Development of a Method for Simultaneous Analysis of Allergenic Flavoring Agents in Cigarettes and Quantitative Risk Assessment for Consumer Safety
Abstract
1. Introduction
2. Materials and Methods
2.1. Chemicals
2.2. Sample Preparation
2.3. Method Validation
2.4. GC-MS/MS Analysis
2.5. Statistical Analysis
2.6. Estimation of Inhalation Exposure from Allergenic Flavoring Agents among Cigarette Smokers
- C (μg/cigarette): content of allergen per cigarette
- N: average number of cigarettes smoked per day
- ED (years): exposure duration
- EF (days/years): exposure frequency
- IR (m3/day): daily inhalation rate
- AT (h): averaging time (ED × 365 days/year)
2.7. Risk Characterization
3. Results
3.1. Method Validation
3.2. Applicability of Analysis Method to Commercial Cigarettes
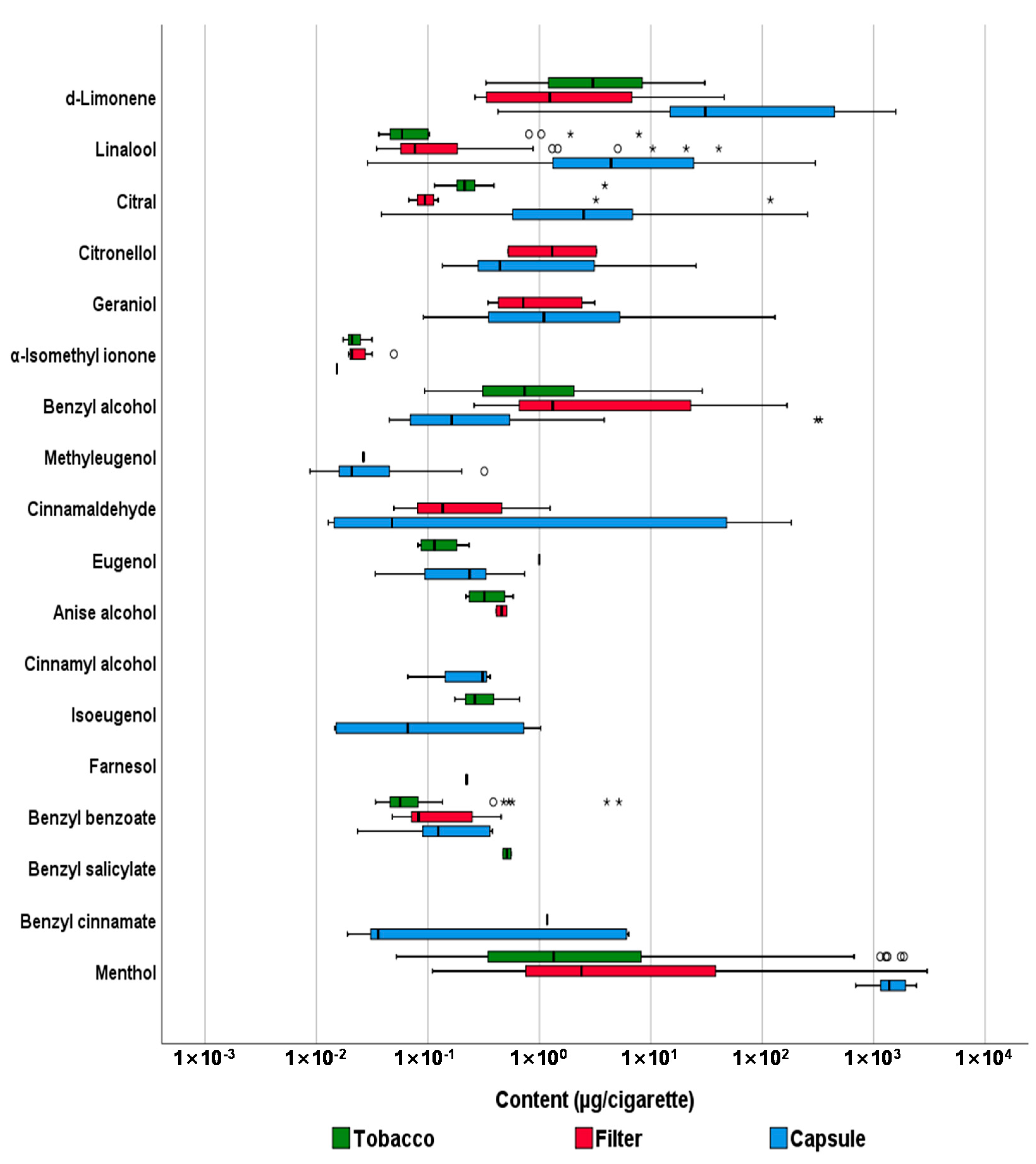
3.3. Comparison of Levels of Flavoring Agents between Non-Capsule and Capsule Cigarettes
3.4. Estimation of Inhalation Exposure and Risk Characterization
4. Discussion
5. Conclusions
Supplementary Materials
Author Contributions
Funding
Institutional Review Board Statement
Informed Consent Statement
Data Availability Statement
Conflicts of Interest
References
- FDA (Food and Drug Administration). Substances Added to Food (Formerly EAFUS). Available online: https://www.cfsanappsexternal.fda.gov/scripts/fdcc/?set=FoodSubstances (accessed on 30 October 2020).
- FEMA Expert Panel Flavor Ingredient Library. Available online: https://www.femaflavor.org/flavor-library (accessed on 20 February 2020).
- Nair, U. Additives in Tobacco Products: Contribution of Carob Bean Extract, Cellulose Fibre, Guar Gum, Liquorice, Menthol, Prune Juice Concentrate and Vanillin to Attractiveness, Addictiveness and Toxicity of Tobacco Smoking; German Cancer Research Center: Heidelberg, Germany, 2012; pp. 1–31. [Google Scholar]
- SCENIHR (Scientific Committee on Emerging and Newly Identified Health Risks). Final Opinion on the Additives Used in Tobacco Products; SCENIHR: Luxembourg, Luxembourg, 2016. [Google Scholar] [CrossRef]
- European Commission Regulation (EC) No 1223/2009 of the European Parliament and of the Council of 30 November 2009 on cosmetic products. Off. J. Eur. Union L 2009, 342, 59–208.
- European Commission. Directive 2009/48/EC of the European Parliament and of the Council of 18 June 2009 on the safety of toys. Off. J. Eur. Union L 2009, 170, 1–37. [Google Scholar]
- SCCS (Scientific Committee on Consumer Safety). Opinion on Fragrance Allergens in Cosmetic Products; SCCS: Brussels, Belgium, 2012. [Google Scholar] [CrossRef]
- Cohen, S.M.; Eisenbrand, G.; Fukushima, S.; Gooderham, N.J.; Guengerich, F.P.; Hecht, S.S.; Rietjens, I.M.C.M.; Smith, R.L. GRAS 28 flavoring substances. Food Technol. 2018, 72, 62–77. [Google Scholar]
- European Commission Regulation (EC) No 1334/2008 of the European Parliament and of the Council of 16 December 2008 on flavourings and certain food ingredients with flavouring properties for use in and on foods and amending Council Regulation (EEC) No 1601/91, Regulations (EC). Off. J. Eur. Union L 2008, 354, 34–50.
- FDA (Food and Drug Administration). Food Additive Regulations: Synthetic Flavoring Agents and Adjuvants. Fed. Regist. 2018, 83, 50490–50503. [Google Scholar]
- FDA (Food and Drug Administration). Substances Prohibited from Use in Human Food. Available online: https://www.accessdata.fda.gov/scripts/cdrh/cfdocs/cfcfr/CFRSearch.cfm?CFRPart=189 (accessed on 20 October 2020).
- European Commission Commission Regulation (EU) 2017/1410 of 2 August 2017 amending Annexes II and III to Regulation (EC) No 1223/2009 of the European Parliament and of the Council on cosmetic products. Off. J. Eur. Union L 2017, 202, 1–3.
- Cai, J.; Liu, B.; Ling, P.; Su, Q. Analysis of free and bound volatiles by gas chromatography and gas chromatography–mass spectrometry in uncased and cased tobaccos. J. Chromatogr. A 2002, 947, 267–275. [Google Scholar] [CrossRef]
- Shen, J.; Shao, X. A comparison of accelerated solvent extraction, Soxhlet extraction, and ultrasonic-assisted extraction for analysis of terpenoids and sterols in tobacco. Anal. Bioanal. Chem. 2005, 383, 1003–1008. [Google Scholar] [CrossRef] [PubMed]
- Merckel, C.; Pragst, F.; Ratzinger, A.; Aebi, B.; Bernhard, W.; Sporkert, F. Application of headspace solid phase microextraction to qualitative and quantitative analysis of tobacco additives in cigarettes. J. Chromatogr. A 2006, 1116, 10–19. [Google Scholar] [CrossRef] [PubMed]
- Ding, Y.; Zhu, L.; Liu, S.; Yu, H.; Dai, Y. Analytical method of free and conjugated neutral aroma components in tobacco by solvent extraction coupled with comprehensive two-dimensional gas chromatography–time-of-flight mass spectrometry. J. Chromatogr. A 2013, 1280, 122–127. [Google Scholar] [CrossRef] [PubMed]
- Lisko, J.G.; Stanfill, S.B.; Watson, C.H. Quantitation of ten flavor compounds in unburned tobacco products. Anal. Methods 2014, 6, 4698–4704. [Google Scholar] [CrossRef] [PubMed]
- ECHA (European Chemicals Agency). International Uniform Chemical Information Database (IUCLID6). Available online: https://iuclid6.echa.europa.eu/ (accessed on 13 November 2020).
- Kim, H.S.; Pack, E.C.; Koo, Y.J.; Lee, Y.J.; Sung, D.K.; Lee, S.H.; Kim, Y.S.; Kwon, K.H.; Lim, K.M.; Jang, D.Y.; et al. Quantitative analysis of menthol and identification of other flavoring ingredients in capsule cigarettes marketed in Korea. Regul. Toxicol. Pharmacol. 2018, 92, 420–428. [Google Scholar] [CrossRef]
- EPA (Environmental Protection Agency). Risk Assessment Guidance for Superfund: Volume I Human Health Evaluation Manual (Part F, Supplemental Guidance for Inhalation Risk Assessment); Environmental Protection Agency: Washington, DC, USA, 2009. [Google Scholar]
- Marano, K.M.; Liu, C.; Fuller, W.; Gentry, P.R. Quantitative risk assessment of tobacco products: A potentially useful component of substantial equivalence evaluations. Regul. Toxicol. Pharmacol. 2018, 95, 371–384. [Google Scholar] [CrossRef] [PubMed]
- KCDC (Korea Centers for Disease Control and Prevention). Korea Youth Risk Behavior Web-Based Survey. Available online: http://kosis.kr/statHtml/statHtml.do?orgId=177&tblId=DT_117_12_Y009&vw_cd=MT_ZTITLE&list_id=117_11758_008&seqNo=&lang_mode=ko&language=kor&obj_var_id=&itm_id=&conn_path=MT_ZTITLE (accessed on 28 September 2020).
- Statistics Korea Life Tables. Available online: http://kosis.kr/statisticsList/statisticsListIndex.do?menuId=M_01_01&vwcd=MT_ZTITLE&parmTabId=M_01_01&parentId=F.1;F_29.2;#F_29.2 (accessed on 24 August 2020).
- Jang, J.Y.; Kim, S.Y.; Kim, S.J.; Lee, K.E.; Cheong, H.K.; Kim, E.H.; Choi, K.H.; Kim, Y.H. General factors of the Korean exposure factors handbook. J. Prev. Med. Public Health 2014, 47, 7. [Google Scholar] [CrossRef] [PubMed]
- KCDC (Korea Centers for Disease Control and Prevention). The Seventh Korea National Health and Nutrition Examination Survey (KNHANES VII-3). Available online: http://kosis.kr/statHtml/statHtml.do?orgId=177&tblId=DT_11702_N003&vw_cd=MT_ZTITLE&list_id=117_11702_A01_011&seqNo=&lang_mode=ko&language=kor&obj_var_id=&itm_id=&conn_path=MT_ZTITLE (accessed on 13 September 2020).
- ECHA (European Chemicals Agency). Guidance on Information Requirements and Chemical Safety Assessment; Chapter R.8: Characterisation of Dose [Concentration]–Response for Human Health; ECHA: Helsinki, Finland, 2012. [Google Scholar]
- ECHA (European Chemicals Agency). Guidance on Information Requirements and Chemical Safety Assessment; Chapter R.15: Consumer Exposure Estimation; ECHA: Helsinki, Finland, 2012. [Google Scholar]
- WHO (World Health Organization). Work in Progress in Relation to Articles 9 and 10 of the WHO FCTC; World Health Organization: Geneva, Switzerland, 2014. [Google Scholar]
- FDA (Food and Drug Administration) Harmful and Potentially Harmful Constituents in Tobacco Products and Tobacco Smoke; Established List. Fed. Regist. 2012, 77, 20034–20037.
- Mariner, D.C.; Ashley, M.; Shepperd, C.J.; Mullard, G.; Dixon, M. Mouth level smoke exposure using analysis of filters from smoked cigarettes: A study of eight countries. Regul. Toxicol. Pharmacol. 2011, 61, S39–S50. [Google Scholar] [CrossRef] [PubMed]





| Compound | Tobacco (n = 54) | Filter Tip (n = 54) | Capsule (n = 42) | |||||||||||||||
|---|---|---|---|---|---|---|---|---|---|---|---|---|---|---|---|---|---|---|
| N | Mean | Median | SD | Min | Max | N | Mean | Median | SD | Min | Max | N | Mean | Median | SD | Min | Max | |
| D-Limonene | 7 | 8.50 | 3.02 | 10.93 | 0.33 | 30.49 | 11 | 8.85 | 1.24 | 14.68 | 0.26 | 45.62 | 40 | 265.07 | 30.87 | 379.35 | 0.43 | 1578.66 |
| Linalool | 21 | 0.60 | 0.06 | 1.68 | 0.04 | 7.83 | 44 | 1.92 | 0.08 | 6.85 | 0.03 | 40.69 | 41 | 33.31 | 4.39 | 63.04 | 0.03 | 299.91 |
| Methyl 2-octynoate | 0 | ND | - | - | - | - | 0 | ND | - | - | - | - | 0 | ND | - | - | - | - |
| Citral | 54 | 0.29 | 0.21 | 0.49 | 0.11 | 3.87 | 16 | 7.67 | 0.09 | 28.57 | 0.07 | 118.27 | 29 | 24.62 | 2.50 | 64.42 | 0.04 | 255.34 |
| Citronellol | 0 | ND | - | - | - | - | 2 | 1.89 | 1.89 | 1.36 | 0.53 | 3.25 | 25 | 2.81 | 0.44 | 5.45 | 0.14 | 25.49 |
| Geraniol | 0 | ND | - | - | - | - | 6 | 1.30 | 0.74 | 1.08 | 0.35 | 3.14 | 26 | 9.74 | 1.10 | 25.91 | 0.09 | 130.26 |
| α-Isomethyl ionone | 12 | 0.02 | 0.02 | 0.00 | 0.02 | 0.03 | 8 | 0.03 | 0.02 | 0.01 | 0.02 | 0.05 | 1 | 0.02 | 0.02 | 0.00 | 0.02 | 0.02 |
| Benzyl alcohol | 52 | 2.80 | 0.74 | 5.52 | 0.09 | 28.97 | 54 | 18.43 | 1.32 | 36.17 | 0.26 | 166.73 | 21 | 30.78 | 0.16 | 93.53 | 0.05 | 330.43 |
| Hydroxycitronellal | 0 | ND | - | - | - | - | 0 | ND | - | - | - | - | 0 | ND | - | - | - | - |
| Methyl eugenol | 0 | ND | - | - | - | - | 1 | 0.03 | 0.03 | 0.00 | 0.03 | 0.03 | 12 | 0.06 | 0.02 | 0.09 | 0.01 | 0.32 |
| Cinnamaldehyde | 0 | ND | - | - | - | - | 7 | 0.36 | 0.14 | 0.40 | 0.05 | 1.25 | 10 | 43.56 | 0.05 | 69.30 | 0.01 | 182.40 |
| Lilial | 0 | ND | - | - | - | - | 0 | ND | - | - | - | - | 0 | ND | - | - | - | - |
| Eugenol | 4 | 0.14 | 0.12 | 0.06 | 0.08 | 0.23 | 1 | 1.00 | 1.00 | 0.00 | 1.00 | 1.00 | 27 | 0.24 | 0.24 | 0.17 | 0.03 | 0.74 |
| α-Amylcinnamaldehyde | 0 | ND | - | - | - | - | 0 | ND | - | - | - | - | 0 | ND | - | - | - | - |
| Anise alcohol | 4 | 0.37 | 0.33 | 0.14 | 0.22 | 0.58 | 2 | 0.46 | 0.46 | 0.05 | 0.41 | 0.51 | 0 | ND | - | - | - | - |
| Cinnamyl alcohol | 0 | ND | - | - | - | - | 0 | ND | - | - | - | - | 3 | 0.25 | 0.31 | 0.13 | 0.07 | 0.36 |
| Isoeugenol | 5 | 0.34 | 0.26 | 0.18 | 0.17 | 0.66 | 0 | ND | - | - | - | - | 5 | 0.37 | 0.07 | 0.43 | 0.01 | 1.03 |
| α-Hexylcinnamaldehyde | 0 | ND | - | - | - | - | 0 | ND | - | - | - | - | 0 | ND | - | - | - | - |
| Farnesol | 0 | ND | - | - | - | - | 0 | ND | - | - | - | - | 2 | 0.22 | 0.22 | 0.00 | 0.22 | 0.22 |
| Coumarin | 0 | ND | - | - | - | - | 0 | ND | - | - | - | - | 0 | ND | - | - | - | - |
| HICC | 0 | ND | - | - | - | - | 0 | ND | - | - | - | - | 0 | ND | - | - | - | - |
| α-Amylcinnamyl alcohol | 0 | ND | - | - | - | - | 0 | ND | - | - | - | - | 0 | ND | - | - | - | - |
| Benzyl benzoate | 31 | 0.41 | 0.06 | 1.12 | 0.03 | 5.18 | 9 | 0.18 | 0.08 | 0.14 | 0.05 | 0.45 | 7 | 0.20 | 0.12 | 0.14 | 0.02 | 0.38 |
| Benzyl salicylate | 2 | 0.51 | 0.51 | 0.04 | 0.47 | 0.56 | 0 | ND | - | - | - | - | 0 | ND | - | - | - | - |
| Benzyl cinnamate | 0 | ND | - | - | - | - | 1 | 1.18 | 1.18 | 0.00 | 1.18 | 1.18 | 6 | 2.08 | 0.04 | 2.91 | 0.02 | 6.32 |
| Menthol | 53 | 191.07 | 1.34 | 448.81 | 0.05 | 1868.14 | 53 | 417.05 | 2.39 | 863.24 | 0.11 | 3011.88 | 42 | 1518.22 | 1378.95 | 450.78 | 689.47 | 2419.50 |
| Compound | N | Kruskal-Wallis Test | Pairwise Comparisons Using Dunn-Bonferroni Test | ||||
|---|---|---|---|---|---|---|---|
| H | df | p-Value | Mean Difference | p-Value | |||
| All analytes | 757 | 56.721 | 2 | <0.001 *** | tobacco-filter tip | −3.325 | 0.003 ** |
| tobacco-capsule | −7.511 | <0.001 *** | |||||
| filter tip-capsule | −3.770 | <0.001 *** | |||||
| D-Limonene | 58 | 17.768 | 2 | <0.001 *** | tobacco-filter tip | −0.336 | 1.000 |
| tobacco-capsule | −2.669 | 0.023 * | |||||
| filter tip-capsule | −3.688 | 0.001 ** | |||||
| Linalool | 106 | 50.156 | 2 | <0.001 *** | tobacco-filter tip | −0.967 | 1.000 |
| tobacco-capsule | −5.861 | <0.001 *** | |||||
| filter tip-capsule | −6.064 | <0.001 *** | |||||
| Citral | 99 | 28.855 | 2 | <0.001 *** | tobacco-filter tip | −3.308 | 0.006 ** |
| tobacco-capsule | −3.347 | 0.002 ** | |||||
| filter tip-capsule | −5.293 | <0.001 *** | |||||
| Benzyl alcohol | 127 | 25.216 | 2 | <0.001 *** | tobacco-filter tip | −2.981 | 0.009 ** |
| tobacco-capsule | −2.582 | 0.029 * | |||||
| filter tip-capsule | −4.848 | <0.001 *** | |||||
| Menthol | 148 | 62.913 | 2 | <0.001 *** | tobacco-filter tip | −1.994 | 0.138 |
| tobacco-capsule | −7.713 | <0.001 *** | |||||
| filter tip-capsule | −5.838 | <0.001 *** | |||||
| Compound | Non-Capsule Cigarette (n = 24) | Capsule Cigarette (n = 30) | ||
|---|---|---|---|---|
| Tobacco | Filter Tip | Tobacco | Filter Tip | |
| D-Limonene | ND (0) | 0.47 ± 0.31 (4) | 8.50 ± 10.93 (7) | 13.64 ± 16.60 (7) |
| Linalool | 0.05 ± 0.01 (8) | 0.07 ± 0.03 (17) | 0.94 ± 2.06 (13) | 3.08 ± 8.54 (37) |
| Methyl 2-octynoate | ND (0) | ND (0) | ND (0) | ND (0) |
| Citral | 0.22 ± 0.06 (24) | 0.10 ± 0.02 (10) | 0.35 ± 0.66 (30) | 20.30 ± 43.83 (6) |
| Citronellol | ND (0) | ND (0) | ND (0) | 1.89 ± 1.36 (2) |
| Geraniol | ND (0) | 0.57 (1) | ND (0) | 1.45 ± 1.13 (5) |
| α-Isomethyl ionone | 0.02 ± 0.00 (3) | ND (0) | 0.02 ± 0.00 (9) | 0.03 ± 0.01 (8) |
| Benzyl alcohol | 3.63 ± 7.14 (22) | 8.40 ± 13.27 (24) | 2.19 ± 3.81 (30) | 26.46 ± 45.49 (30) |
| Hydroxycitronellal | ND (0) | ND (0) | ND (0) | ND (0) |
| Methyl eugenol | ND (0) | ND (0) | ND (0) | 0.03 (1) |
| Cinnamaldehyde | ND (0) | ND (0) | ND (0) | 0.36 ± 0.40 (7) |
| Lilial | ND (0) | ND (0) | ND (0) | ND (0) |
| Eugenol | 0.11 ± 0.03 (2) | ND (0) | 0.16 ± 0.07 (2) | 1.00 (1) |
| α-Amylcinnamaldehyde | ND (0) | ND (0) | ND (0) | ND (0) |
| Anise alcohol | 0.41 (1) | ND (0) | 0.35 ± 0.16 (3) | 0.46 ± 0.05 (2) |
| Cinnamyl alcohol | ND (0) | ND (0) | ND (0) | ND (0) |
| Isoeugenol | 0.22 ± 0.04 (3) | ND (0) | 0.53 ± 0.14 (2) | ND (0) |
| α-Hexylcinnamaldehyde | ND (0) | ND (0) | ND (0) | ND (0) |
| Farnesol | ND (0) | ND (0) | ND (0) | ND (0) |
| Coumarin | ND (0) | ND (0) | ND (0) | ND (0) |
| HICC | ND (0) | ND (0) | ND (0) | ND (0) |
| α-Amylcinnamyl alcohol | ND (0) | ND (0) | ND (0) | ND (0) |
| Benzyl benzoate | 1.08 ± 1.90 (9) | 0.06 (1) | 0.13 ± 0.17 (22) | 0.19 ± 0.14 (8) |
| Benzyl salicylate | 0.51 ± 0.04 (2) | ND (0) | ND (0) | ND (0) |
| Benzyl cinnamate | ND (0) | ND (0) | ND (0) | 1.18 (1) |
| Menthol | 0.75 ± 0.77 (23) | 1.35 ± 1.04 (23) | 336.98 ± 553.89 (30) | 735.76 ± 1040.40 (30) |
| Compound | Category | Tobacco (n = 54) | Filter (n = 54) | ||||||||
|---|---|---|---|---|---|---|---|---|---|---|---|
| N | Mean | Sum | Mann-Whitney U | p-Value | N | Mean | Sum | Mann-Whitney U | p-Value | ||
| All analytes | Non-capsule | 97 | 119.93 | 11,633 | 6880 | 0.583 | 80 | 93.31 | 7465 | 4225 | 0.008 ** |
| Capsule | 148 | 125.01 | 18,502 | 135 | 116.70 | 15,755 | |||||
| D-Limonene | Non-capsule | 0 | 0.00 | 0 | - | - | 4 | 2.75 | 11 | 1 | 0.014 * |
| Capsule | 7 | 4.00 | 28 | 7 | 7.86 | 55 | |||||
| Linalool | Non-capsule | 8 | 6.38 | 51 | 15 | 0.007 ** | 17 | 14.76 | 251 | 98 | 0.002 ** |
| Capsule | 13 | 13.85 | 180 | 27 | 27.37 | 739 | |||||
| Citral | Non-capsule | 24 | 25.88 | 621 | 321 | 0.497 | 10 | 8.30 | 83 | 28 | 0.828 |
| Capsule | 30 | 28.80 | 864 | 6 | 8.83 | 53 | |||||
| α-Isomethyl ionone | Non-capsule | 3 | 2.67 | 8 | 2 | 0.033 * | 0 | 0.00 | 0 | - | - |
| Capsule | 9 | 7.78 | 70 | 8 | 4.50 | 36 | |||||
| Benzyl alcohol | Non-capsule | 22 | 30.00 | 660 | 253 | 0.154 | 24 | 22.46 | 539 | 239 | 0.035 * |
| Capsule | 30 | 23.93 | 718 | 30 | 31.53 | 946 | |||||
| Benzyl benzoate | Non-capsule | 9 | 21.22 | 191 | 52 | 0.041 * | 1 | 2.00 | 2 | 1 | 0.245 |
| Capsule | 22 | 13.86 | 305 | 8 | 5.38 | 43 | |||||
| Menthol | Non-capsule | 23 | 18.26 | 420 | 144 | <0.001 *** | 23 | 17.30 | 398 | 122 | <0.001 *** |
| Capsule | 30 | 33.70 | 1011 | 30 | 34.43 | 1033 | |||||
| Compound | DNEL a (mg/m3) | Average | Maximum | ||||
|---|---|---|---|---|---|---|---|
| Content (μg/Cigarette) | Exposure (mg/m3) | RCRb | Content (μg/Cigarette) | Exposure (mg/m3) | RCR | ||
| D-Limonene | 16.6 | 119.47 | 0.11067 | 6.7 × 10−3 | 818.21 | 0.75792 | 4.6 × 10−2 |
| Linalool | 0.7 | 23.22 | 0.02151 | 3.1 × 10−2 | 301.86 | 0.27962 | 4.0 × 10−1 |
| Citral | 2.7 | 15.12 | 0.01400 | 5.2 × 10−3 | 255.67 | 0.23683 | 8.8 × 10−2 |
| Citronellol | 47.8 | 1.60 | 0.00149 | 3.1 × 10−5 | 26.15 | 0.02422 | 5.1 × 10−4 |
| Geraniol | 47.8 | 4.27 | 0.00396 | 8.3 × 10−5 | 130.58 | 0.12096 | 2.5 × 10−3 |
| α-Isomethyl ionone | 1.45 | 0.04 | 0.00004 | 2.6 × 10−5 | 0.08 | 0.00008 | 5.3 × 10−5 |
| Benzyl alcohol | 5.4 | 33.10 | 0.03066 | 5.7 × 10−3 | 474.41 | 0.43945 | 8.1 × 10−2 |
| Methyl eugenol | 1.74 | 0.05 | 0.00005 | 2.6 × 10−5 | 0.35 | 0.00033 | 1.9 × 10−4 |
| Cinnamaldehyde | 1.09 | 8.15 | 0.00755 | 6.9 × 10−3 | 182.95 | 0.16947 | 1.6 × 10−1 |
| Eugenol | 5.22 | 0.27 | 0.00025 | 4.8 × 10−5 | 1.38 | 0.00128 | 2.5 × 10−4 |
| Anise alcohol | 0.37 | 0.33 | 0.00031 | 8.3 × 10−4 | 1.16 | 0.00107 | 2.9 × 10−3 |
| Cinnamyl alcohol | 0.465 | 0.09 | 0.00008 | 1.8 × 10−4 | 0.43 | 0.00040 | 8.5 × 10−4 |
| Isoeugenol | 5.22 | 0.33 | 0.00031 | 5.9 × 10−5 | 1.27 | 0.00118 | 2.3 × 10−4 |
| Farnesol | 0.457 | 0.86 | 0.00080 | 1.7 × 10−3 | 1.12 | 0.00103 | 2.3 × 10−3 |
| Benzyl benzoate | 1.25 | 0.33 | 0.00031 | 2.5 × 10−4 | 5.24 | 0.00485 | 3.9 × 10−3 |
| Benzyl salicylate | 1.37 | 0.61 | 0.00057 | 4.1 × 10−4 | 0.82 | 0.00076 | 5.5 × 10−4 |
| Benzyl cinnamate | 1.74 | 0.33 | 0.00030 | 1.7 × 10−4 | 6.41 | 0.00593 | 3.4 × 10−3 |
| Menthol | 8.17 | 1565.01 | 1.44969 | 1.8 × 10−1 | 7870.83 | 7.29087 | 8.9 × 10−1 |
Publisher’s Note: MDPI stays neutral with regard to jurisdictional claims in published maps and institutional affiliations. |
© 2021 by the authors. Licensee MDPI, Basel, Switzerland. This article is an open access article distributed under the terms and conditions of the Creative Commons Attribution (CC BY) license (https://creativecommons.org/licenses/by/4.0/).
Share and Cite
Jang, D.Y.; Kim, H.S.; Pack, E.C.; Koo, Y.J.; Lim, K.M.; Choi, D.W. Development of a Method for Simultaneous Analysis of Allergenic Flavoring Agents in Cigarettes and Quantitative Risk Assessment for Consumer Safety. Toxics 2021, 9, 87. https://doi.org/10.3390/toxics9040087
Jang DY, Kim HS, Pack EC, Koo YJ, Lim KM, Choi DW. Development of a Method for Simultaneous Analysis of Allergenic Flavoring Agents in Cigarettes and Quantitative Risk Assessment for Consumer Safety. Toxics. 2021; 9(4):87. https://doi.org/10.3390/toxics9040087
Chicago/Turabian StyleJang, Dae Yong, Hyung Soo Kim, Eun Chul Pack, Ye Ji Koo, Kyung Min Lim, and Dal Woong Choi. 2021. "Development of a Method for Simultaneous Analysis of Allergenic Flavoring Agents in Cigarettes and Quantitative Risk Assessment for Consumer Safety" Toxics 9, no. 4: 87. https://doi.org/10.3390/toxics9040087
APA StyleJang, D. Y., Kim, H. S., Pack, E. C., Koo, Y. J., Lim, K. M., & Choi, D. W. (2021). Development of a Method for Simultaneous Analysis of Allergenic Flavoring Agents in Cigarettes and Quantitative Risk Assessment for Consumer Safety. Toxics, 9(4), 87. https://doi.org/10.3390/toxics9040087

