Analyses of Spatial and Temporal Variations of Salt Concentration in Waterbodies Based on High Resolution Measurements Using Sensors
Abstract
1. Introduction
2. Methodology
2.1. Study Area
2.2. Sensor Development and Field Deployment
2.2.1. Stream
2.2.2. Urban-Stream
2.2.3. Roadside Drain
2.2.4. Parking-Lot Drain
2.3. Data Analyses
2.3.1. Spatial Variation
- (i)
- The salt concentrations measured by individual sensors are not significantly different at various sites (i.e., parking-lot drain, roadside drain, urban-stream, and stream) during (a) winter, and (b) spring seasons
- (ii)
- The salt concentrations measured at various sites (i.e., parking-lot drain, roadside drain, urban-stream, and stream) are not significantly different during (a) winter, and (b) spring seasons
2.3.2. Temporal Variation
- (iii)
- The salt concentration measured between winter and spring seasons by individual sensors are not significantly different at various sites (i.e., parking-lot drain, roadside drain, urban-stream, and stream)
- (iv)
- The salt concentrations measured between winter and spring seasons are not significantly different at various sites (i.e., parking-lot drain, roadside drain, urban-stream, and stream).
3. Results
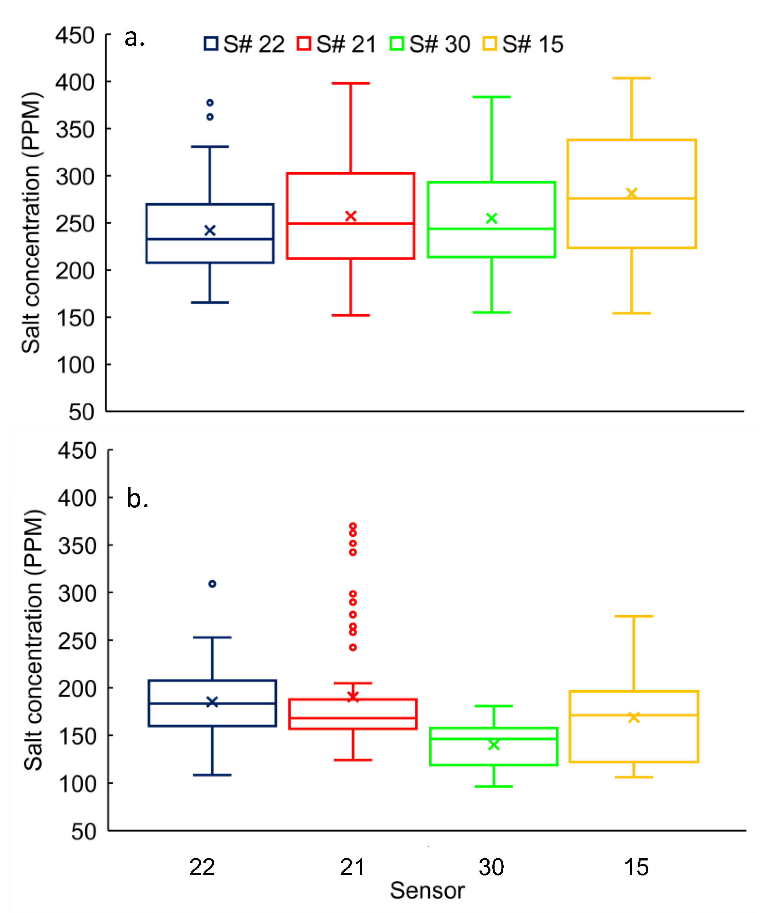
3.1. Spatial Variation
3.1.1. Parking-Lot Drain
3.1.2. Roadside Drain
3.1.3. Urban-Stream
3.1.4. Stream
3.1.5. Overall-Site
3.2. Temporal Variation
3.2.1. Parking-Lot Drain
3.2.2. Roadside Drain
3.2.3. Urban-Stream
3.2.4. Stream
3.2.5. Overall-Season
3.3. Hourly and Daily Averaged Concentration
3.4. Impacts on Aquatic System
4. Discussion
4.1. Spatial Variation
4.2. Temporal Variation
4.3. Impacts on Aquatic Systems
4.4. Study Application
5. Conclusions
Author Contributions
Funding
Institutional Review Board Statement
Informed Consent Statement
Data Availability Statement
Acknowledgments
Conflicts of Interest
References
- Thunqvist, E.-L. Regional increase of mean chloride concentration in water due to the application of deicing salt. Sci. Total Environ. 2004, 325, 29–37. [Google Scholar] [CrossRef]
- Jamshidi, A.; Goodarzi, A.R.; Razmara, P. Long-Term impacts of road salt application on the groundwater contamination in urban environments. Environ. Sci. Pollut. Res. 2020, 27, 30162–30177. [Google Scholar] [CrossRef]
- Panno, S.; Hackley, K.C.; Hwang, H.; Greenberg, S.; Krapac, I.; Landsberger, S.; O’Kelly, D. Source Identification of Sodium and Chloride Contamination in Natural Waters: Preliminary Results. In Proceedings of the 12th Annual Illinois Groundwater Consortium Symposium, Makanda, IL, USA, 22 April 2003; Illinois Groundwater Consortium: Champaign, IL, USA, 2003. [Google Scholar]
- Müller, A.; Österlund, H.; Marsalek, J.; Viklander, M. The pollution conveyed by urban runoff: A review of sources. Sci. Total Environ. 2020, 709, 136125. [Google Scholar] [CrossRef]
- Corsi, S.; Cicco, L.A.; ALutz, M.; MHirsch, R. River chloride trends in snow-affected urban watersheds: Increasing concentrations outpace urban growth rate and are common among all seasons. Sci. Total Environ. 2015, 508, 488–497. [Google Scholar] [CrossRef]
- Godwin, K.; Hafner, S.; Buff, M. Long-Term trends in sodium and chloride in the Mohawk River, New York: The effect of fifty years of road-salt application. Environ. Pollut. 2003, 124, 273–281. [Google Scholar] [CrossRef]
- Kaushal, S.; Groffman, P.; Likens, G.E.; Belt, K.T.; Stack, W.P.; Kelly, V.R.; Band, L.E.; Fisher, G.T. Increased salinization of fresh water in the northeastern United States. Proc. Natl. Acad. Sci. USA 2005, 102, 13517–13520. [Google Scholar] [CrossRef]
- Jahan, K.; Pradhanang, S.M. Predicting Runoff Chloride Concentrations in Suburban Watersheds Using an Artificial Neural Network (ANN). Hydrology 2020, 7, 80. [Google Scholar] [CrossRef]
- Williams, D.D.; Williams, N.E.; Cao, Y. Road salt contamination of groundwater in a major metropolitan area and development of a biological index to monitor its impact. Water Res. 1999, 34, 127–138. [Google Scholar] [CrossRef]
- Rivett, M.O.; Cuthbert, M.O.; Gamble, R.; Connon, L.E.; Pearson, A.; Shepley, M.G.; Davis, J. Highway deicing salt dynamic runoff to surface water and subsequent infiltration to groundwater during severe UK winters. Sci. Total Environ. 2016, 565, 324–338. [Google Scholar] [CrossRef] [PubMed]
- Novotny, E.; Murphy, D.; Stefan, H. Road Salt Effects on the Water Quality of Lakes in the Twin Cities Metropolitan Area; St. Anthony Falls Laboratory: Minneapolis, MN, USA, 2007. [Google Scholar]
- Kelly, V.; Lovett, G.; Weathers, K.; Findlay, S.; Strayer, D.; Burns, D.; Likens, G. Long-Term sodium chloride retention in a rural watershed: Legacy effects of road salt on streamwater concentration. Environ. Sci. Technol. 2008, 42, 410–415. [Google Scholar] [CrossRef]
- Facchi, A.; Gandolfi, C.; Whelan, M. A comparison of river water quality sampling methodologies under highly variable load conditions. Chemosphere 2007, 66, 746–756. [Google Scholar] [CrossRef]
- Perera, N.; Gharabaghi, B.; Noehammer, P. Stream chloride monitoring program of City of Toronto: Implications of road salt application. Water Qual. Res. J. 2009, 44, 132–140. [Google Scholar] [CrossRef]
- Benjankar, R.; Kafle, R. Salt concentration measurement using re-usable electric conductivity based sensors. Water Air Soil Pollut. 2021, 232, 1–16. [Google Scholar] [CrossRef]
- Chapin, T.; Todd, A.; Zeigler, M. Robust, low-cost data loggers for stream temperature, flow intermittency, and relative conductivity monitoring. Water Resour. Res. 2014, 50, 6542–6548. [Google Scholar] [CrossRef]
- Nagavalli, V.R.S.T. Smart Discrete Water Quality Sensor. Master’s Thesis, University of Akron, Akron, OH, USA, 2015. [Google Scholar]
- Parra, L.; Sendra, S.; Lloret, J.; Bosch, I. Development of a Conductivity Sensor for Monitoring Groundwater Resources to Optimize Water Management in Smart City Environments. Sensor 2015, 15, 20990–21015. [Google Scholar] [CrossRef] [PubMed]
- Kafle, R. Quantification of Salt Concentration in Water Bodies Using Sensor Technology. Master’s Thesis, Southern Illinois University, Edwardsville, IL, USA, 2020. [Google Scholar]
- Glasgow, H.B.; Burkholder, J.M.; Reed, R.E.; Lewitus, A.J.; Kleinman, J.E. Real-time remote monitoring of water quality: A review of current applications, and advancements in sensor, telemetry, and computing technologies. J. Exp. Mar. Biol. Ecol. 2004, 300, 409–448. [Google Scholar] [CrossRef]
- Fay, L.; Shi, X. Environmental Impacts of Chemicals for Snow and Ice Control: State of the Knowledge. Water Air Soil Pollut. 2012, 223, 2751–2770. [Google Scholar] [CrossRef]
- Kamran, M.; Parveen, A.; Ahmar, S.; Malik, Z.; Hussain, S.; Chattha, M.S.; Saleem, M.H.; Adil, M.; Heidari, P.; Chen, J.-T. An Overview of Hazardous Impacts of Soil Salinity in Crops, Tolerance Mechanisms, and Amelioration through Selenium Supplementation. Int. J. Mol. Sci. 2020, 21, 148. [Google Scholar] [CrossRef] [PubMed]
- Cañedo-Argüelles, M.; Kefford, B.J.; Piscart, C.; Prat, N.; Schäfer, R.B.; Schulz, C.-J. Salinisation of rivers: An urgent ecological issue. Environ. Pollut. 2013, 173, 157–167. [Google Scholar] [CrossRef]
- Entrekin, S.A.; Clay, N.A.; Mogilevski, A.; Howard-Parker, B.; Evans-White, M.A. Multiple riparian-Stream connections are predicted to change in response to salinization. Philos. Trans. R. Soc. B 2019, 374. [Google Scholar] [CrossRef]
- Cañedo-Argüelles, M.; Kefford, B.; Schafer, R. Salt in freshwaters: Causes, effects and prospects-Introduction to the theme issue. Philos. Trans. R. Soc. B 2019, 374, 1–6. [Google Scholar] [CrossRef]
- Richburg, J.A.; Patterson III, W.A.; Lowenstein, F. Effects of Road Salt and Phragmites Australis Invasion on the Vegetation of a Western Massachusetts Calcareous Lake-Basin Fen. Wetlands 2001, 21, 247–255. [Google Scholar] [CrossRef]
- Hintz, W.D.; Relyea, R.A. A review of the species, community, and ecosystem impacts of road salt salinisation in fresh waters. Freshw. Biol. 2019, 64, 1081–1097. [Google Scholar] [CrossRef]
- Benbow, M.E.; Merritt, R.W. Road-salt toxicity of select Michigan wetland macroinvertebrates under different testing conditions. Wetlands 2004, 24, 68–76. [Google Scholar] [CrossRef]
- Corsi, S.; Graczyk, D.; Geis, S.; Booth, N.; Richards, K. A fresh look at road salt: Aquatic toxicity and water-quality impacts on local, regional, and national scales. Environ. Sci. Technol. 2010, 44, 7376–7382. [Google Scholar] [CrossRef]
- Environment Canada. Priority Substances List Assessment Report: Road Salts; Canadian Environmental Protection Act 1999; Industrial Development Branch: Quebec, QC, Canada, 2001.
- United States Environmental Protection Agency (USEPA). Ambient Water Quality Criteria for Chloride; United States Environmental Protection Agency: Washington, DC, USA, 1988; p. 47.
- Ramakrishna, D.M.; Viraraghavan, T. Environmental impact of chemical deicers—A review. Water Air Soil Pollut. 2005, 166, 49–63. [Google Scholar] [CrossRef]
- Kelly, W.R.; Panno, S.V.; Hackley, K.C.; Hwang, H.-H.; Martinsek, A.T.; Markus, M. Using chloride and other ions to trace sewage and road salt in the Illinois Waterway. Appl. Geochem. 2010, 25, 661–673. [Google Scholar] [CrossRef]
- Mullaney, J.R.; Lorenz, D.L.; Arntson, A.D. Chloride in Groundwater and Surface Water in Areas Underlain by the Glacial Aquifer System, Northern United States: Scientific Investigations Report 2009–5086; U.S. Geological Survey: Reston, VA, USA, 2009; p. 41.
- Trowbridge, P. Total Maximum Daily Load (TMDL) Study For Waterbodies in the Vicinity of the I-93 Corridorfrom Massachusetts to Manchester, NH. Beaver Brook in Derry and Londonderry, NH; Watershed Management Bureau: Portsmouth, NH, USA, 2008.
- Fay, L.; Shi, X.; Huang, J. Strategies to Mitigate the Impacts of Chloride Roadway Deicers on the Natural Environment. In National Cooperative Highway Research Program (NCHRP); Transportation Research Board: Washington, DC, USA, 2013. [Google Scholar]
- Winston, R.J.; Hunt, W.F.; Kennedy, S.G.; Wright, J.D.; Lauffer, M.S. Field Evaluation of Storm-Water Control Measures for Highway Runoff Treatment. J. Environ. Eng. 2012, 138, 101–111. [Google Scholar] [CrossRef]
- Earles, T.A. Mitigated Wetlands for the Treatment of Stormwater Runoff: Monitoring and Management. Ph.D. Thesis, University of Virginia, Charlottesville, VA, USA, 1999. [Google Scholar]
- Golub, E.; Dresnack, R.; Konon, W.; Meegoda, J.; Marhaba, T. Salt Runoff Collection System; New Jersey Department of Transportation Division of Research and Technology U.S. Department of Transportation Federal Highway Administration: Washington, DC, USA, 2008; p. 47.
- Wang, X.; Zhu, H.; Yan, B.; Shutes, B.; Bañuelos, G.; Wen, H. Bioaugmented constructed wetlands for denitrification of saline wastewater: A boost for both microorganisms and plants. Environ. Int. 2020, 138, 105628. [Google Scholar] [CrossRef] [PubMed]
- Madison County. Madison County 2020 Landuse and Resource Management Plan Madison County, IL, USA. 2020, p. 141. Available online: https://ilarconline.org/file/16/2020-Madison-Land-Use-Plan.pdf (accessed on 14 January 2021).
- Illinois Department of Transportation (IDOT). Illinois Highway and Street Mileage Statistics, IL, USA. 2019; p. 205. Available online: https://idot.illinois.gov/Assets/uploads/files/Transportation-System/Reports/OP&P/Travel-Stats/2019HighwayStreetMileageStatistics.pdf (accessed on 14 January 2021).
- U. S. Geological Survey. Chapter A6.3. Specific Conductance. In Techniques and Methods 9-A6.3; U.S. Geological Survey: Northborough, MA, USA, 2019; p. 15. [Google Scholar]
- McCleskey, R.B. New Method for Electrical Conductivity Temperature Compensation. Environ. Sci. Technol. 2013, 47, 9874–9881. [Google Scholar] [CrossRef] [PubMed]
- Hayashi, M. Temperature-electrical conductivity relation of water for environmental monitoring and geophysical data inversion. Environ. Monit. Assess. 2004, 96, 119–128. [Google Scholar] [CrossRef]
- Manly, B.F.J. Randomization and Monte Carlo Methods in Biology, 3rd ed.; Chapman Hall: London, UK, 2007. [Google Scholar]
- Noor, M.N.; Yahaya, A.S.; Ramli, N.A.; Al Bakri, A.M.M. Filling Missing Data Using Interpolation Methods: Study on the Effect of Fitting Distribution. Key Eng. Mater. 2014, 594, 889–895. [Google Scholar] [CrossRef]
- Novotny, V. Urban and Highway Snowmelt: Minimizing the Impact on Receiving Water; Water Environment Research Foundation: Alexandria, VA, USA, 1999. [Google Scholar]
- Granato, G.E.; Smith, K.P. Estimating Concentrations of Road-Salt Constituents in Highway-Runoff from Measurements of Specific Conductance. In Water Resources Investigation Report 99–4077; U.S. Department of the Interior, U.S. Geological Survey: Northborough, MA, USA, 1999. [Google Scholar]
- Lofgren, S. The Chemical Effects of Deicing Salt on Soil and Stream Water of Five Catchments in Southeast Sweden. Water Air Soil Pollut. 2001, 130, 863–868. [Google Scholar] [CrossRef]
- Kelly, W.; Panno, S.; Hackley, K. The Sources, Distribution, and Trends of Chloride in the Waters of Illinois; Illinois State Water Survey: Bulletin, IL, USA, 2012; p. B-74. [Google Scholar]
- Lewis, W.M. Preliminary Environmental Evaluation of Caliber M1000 Deicer for Use in Colorado; Colorado Department of Transportation: Denver, CO, USA, 2000; p. 40. Available online: https://ntlrepository.blob.core.windows.net/lib/18000/18700/18724/PB2002101701.pdf (accessed on 14 January 2021).
- Scott, W.S. Factors Influencing the Behavior of De-Icing Salts in an Urban Flood Control Reservoir. Can. Water Resour. J. 1983, 8, 104–120. [Google Scholar] [CrossRef][Green Version]
- Fischel, M. Evaluation of Selected Deicers Based on a Review of the Literature; Colorado Department of Transportation: Denver, CO, USA, 2001.
- Richards, K.D.; Scudder, B.C.; Fitzpatrick, F.A.; Steuer, J.J.; Bell, A.H.; Peppler, M.C.; Stewart, J.S.; Harris, M.A. Effects of Urbanization on Stream Ecosystems Along an Agriculture-to-Urban Land-Use Gradient, Milwaukee to Green Bay, Wisconsin, 2003–2004; Scientific Investigations Report 2006-5101-E; U.S. Geological Survey: Reston, VA, USA, 2010.
- Williams, A.L.; Stensland, G.J.; Peters, C.R.; Osborne, J. Atmospheric Dispersion Study of Deicing Salt Applied to Roads: First Progress Report; Illinois Department of Natural Resources, Illinois State Water Survey: Champaign, IL, USA, 2000; p. 25. [Google Scholar]
- Lenzi, M.A.; Mao, L.; Comiti, F. Effective discharge for sediment transport in a mountain river: Computational approaches and geomorphic effectiveness. J. Hydrol. 2006, 326, 257–276. [Google Scholar] [CrossRef]









| Sensor# 4 | Sensor# 28 | Sensor# 10 | Sensor# 33 | |||||||||
|---|---|---|---|---|---|---|---|---|---|---|---|---|
| Daily | Hourly | ∆ | Daily | Hourly | ∆ | Daily | Hourly | ∆ | Daily | Hourly | ∆ | |
| Lowest * | 246 | 201 | 22 | 222 | 176 | 26 | 278 | 201 | 38 | 292 | 218 | 34 |
| 25 Percentile | 394 | 394 | 0 | 381 | 379 | 0 | 452 | 446 | 1 | 566 | 550 | 3 |
| Median | 443 | 441 | 0 | 444 | 439 | 1 | 550 | 551 | 0 | 641 | 639 | 0 |
| 75 Percentile | 492 | 490 | 0 | 501 | 500 | 0 | 622 | 610 | 2 | 699 | 699 | 0 |
| Highest ** | 1357 | 1708 | 21 | 1891 | 1923 | 2 | 1866 | 2082 | 10 | 1374 | 1600 | 14 |
| Average | 487 | 484 | 1 | 499 | 491 | 2 | 616 | 616 | 0 | 645 | 643 | 0 |
| SD | 203 | 221 | 8 | 289 | 387 | 25 | 317 | 336 | 6 | 201 | 234 | 14 |
| CV (%) | 42 | 46 | 9 | 58 | 79 | 27 | 51 | 55 | 6 | 31 | 36 | 14 |
Publisher’s Note: MDPI stays neutral with regard to jurisdictional claims in published maps and institutional affiliations. |
© 2021 by the authors. Licensee MDPI, Basel, Switzerland. This article is an open access article distributed under the terms and conditions of the Creative Commons Attribution (CC BY) license (https://creativecommons.org/licenses/by/4.0/).
Share and Cite
Benjankar, R.; Kafle, R.; Satyal, S.; Adhikari, N. Analyses of Spatial and Temporal Variations of Salt Concentration in Waterbodies Based on High Resolution Measurements Using Sensors. Hydrology 2021, 8, 64. https://doi.org/10.3390/hydrology8020064
Benjankar R, Kafle R, Satyal S, Adhikari N. Analyses of Spatial and Temporal Variations of Salt Concentration in Waterbodies Based on High Resolution Measurements Using Sensors. Hydrology. 2021; 8(2):64. https://doi.org/10.3390/hydrology8020064
Chicago/Turabian StyleBenjankar, Rohan, Ravin Kafle, Shanti Satyal, and Nirajan Adhikari. 2021. "Analyses of Spatial and Temporal Variations of Salt Concentration in Waterbodies Based on High Resolution Measurements Using Sensors" Hydrology 8, no. 2: 64. https://doi.org/10.3390/hydrology8020064
APA StyleBenjankar, R., Kafle, R., Satyal, S., & Adhikari, N. (2021). Analyses of Spatial and Temporal Variations of Salt Concentration in Waterbodies Based on High Resolution Measurements Using Sensors. Hydrology, 8(2), 64. https://doi.org/10.3390/hydrology8020064
