Impact of Overgrazing on Diffuse and Concentrated Erosion: Case Study in the Sloping Lands of South Africa
Abstract
:1. Introduction
2. Materials and Methods
2.1. Geology, Climate and Soils
2.2. Micro-Plots Used for the Estimation of Sheet Erosion
2.3. Linear Erosion
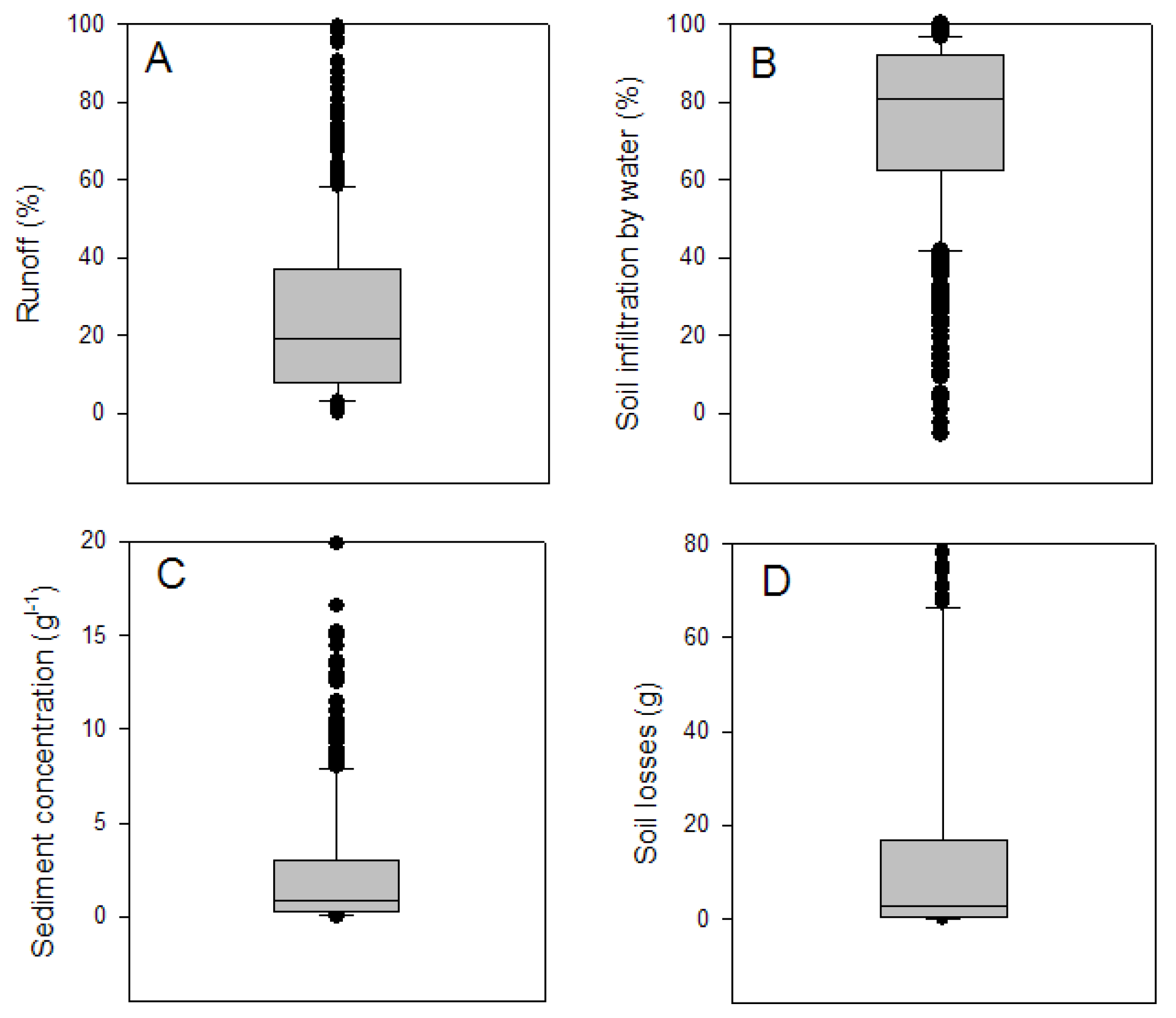
3. Results and Discussion
3.1. The Rainfall Conditions
3.2. Soil Inter-Rill Erosion
3.3. Soil Linear Erosion
4. Conclusions
Author Contributions
Funding
Institutional Review Board Statement
Informed Consent Statement
Data Availability Statement
Acknowledgments
Conflicts of Interest
References
- Wischmeier, W.H.; Smith, D.D. Predicting Rainfall Erosion Losses—A Guide to Conservation Planning, USDA Agricultural Handbook, 537; U.S. Government Printing Office: Washington, DC, USA, 1978.
- FAO. The State of Food and Agriculture; Electronic Publishing Policy and Support Branch Communication Division Editor: Rome, Italy, 2008; p. 138. ISBN 978-92-5-105980-7. ISSN 0081-4539. [Google Scholar]
- UNEP. Environmental Data Report 1993–1994; United Nations Environmental Programme: Oxford, UK, 1994. [Google Scholar]
- Badreddine, B.; Mohammed, H.; Boutkhil, M.; Ahmed, A. Assessment of erosion: Use of nuclear techniques and conventionalmethods—Case of the Fergoug watershed, Algeria. Environ. Monit Assess. 2021, 193, 55. [Google Scholar] [CrossRef] [PubMed]
- Fox, D.M.; Bryan, R.B. The relationship of soil loss by sheet erosion to slope gradient. Catena 1999, 38, 211–222. [Google Scholar] [CrossRef]
- Torri, D. Slope, aspect and surface storage. In Soil Erosion, Conservation, and Rehabilitation; Agassi, M., Ed.; Marcel Dekker: New York, NY, USA, 1996; pp. 77–106. [Google Scholar]
- Mutema, M.; Chivenge, P.; Nivet, F.; Rabouille, C.; Thieu, V.; Chaplot, V. Changes in carbon and nutrient fluxes from headwaters to ocean in a mountainous temperate to subtropical basin. Earth Surf. Processes Landf. 2017, 42, 2038–2053. [Google Scholar] [CrossRef]
- Schulze, R.E. Soil loss in the key area of the Drakensberg—A regional application of the Soil Loss Estimation Model for Southern Africa (SLEMSA). In Hydrology and Water Resources of the Drakensberg; Natal and Regional Planning Commission: Pietermaritzburg, South Africa, 1979; pp. 149–167. [Google Scholar]
- Snyman, H.A.; Van Rensburg, W.L.J. Effect of slope and plant cover on run-off, soil loss and water efficiency of natural veld. J. Grassl. South Afr. 1986, 3, 153–158. [Google Scholar] [CrossRef]
- Stern, R. Effects of Soil Properties and Chemical Ameliorants on Seal Formation, Runoff and Erosion. Ph.D. Thesis, University of Pretoria, Pretoria, South Africa, 1990. [Google Scholar]
- McPhee, P.J.; Smithen, A.A.; Venter, C.J.; Hartmann, M.O.; Crosby, C.T. The South African Rain Simulator Program for Assessing Soil Loss and Run-Off. Technical Report 119; Department of Environmental Affairs: Pretoria, South Africa, 1983.
- Henning, J.A.G.; Kellner, K. Degradation of a soil (aridosol) and vegetation in the semi-arid grassland of southern Africa. Bot. Bull. Acad. Sin. 1994, 35, 195–199. [Google Scholar]
- Le Roux, J.J.; NewbyI, T.S.; Sumner, P.D. Monitoring soil erosion in South Africa at a regional scale: Review and recommendations. South Afr. J. Sci. 2007, 103, 329–335. [Google Scholar]
- Le Roux, J.J.; Morgenthal, T.L.; Malherbe, J.; Pretorius, D.J.; Sumner, P.D. Water erosion prediction an national scale for South Africa. Water SA 2008, 34, 305–314. [Google Scholar] [CrossRef] [Green Version]
- Dlamini, P.; Orchard, C.; Jewitt, G.; Lorentz, S.; Titshall, L.; Chaplot, V. Controlling factors of sheet erosion under degraded grasslands in a sloping-land-agricultural catchment of KwaZulu Natal, South Africa. Agric. Water Manag. 2011, 98, 1711–1718. [Google Scholar] [CrossRef]
- Muller-Nedbock, D.; Chivenge, P.; Chaplot, V. Selective organic carbon losses from soils by sheet erosion and main controls. Earth Surf. Processes Landf. 2016, 41, 1399–1408. [Google Scholar] [CrossRef] [Green Version]
- Martin, A.K. Comparison of sedimentation rates in the Natal Valley, south-west Indian Ocean, with modern sediment yields in east coast rivers of Southern Africa. South Afr. J. Sci. 1987, 83, 716–724. [Google Scholar]
- Beckedahl, H.R. Subsurface Soil Erosion Phenomena in Transkei and Southern KwaZulu-Natal, South Africa. Ph.D. Thesis, University of Natal, Pietermaritzburg, South Africa, 1996; p. 224. [Google Scholar]
- Van Breda Weaver, A. The distribution of soil erosion as a function of slope aspect and parent material in Ciskei, South Africa. GeoJournal 1991, 23, 29–34. [Google Scholar] [CrossRef]
- Wintle, A.G.; Botha, G.A.; Li, S.H.; Vogel, J.C. A chronological framework for Watson, H.K., 1996. Short and long-term influence on soil erosion of settlement by peasant farmers in KwaZulu-Natal. South Afr. Geogr. J. 1995, 78, 1–6. [Google Scholar]
- Bernini, A.; Bosino, A.; Botha, G.A.; Maerker, M. Valuation of Gully Erosion Susceptibility Using a Maximum Entropy Model in the Upper Mkhomazi River Basin in South Africa. ISPRS Int. J. Geo-Inf. 2021, 10, 729. [Google Scholar] [CrossRef]
- Meadows, M.E. Soil erosion in the Swartland, Western Cape Province, South Africa: Implications of past and present policy and practice. Environ. Sci. Policy 2003, 6, 17–28. [Google Scholar] [CrossRef]
- Yaalon, D.H. Is gullying associated with highly sodic colluvium? Further comment to the environmental interpretation of Southern African dongas. Palaeogeogr. Palaeoclimatol. Palaeoecol. 1987, 58, 121–123. [Google Scholar] [CrossRef]
- Rienks, S.M.; Botha, G.A.; Hughes, J.C. Some physical and chemical properties of sediments exposed in a gully-donga/in northern KwaZulu-Natal, South Africa and their relationship to the erodibility of the colluvial layers. Catena 2000, 39, 11–31. [Google Scholar] [CrossRef]
- Chaplot, V.; Brown, J.; Dlamini, P.; Eustice, T.; Janeau, J.; Jewitt, G.; Lorentz, S.; Martin, L.; Mchunu, C.N.; Oakes, E.; et al. Rainfall simulation to identify the storm-scale mechanisms of gully bank retreat. Agric. Water Manag. 2022, 98, 1704–1710. [Google Scholar] [CrossRef] [Green Version]
- Chaplot, V. Impact of terrain attributes, parent material and soil types on gully erosion. Geomorphology 2013, 186, 1–11. [Google Scholar] [CrossRef]
- Schulze, R.E. South African Atlas of Agrohydrology and Climatology, TT82/96; Water Research Commission: Pretoria, South Africa, 1997. [Google Scholar]
- King, G.M. An Explanation of the 1:500,000 General Hydrogeological Map; Department of Water Affairs and Forestry: Pretoria, South Africa, 2002.
- ISSS Working Group RB. World Reference Base for Soil Resources. Introduction, 1st ed.; Deckers, J.A., Nachtergaele, F., Eds.; ISSS/ISRIC/FAO; Acco: Leuven, Belgium, 1998. [Google Scholar]
- Haigh, M.J. The use of erosion pins in the study of slope evolution. Br. Geomorphol. Res. Group Tech. Bull. 1977, 18, 31–49. [Google Scholar]
- Janeau, J.L.; Bricquet, J.P.; Planchon, O.; Valentin, C. Soil crusting and infiltration on very steep slopes in northern Thailand. Eur. J. Soil Sci. 2003, 5, 543–553. [Google Scholar] [CrossRef] [Green Version]
- Chaplot, V.; Khampaseuth, X.; Valentin, C.; Le Bisonnais, Y. Sheet erosion in the sloping lands of northern Laos submitted to shifting cultivation. Earth Surf. Processes Landf. 2007, 32, 415–428. [Google Scholar] [CrossRef]
- Poesen, J.; Nachtergaele, J.; Verstraeten, G.; Valentin, C. Gully erosion and environmental change: Importance and research needs. Catena 2003, 50, 91–133. [Google Scholar] [CrossRef]
- Oostwoud Wijdenes, D.J.; Bryan, R.B. Gully-head erosion processes on a semi-arid valley floor in Kenya: A case study into temporal variation and sediment budgeting. Earth Surf. Processes Landf. 2001, 26, 911–933. [Google Scholar] [CrossRef]
- Chaplot, V.; Coadou le Brozec, E.; Silvera, N.; Valentin, C. Spatial and temporal assessment of linear erosion in catchments under sloping lands of Northern Laos. Catena 2005, 63, 167–184. [Google Scholar] [CrossRef]
- IGBP (International Geosphere–Biosphere Programme). Land-Use and Land Cover Change; Science Research Plan: Stockholm, Sweden, 1995; p. 123. [Google Scholar]
- Heimsath, A.M.; Dietrich, W.E.; Nishiizumi, K.; Finkel, R.C. The soil production function and landscape equilibrium. Nature 1997, 388, 358–388. [Google Scholar] [CrossRef]
- Dethier, D.P. Weathering rates and the chemical flux from catchments in the Pacific Northwest, U.S.A. In Rates of Chemical Weathering and Rocks and Minerals; Colman, S.M., Dethier, D.P., Eds.; Academic Press: Orlando, FL, USA, 1986; pp. 503–530. [Google Scholar]
- Chaplot, V.; Rumpel, C.; Valentin, C. Water erosion impact on soil and carbon redistributions within the Mekong basin. Glob. Biogeochem. Cycles 2005, 19, GB4004. [Google Scholar] [CrossRef]
- Polyakov, V.O.; Lal, R. Soil organic matter and CO2 emission as affected by water erosion on field runoff plots. Geoderma 2008, 143, 216–222. [Google Scholar] [CrossRef]
- DiCenzo, P.D.; Luk, S.H. Gully erosion and sediment transport in a small subtropical catchment, South China. Catena 1997, 29, 161–176. [Google Scholar] [CrossRef]




| Sheet Erosion | ||||||
|---|---|---|---|---|---|---|
| Footslope | Middleslope | Terrace | ShoulderD | ShoulderS | Average | |
| Runoff (%) | ||||||
| 17.7 | 30.4 | 16.5 | 17.8 | 32.6 | 23 | |
| Sediment concentration (g L−1) | ||||||
| 3.4 | 5.6 | 5.0 | 2.3 | 4.0 | 4.1 | |
| Soil losses (ton ha−1 y−1) | ||||||
| 5.3 | 13.2 | 6.5 | 3.5 | 9.9 | 7.7 | |
| Linear Erosion | ||||||
| Soil losses (ton ha−1 y−1) | ||||||
| 4.8 | ||||||
Publisher’s Note: MDPI stays neutral with regard to jurisdictional claims in published maps and institutional affiliations. |
© 2022 by the authors. Licensee MDPI, Basel, Switzerland. This article is an open access article distributed under the terms and conditions of the Creative Commons Attribution (CC BY) license (https://creativecommons.org/licenses/by/4.0/).
Share and Cite
Chaplot, V.; Mutema, M. Impact of Overgrazing on Diffuse and Concentrated Erosion: Case Study in the Sloping Lands of South Africa. Hydrology 2022, 9, 121. https://doi.org/10.3390/hydrology9070121
Chaplot V, Mutema M. Impact of Overgrazing on Diffuse and Concentrated Erosion: Case Study in the Sloping Lands of South Africa. Hydrology. 2022; 9(7):121. https://doi.org/10.3390/hydrology9070121
Chicago/Turabian StyleChaplot, Vincent, and Macdex Mutema. 2022. "Impact of Overgrazing on Diffuse and Concentrated Erosion: Case Study in the Sloping Lands of South Africa" Hydrology 9, no. 7: 121. https://doi.org/10.3390/hydrology9070121
APA StyleChaplot, V., & Mutema, M. (2022). Impact of Overgrazing on Diffuse and Concentrated Erosion: Case Study in the Sloping Lands of South Africa. Hydrology, 9(7), 121. https://doi.org/10.3390/hydrology9070121

