Catalytic Reduction of the Compounds Generated When Heating Heet Tobacco in Presence of USY and Beta Zeolites and Silica Lovel 6000 and SBA-15 Silicate in Oxidative and Inert Atmospheres: Effect of Temperature and Catalyst Content
Abstract
1. Introduction
2. Materials and Methods
2.1. Additives
2.2. Experimental
3. Results and Discussion
3.1. Characterization of Additives
3.2. Thermogravimetric Analysis
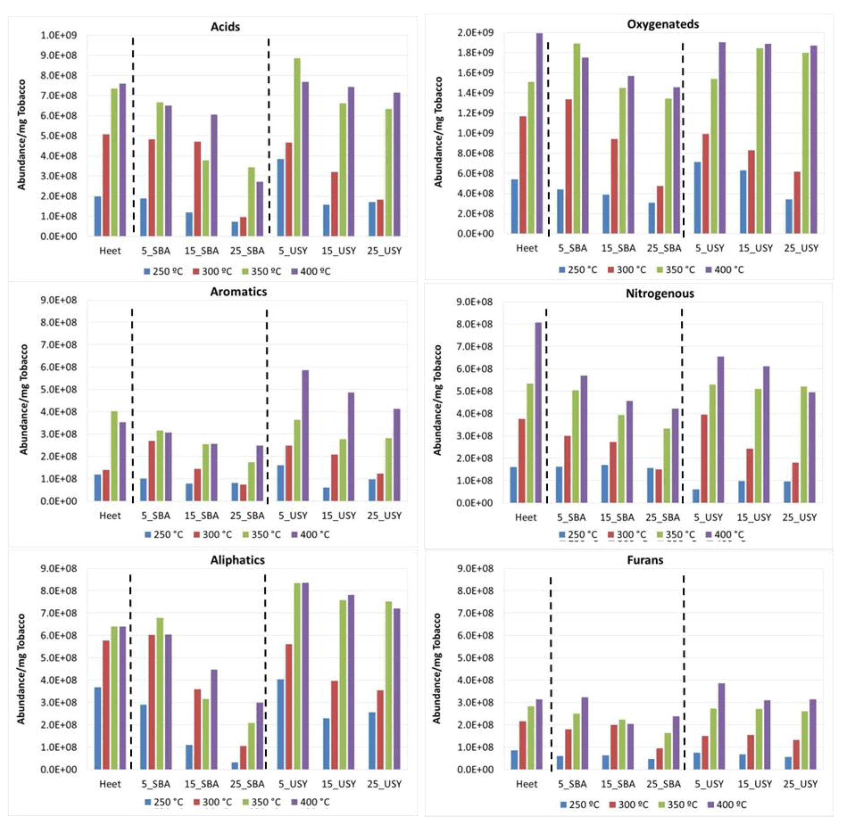
3.3. Analysis of the Products of Decomposition of Heet Tobacco and Its Mixtures with the Four Catalysts Studied Under Inert and Oxidative Atmospheres:Effect of Catalyst Concentration and Temperature
3.4. Smoking Experiments
4. Conclusions
Supplementary Materials
Author Contributions
Funding
Data Availability Statement
Conflicts of Interest
References
- Proctor, R.N. The History of the Discovery of the Cigarette-lung Cancer Link: Evidentiary Traditions, Corporate Denial, Global Toll. Tob. Control. 2012, 21, 87–91. [Google Scholar] [CrossRef] [PubMed]
- Hahn, P. Paul Hahn Issues Reassurance on Cigarettes’ Use. United States Tob. J 1953. Bates No. MNAT 00016506-00016507. [Google Scholar]
- Schaller, J.P.; Keller, D.; Poget, L.; Pratte, P.; Kaelin, E.; McHugh, D.; Cudazzo, G.; Smart, D.; Tricker, A.R.; Gautier, L.; et al. Evaluation of the Tobacco Heating System 2.2. Part 2: Chemical Composition, Genotoxicity, Cytotoxicity, and Physical Properties of the Aerosol. Regul. Toxicol. Pharm. 2016, 81, S27–S47. [Google Scholar] [CrossRef] [PubMed]
- National Center for Chronic Disease Prevention and Health Promotion (US) Office on Smoking and Health. The Health Consequences of Smoking—50 Years of Progress: A Report of the Surgeon General; Centers for Disease Control and Prevention (US): Atlanta, GA, USA, 2014. [Google Scholar] [PubMed]
- Barua, R.S.; Rigotti, N.A.; Benowitz, N.L.; Cummings, K.M.; Jazayeri, M.A.; Morris, P.B.; Ratchford, E.V.; Sarna, L.; Stecker, E.C.; Wiggins, B.S. ACC expert consensus decision pathway on tobacco cessation treatment: A report of the american college of cardiology task force on clinical expert consensus documents. J. Am. Coll. Cardiol. 2018, 72, 3332–3365. [Google Scholar] [CrossRef] [PubMed]
- Etter, J.F.; Bullen, C.; Flouris, A.D.; Laugesen, M.; Eissenberg, T. Electronic nicotine delivery systems: A research agenda. Tob. Control. 2011, 20, 243–248. [Google Scholar] [CrossRef]
- Hajek, P.; Etter, J.F.; Benowitz, N.; Eissenberg, T.; McRobbie, H. Electronic cigarettes: Review of use, content, safety, effects on smokers and potential for harm and benefit. Addiction 2014, 109, 1801–1810. [Google Scholar] [CrossRef]
- Orellana-Barrios, M.A.; Payne, D.; Mulkey, Z.; Nugent, K. Electronic cigarettes—A narrative review for clinicians. Am. J. Med. 2015, 128, 674–681. [Google Scholar] [CrossRef]
- Auer, R.; Concha-Lozano, N.; Jacot-Sadowski, I.; Cornuz, J.; Berthet, A. Heat-not-burn tobacco cigarettes: Smoke by any other name. JAMA Intern. Med. 2017, 177, 1050–1052. [Google Scholar] [CrossRef]
- Liu, X.; Lugo, A.; Spizzichino, L.; Tabuchi, T.; Pacifici, R.; Gallus, S. Heat-not-burn tobacco products: Concerns from the Italian experience. Tob. Control. 2019, 28, 113–114. [Google Scholar] [CrossRef]
- Paumgartten, F. Heat-not-burn and electronic cigarettes: Truths and untruths about harm reduction. Rev. Assoc. Med. Bras. 2018, 64, 104–105. [Google Scholar] [CrossRef]
- Jaccard, G.; Taffin Djoko, D.; Moennikes, O.; Jeannet, C.; Kondylis, A.; Belushkin, M. Comparative assessment of HPHC yields in the Tobacco Heating System THS2.2 and commercial cigarettes. Regul. Toxicol. Pharmacol. 2017, 90, 1–8. [Google Scholar] [CrossRef] [PubMed]
- Buratto, R.; Correia, D.; Parel, M.; Crenna, M.; Bilger, M.; Debrick, A. Determination of eight carbonyl compounds in aerosols trapped in phosphate buffer saline solutions to support in vitro assessment studies. Talanta 2018, 184, 42–49. [Google Scholar] [CrossRef] [PubMed]
- Znyk, M.; Jurewicz, J.; Kaleta, D. Exposure to Heated Tobacco Products and Adverse Health Effects, a Systematic Review. Int. J. Environ. Res. Public Health 2021, 18, 6651. [Google Scholar] [CrossRef] [PubMed]
- Pacitto, A.; Stabile, L.; Scungio, M.; Rizza, V.; Buonanno, G. Characterization of airborne particles emitted by an electrically heated tobacco smoking system. Environ. Pollut. 2018, 240, 248–254. [Google Scholar] [CrossRef] [PubMed]
- Lee, P.N.; Djurdjevic, S.; Weitkunat, R.; Baker, G. Estimating the population health impact of introducing a reduced-risk tobacco product into Japan. The efect of direring assumptions, and some comparisons with the U.S. Regul. Toxicol. Pharmacol. 2018, 100, 92–104. [Google Scholar] [CrossRef]
- Czoli, C.D.; White, C.M.; Reid, J.L.; OConnor, R.J.; Hammond, D. Awareness and interest in IQOS heated tobacco products among youth in Canada, England and the USA. Tob. Control. 2019, 29, 89–95. [Google Scholar] [CrossRef]
- Marynak, K.L.; Wang, T.W.; King, B.A.; Shete, S. Awareness and Ever Use of “Heat-Not-Burn” Tobacco Products Among U.S. Adults. Am. J. Prev. Med. 2017, 55, 551–554. [Google Scholar] [CrossRef]
- Bekki, K.; Inaba, Y.; Uchiyama, S.; Kunugita, N. Comparison of chemicals in mainstream smoke in heat-not-burn tobacco and combustion cigarettes. J. UOEH 2017, 39, 201–207. [Google Scholar] [CrossRef]
- Forster, M.; Fiebelkorn, S.; Yurteri, C.; Mariner, D.; Liu, C.; Wright, C.; McAdam, K.; Murphy, J.; Proctor, C. Assessment of novel tobacco heating product THP1.0. Part 3: Comprehensive chemical characterisation of harmful and potentially harmful aerosol emissions. Regul. Toxicol. Pharmacol. 2018, 93, 14–33. [Google Scholar] [CrossRef]
- Poynton, S.; Sutton, J.; Goodall, S.; Margham, J.; Forster, M.; Scott, K.; Liu, C.; McAdam, K.; Murphy, J.; Proctor, C. A novel hybrid tobacco product that delivers a tobacco flavour note with vapour aerosol (Part 1): Product operation and preliminary aerosol chemistry assessment. Food Chem. Toxicol. 2017, 106, 522–532. [Google Scholar] [CrossRef]
- Protano, C.; Manigrasso, M.; Avino, P.; Sernia, S.; Vitali, M. Second-hand smoke exposure generated by new electronic devices (IQOS® and e-cigs) and traditional cigarettes: Submicron particle behaviour in human respiratory system. Ann. Ig. 2016, 28, 109–112. [Google Scholar] [CrossRef] [PubMed]
- Protano, C.; Manigrasso, M.; Avino, P.; Vitali, M. Second-hand smoke generated by combustion and electronic smoking devices used in real scenarios: Ultrafine particle pollution and age-related dose assessment. Environ. Int. 2017, 107, 190–195. [Google Scholar] [CrossRef] [PubMed]
- Upadhyay, S.; Rahman, M.; Johanson, G.; Palmberg, L.; Ganguly, K. Heated Tobacco Products: Insights into Composition and Toxicity. Toxics 2023, 11, 667. [Google Scholar] [CrossRef] [PubMed]
- Marcilla, A.; Gómez-Siurana, A.; Berenguer, D.; Martínez-Castellanos, I.; Beltran, M. Reduction of Tobacco Smoke Components Yields by Zeolites and Synthesized Al-MCM-41. Microporous Mesoporous Mater. 2012, 161, 14–24. [Google Scholar] [CrossRef]
- Marcilla, A.; Gómez-Siurana, A.; Martínez-Castellanos, I.; Beltran, M.I.; Berenguer, D. Reduction of tobacco smoke components yield in commercial cigarette brands by addition of HUSY, NaY and Al-MCM-41 to the cigarette rod. Toxicol. Rep. 2015, 2, 152–164. [Google Scholar] [CrossRef]
- Lin, W.G.; Zhou, Y.; Cao, Y.; Zhou, S.L.; Wan, M.M.; Wang, Y.; Zhu, J.H. Applying heterogeneous catalysis to health care: In situ elimination of tobacco-specific nitrosamines (TSNAs) in smoke by molecular sieves. Catal. Today 2013, 212, 52–61. [Google Scholar] [CrossRef]
- Marcilla, A.; Berenguer, D.; Martinez, I. Effect of the addition of zeolites and silicate compounds on the composition of the smoke generated in the decomposition of Heet tobacco under inert and oxidative atmospheres. J. Anal. Appl. Pyrolysis 2022, 164, 105532. [Google Scholar] [CrossRef]
- Li, X.-f.; Wang, E.-b.; Zhang, Z.; Tian, H.-y.; Xu, Y.-m.; Han, L.; Hao, H.; Xu, H.; Song, J.-y.; Liu, W.-z.; et al. Low temperature catalytic pyrolysis performances of heated tobacco sheets by alkali/alkaline earth metal. J. Anal. Appl. Pyrolysis 2023, 169, 105854. [Google Scholar] [CrossRef]
- Zhang, F.; Yan, Y.; Yang, H.; Meng, Y.; Yu, C.; Tu, B.; Zhao, D. Understanding effect of wall structure on the hydrothermal stability of mesostructured silica SBA-15. J. Phys. Chem. B 2005, 109, 8723–8732. [Google Scholar] [CrossRef]
- Gómez-Siurana, A.; Marcilla, A.; Beltran, M.; Martinez, I.; Berenguer, D.; García-Martínez, R.; Hernández-Selva, T. Thermogravimetric study of the pyrolysis of tobacco and several ingredients used in the fabrication of commercial cigarettes: Effect of the presence of MCM-41. Thermochim. Acta 2011, 523, 161–169. [Google Scholar] [CrossRef]
- Calabiug, E. Pirólisis y Descomposición del Tabaco, Efectos del Uso Catalizadores Mesoporosos SBA-15. Ph.D. Thesis, Universidad de Alicante, Alicante, Spain, 2021. [Google Scholar]
- Marcilla, A.; Beltran, M.I.; Gómez-Siurana, A.; Berenguer, D.; Martínez-Castellanos, I. Nicotine/mesoporous solids interactions at increasing temperatures under inert and air environments. J. Anal. Appl. Pyrolysis 2016, 119, 162–172. [Google Scholar] [CrossRef]
- Asensio, J.; Berenguer, D.; Marcilla, A.; Beltran, M.I. Nicotine fast pyrolysis under inert and air environments. Effect of catalysts. J. Anal. Appl. Pyrolysis 2023, 170, 105899. [Google Scholar] [CrossRef]
- Gómez-Siurana, A.; Marcilla, A.; Beltrán, M.; Berenguer, D.; Martínez-Castellanos, I.; Menargues, S. TGA/FTIR Study of Tobacco and Glycerine-Tobacco Mixtures. Thermochim. Acta 2013, 573, 146–157. [Google Scholar] [CrossRef]
- Baker, R.R. A review of pyrolysis studies to unravel reaction steps in burning tobacco. J. Anal. Appl. Pyrolysis 1987, 11, 555–563. [Google Scholar] [CrossRef]
- Kim, Y.M.; Kim, S.; Han, T.U.; Park, Y.K.; Watanabe, C. Pyrolysis reaction characteristics of Korean pine (Pinus koraiensis) nut shell. J. Anal. Appl. Pyrolysis 2014, 110, 435–441. [Google Scholar] [CrossRef]
- Talhout, R.; Opperhuizen, A.; van Amsterdam, J.G.C. Sugars as tobacco ingredient: Effects on mainstream smoke composition. Food Chem. Toxicol. 2006, 44, 1789–1798. [Google Scholar] [CrossRef]
- Woodward, C.F.; Eisner, A.; Haines, P.G. Pyrolysis of Nicotine to Myosmine. J. Am. Chem. Soc. 1944, 66, 911–914. [Google Scholar] [CrossRef]
- Kisaki, T.; Ihida, M.; Tamaki, E. Chemistry of the N′-Oxides of Nicotine and Myosmine. Bull. Agric. Chem. Soc. Jpn. 1960, 24, 719–728. [Google Scholar] [CrossRef][Green Version]
- Bezerra Batista, L.M.; Freitas Oliveira, J.L.; Aureliano Bezerra, F.; de Morais Araújo, A.M.; Fernandes Juniora, V.J.; Souza Araujo, A.; Alves, A.P.M.; Duarte Gondim, A. Synthesis, characterization and evaluation of niobium catalysts in the flash pyrolysis of Glycerine. Solid State Sci. 2019, 97, 105977. [Google Scholar] [CrossRef]
- Available online: https://www.federalregister.gov/documents/2019/08/05/2019-16658/harmful-and-potentially-harmful-constituents-in-tobacco-products-established-list-proposed-additions (accessed on 1 May 2023).








| Material | Pore Size a (nm) | SBET b (m2/g) | Vt c (cm3/g) | SiO2/Al2O3 Ratio (%w) d |
|---|---|---|---|---|
| USY | 0.74 | 614 | 0.35 | 4.8 |
| SiLo | 6.7 | 547 | 1.28 | ---- |
| Beta | 0.66 × 0.67 0.56 × 0.56 | 510.0 | 0.17 | 25 |
| SBA-15 | 6.2 | 680 | 0.79 | ---- |
| Material | TPM (mg/cig) | Nicotine (mg/cig) | Glycerine (mg/cig) | Sum of Gases a (mg/cig) | CO b (mg/cig) |
|---|---|---|---|---|---|
| Heet | 61.52 | 3.31 | 12.50 | 0.21 | 0.80 |
| Heet + 5% USY | 65.72 | 3.09 | 10.19 | 0.31 | 0.76 |
| Heet + 15% USY | 58.62 | 3.03 | 9.61 | 0.35 | 0.72 |
| Heet + 25% USY | 56.78 | 2.55 | 7.42 | 0.36 | 0.54 |
| Heet + 5% SBA | 60.00 | 3.00 | 8.47 | 0.21 | 0.77 |
| Heet + 15% SBA | 52.26 | 3.15 | 6.78 | 0.21 | 0.69 |
| Heet + 25% SBA | 48.48 | 2.82 | 6.20 | 0.33 | 0.88 |
| Heet + 5% SiLo | 63.00 | 3.28 | 10.02 | 0.24 | 0.71 |
| Heet + 15% SiLo | 57.92 | 3.25 | 8.22 | 0.28 | 0.77 |
| Heet + 25% SiLo | 52.08 | 2.96 | 6.84 | 0.38 | 0.74 |
| Heet + 5% Beta | 61.9 | 2.98 | 10.03 | 0.25 | 0.83 |
| Heet + 15% Beta | 56.28 | 2.97 | 9.59 | 0.27 | 0.81 |
| Heet + 25% Beta | 52.14 | 2.58 | 7.57 | 0.35 | 0.74 |
| Peak n° | Compound | Heet | 5% SBA-15 | 15% SBA-15 | 25% SBA-15 | 5% USY | 15% USY | 25% USY | 5% SiLo | 15% SiLo | 25% SiLo | 5% Beta | 15% Beta | 25% Beta |
|---|---|---|---|---|---|---|---|---|---|---|---|---|---|---|
| 3 | 2-Furanmethanol | 123 | 108 | 99 | 102 | 122 | 102 | 85 | 111 | 113 | 104 | 116 | 102 | 74 |
| 13 | Phenol | 43 | 31 | 30 | 27 | 44 | 39 | 33 | 32 | 34 | 33 | 34 | 40 | 33 |
| 18 | 1.2.3-Propanetriol. monoacetate | 61 | 38 | 35 | 38 | 76 | 60 | 27 | 46 | 46 | 33 | 58 | 49 | 43 |
| 21 | 4H-Pyran-4-one. 2.3-dihydro-3.5-dihydroxy-6-methyl- | 52 | 47 | 54 | 46 | 76 | 91 | 20 | 14 | 54 | 41 | 26 | 15 | 39 |
| 25 | Glycerine | 12502 | 8466 | 6777 | 6204 | 10192 | 9610 | 7424 | 10021 | 8224 | 6842 | 10029 | 9589 | 7568 |
| 26 | 1.2-Benzenediol | 83 | 42.53 | 52.28 | 82.33 | 135 | 135 | 81 | 54 | 82 | 67 | 40 | 47 | 83 |
| 30 | 1.2.3-Propanetriol. 1-acetate | 192 | 111 | 104 | 107 | 121 | 128 | 134 | 111 | 113 | 107 | 105 | 120 | 103 |
| 35 | Nicotine | 3310 | 2999 | 3145 | 2823 | 3087 | 3032 | 2553 | 3281 | 3253 | 2962 | 2977 | 2972 | 2582 |
| 36 | Pyridine. 3-(3.4-dihydro-2H-pyrrol-5-yl)- | 58 | 46 | 48 | 47 | 52 | 60 | 45 | 50 | 49 | 43 | 51 | 51 | 50 |
| 37 | Pyridine. 3-(1-methyl-1H-pyrrol-2-yl)- | 50 | 41 | 43 | 46 | 48 | 49 | 51 | 49 | 47 | 43 | 43 | 53 | 51 |
| 44 | Bicyclo [3.1.1]heptane. 2.6.6-trimethyl-. (1.alpha..2.beta..5.alpha.)- | 154 | 117 | 113 | 113 | 98 | 117 | 185 | 154 | 142 | 137 | 134 | 145 | 181 |
| 46 | n-Hexadecanoic acid | 164 | 100 | 86 | 106 | 165 | 159 | 151 | 143 | 144 | 98 | 146 | 141 | 127 |
| 56 | 9.12.15-Octadecatrienoic acid. (Z.Z.Z)- | 156 | 69 | 46 | 70 | 134 | 121 | 118 | 128 | 97 | 70 | 133 | 105 | 99 |
| 65 | ALC5 * | 82 | 53 | 37 | 45 | 92 | 81 | 72 | 67 | 62 | 43 | 83 | 86 | 60 |
| 66 | ALC6 * | 88 | 47 | 33 | 35 | 96 | 80 | 70 | 80 | 69 | 39 | 81 | 66 | 71 |
| 68 | Stigmasterol | 57 | 35 | 26 | 16 | 80 | 71 | 72 | 51 | 51 | 30 | 64 | 66 | 64 |
| SBA-15 | USY | SiLo | Beta | ||||||||||
|---|---|---|---|---|---|---|---|---|---|---|---|---|---|
| Family | Heet | 5% | 15% | 25% | 5% | 15% | 25% | 5% | 15% | 25% | 5% | 15% | 25% |
| Furan | 252 | 233 | 224 | 234 | 285 | 285 | 269 | 245 | 247 | 236 | 260 | 269 | 263 |
| Oxygenated | 912 | 608 | 648 | 644 | 866 | 854 | 794 | 710 | 725 | 647 | 692 | 700 | 749 |
| Aromatic | 70 | 63 | 59 | 51 | 107 | 80 | 72 | 81 | 69 | 64 | 83 | 76 | 70 |
| Nitrogenous | 183 | 128 | 130 | 140 | 161 | 167 | 168 | 169 | 160 | 136 | 158 | 168 | 155 |
| Acid | 438 | 243 | 188 | 238 | 774 | 385 | 379 | 239 | 229 | 173 | 243 | 235 | 229 |
| Aliphatic | 495 | 315 | 231 | 240 | 565 | 498 | 454 | 446 | 391 | 290 | 440 | 407 | 394 |
Disclaimer/Publisher’s Note: The statements, opinions and data contained in all publications are solely those of the individual author(s) and contributor(s) and not of MDPI and/or the editor(s). MDPI and/or the editor(s) disclaim responsibility for any injury to people or property resulting from any ideas, methods, instructions or products referred to in the content. |
© 2024 by the authors. Licensee MDPI, Basel, Switzerland. This article is an open access article distributed under the terms and conditions of the Creative Commons Attribution (CC BY) license (https://creativecommons.org/licenses/by/4.0/).
Share and Cite
Marcilla, A.; Berenguer, D.; Beltrán, M.I.; Farcas, C. Catalytic Reduction of the Compounds Generated When Heating Heet Tobacco in Presence of USY and Beta Zeolites and Silica Lovel 6000 and SBA-15 Silicate in Oxidative and Inert Atmospheres: Effect of Temperature and Catalyst Content. ChemEngineering 2024, 8, 125. https://doi.org/10.3390/chemengineering8060125
Marcilla A, Berenguer D, Beltrán MI, Farcas C. Catalytic Reduction of the Compounds Generated When Heating Heet Tobacco in Presence of USY and Beta Zeolites and Silica Lovel 6000 and SBA-15 Silicate in Oxidative and Inert Atmospheres: Effect of Temperature and Catalyst Content. ChemEngineering. 2024; 8(6):125. https://doi.org/10.3390/chemengineering8060125
Chicago/Turabian StyleMarcilla, Antonio, Deseada Berenguer, María Isabel Beltrán, and Catalina Farcas. 2024. "Catalytic Reduction of the Compounds Generated When Heating Heet Tobacco in Presence of USY and Beta Zeolites and Silica Lovel 6000 and SBA-15 Silicate in Oxidative and Inert Atmospheres: Effect of Temperature and Catalyst Content" ChemEngineering 8, no. 6: 125. https://doi.org/10.3390/chemengineering8060125
APA StyleMarcilla, A., Berenguer, D., Beltrán, M. I., & Farcas, C. (2024). Catalytic Reduction of the Compounds Generated When Heating Heet Tobacco in Presence of USY and Beta Zeolites and Silica Lovel 6000 and SBA-15 Silicate in Oxidative and Inert Atmospheres: Effect of Temperature and Catalyst Content. ChemEngineering, 8(6), 125. https://doi.org/10.3390/chemengineering8060125

