Characterization of the Serine Protease TlSP1 from Trichoderma longibrachiatum T6 and Its Function in the Control of Heterodera avenae in Wheat
Abstract
1. Introduction
2. Materials and Methods
2.1. Fungus Inoculum and H. avenae Preparation
2.2. Cloning and Sequence Analysis of TlSP1 Gene from T. longibrachiatum T6
2.3. Analysis of TlSP1 Gene Expression
2.4. Heterologous Expression of TlSP1 in P. pastoris X33
2.5. Induction, Expression, and Purification of Recombinant TlSP1 Protein
2.6. Effects of Temperature on Activity and Stability of Recombinant TlSP1 Protein
2.7. Effects of pH on Activity and Stability of Recombinant TlSP1 Protein
2.8. Determination of Recombinant TlSP1 Protein Metal Ions
2.9. Determination of Various Inhibitors of Recombinant TlSP1 Protein
2.10. Specificity of Various Substrates of Recombinant TlSP1 Protein
2.11. Determination of Kinetic Parameters
2.12. Microscopic Observation of Effect of TlSP1 on Eggshells
2.13. Detection of TlSP1-Induced Callus Accumulation and Allergic Reaction in Wheat
2.14. Study of TlSP1 Inducing Resistance to Cyst Nematode Disease in Wheat Using Root Splitting System
2.15. TlSP1 Induces Defense-Related Gene Expression
2.16. Statistical Analysis
3. Results
3.1. Isolation and Characterization of TlSP1 from T. longibrachiatum T6
3.2. Expression Patterns of TlSP1
3.3. Heterologous Expression and Purification of TlSP1
3.4. Characterization of TlSP1 Protein
3.5. Effects of Metal Ions, Inhibitors, Substrate Specificity, and Kinetic Parameters of TlSP1
3.6. Microscopic Observation of Effect of TlSP1 on Eggs
3.7. Effect of TlSP1 on Callus Accumulation and Allergic Reaction in Wheat Seedlings
3.8. Study of TlSP1-Induced Resistance to Cyst Nematodes in Wheat Using Split-Root System
3.8.1. Effect of TlSP1 on Wheat Growth
3.8.2. Effect of TlSP1 on Nematode Invasion
3.8.3. Expression Analysis of Defense-Related Enzyme Genes
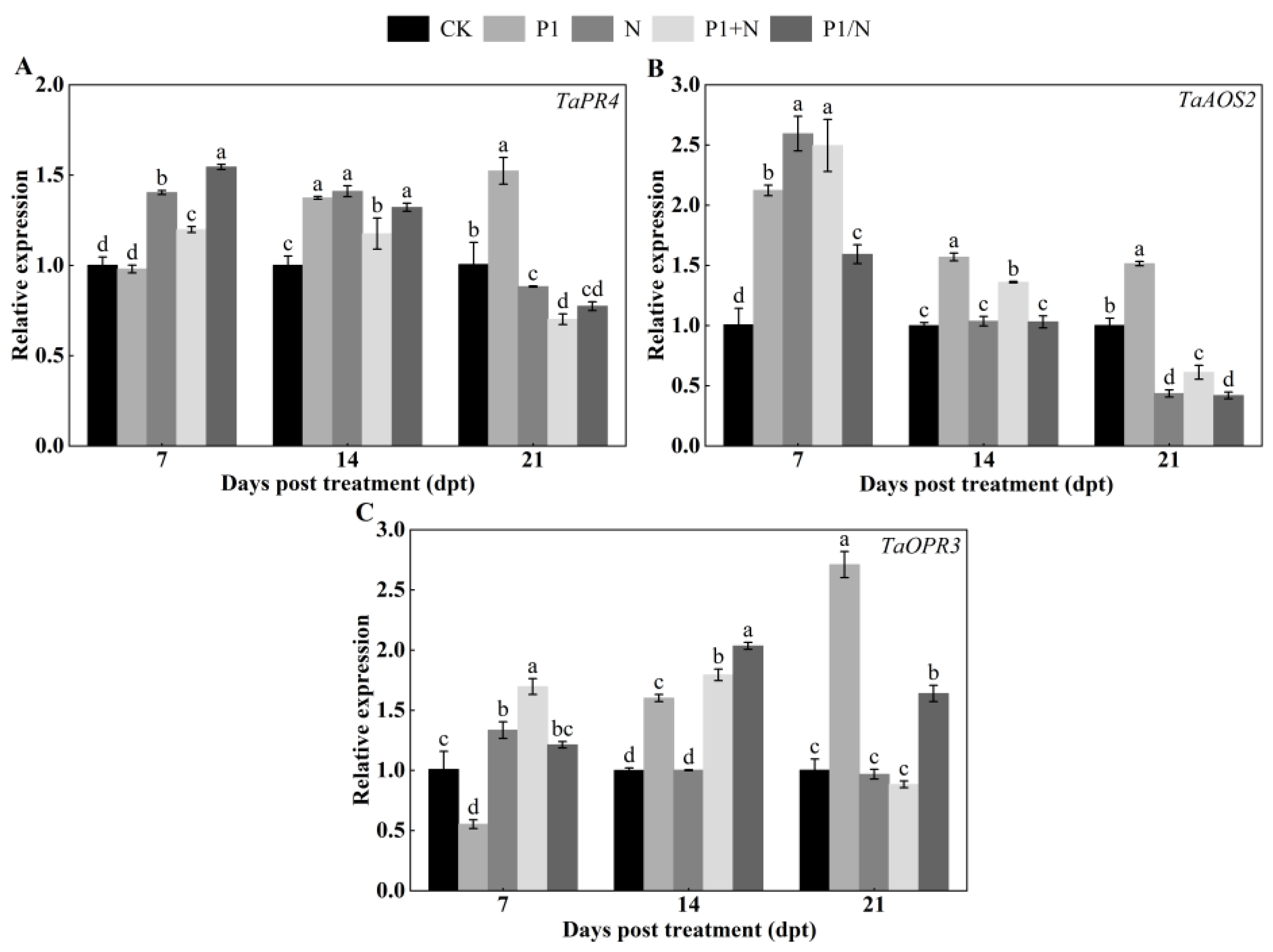
3.8.4. Expression Analysis of Lignin-Synthesis-Pathway-Related Genes
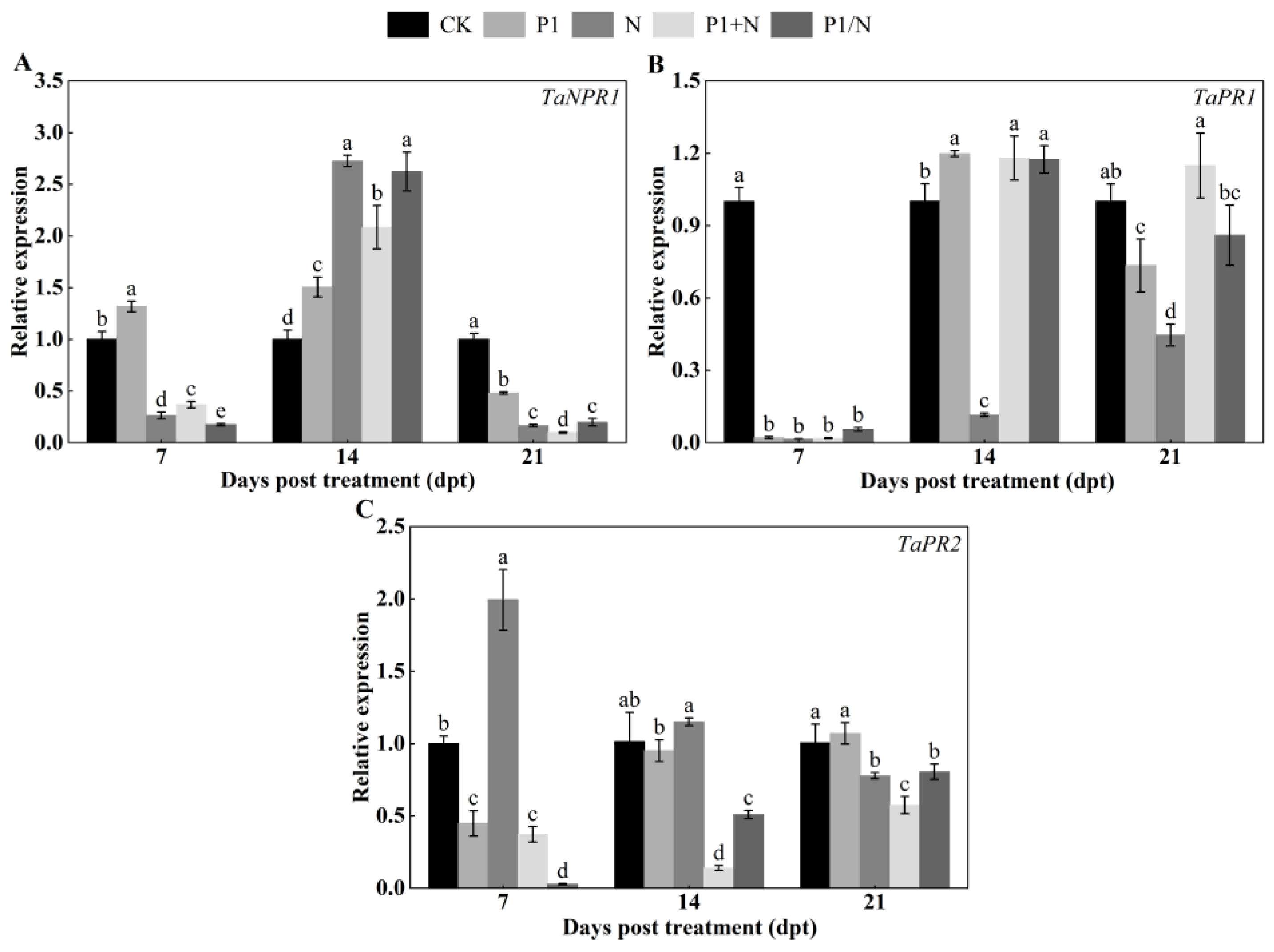
3.8.5. Expression Analysis of SA Pathway-Related Genes
3.8.6. Expression Analysis of JA Pathway-Related Genes
4. Discussion
5. Conclusions
Author Contributions
Funding
Institutional Review Board Statement
Informed Consent Statement
Data Availability Statement
Conflicts of Interest
References
- Zhang, S.W.; Gan, Y.T.; Xu, B.L. Biocontrol potential of a native species of Trichoderma longibrachiatum against Meloidogyne incognita. Appl. Soil Ecol. 2015, 94, 21–29. [Google Scholar] [CrossRef]
- Jones, J.T.; Haegeman, A.; Danchin, E.G.J.; Gaur, H.S.; Helder, J.; Jones, M.G.K.; Perry, R.N. Top 10 plant-parasitic nematodes in molecular plant pathology. Mol. Plant Pathol. 2013, 14, 946–961. [Google Scholar] [CrossRef] [PubMed]
- Abad, P.; Gouzy, J.; Aury, J.; Castagnone-sereno, P.; Danchin, E.G.J.; Deleury, E.; Wincker, P. Genome sequence of the metazoan plant-parasitic nematode Meloidogyne incognita. Nat. Biotechnol. 2008, 26, 909–915. [Google Scholar] [CrossRef]
- Zhang, S.W.; Gan, Y.T.; Xu, B.L. Efficacy of Trichoderma longibrachiatum in the control of Heterodera avenae. BioControl 2014, 59, 319–331. [Google Scholar] [CrossRef]
- Martínez-Medina, A.; Fernández, I.; Sánchez-Guzmán, M.J.; Jung, S.C.; Pascual, J.A.; Pozo, M.J. Deciphering the hormonal signalling network behind the systemic resistance induced by Trichoderma harzianum in tomato. Front. Plant Sci. 2013, 4, 206. [Google Scholar] [CrossRef]
- Ghorbanpour, M.; Omidvari, M.; Abbaszadeh-Dahaji, P.; Omidvar, R.; Kariman, K. Mechanisms underlying the protective effects of beneficial fungi against plant diseases. Biol. Control 2018, 117, 147–157. [Google Scholar] [CrossRef]
- Khan, R.A.A.; Najeeb, S.; Mao, Z.; Ling, J.; Yang, Y.; Li, Y.; Xie, B. Bioactive secondary metabolites from Trichoderma spp. against phytopathogenic bacteria and root-knot nematode. Microorganisms 2020, 8, 401. [Google Scholar] [CrossRef]
- Al-Hazmi, A.S.; Muhammad, T. Effects of different inoculum densities of Trichoderma harzianum and Trichoderma viride against Meloidogyne javanica on tomato. Saudi J. Biol. Sci. 2016, 23, 288–292. [Google Scholar] [CrossRef]
- Yan, Y.; Mao, Q.; Wang, Y.; Zhao, J.; Fu, Y.; Yang, Z.; Peng, X.; Zhang, M.; Bai, B.; Liu, A.; et al. Trichoderma harzianum induces resistance to root-knot nematodes by increasing secondary metabolite synthesis and defense-related enzyme activity in Solanum lycopersicum L. Biol. Control 2021, 158, 104609. [Google Scholar] [CrossRef]
- Zhang, S.W.; Gan, Y.T.; Ji, W.H.; Xu, B.L.; Hou, B.H.; Liu, J. Mechanisms and characterization of Trichoderma longibrachiatum T6 in suppressing nematodes (Heterodera avenae) in Wheat. Front. Plant Sci. 2017, 8, 1491. [Google Scholar] [CrossRef]
- Zhang, S.W.; Gan, Y.T.; Xu, B.L.; Xue, Y.Y. The parasitic and lethal effects of Trichoderma longibrachiatum against Heterodera avenae. Biol. Control 2014, 72, 1–8. [Google Scholar] [CrossRef]
- Zou, C.G.; Tao, N.; Liu, W.J.; Yang, J.; Huang, X.; Liu, X.; Tu, H.; Gan, Z.; Zhang, K. Regulation of subtilisin-like protease prC expression by nematode cuticle in the nematophagous fungus Clonostachys rosea. Environ. Microbiol. 2010, 12, 3243–3252. [Google Scholar] [CrossRef] [PubMed]
- Shakeri, J.; Foster, H.A. Proteolytic activity and antibiotic production by Trichoderma harzianum in relation to pathogenicity to insects. Enzym. Microb. Technol. 2007, 40, 961–968. [Google Scholar] [CrossRef]
- Blauth, D.F.; Félix, C.; Osório, N.; Alves, A.; Vitorino, R.; Domingues, P.; da Silva Ribeiro, R.T.; Esteves, A.C. Trichoderma harzianum T1A constitutively secretes proteins involved in the biological control of Guignardia citricarpa. Biol. Control 2017, 106, 99–109. [Google Scholar] [CrossRef]
- Szabó, M.; Urbán, P.; Virányi, F.; Kredics, L.; Fekete, C. Comparative gene expression profiles of Trichoderma harzianum proteases during in vitro nematode egg-parasitism. Biol. Control 2013, 67, 337–343. [Google Scholar] [CrossRef]
- Nicol, J.M.; Rivoal, R. Global knowledge and its application for the integrated control and management of nematodes on wheat. In Integrated Management and Biocontrol of Vegetable and Grain Crops Nematodes; Ciancio, A., Mukerji, K.G., Eds.; Springer Press: New York, NY, USA, 2008; pp. 251–294. [Google Scholar]
- Suarez, B.; Rey, M.; Castillo, P. Isolation and characterization of PRA1, a trypsin-like protease from the biocontrol agent Trichoderma harzianum CECT 2413 displaying nematicidal activity. Appl. Microbiol. Biotechnol. 2004, 65, 46–55. [Google Scholar] [CrossRef] [PubMed]
- Chen, L.L.; Liu, L.J.; Shi, M. Characterization and gene cloning of a novel serine protease with nematicidal activity from Trichoderma pseudokoningii SMF2. FEMS Microbiol. Lett. 2009, 299, 135–142. [Google Scholar] [CrossRef]
- Liu, Y.; Yang, Q. Cloning and heterologous expression of serine protease SL41 related to biocontrol in Trichoderma harzianum. Microbiol. Physiol. 2013, 23, 431–439. [Google Scholar] [CrossRef]
- Flores, A.; Chet, I.; Herrera, E.A. Improved biocontrol activity of Trichoderma harzianum by over-expression of the proteinase-encoding gene prb1. Curr. Genet. 1997, 31, 30–37. [Google Scholar] [CrossRef]
- Pozo, M.J.; Baek, J.M.; Garcıa, J.M.; Kenerley, C.M. Functional analysis of tvsp1, a serine protease-encoding gene in the biocontrol agent Trichoderma virens. Fungal Genet. 2004, 41, 336–348. [Google Scholar] [CrossRef]
- Yang, L.N.; Chun, Y.; Peng, S.Y.; Chen, L.; Guo, J.; Lu, Y.; Li, L.; Ji, Z. Broad-spectrum resistance mechanism of serine protease Sp1 in Bacillus licheniformis W10 via dual comparative transcriptome analysis. Front. Microbiol. 2022, 13, 974473. [Google Scholar] [CrossRef] [PubMed]
- Shen, Z.Y.; Zhang, S.W.; Xu, B.L. Trichoderma longibrachiatum T6: A nematocidal activity of endochitinase gene exploration and its function identification. Int. J. Biol. Macromol. 2022, 223, 1641–1652. [Google Scholar] [CrossRef] [PubMed]
- Livak, K.J.; Schmittgen, T.D. Analysis of relative gene expression data using real-time quantitative PCR and the 2−ΔΔCT Method. Methods 2001, 25, 402–408. [Google Scholar] [CrossRef] [PubMed]
- Wang, J.R.; Li, X.M.; Chen, H. Heterologous expression and characterization of a high-efficiency chitosanase from Bacillus mojavensis SY1 suitable for production of chitosan oligosaccharides. Front. Microbiol. 2021, 12, 781138. [Google Scholar] [CrossRef] [PubMed]
- Laemmli, U.K. Cleavage of structural proteins during the assembly of the head of bacteriophage T4. Nature 1970, 227, 680–685. [Google Scholar] [CrossRef] [PubMed]
- Lakshmi, B.K.M.; Mani Kumar, D.; Hemalatha, K.P.J. Purification and characterization of alkaline protease with novel properties from Bacillus cereus strain S8. J. Genet. Eng. Biotechnol. 2018, 16, 295–304. [Google Scholar] [CrossRef] [PubMed]
- Sharma, V.; Shanmugam, V. Purification and characterization of an extracellular 24 kDa chitobiosidase from the mycoparasitic fungus Trichoderma saturnisporum. J. Basic Microbiol. 2012, 52, 324–331. [Google Scholar] [CrossRef] [PubMed]
- Lineweaver, H.; Burk, D. The determination of enzyme dissociation constants. J. Am. Chem. Soc. 1934, 56, 658–666. [Google Scholar] [CrossRef]
- Ahmed, S.M.; Liu, P.; Xue, Q.; Ji, C.; Qi, T.; Guo, J.; Kang, Z.S. TaDIR1-2, a wheat ortholog of lipid transfer protein AtDIR1 contributes to negative regulation of wheat resistance against Puccinia striiformis f. sp. tritici. Front. Plant Sci. 2017, 8, 521. [Google Scholar] [CrossRef] [PubMed]
- Yu, Y.; Song, T.; Wang, Y.; Zhang, M.; Li, N.; Yu, M.; Zhang, X. The wheat WRKY transcription factor TaWRKY1-2D confers drought resistance in transgenic Arabidopsis and wheat (Triticum aestivum L.). Int. J. Biol. Macromol. 2023, 226, 1203–1217. [Google Scholar] [CrossRef]
- Xu, W.; Chen, Y.; Liu, B.; Li, Q.; Zhou, Y.; Li, X.; Xing, J. TaANR1-TaMADS25 module regulates lignin biosynthesis and root development in wheat (Triticum aestivum L.). J. Genet. Genom. 2023, 50, 917–920. [Google Scholar] [CrossRef] [PubMed]
- Rong, W.; Luo, M.; Shan, T.; Wei, X.; Du, L.; Xu, H.; Zhang, Z. A wheat cinnamyl alcohol dehydrogenase TaCAD12 contributes to host resistance to the sharp eyespot disease. Front. Plant Sci. 2016, 7, 1723. [Google Scholar] [CrossRef] [PubMed]
- Zhao, L.; Su, P.; Hou, B.; Wu, H.; Fan, Y.; Li, W.; Kong, L. The black necrotic lesion enhanced Fusarium graminearum resistance in wheat. Front. Plant Sci. 2022, 13, e926621. [Google Scholar] [CrossRef] [PubMed]
- Zhang, W.; Li, H.; Wang, L.; Xie, S.; Zhang, Y.; Kang, R.; Li, H. A novel effector, CsSp1, from Bipolaris sorokiniana, is essential for colonization in wheat and is also involved in triggering host immunity. Mol. Plant Pathol. 2021, 23, 218–236. [Google Scholar] [CrossRef] [PubMed]
- Yan, X.; Xu, S.; Guo, J.; Hu, J.; He, D.; Jia, L.; Luo, K. Multifunctionality of jasmonic acid accumulation during aphid infestation in altering the plant physiological traits that suppress the plant defenses in wheat cultivar XN979. Insects 2023, 14, 622. [Google Scholar] [CrossRef] [PubMed]
- Sahu, R.; Sharaff, M.; Pradhan, M.; Sethi, A.; Bandyopadhyay, T.; Mishra, V.K.; Pandey, S.P. Elucidation of defense-related signaling responses to spot blotch infection in bread wheat (Triticum aestivum L.). Plant J. 2016, 86, 35–49. [Google Scholar] [CrossRef] [PubMed]
- Zhu, N.; Zhou, J.J.; Zhang, S.W.; Xu, B.L. Mechanisms of Trichoderma longibrachiatum T6 fermentation against Valsa mali through inhibiting its growth and reproduction, pathogenicity and gene expression. J. Fungi 2022, 8, 113. [Google Scholar] [CrossRef] [PubMed]
- Zhang, S.W.; Xu, B.L.; Zhou, J.J.; Gan, Y.T. Identification of the antifungal activity of Trichoderma longibrachiatum T6 and assessment of bioactive substances in controlling phytopathgens. Pestic. Biochem. Physiol. 2018, 147, 59–66. [Google Scholar] [CrossRef] [PubMed]
- Zhang, S.W.; Gan, Y.T.; Liu, J.; Zhou, J.J.; Xu, B.L. Optimization of the fermentation media and parameters for the bio-control potential of Trichoderma longibrachiatum T6 against nematodes. Front. Microbiol. 2020, 11, 574601. [Google Scholar] [CrossRef]
- Bonants, P.J.; Fitters, P.F.; Thijs, H.; Belder, E.D.; Waalwijk, C.; Henfling, J.W.D. A basic serine protease from Paecilomyces lilacinus with biological activity against Meloidogyne hapla eggs. Microbiology 1995, 141, 775–784. [Google Scholar] [CrossRef]
- Segers, R.; Butt, T.M.; Kerry, B.R.; Peberdy, J.F. The nematophagous fungus Verticillium chlamydosporium produces a chymoelastase-like protease which hydrolyses host nematode proteins in situ. Microbiology 1994, 140, 2715–2723. [Google Scholar] [CrossRef] [PubMed]
- Yang, J.; Huang, X.; Tian, B.; Wang, M.; Niu, Q.; Zhang, K. Isolation and characterization of a serine protease from the nematophagous fungus, Lecanicillium psalliotae, displaying nematicidal activity. Biotechnol. Lett. 2005, 27, 1123–1128. [Google Scholar] [CrossRef]
- Dunaevsky, Y.E.; Gruban, T.N.; Beliakova, G.A. Enzymes secreted by filamentous fungi: Regulation of secretion and purification of an extracellular protease of Trichoderma harzianum. Biochemistry 2000, 65, 723–727. [Google Scholar]
- Aissaoui, N.; Chobert, J.M.; Haertlé, T. Purification and biochemical characterization of a neutral serine protease from Trichoderma harzianum. Use in antibacterial peptide production from a fish by-product hydrolysate. Appl. Biochem. Biotechnol. 2017, 182, 831–845. [Google Scholar] [CrossRef] [PubMed]
- Tian, B.; Yang, J.; Zhang, K.Q. Bacteria used in the biological control of plant-parasitic nematodes: Populations, mechanisms of action, and future prospects. FEMS Microbiol. Ecol. 2007, 61, 197–213. [Google Scholar] [CrossRef]
- Khan, F.; Asif, M.; Khan, A.; Tariq, M.; Siddiqui, M.A. Screening of carrot cultivars against root-knot nematode Meloidogyne incognita. Indian Phytopathol. 2018, 71, 415–421. [Google Scholar] [CrossRef]
- Lall, S.; Friedman, C.C.; Jankowska-Anyszka, M.; Stepinski, J.; Darzynkiewicz, E.; Davis, R.E. Contribution of trans-splicing, 5’-leader length, cap-poly(A) synergism, and initiation factors to nematode translation in an Ascaris suum embryo cell-free system. J. Biol. Chem. 2004, 279, 45573–45585. [Google Scholar] [CrossRef]
- Srivastava, R.; Liu, J.X.; Howell, S.H. Proteolytic processing of a precursor protein for a growth-promoting peptide by a subtilisin serine protease in Arabidopsis. Plant J. 2008, 56, 219–227. [Google Scholar] [CrossRef] [PubMed]
- Matsubayashi, Y.; Ogawa, M.; Kihara, H.; Niwa, M.; Sakagami, Y. Disruption and overexpression of Arabidopsis phytosulfokine receptor gene affects cellular longevity and potential for growth. Plant Physiol. 2006, 142, 45–53. [Google Scholar] [CrossRef]
- Nogueira-Lopez, G.; Greenwood, D.R.; Middleditch, M.; Winefield, C.; Eaton, C.; Steyaert, J.M.; Mendoza-Mendoza, A. The apoplastic secretome of Trichoderma virens during interaction with maize roots shows an inhibition of plant defence and scavenging oxidative stress secreted proteins. Front. Plant Sci. 2018, 9, 409. [Google Scholar] [CrossRef]
- Viterbo, A.; Harel, M.; Chet, I. Isolation of two aspartyl proteases from Trichoderma asperellum expressed during colonization of cucumber roots. FEMS Microbiol. Lett. 2004, 238, 151–158. [Google Scholar] [PubMed]
- Morgan-Jones, G.; White, J.; Rodriguez-Kabana, R. Phytonematode pathology: Ultrastructural studies. II. Parasitism of Meloidogyne arenaria eggs and larvae by Paecilomyces lilacinus. Nematropica 1984, 14, 57–71. [Google Scholar]
- Lopez-Llorca, L.; Claugher, D. Appressoria of the nematophagous fungus Verticillium suchlasporium. Micron Microsc. Acta 1990, 21, 125–130. [Google Scholar] [CrossRef]
- Leonetti, P.; Costanza, A.; Zonno, M.; Molinari, S.; Altomare, C. How fungi interact with nematode to activate the plant defence response to tomato plants. Commun. Agric. Appl. Biol. Sci. 2014, 79, 357–362. [Google Scholar] [PubMed]
- Yang, Y.X.; Ahammed, G.J.; Wu, C.; Fan, S.Y.; Zhou, Y.H. Crosstalk among jasmonate, salicylate and ethylene signaling pathways in plant disease and immune responses. Curr. Protein Pept. Sci. 2015, 16, 450–461. [Google Scholar] [CrossRef]
- Yang, J.; Duan, G.; Li, C.; Liu, L.; Han, G.; Zhang, Y.; Wang, C. The crosstalks between jasmonic acid and other plant hormone signaling highlight the involvement of jasmonic acid as a core component in plant response to biotic and abiotic stresses. Front. Plant Sci. 2019, 10, 1349. [Google Scholar] [CrossRef]














| Primers Name | Primers Sequence (5′-3′) |
|---|---|
| Actin-F | TACATGGCTGGTCGTGATCTT |
| Actin-R | GCAGAGCTTCTCCTTGATGT |
| TlSP1-F | AGGCTCTTGAGGGTCTTAGT |
| TlSP1-R | GATAGTGTTAGGGCTCCTACATTC |
| Primer Name | Primer Sequence (5′-3′) | Reference |
|---|---|---|
| TaEF-1α-F | CAAGGGTGTGGAGAAGAAGG | [30] |
| TaEF-1α-R | AGCAGATACATAGATGGATTCAGG | |
| TaPAL-F | CGTCAAGAGCTGTGTGAAGATGG | |
| TaPAL-R | GGTAGTTGGAGCTGCAAGGGTC | |
| TaCAT-F | TGCCTGTGTTTTTTATCCGAGA | |
| TaCAT-R | CTGCTGATTAAGGTGTAGGTGTTGA | |
| TaSOD-F | CCGAGGTCTGGAACTACATCAC | |
| TaSOD-R | AGCCGAAATCCTTCTCGATCT | |
| TaPOD-F | TTGTGGTGGCGGTGGTAGTGG | [31] |
| TaPOD-R | CGAAGCAGTCGTGGAAGTGGAG | |
| TaC4H-F | GAAGAAGCTGGTGAGCACCA | [32] |
| TaC4H-R | TGATGTTCTCGATGATGTAG | |
| Ta4CL2-F | CAAGGAGCTGCAGGATACATCA | |
| Ta4CL2-R | GTCGACGATCTTGAGCTCCG | |
| TaCAD1-F | AAAAGCAGAGGGAGAAAGAGC | [33] |
| TaCAD1-R | AACGGAAACAGGTCACAAATACAT | |
| TaCAD12-F | AACGTGACCAAGTTCAAGGC | |
| TaCAD12-R | TTCAGCCCGTGGTACTTTACAT | |
| TaNPR1-F | GCTCACAGAAGGGCAGACAA | [34] |
| TaNPR1-R | GCTTAGCGGCGATGTGAAGA | |
| TaPR1-F | CTGGAGCACGAAGCTGCAG | [35] |
| TaPR1-R | CGAGTGCTGGAGCTTGCAGT | |
| TaPR2-F | CTCGATACATCGGTAACGACCAG | |
| TaPR2-R | GCGGCGATGTACTTGATGTTC | |
| TaPR4-F | ACACCGTCTTCACCAAGATCGACA | [36] |
| TaPR4-R | AGTACATGGATCAGTCTCAGTGCTCA | |
| TaAOS2-F | CAACTTCAACACGCTCAACGA | [37] |
| TaAOS2-R | GGAGCTGGAATATGAGCCACTT | |
| TaOPR3-F | AAGATATTGTTGCCTGATGGTTCA | |
| TaOPR3-R | CAGCTTGGCGATATTGCTCAA |
| Reagent | Concentration (mM) | Relative Activity (%) |
|---|---|---|
| CK a | - | 100.00 ± 2.77 b |
| Mg2+ | 5 | 94.13 ± 1.77 c |
| Fe2+ | 5 | 91.85 ± 2.41 cd |
| Ca2+ | 5 | 89.37 ± 4.04 cde |
| Cu2+ | 5 | 106.02 ± 5.19 a |
| Mn2+ | 5 | 101.30 ± 2.44 b |
| Zn2+ | 5 | 88.27 ± 3.51 de |
| Na+ | 5 | 93.26 ± 1.61 c |
| K+ | 5 | 101.83 ± 2.21 ab |
| Hg+ | 5 | 82.55 ± 1.67 f |
| Li+ | 5 | 86.44 ± 0.59 ef |
| EDTA | 1 | 91.96 ± 3.08 cd |
| 5 | 92.11 ± 1.49 cd | |
| PMSF | 1 | 61.60 ± 1.20 g |
| 5 | 24.04 ± 0.83 h |
Disclaimer/Publisher’s Note: The statements, opinions and data contained in all publications are solely those of the individual author(s) and contributor(s) and not of MDPI and/or the editor(s). MDPI and/or the editor(s) disclaim responsibility for any injury to people or property resulting from any ideas, methods, instructions or products referred to in the content. |
© 2024 by the authors. Licensee MDPI, Basel, Switzerland. This article is an open access article distributed under the terms and conditions of the Creative Commons Attribution (CC BY) license (https://creativecommons.org/licenses/by/4.0/).
Share and Cite
Wang, X.; Zhang, S.; Xu, B. Characterization of the Serine Protease TlSP1 from Trichoderma longibrachiatum T6 and Its Function in the Control of Heterodera avenae in Wheat. J. Fungi 2024, 10, 569. https://doi.org/10.3390/jof10080569
Wang X, Zhang S, Xu B. Characterization of the Serine Protease TlSP1 from Trichoderma longibrachiatum T6 and Its Function in the Control of Heterodera avenae in Wheat. Journal of Fungi. 2024; 10(8):569. https://doi.org/10.3390/jof10080569
Chicago/Turabian StyleWang, Xiujuan, Shuwu Zhang, and Bingliang Xu. 2024. "Characterization of the Serine Protease TlSP1 from Trichoderma longibrachiatum T6 and Its Function in the Control of Heterodera avenae in Wheat" Journal of Fungi 10, no. 8: 569. https://doi.org/10.3390/jof10080569
APA StyleWang, X., Zhang, S., & Xu, B. (2024). Characterization of the Serine Protease TlSP1 from Trichoderma longibrachiatum T6 and Its Function in the Control of Heterodera avenae in Wheat. Journal of Fungi, 10(8), 569. https://doi.org/10.3390/jof10080569
