2D Model of Transfer Processes for Water Boiling Flow in Microchannel
Abstract
:1. Introduction
2. Model Development
Evaporation Submodel
3. Numerical Procedure
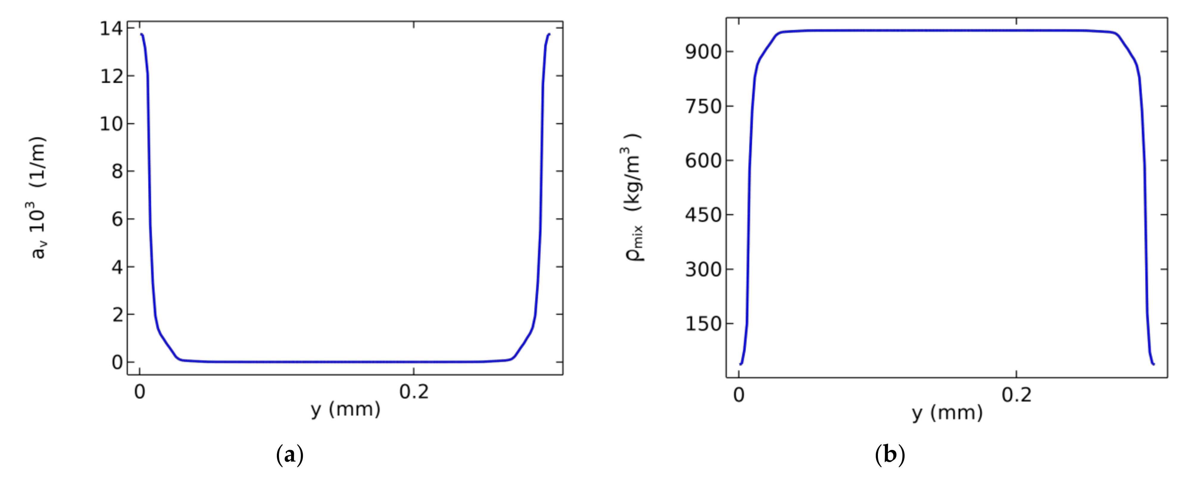
4. Results and Discussion
5. Conclusions
Author Contributions
Funding
Institutional Review Board Statement
Informed Consent Statement
Data Availability Statement
Conflicts of Interest
Nomenclature
| av | Specific surface area (m2 m−3) |
| Cp | Heat capacity (J kg−1 K−1) |
| dh | Height of channel (m) |
| ΔH | Latent heat of vaporization (J kg−1) |
| L | Length of channel (m) |
| N | Mass flux (kg m−2 s−1) |
| P | Pressure (Pa) |
| q | Heat flux (W m−2) |
| rG | Source of mass (kg m−2 s−1) |
| rT | Source of heat (W m−3) |
| T | Temperature (K) |
| Tsat | Boiling temperature (K) |
| u | Velocity vector (m s−1) |
| u | z–component of velocity (m s−1) |
| v | y–component of velocity (m s−1) |
| wh | Width of channel (m) |
| x | Vapor quality (kg/kg) |
| y | Coordinate (m) |
| z | Coordinate (m) |
| Greek Symbols | |
| α | Heat transfer coefficient (W m−2 K−1) |
| δ | Width of wall (m) |
| Void fraction (m3 m−3) | |
| λ | Thermal conductivity (W m−1 K−1) |
| Dynamic viscosity (Pa s) | |
| ν | Kinematic viscosity (m2 s−1) |
| Density (kg m−3) | |
| Subscripts | |
| evap | evaporation |
| L | liquid |
| G | gas |
| in | inlet |
| mix | mixture |
| max | maximum |
| w | wall |
| Abbreviation | |
| CFD | Computational fluid dynamics |
| FEM | Finite element method |
Appendix A
References
- Saha, S.K. Microchannel Phase Change Transport Phenomena; Butterworth-Heinemann: Waltham, MA, USA, 2016. [Google Scholar]
- Kandlikar, S.; Garimella, S.; Li, D.; Colin, S.; King, M.R. Heat Transfer and Fluid Flow in Minichannels and Microchannels; Elsevier: San Diego, CA, USA, 2005. [Google Scholar]
- Qu, W.; Mudawar, I. Flow boiling heat transfer in two-phase micro-channel heat sinks-I. Experimental investigation and assessment of correlation methods. Int. J. Heat Mass Transf. 2003, 46, 2755–2771. [Google Scholar] [CrossRef]
- Qu, W.; Mudawar, I. Flow boiling heat transfer in two-phase micro-channel heat sinks-II. Annular two-phase flow model. Int. J. Heat Mass Transf. 2003, 46, 2773–2784. [Google Scholar] [CrossRef]
- Dupont, V.; Thome, J.R.; Jacobi, A.M. Heat transfer model for evaporation in microchannels. Part II: Comparison with the database. Int. J. Heat Mass Transf. 2004, 47, 3387–3401. [Google Scholar] [CrossRef]
- Kim, S.M.; Mudawar, I. Universal approach to predicting saturated flow boiling heat transfer in mini/micro-channels—Part II. Two-phase heat transfer coefficient. Int. J. Heat Mass Transf. 2013, 64, 1239–1256. [Google Scholar] [CrossRef]
- Szczukiewicz, S.; Magnini, M.; Thome, J.R. Proposed models, ongoing experiments, and latest numerical simulations of microchannel two-phase flow boiling. Int. J. Multiph. Flow 2014, 59, 84–101. [Google Scholar] [CrossRef]
- Engelbrecht, N.; Everson, R.C.; Bessarabov, D.; Kolb, G. Microchannel reactor heat-exchangers: A review of design strategies for the effective thermal coupling of gas phase reactions. Chem. Eng. Process. 2020, 108164. [Google Scholar] [CrossRef]
- Kuznetsov, V.V.; Shamirzaev, A.S. Flow boiling heat transfer of water in microchannel heat sink. J. Eng. Phys. Thermophys. 2012, 21, 28–35. [Google Scholar] [CrossRef]
- Steinke, M.E.; Kandlikar, S.G. An experimental investigation of flow boiling characteristics of water in parallel microchannels. J. Heat Transf. 2004, 126, 518–526. [Google Scholar] [CrossRef] [Green Version]
- Özdemir, M.R.; Mahmoud, M.M.; Karayiannis, T.G. Flow boiling of water in a rectangular metallic microchannel. Heat Transf. Eng. 2021, 42, 492–516. [Google Scholar] [CrossRef] [Green Version]
- Balasubramanian, K.; Lee, P.S.; Jin, L.W.; Chou, S.K.; Teo, C.J.; Gao, S. Experimental investigations of flow boiling heat transfer and pressure drop in straight and expanding microchannels—A comparative study. Int. J. Therm. Sci. 2011, 50, 2413–2421. [Google Scholar] [CrossRef]
- Edel, Z.J.; Mukherjee, A. Experimental investigation of vapor bubble growth during flow boiling in a microchannel. Int. J. Multiph. Flow 2011, 37, 1257–1265. [Google Scholar] [CrossRef]
- Hedau, G.; Dey, P.; Raj, R.; Saha, S.K. Experimental and numerical investigation of the effect of number of parallel microchannels on flow boiling heat transfer. Int. J. Heat Mass Transf. 2020, 158, 119973. [Google Scholar] [CrossRef]
- Sharma, D.; Ghosh, D.P.; Saha, S.K.; Raj, R. Thermohydraulic characterization of flow boiling in a nanostructured microchannel heat sink with vapour venting manifold. Int. J. Heat Mass Transf. 2019, 130, 1249–1259. [Google Scholar] [CrossRef]
- Ghosh, D.P.; Sharma, D.; Mohanty, D.; Saha, S.K.; Raj, R. Facile fabrication of nanostructured microchannels for flow boiling heat transfer enhancement. Heat Transf. Eng. 2019, 40, 537–548. [Google Scholar] [CrossRef]
- Ghosh, D.P.; Sharma, D.; Kumar, A.; Saha, S.K.; Raj, R. An ingenious fluidic capacitor for complete suppression of thermal fluctuations in two-phase microchannel heat sinks. Int. Commun. Heat Mass Transf. 2020, 110, 104347. [Google Scholar] [CrossRef]
- Hedau, G.; Dey, P.; Raj, R.; Saha, S.K. Combined effect of inlet restrictor and nanostructure on two-phase flow performance of parallel microchannel heat sinks. Int. J. Therm. Sci. 2020, 153, 106339. [Google Scholar] [CrossRef]
- Magnini, M.; Thome, J.R. A CFD study of the parameters influencing heat transfer in microchannel slug flow boiling. Int. J. Therm. Sci. 2016, 110, 119–136. [Google Scholar] [CrossRef] [Green Version]
- Multiphysics COMSOL. COMSOL Multiphysics User Guide (Version 4.3a); COMSOL AB: Stockholm, Sweden, 2012; p. 992. [Google Scholar]
- Wang, C.Y.; Cheng, P. A multiphase mixture model for multiphase, multicomponent transport in capillary porous media-I. Model development. Int. J. Heat Mass Transf. 1996, 39, 3607–3618. [Google Scholar] [CrossRef]
- Ishii, M.; Hibiki, T. Thermo-Fluid Dynamics of Two-Phase Flow; Springer Science & Business Media: New York, NY, USA, 2010. [Google Scholar]
- Lazarek, G.M.; Black, S.H. Evaporative heat transfer, pressure drop and critical heat flux in a small vertical tube with R-113. Int. J. Heat Mass Transf. 1982, 25, 945–960. [Google Scholar] [CrossRef]
- Leclerc, A.; Philippe, R.; Houzelot, V.; Schweich, D.; De Bellefon, C. Gas–liquid Taylor flow in square micro-channels: New inlet geometries and interfacial area tuning. Chem. Eng. J. 2010, 165, 290–300. [Google Scholar] [CrossRef]
- Diaz, M.C.; Schmidt, J. Experimental investigation of transient boiling heat transfer in microchannels. Int. J. Heat Fluid Flow 2007, 28, 95–102. [Google Scholar] [CrossRef]
- Liu, D.; Garimella, S.V. Flow boiling heat transfer in microchannels. J. Heat Transf. 2007, 129, 1321–1331. [Google Scholar] [CrossRef]
- Bhuvankar, P.; Dabiri, S. Simulation of flow boiling in micro-channels: Effects of inlet flow rate and hot-spots. Int. J. Heat Fluid Flow 2020, 85, 108616. [Google Scholar] [CrossRef]
- Paramanantham, S.S.; Ha, C.T.; Park, W.G. Numerical investigation of single and multiple bubble condensing behaviors in subcooled flow boiling based on homogeneous mixture model. Int. J. Mech. Sci. 2018, 136, 220–233. [Google Scholar] [CrossRef]
- Triplett, K.A.; Ghiaasiaan, S.M.; Abdel-Khalik, S.I.; LeMouel, A.; McCord, B.N. Gas–liquid two-phase flow in microchannels: Part II: Void fraction and pressure drop. Int. J. Multiph. Flow 1999, 25, 395–410. [Google Scholar] [CrossRef]
- Collado, F.J.; Monné, C.; Pascau, A.; Fuster, D.; Medrano, A. Thermodynamics of void fraction in saturated flow boiling. J. Heat Transf. 2006, 128, 611–615. [Google Scholar] [CrossRef]




| Balance Equation (Domain) | Expression [20,21,22] |
|---|---|
| Momentum conservation (D1) | |
| Continuity equation (D1) | |
| Dispersed phase conservation (D1) | |
| Energy conservation (D1) | |
| Energy conservation (D2) |
| Section | Expression |
|---|---|
| Inlet, z = 0 | , , |
| Outlet, z = L | , , |
| Wall, y = dh | ,, |
| Wall, y = 0 | , , |
| Wall, y = dh + δ | |
| Wall, y = −δ |
| Parameter | Díaz and Schmidt [25] |
|---|---|
| Inlet flow rate m, kg/(m2 s) | 100 |
| Inlet temperature Tin, °C | 47 |
| Pressure P, Pa | 1.01 × 105 |
| Channel width wh, mm | 12.7 |
| Channel height dh, mm | 0.3 |
| Heating flux qw, kW/m2 | 80 |
| Boiling temperature Tsat, °C | 100 |
| Case | uin m/s | Tin °C | qw W/cm2 | xmax,exp | xmax.calc |
|---|---|---|---|---|---|
| I-03 | 0.33 | 78.7 | 106.5 | 0.18 | 0.039 |
| I-04 | 0.33 | 84.8 | 119.7 | 0.2 | 0.043 |
| I-05 | 0.33 | 89.2 | 115.4 | 0.2 | 0.046 |
| I-06 | 0.33 | 94.9 | 106.1 | 0.19 | 0.043 |
| I-07 | 0.68 | 66.5 | 117.8 | 0.05 | 0.026 |
| I-08 | 0.67 | 77.6 | 99.1 | 0.05 | 0.04 |
| I-09 | 0.68 | 85.7 | 111.2 | 0.07 | 0.062 |
| I-10 | 0.68 | 89.2 | 118.0 | 0.08 | 0.071 |
| I-11 | 0.68 | 78.9 | 112.7 | 0.06 | 0.083 |
| I-12 | 0.68 | 94.8 | 96.4 | 0.07 | 0.066 |
| I-13 | 0.95 | 78.3 | 104.3 | 0.03 | 0.032 |
| I-14 | 0.95 | 85.6 | 117.1 | 0.05 | 0.054 |
| I-15 | 0.96 | 93.2 | 115.1 | 0.06 | 0.058 |
| I-16 | 1.33 | 87.8 | 114.7 | 0.03 | 0.034 |
Publisher’s Note: MDPI stays neutral with regard to jurisdictional claims in published maps and institutional affiliations. |
© 2021 by the authors. Licensee MDPI, Basel, Switzerland. This article is an open access article distributed under the terms and conditions of the Creative Commons Attribution (CC BY) license (https://creativecommons.org/licenses/by/4.0/).
Share and Cite
Danilov, V.A.; Hofmann, C.; Kolb, G. 2D Model of Transfer Processes for Water Boiling Flow in Microchannel. ChemEngineering 2021, 5, 42. https://doi.org/10.3390/chemengineering5030042
Danilov VA, Hofmann C, Kolb G. 2D Model of Transfer Processes for Water Boiling Flow in Microchannel. ChemEngineering. 2021; 5(3):42. https://doi.org/10.3390/chemengineering5030042
Chicago/Turabian StyleDanilov, Valery A., Christian Hofmann, and Gunther Kolb. 2021. "2D Model of Transfer Processes for Water Boiling Flow in Microchannel" ChemEngineering 5, no. 3: 42. https://doi.org/10.3390/chemengineering5030042
APA StyleDanilov, V. A., Hofmann, C., & Kolb, G. (2021). 2D Model of Transfer Processes for Water Boiling Flow in Microchannel. ChemEngineering, 5(3), 42. https://doi.org/10.3390/chemengineering5030042

