Chang, Y.-S.; Oh, J.-E. Characteristic occurrence patterns of micropollutants and their removal efficiencies in industrial wastewater treatment plants. J. Environ. Monit. 2011, 13, 391–397. [Google Scholar] [CrossRef]
- Zhao, J.; Tian, W.; Liu, S.; Wang, Z.; Du, Z.; Xie, W. Existence, removal and transformation of parent and nitrated polycyclic aromatic hydrocarbons in two biological wastewater treatment processes. Chemosphere 2019, 224, 527–537. [Google Scholar] [CrossRef]
- Vogelsang, C.; Grung, M.; Jantsch, T.G.; Tollefsen, K.E.; Liltved, H. Occurrence and removal of selected organic micropollutants at mechanical, chemical and advanced wastewater treatment plants in Norway. Water Res. 2006, 40, 3559–3570. [Google Scholar] [CrossRef]
- Cai, C.; Li, J.; Wu, D.; Wang, X.; Tsang, D.C.; Li, X.; Sun, J.; Zhu, L.; Shen, H.; Tao, S.; et al. Spatial distribution, emission source and health risk of parent PAHs and derivatives in surface soils from the Yangtze River Delta, eastern China. Chemosphere 2017, 178, 301–308. [Google Scholar] [CrossRef]
- Bergqvist, P.A.; Augulyte, L.; Jurjoniene, V. PAH and PCB removal efficiencies in Umea (Sweden) and Siauliai (Lithuania) municipal wastewater treatment plants. Water Air Soil Pollut. 2006, 175, 291–303. [Google Scholar] [CrossRef]
- Ashayeri, N.Y.; Keshavarzi, B.; Moore, F.; Kersten, M.; Yazdi, M.; Lahijanzadeh, A.R. Presence of polycyclic aromatic hydrocarbons in sediments and surface water from Shadegan wetland—Iran: A focus on source apportionment, human and ecological risk assessment and Sediment-Water Exchange. Ecotoxicol. Environ. Saf. 2018, 148, 1054–1066. [Google Scholar] [CrossRef]
- Mezzanotte, V.; Anzano, M.; Collina, E.; Marazzi, F.A.; Lasagni, M. Distribution and Removal of Polycyclic Aromatic Hydrocarbons in Two Italian Municipal Wastewater Treatment Plants in 2011–2013. Polycycl. Aromat. Compd. 2016, 36, 213–228. [Google Scholar] [CrossRef]
- Paris, A.; Ledauphin, J.; Poinot, P.; Gaillard, J.-L. Polycyclic aromatic hydrocarbons in fruits and vegetables: Origin, analysis, and occurrence. Environ. Pollut. 2018, 234, 96–106. [Google Scholar] [CrossRef]




| Compound | Influent (µg/L) | Effluent (µg/L) | ||||
|---|---|---|---|---|---|---|
| Range | Mean | Median | Range | Mean | Median | |
| ∑PAHs | 2.01–8.91 | 4.58 | 3.97 | 0.17–1.37 | 0.54 | 0.48 |
| LMW PAHs | 1.24–6.05 | 3.13 | 2.63 | 0.13–1.01 | 0.39 | 0.34 |
| HMW PAHs | 0.75–2.85 | 1.44 | 1.33 | 0.04–0.35 | 0.15 | 0.13 |
| LMW/HMW | 1.65–2.12 | 2.17 | 1.97 | 3.25–2.90 | 2.6 | 2.61 |
| ∑Me-PAHs | 23.0–102 | 46.6 | 38.5 | 0.06–0.41 | 0.18 | 0.16 |
| LMW Me-PAHs | 19.3–67.9 | 36.8 | 31.5 | 0.06–0.26 | 0.11 | 0.09 |
| HMW Me-PAHs | 3.76–34.6 | 10.22 | 7.16 | BDL-0.15 | 0.06 | 0.06 |
| LMW/HMW | 1.96–5.13 | 3.60 | 4.37 | 118–1.74 | 1.82 | 1.54 |
| ∑NPAHs | 6.21–171 | 47.3 | 31.0 | 0.01–2.41 | 0.30 | 0.76 |
| LMW NPAHs | 6.21–171 | 47.3 | 31.0 | 0.01–0.37 | 0.30 | 0.76 |
| Country | Sampling Sites | Concentrations of PAHs | N of PAHs | Reference | |
|---|---|---|---|---|---|
| Influent | Effluent | ||||
| China | Heilongjiang, Province | 4.58 | 0.55 | 16 PAHs | This study |
| China | Hong Kong | 0.30 | 0.02 | 16 PAHs | [29] |
| China | Tai’an City | 1.16 | 0.13 | 16 PAHs | [30] |
| China | Zhejiang Province | 0.45 | 0.01 | 16 PAHs | [31] |
| China | Hefei City | 5.76 | 2.24 | 16 PAHs | [27] |
| China | Guangzhou, China | 0.93 | 0.19 | 16 PAHs | [8] |
| China | Harbin, Northeast | 4.08 | 0.86 | 16 PAHs | [32] |
| Spain | Maresme, Catalonia | 14.29 | 3.91 | 16 PAHs | [26] |
| Korea | Daegu, Korea | 1.35 | 0.44 | 16 PAHs | [37] |
| Spain | Jerez de la Frontera | 1.92 | 0.50 | 10 PAHs | [33] |
| Greece | Heraklion, Crete, South | 0.79 | - | 16 PAHs | [34] |
| Greece | Thessaloniki, northern | 11.07 | 5.64 | 16 PAHs | [28] |
| China | Southeast of Shandong | 1.19 | 0.24 | 5 NPAHs | [38] |
| Japan | Higashi-Hiroshima City | 0.219 | 0.043 | 16 PAHs | [35] |
| China | Heilongjiang, Province | 46.60 | 0.18 | 33 Me-PAHs | This study |
| China | Heilongjiang, Province | 47.70 | 0.11 | 14 NPAHs | This study |
| PAHs | TEF | WWTP 1 | WWTP 2 | WWTP 3 | WWTP 4 | WWTP 5 | WWTP 6 | WWTP 7 | WWTP 8 | WWTP 9 | WWTP 10 |
|---|---|---|---|---|---|---|---|---|---|---|---|
| NaP | 0.001 | 0.10 | 0.04 | 0.14 | 0.13 | 0.15 | 0.09 | 0.27 | 0.17 | 0.13 | 0.06 |
| Acy | 0.001 | 0.02 | 0.01 | 0.01 | 0.03 | 0.05 | 0.02 | 0.03 | 0.02 | 0.01 | 0.02 |
| Ace | 0.001 | 0.01 | 0.00 | 0.01 | 0.01 | 0.01 | 0.01 | 0.01 | 0.02 | 0.01 | 0.00 |
| Flu | 0.001 | 0.04 | 0.05 | 0.06 | 0.05 | 0.01 | 0.04 | 0.07 | 0.14 | 0.04 | 0.02 |
| Phe | 0.001 | 0.09 | 0.14 | 0.12 | 0.14 | 0.04 | 0.09 | 0.11 | 0.45 | 0.08 | 0.05 |
| Ant | 0.01 | 0.11 | 0.11 | 0.08 | 0.20 | 0.23 | 0.12 | 0.28 | 0.49 | 0.13 | 0.07 |
| Fluo | 0.001 | 0.01 | 0.01 | 0.02 | 0.04 | 0.02 | 0.02 | 0.05 | 0.09 | 0.01 | 0.02 |
| Pyr | 0.001 | 0.01 | 0.01 | 0.03 | 0.03 | 0.03 | 0.03 | 0.06 | 0.05 | 0.01 | 0.01 |
| BaA | 0.1 | 0.27 | 0.43 | 4.90 | 1.93 | 3.50 | 4.07 | 2.44 | 0.76 | 0.44 | 0.67 |
| Chr | 0.01 | 0.02 | 0.02 | 0.33 | 0.25 | 0.22 | 0.27 | 0.17 | 0.07 | 0.02 | 0.04 |
| BbF | 0.1 | 0.42 | 0.73 | 2.57 | 2.61 | 3.07 | 1.87 | 1.97 | 0.66 | 0.55 | 1.05 |
| BkF | 0.1 | 0.96 | 0.53 | 0.89 | 1.99 | 2.38 | 1.13 | 2.46 | 2.36 | 0.86 | 0.93 |
| BaP | 1 | BDL | BDL | 9.69 | 17.7 | 14.2 | 11.3 | 14.2 | 4.62 | 3.40 | 17.6 |
| IcdP | 0.1 | BDL | BDL | 0.86 | 1.39 | 0.86 | 0.73 | 0.56 | BDL | BDL | BDL |
| DahA | 1 | BDL | BDL | 4.97 | 5.37 | 4.12 | 5.18 | BDL | BDL | BDL | BDL |
| BghiP | 0.01 | 0.01 | 0.02 | 0.15 | 0.14 | 0.21 | 0.21 | 0.14 | 0.03 | BDL | 0.04 |
| ∑7 PAHscarc | 2.41 | 1.68 | 1.72 | 24.2 | 31.2 | 28.4 | 24.6 | 21.8 | 8.49 | 5.28 | 20.3 |
| ∑ 16 PAHs | 2.43 | 2.12 | 2.16 | 24.8 | 32.12 | 29.2 | 25.2 | 22.9 | 10.0 | 5.75 | 20.6 |
Publisher’s Note: MDPI stays neutral with regard to jurisdictional claims in published maps and institutional affiliations. |
© 2021 by the authors. Licensee MDPI, Basel, Switzerland. This article is an open access article distributed under the terms and conditions of the Creative Commons Attribution (CC BY) license (https://creativecommons.org/licenses/by/4.0/).
Share and Cite
Mohammed, R.; Zhang, Z.-F.; Jiang, C.; Hu, Y.-H.; Liu, L.-Y.; Ma, W.-L.; Song, W.-W.; Nikolaev, A.; Kallenborn, R.; Li, Y.-F. Occurrence, Removal, and Mass Balance of Polycyclic Aromatic Hydrocarbons and Their Derivatives in Wastewater Treatment Plants in Northeast China. Toxics 2021, 9, 76. https://doi.org/10.3390/toxics9040076
Mohammed R, Zhang Z-F, Jiang C, Hu Y-H, Liu L-Y, Ma W-L, Song W-W, Nikolaev A, Kallenborn R, Li Y-F. Occurrence, Removal, and Mass Balance of Polycyclic Aromatic Hydrocarbons and Their Derivatives in Wastewater Treatment Plants in Northeast China. Toxics. 2021; 9(4):76. https://doi.org/10.3390/toxics9040076
Chicago/Turabian StyleMohammed, Rashid, Zi-Feng Zhang, Chao Jiang, Ying-Hua Hu, Li-Yan Liu, Wan-Li Ma, Wei-Wei Song, Anatoly Nikolaev, Roland Kallenborn, and Yi-Fan Li. 2021. "Occurrence, Removal, and Mass Balance of Polycyclic Aromatic Hydrocarbons and Their Derivatives in Wastewater Treatment Plants in Northeast China" Toxics 9, no. 4: 76. https://doi.org/10.3390/toxics9040076
APA StyleMohammed, R., Zhang, Z.-F., Jiang, C., Hu, Y.-H., Liu, L.-Y., Ma, W.-L., Song, W.-W., Nikolaev, A., Kallenborn, R., & Li, Y.-F. (2021). Occurrence, Removal, and Mass Balance of Polycyclic Aromatic Hydrocarbons and Their Derivatives in Wastewater Treatment Plants in Northeast China. Toxics, 9(4), 76. https://doi.org/10.3390/toxics9040076

