Composition and Codon Usage Pattern Results in Divergence of the Zinc Binuclear Cluster (Zn(II)2Cys6) Sequences among Ascomycetes Plant Pathogenic Fungi
Abstract
1. Introduction
2. Materials and Methods
2.1. Mining of Zn(II)2Cys6 Sequences and Cluster Analysis
2.2. Nucleotide Composition Analysis
2.3. The Effective Number of Codons (ENC) and ENC Plot Analysis
2.4. Relative Synonymous Codon Usage Analysis
2.5. Intrinsic Codon Deviation Index
2.6. Codon Adaptation Index
2.7. Codon Bias Index (CBI)
2.8. Frequency of Optimal Codons (FoP)
2.9. Synonymous Codon Usage Order (SCUO) Index
2.10. Codon Usage Similarity Index
2.11. GRAVY and AROMA
2.12. PR2 and Neutrality Plots
2.13. Translational Selection Index (P2)
2.14. Correlation and Principal Component Analysis
3. Results
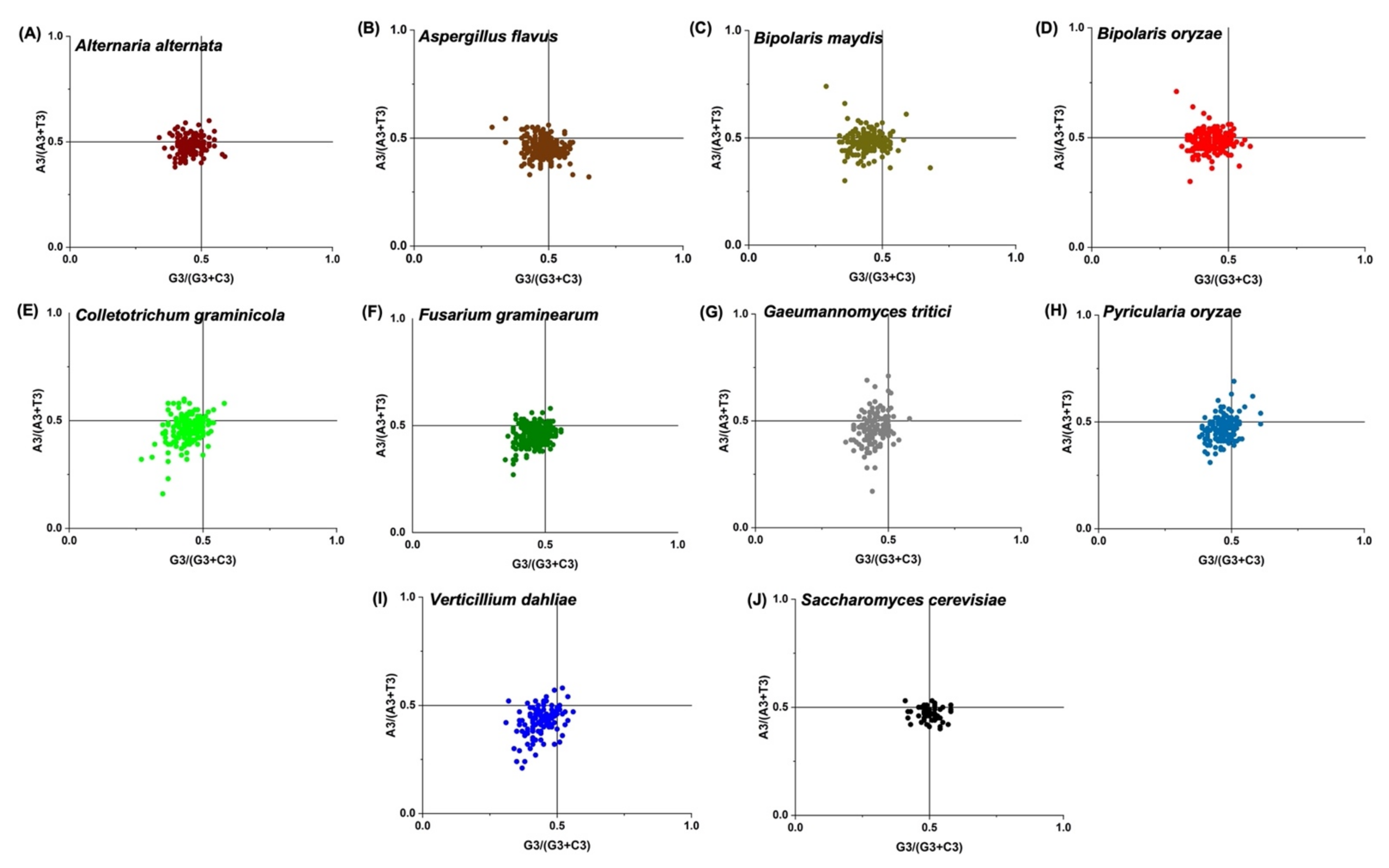
3.1. Nucleotide Composition Analysis
3.2. Relationship between Fungal Species via Clustering Analysis with Zn(II)2Cys6 Coding Sequence Parameters
3.3. Relative Synonymous Codon Usage Analysis
3.4. ENC and ENC Plot
3.5. Intrinsic Codon Deviation Index (ICDI)
3.6. Codon Adaptation Index (CAI)
3.7. Codon Bias Index (CBI), FoP, SCUO, and COUSIN
3.8. GRAVY and AROMA
3.9. PR2 Plot Analysis
3.10. Neutrality Plots Analysis
3.11. Translational Selection Index (P2)
3.12. Principal Component Analysis
3.13. Correlation Analysis of CUB Indices
4. Discussion
5. Conclusions
Supplementary Materials
Author Contributions
Funding
Institutional Review Board Statement
Informed Consent Statement
Data Availability Statement
Acknowledgments
Conflicts of Interest
References
- Schillig, R.; Morschhäuser, J. Analysis of a fungus-specific transcription factor family, the Candida albicans zinc cluster proteins, by artificial activation. Mol. Microbiol. 2013, 89, 1003–1017. [Google Scholar] [CrossRef] [PubMed]
- Atkinson, T.J.; Halfon, M.S. Regulation of gene expression in the genomic context. Comput. Struct. Biotechnol. J. 2014, 9, e201401001. [Google Scholar] [CrossRef] [PubMed]
- Shelest, E. Transcription factors in fungi: TFome dynamics, three major families, and dual-specificity TFs. Front. Genet. 2017, 8, 53. [Google Scholar] [CrossRef] [PubMed]
- MacPherson, S.; Larochelle, M.; Turcotte, B. A fungal family of transcriptional regulators: The zinc cluster proteins. Microbiol. Mol. Biol. Rev. 2006, 70, 583–604. [Google Scholar] [CrossRef]
- Zhang, C.; Huang, H.; Deng, W.; Li, T. Genome-wide analysis of the Zn (II) 2Cys6 zinc cluster-encoding gene family in Tolypocladium guangdongense and its light-induced expression. Genes 2019, 10, 179. [Google Scholar] [CrossRef]
- Chang, P.K.; Ehrlich, K.C. Genome-wide analysis of the Zn (II) 2Cys6 zinc cluster-encoding gene family in Aspergillus flavus. Appl. Microbiol. Biotechnol. 2013, 97, 4289–4300. [Google Scholar] [CrossRef]
- Akache, B.; Wu, K.; Turcotte, B. Phenotypic analysis of genes encoding yeast zinc cluster proteins. Nucleic Acids Res. 2001, 29, 2181–2190. [Google Scholar] [CrossRef]
- Silver, P.M.; Oliver, B.G.; White, T.C. Role of Candida albicans transcription factor Upc2p in drug resistance and sterol metabolism. Eukaryot. Cell. 2004, 3, 1391–1397. [Google Scholar] [CrossRef]
- Schumacher, D.I.; Lütkenhaus, R.; Altegoer, F.; Teichert, I.; Kück, U.; Nowrousian, M. The transcription factor PRO44 and the histone chaperone ASF1 regulate distinct aspects of multicellular development in the filamentous fungus Sordaria macrospora. BMC Genet. 2018, 19, 112. [Google Scholar] [CrossRef]
- Hou, Z.; Chen, Q.; Zhao, M.; Huang, C.; Wu, X. Genome-wide characterization of the Zn (II) 2Cys6 zinc cluster-encoding gene family in Pleurotus ostreatus and expression analyses of this family during developmental stages and under heat stress. PeerJ. 2020, 8, e9336. [Google Scholar] [CrossRef]
- Galhano, R.; Illana, A.; Ryder, L.S.; Rodriguez-Romero, J.; Demuez, M.; Badaruddin, M.; Sesma, A. Tpc1 is an important Zn (II) 2Cys6 transcriptional regulator required for polarized growth and virulence in the rice blast fungus. PLoS Pathog. 2017, 13, e1006516. [Google Scholar] [CrossRef] [PubMed]
- Marui, J.; Yamane, N.; Ohashi-Kunihiro, S.; Ando, T.; Terabayashi, Y.; Sano, M.; Machida, M. Kojic acid biosynthesis in Aspergillus oryzae is regulated by a Zn (II) 2Cys6 transcriptional activator and induced by kojic acid at the transcriptional level. J. Biosci. Bioeng. 2011, 112, 40–43. [Google Scholar] [CrossRef] [PubMed]
- Ammar, H.A.; Srour, A.Y.; Ezzat, S.M.; Hoseny, A.M. Identification and characterization of genes involved in kojic acid biosynthesis in Aspergillus flavus. Ann. Microbiol. 2017, 67, 691–702. [Google Scholar] [CrossRef]
- Seo, J.A.; Guan, Y.; Yu, J.H. FluG-dependent asexual development in Aspergillus nidulans occurs via derepression. Genetics 2006, 172, 1535–1544. [Google Scholar] [CrossRef] [PubMed]
- Son, Y.E.; Cho, H.J.; Lee, M.K.; Park, H.S. Characterizing the role of Zn cluster family transcription factor ZcfA in governing development in two Aspergillus species. PLoS ONE 2020, 15, e0228643. [Google Scholar] [CrossRef]
- Banerjee, M.; Thompson, D.S.; Lazzell, A.; Carlisle, P.L.; Pierce, C.; Monteagudo, C.; Kadosh, D. UME6, a novel filament-specific regulator of Candida albicans hyphal extension and virulence. Mol. Biol. Cell. 2008, 19, 1354–1365. [Google Scholar] [CrossRef] [PubMed]
- Tsuji, G.; Kenmochi, Y.; Takano, Y.; Sweigard, J.; Farrall, L.; Furusawa, I.; Kubo, Y. Novel fungal transcriptional activators, Cmr1p of Colletotrichum lagenarium and Pig1p of Magnaporthe grisea, contain Cys2His2 zinc finger and Zn (II) 2Cys6 binuclear cluster DNA-binding motifs and regulate transcription of melanin biosynthesis genes in a developmentally specific manner. Mol. Microbiol. 2000, 38, 940–954. [Google Scholar]
- He, Z.; Dong, Z.; Qin, L.; Gan, H. Phylodynamics and codon usage pattern analysis of broad bean wilt virus 2. Viruses 2021, 13, 198. [Google Scholar] [CrossRef]
- Hershberg, R.; Petrov, D.A. Selection on Codon Bias. Annu. Rev. Genet. 2008, 42, 287–299. [Google Scholar] [CrossRef]
- Labella, A.L.; Opulente, D.A.; Steenwyk, J.L.; Hittinger, C.T.; Rokas, A. Variation and selection on codon usage bias across an entire subphylum. PLoS Genet. 2019, 15, e1008304. [Google Scholar] [CrossRef]
- Wint, R.; Salamov, A.; Grigoriev, I.V. Kingdom-Wide Analysis of Fungal Protein-Coding and tRNA Genes Reveals Conserved Patterns of Adaptive Evolution. Mol. Biol. Evol. 2022, 39, msab372. [Google Scholar] [CrossRef] [PubMed]
- Zhao, F.; Zhou, Z.; Dang, Y.; Na, H.; Adam, C.; Lipzen, A.; Liu, Y. Genome-wide role of codon usage on transcription and identification of potential regulators. Proc. Natl. Acad. Sci. USA 2021, 118, e2022590118. [Google Scholar] [CrossRef] [PubMed]
- Presnyak, V.; Alhusaini, N.; Chen, Y.H.; Martin, S.; Morris, N.; Kline, N.; Coller, J. Codon optimality is a major determinant of mRNA stability. Cell. 2015, 160, 1111–1124. [Google Scholar] [CrossRef] [PubMed]
- Stoletzki, N.; Eyre-Walker, A. Synonymous codon usage in Escherichia coli: Selection for translational accuracy. Mol. Biol. Evol. 2007, 24, 374–381. [Google Scholar] [CrossRef] [PubMed]
- Chevance, F.F.; Le Guyon, S.; Hughes, K.T. The effects of codon context on in vivo translation speed. PLoS Genet. 2014, 10, e1004392. [Google Scholar] [CrossRef]
- Buhr, F.; Jha, S.; Thommen, M.; Mittelstaet, J.; Kutz, F.; Schwalbe, H.; Komar, A.A. Synonymous codons direct cotranslational folding toward different protein conformations. Mol. Cell. 2016, 61, 341–351. [Google Scholar] [CrossRef]
- Zhou, Z.; Dang, Y.; Zhou, M.; Yuan, H.; Liu, Y. Codon usage biases co-evolve with transcription termination machinery to suppress premature cleavage and polyadenylation. Elife 2018, 7, e33569. [Google Scholar] [CrossRef]
- Deb, B.; Uddin, A.; Chakraborty, S. Genome-wide analysis of codon usage pattern in herpesviruses and its relation to evolution. Virus Res. 2021, 292, 198248. [Google Scholar] [CrossRef]
- Ohama, T.; Muto, A.; Osawa, S. Role of GC-biased mutation pressure on synonymous codon choice in Micrococcus luteus a bacterium with a high genomic GC-content. Nucleic Acids Res. 1990, 18, 1565–1569. [Google Scholar] [CrossRef]
- Andersson, S.G.; Zomorodipour, A.; Andersson, J.O.; Sicheritz-Pontén, T.; Alsmark, U.C.; Podowski, R.M.; Näslund, A.K.; Eriksson, A.S.; Winkler, H.H.; Kurland, C.G. The genome sequence of Rickettsia prowazekii and the origin of mitochondria. Nature 1998, 396, 133–140. [Google Scholar] [CrossRef]
- McInerney, J.O. Replicational and transcriptional selection on codon usage in Borrelia burgdorferi. Proc. Natl. Acad. Sci. USA 1998, 95, 10698–10703. [Google Scholar] [CrossRef] [PubMed]
- Ikemura, T. Correlation between the abundance of Escherichia coli transfer RNAs and the occurrence of the respective codons in its protein genes. J. Mol. Biol. 1981, 146, 389–409. [Google Scholar] [CrossRef]
- De Miranda, A.B.; Alvarez-Valin, F.; Jabbari, K.; Degrave, W.M.; Bernardi, G. Gene expression, amino acid conservation, and hydrophobicity are the main factors shaping codon preferences in Mycobacterium tuberculosis and Mycobacterium leprae. J. Mol. Evol. 2000, 50, 45–55. [Google Scholar] [CrossRef] [PubMed]
- Powell, J.R.; Moriyama, E.N. Evolution of codon usage bias in Drosophila. Proc. Natl. Acad. Sci. USA 1997, 94, 7784–7790. [Google Scholar] [CrossRef]
- Duret, L.; Marais, G.; Biémont, C. Transposons but not retrotransposons are located preferentially in regions of high recombination rate in Caenorhabditis elegans. Genetics 2000, 156, 1661–1669. [Google Scholar] [CrossRef]
- Chen, Y. A comparison of synonymous codon usage bias patterns in DNA and RNA virus genomes: Quantifying the relative importance of mutational pressure and natural selection. BioMed. Res. Int. 2013, 2013, 406342. [Google Scholar] [CrossRef]
- Frenkel Morgenstern, M.; Danon, T.; Christian, T.; Igarashi, T.; Cohen, L.; Hou, Y.M.; Jensen, L.J. Genes adopt non-optimal codon usage to generate cell cycle-dependent oscillations in protein levels. Mol. Syst. Biol. 2012, 8, 572. [Google Scholar] [CrossRef]
- Barbhuiya, P.A.; Uddin, A.; Chakraborty, S. Compositional properties and codon usage of TP73 gene family. Gene 2019, 683, 159–168. [Google Scholar] [CrossRef] [PubMed]
- Xu, Y.; Ma, P.; Shah, P.; Rokas, A.; Liu, Y.; Johnson, C.H. Non-optimal codon usage is a mechanism to achieve circadian clock conditionality. Nature 2013, 495, 116–120. [Google Scholar] [CrossRef]
- Arella, D.; Dilucca, M.; Giansanti, A. Codon usage bias and environmental adaptation in microbial organisms. Mol. Genet. Genom. 2021, 296, 751–762. [Google Scholar] [CrossRef]
- Adams, M.J.; Antoniw, J.F. Codon usage bias amongst plant viruses. Arch Virol. 2003, 149, 113–135. [Google Scholar] [PubMed]
- Badet, T.; Peyraud, R.; Mbengue, M.; Navaud, O.; Derbyshire, M.; Oliver, R.P.; Barbacci, A.; Raffaele, S. Codon optimization underpins generalist parasitism in fungi. Elife 2017, 6, e22472. [Google Scholar] [CrossRef] [PubMed]
- Duret, L.; Mouchiroud, D. Expression pattern and, surprisingly, gene length shape codon usage in Caenorhabditis, Drosophila, and Arabidopsis. Proc. Natl. Acad. Sci. USA 1999, 96, 4482–4487. [Google Scholar] [CrossRef]
- Roymondal, U.; Das, S.; Sahoo, S. Predicting gene expression level from relative codon usage bias: An application to Escherichia coli genome. DNA Res. 2009, 16, 13–30. [Google Scholar] [CrossRef] [PubMed]
- Yang, X.; Luo, X.; Cai, X. Analysis of codon usage pattern in Taenia saginata based on a transcriptome dataset. Parasites Vectors 2014, 7, 527. [Google Scholar] [CrossRef]
- Roy, A.; van Staden, J. Comprehensive profiling of codon usage signatures and codon context variations in the genus Ustilago. World J. Microbiol. Biotechnol. 2019, 35, 118. [Google Scholar] [CrossRef]
- Dean, R.; Van Kan, J.A.; Pretorius, Z.A.; HammonduKosack, K.E.; Di Pietro, A.; Spanu, P.D.; Rudd, J.J.; Dickman, M.; Kahmann, R.; Ellis, J.; et al. The Top 10 fungal pathogens in molecular plant pathology. Mol. Plant Pathol. 2012, 13, 414–430. [Google Scholar] [CrossRef]
- Li, J.; Gu, F.; Wu, R.; Yang, J.K.; Zhang, K.Q. Phylogenomic evolutionary surveys of subtilase superfamily genes in fungi. Sci. Rep. 2017, 7, 45456. [Google Scholar] [CrossRef]
- Nalley, L.; Tsiboe, F.; Durand-Morat, A.; Shew, A.; Thoma, G. Economic and environmental impact of rice blast pathogen (Magnaporthe oryzae) alleviation in the United States. PLoS ONE 2016, 11, e0167295. [Google Scholar] [CrossRef]
- De Lucca, A.J. Harmful fungi in both agriculture and medicine. Rev. Iberoam Micol. 2007, 24, 3–13. [Google Scholar] [CrossRef]
- Vesonder, R.; Haliburton, J.; Stubblefield, R.; Gilmore, W.; Peterson, S. Aspergillus flavus and aflatoxins B1, B2, and M1 in corn associated with equine death. Arch. Environ. Contam. Toxicol. 1991, 20, 151–153. [Google Scholar] [CrossRef] [PubMed]
- Pitt, J.I. Toxigenic fungi: Which are important? Sabouraudia. 2000, 38 (Suppl. 1), 17–22. [Google Scholar] [CrossRef]
- Navale, V.; Vamkudoth, K.R.; Ajmera, S.; Dhuri, V. Aspergillus derived mycotoxins in food and the environment: Prevalence, detection, and toxicity. Toxicol. Rep. 2021, 8, 1008–1030. [Google Scholar] [CrossRef] [PubMed]
- Song, H.; Liu, J.; Song, Q.; Zhang, Q.; Tian, P.; Nan, Z. Comprehensive analysis of codon usage bias in seven Epichloë species and their peramine-coding genes. Front. Microbiol. 2017, 8, 1419. [Google Scholar] [CrossRef]
- Wright, F. The effective number of codons' used in a gene. Gene 1990, 87, 23–29. [Google Scholar] [CrossRef]
- Sharp, P.M.; Li, W.H. An evolutionary perspective on synonymous codon usage in unicellular organisms. J. Mol. Evol. 1986, 24, 28–38. [Google Scholar] [CrossRef]
- Shields, D.C.; Sharp, P.M.; Higgins, D.G.; Wright, F. Silent" sites in Drosophila genes are not neutral: Evidence of selection among synonymous codons. Mol. Biol. Evol. 1988, 5, 704–716. [Google Scholar]
- Freire-Picos, M.A.; Gonzalez-Siso, M.I.; Rodríguez-Belmonte, E.; Rodríguez-Torres, A.M.; Ramil, E.; Cerdan, M.E. Codon usage in Kluyveromyces lactis and in yeast cytochrome c-encoding genes. Gene 1994, 139, 43–49. [Google Scholar] [CrossRef]
- Gatherer, D.; McEwan, N.R. Small regions of preferential codon usage and their effect on overall codon bias-The case of the plp gene. IUBMB Life 1997, 43, 107–114. [Google Scholar] [CrossRef]
- Gustafsson, C.; Minshull, J.; Govindarajan, S.; Ness, J.; Villalobos, A.; Welch, M. Engineering genes for predictable protein expression. Protein Expr. Purifi. 2012, 83, 37–46. [Google Scholar] [CrossRef]
- Choudhury, M.N.; Uddin, A.; Chakraborty, S. Codon usage bias and its influencing factors for Y-linked genes in human. Comput. Biol. Chem. 2017, 69, 77–86. [Google Scholar] [CrossRef] [PubMed]
- Bahiri-Elitzur, S.; Tuller, T. Codon-based indices for modeling gene expression and transcript evolution. Comput. Struct. Biotechnol. J. 2021, 19, 2646–2663. [Google Scholar] [CrossRef] [PubMed]
- Bourret, J.; Alizon, S.; Bravo, I.G. COUSIN (COdon Usage Similarity INdex): A normalized measure of codon usage preferences. Genome Biol. Evol. 2008, 11, 3523–3528. [Google Scholar] [CrossRef] [PubMed]
- Kyte, J.; Doolittle, R.F. A simple method for displaying the hydropathic character of a protein. J. Mol. Biol. 1982, 157, 105–132. [Google Scholar] [CrossRef]
- Lobry, J.R.; Gautier, C. Hydrophobicity, expressivity and aromaticity are the major trends of amino-acid usage in 999 Escherichia coli chromosome-encoded genes. Nucleic Acids Res. 1999, 22, 3174–3180. [Google Scholar] [CrossRef]
- Sueoka, N. Near homogeneity of PR2-bias fingerprints in the human genome and their implications in phylogenetic analyses. J. Mol. Evol. 2001, 53, 469–476. [Google Scholar] [CrossRef]
- Sueoka, N. Intrastrand parity rules of DNA base composition and usage biases of synonymous codons. J. Mol. Evol. 1995, 40, 318–325. [Google Scholar] [CrossRef]
- Zhang, W.J.; Zhou, J.; Li, Z.F.; Wang, L.; Gu, X.; Zhong, Y. Comparative analysis of codon usage patterns among mitochondrion, chloroplast and nuclear genes in Triticum aestivum L. J. Integr. Plant Biol. 2007, 49, 246–254. [Google Scholar] [CrossRef]
- Wu, Y.; Zhao, D.; Tao, J. Analysis of codon usage patterns in herbaceous peony (Paeonia lactiflora Pall.) based on transcriptome data. Genes 2015, 6, 1125–1139. [Google Scholar] [CrossRef]
- Gouy, M.; Gautier, C. Codon usage in bacteria: Correlation with gene expressivity. Nucleic Acids Res. 1982, 10, 7055–7074. [Google Scholar] [CrossRef]
- Butt, A.M.; Nasrullah, I.; Qamar, R.; Tong, Y. Evolution of codon usage in Zika virus genomes is host and vector specific. Emerg. Microbes Infect. 2016, 5, e107. [Google Scholar] [CrossRef]
- Wang, L.; Xing, H.; Yuan, Y.; Wang, X.; Saeed, M.; Tao, J.; Sun, X. Genome-wide analysis of codon usage bias in four sequenced cotton species. PLoS ONE 2018, 13, e0194372. [Google Scholar] [CrossRef] [PubMed]
- Liu, Q. Mutational bias and translational selection shaping the codon usage pattern of tissue-specific genes in rice. PLoS ONE 2012, 7, e48295. [Google Scholar] [CrossRef] [PubMed]
- Li, X.; Song, H.; Kuang, Y.; Chen, S.; Tian, P.; Li, C.; Nan, Z. Genome-wide analysis of codon usage bias in Epichloe festucae. Int. J.Mol.Sci. 2017, 17, 1138. [Google Scholar] [CrossRef] [PubMed]
- Chandan, J.; Gupta, S.; Babu, V.; Singh, D.; Singh, R. Comprehensive analysis of codon usage pattern in Withania somnifera and its associated pathogens: Meloidogyne incognita and Alternaria alternata. Genetica 2022, 150, 129–144. [Google Scholar] [CrossRef] [PubMed]
- Kawabe, A.; Miyashita, N.T. Patterns of codon usage bias in three dicot and four monocot plant species. Genes Genet. Syst. 2003, 78, 343–352. [Google Scholar] [CrossRef] [PubMed]
- Carbone, A.; Zinovyev, A.; Képes, F. Codon adaptation index as a measure of dominating codon bias. Bioinform. 2003, 19, 2005–2015. [Google Scholar] [CrossRef]
- Puigbò, P.; Bravo, I.G.; Garcia-Vallve, S. CAIcal: A combined set of tools to assess codon usage adaptation. Biol. Direct. 2008, 3, 38. [Google Scholar] [CrossRef]
- Gupta, S.; Singh, R. Comparative study of codon usage profiles of Zingiber officinale and its associated fungal pathogens. Mol. Genet. Genom. 2021, 296, 1121–1134. [Google Scholar] [CrossRef]
- Jenkins, G.M.; Holmes, E.C. The extent of codon usage bias in human RNA viruses and its evolutionary origin. Virus Res. 2003, 92, 1–7. [Google Scholar] [CrossRef]
- Parvathy, S.T.; Udayasuriyan, V.; Bhadana, V. Codon usage bias. Mol. Biol. Rep. 2022, 49, 539–565. [Google Scholar] [CrossRef] [PubMed]
- Plotkin, J.B.; Kudla, G. Synonymous but not the same: The causes and consequences of codon bias. Nature Rev. Genet. 2011, 12, 32–42. [Google Scholar] [CrossRef] [PubMed]
- Uddin, A.; Choudhury, M.N.; Chakraborty, S. Factors influencing codon usage of mitochondrial ND1 gene in pisces, aves and mammals. Mitochondrion. 2017, 37, 17–26. [Google Scholar] [CrossRef] [PubMed]
- Das, S.; Uddin, A.; Bhattacharyya, D.; Chakraborty, S. Transcript free energy positively correlates with codon usage bias in mitochondrial genes of Calypogeia species (Calypogeiaceae, Marchantiophyta). Mitochondrial DNA A DNA Mapp Seq Anal. 2019, 30, 201–213. [Google Scholar] [CrossRef]
- Jiang, W.; Lv, B.; Wu, X.; Wang, J.; Wu, G.; Shi, C.; Tang, X. Analysis of synonymous codon usage patterns in the edible fungus Volvariella volvacea. Biotechnol. Appl. Biochem. 2017, 64, 218–224. [Google Scholar] [CrossRef]
- Malakar, A.K.; Halder, B.; Paul, P.; Chakraborty, S. Cytochrome P450 genes in coronary artery diseases: Codon usage analysis reveals genomic GC adaptation. Gene 2016, 590, 35–43. [Google Scholar] [CrossRef]
- Liu, H.; Huang, Y.; Du, X.; Chen, Z.; Zeng, X.; Chen, Y.; Zhang, H. Patterns of synonymous codon usage bias in the model grass Brachypodium distachyon. Genet Mol. Res. 2012, 11, 4695–4706. [Google Scholar] [CrossRef]
- Athey, J.; Alexaki, A.; Osipova, E.; Rostovtsev, A.; Santana-Quintero, L.V.; Katneni, U.; Simonyan, V.; Kimchi-Sarfaty, C. A new and updated resource for codon usage tables. BMC Bioinform. 2017, 18, 391. [Google Scholar] [CrossRef]
- Suzuki, N.; Supyani, S.; Maruyama, K.; Hillman, B.I. Complete genome sequence of Mycoreovirus-1/Cp9B21, a member of a novel genus within the family Reoviridae, isolated from the chestnut blight fungus Cryphonectria parasitica. J. Gen. Virol. 2004, 85, 3437–3448. [Google Scholar] [CrossRef]
- Lucks, J.B.; Nelson, D.R.; Kudla, G.R.; Plotkin, J.B. Genome landscapes and bacteriophage codon usage. PLoS Comput. Biol. 2008, 4, e1000001. [Google Scholar] [CrossRef]
- Bahir, I.; Fromer, M.; Prat, Y.; Linial, M. Viral adaptation to host: A proteome-based analysis of codon usage and amino acid preferences. Mol. Syst. Biol. 2009, 5, 311. [Google Scholar] [CrossRef]
- Biswas, K.; Palchoudhury, S.; Chakraborty, P.; Bhattacharyya, U.K.; Ghosh, D.K.; Debnath, P.; Lee, R.F. Codon usage bias analysis of citrus tristeza virus: Higher codon adaptation to Citrus reticulate host. Viruses 2019, 11, 331. [Google Scholar] [CrossRef] [PubMed]
- Sudha, S.N.; Krishnaswamy, S.; Sekar, V. Comparison of codon usage in genes of plant viruses and their hosts. Curr. Sci. 1992, 63, 573–575. [Google Scholar]
- Nisa, S.; Gupta, S.; Ahmed, W.; Singh, R. Deciphering the role of codon usage bias on gene expression and pathogen colonization in Crocus sativus. Res. Sq. pre-print. 2022. [Google Scholar] [CrossRef]
- Peyraud, R.; Cottret, L.; Marmiesse, L.; Gouzy, J.; Genin, S. A resource allocation trade-off between virulence and proliferation drives metabolic versatility in the plant pathogen Ralstonia solanacearum. PLoS Pathog. 2016, 12, e1005939. [Google Scholar] [CrossRef] [PubMed]
- Gibson, D.G.; Glass, J.I.; Lartigue, C.; Noskov, V.N.; Chuang, R.Y.; Algire, M.A.; Benders, G.A.; Montague, M.G.; Ma, L.; Moodie, M.M.; et al. Creation of a bacterial cell controlled by a chemically synthesized genome. Science 2010, 329, 52–56. [Google Scholar] [CrossRef] [PubMed]
- Paddon, C.J.; Keasling, J.D. Semi-synthetic artemisinin: A model for the use of synthetic biology in pharmaceutical development. Nat. Rev. Microbiol. 2014, 12, 355–367. [Google Scholar] [CrossRef]
- El Karoui, M.; Hoyos-Flight, M.; Fletcher, L. Future trends in synthetic biology—A report. Front. Bioeng. Biotechnol. 2019, 7, 175. [Google Scholar] [CrossRef]
- Singh, S.; Tiwari, B.S. Biosynthesis of high-value amino acids by synthetic biology. Curr. Dev. Biotechnol. Bioeng. 2019, 257–294. [Google Scholar] [CrossRef]
- Lipinszki, Z.; Vernyik, V.; Farago, N.; Sari, T.; Puskas, L.G.; Blattner, F.R.; Posfai, G.; Gyorfy, Z. Enhancing the translational capacity of E. coli by resolving the codon bias. ACS Synth. Biol. 2018, 7, 2656–2664. [Google Scholar] [CrossRef]







| Species | No. of CDS | No. of Codons |
|---|---|---|
| Alternaria alternata | 133 | 92,890 |
| Aspergillus flavus | 348 | 221,472 |
| Bipolaris maydis | 192 | 129,680 |
| Bipolaris oryzae | 177 | 123,449 |
| Colletotrichum graminicola | 193 | 131,246 |
| Fusarium graminearum | 273 | 185,149 |
| Gaeumannomyces tritici | 152 | 111,329 |
| Pyricularia oryzae | 158 | 119,317 |
| Saccharomyces cerevisiae | 55 | 44,881 |
| Verticillium dahliae | 135 | 88,093 |
| Fungi | %A | %T | %C | %G | %A3 | %T3 | %C3 | %G3 | %GC3 | %GC |
|---|---|---|---|---|---|---|---|---|---|---|
| Alternaria alternata | 25.39 | 21.99 | 28.10 | 24.52 | 21.58 | 23.23 | 29.93 | 25.26 | 55.19 | 52.52 |
| Aspergillus flavus | 24.60 | 23.80 | 26.91 | 24.69 | 21.16 | 25.44 | 27.50 | 25.90 | 53.40 | 51.66 |
| Bipolaris maydis | 25.35 | 22.33 | 28.43 | 23.89 | 21.80 | 23.41 | 30.55 | 24.24 | 54.78 | 52.21 |
| Bipolaris oryzae | 25.30 | 22.05 | 28.67 | 23.98 | 21.51 | 22.87 | 31.33 | 24.29 | 55.62 | 52.60 |
| Colletotrichum graminicola | 21.91 | 19.52 | 31.44 | 27.13 | 14.08 | 16.25 | 38.84 | 30.83 | 69.67 | 58.40 |
| Fusarium graminearum | 25.75 | 23.99 | 26.52 | 23.74 | 22.55 | 26.58 | 27.48 | 23.39 | 50.87 | 50.18 |
| Gaeumannomyces tritici | 19.66 | 17.10 | 33.85 | 29.39 | 10.60 | 12.23 | 42.80 | 34.37 | 77.17 | 63.49 |
| Pyricularia oryzae | 22.56 | 19.40 | 30.35 | 27.69 | 15.61 | 17.71 | 35.51 | 31.17 | 66.68 | 58.22 |
| Saccharomyces cerevisiae | 33.17 | 28.39 | 19.37 | 19.07 | 29.02 | 32.94 | 18.97 | 19.07 | 38.05 | 38.62 |
| Verticillium dahliae | 20.98 | 18.94 | 32.58 | 27.5 | 12.32 | 16.25 | 40.12 | 31.31 | 71.43 | 60.15 |
| Species | A/T | G/C | ||||||
|---|---|---|---|---|---|---|---|---|
| <0.6 | 0.6–1.0 | 1–1.60 | >1.60 | <0.6 | 0.6–1.0 | 1–1.60 | >1.60 | |
| Alternaria alternata | 2 | 19 | 9 | - | - | 10 | 18 | 1 |
| Aspergillus flavus | 0 | 18 | 12 | - | - | 10 | 19 | 0 |
| Bipolaris maydis | 1 | 20 | 9 | - | 1 | 8 | 20 | 1 |
| Bipolaris oryzae | 1 | 21 | 8 | - | 1 | 6 | 21 | 1 |
| Colletotrichum graminicola | 8 | 22 | - | - | - | 4 | 19 | 6 |
| Fusarium graminearum | 1 | 14 | 14 | - | - | 14 | 16 | - |
| Gaeumannomyces tritici | 23 | 7 | - | - | 1 | 1 | 17 | 10 |
| Pyricularia oryzae | 7 | 22 | - | - | - | 3 | 22 | 5 |
| Saccharomyces cerevisiae | 1 | 4 | 19 | 6 | 4 | 23 | 2 | - |
| Verticillium dahliae | 14 | 16 | - | - | - | 4 | 18 | 7 |
| Species | Minimum | Maximum | Mean |
|---|---|---|---|
| Alternaria alternata | 0.39 | 0.65 | 0.55 |
| Aspergillus flavus | 0.30 | 0.70 | 0.50 |
| Bipolaris maydis | 0.31 | 0.68 | 0.50 |
| Bipolaris oryzae | 0.35 | 0.67 | 0.50 |
| Colletotrichum graminicola | 0.27 | 0.63 | 0.48 |
| Fusarium graminearum | 0.36 | 0.64 | 0.53 |
| Gaeumannomyces tritici | 0.24 | 0.60 | 0.41 |
| Pyricularia oryzae | 0.27 | 0.60 | 0.46 |
| Saccharomyces cerevisiae | 0.33 | 0.54 | 0.44 |
| Verticillium dahliae | 0.25 | 0.57 | 0.44 |
Publisher’s Note: MDPI stays neutral with regard to jurisdictional claims in published maps and institutional affiliations. |
© 2022 by the authors. Licensee MDPI, Basel, Switzerland. This article is an open access article distributed under the terms and conditions of the Creative Commons Attribution (CC BY) license (https://creativecommons.org/licenses/by/4.0/).
Share and Cite
Bansal, S.; Mallikarjuna, M.G.; Balamurugan, A.; Nayaka, S.C.; Prakash, G. Composition and Codon Usage Pattern Results in Divergence of the Zinc Binuclear Cluster (Zn(II)2Cys6) Sequences among Ascomycetes Plant Pathogenic Fungi. J. Fungi 2022, 8, 1134. https://doi.org/10.3390/jof8111134
Bansal S, Mallikarjuna MG, Balamurugan A, Nayaka SC, Prakash G. Composition and Codon Usage Pattern Results in Divergence of the Zinc Binuclear Cluster (Zn(II)2Cys6) Sequences among Ascomycetes Plant Pathogenic Fungi. Journal of Fungi. 2022; 8(11):1134. https://doi.org/10.3390/jof8111134
Chicago/Turabian StyleBansal, Shilpi, Mallana Gowdra Mallikarjuna, Alexander Balamurugan, S. Chandra Nayaka, and Ganesan Prakash. 2022. "Composition and Codon Usage Pattern Results in Divergence of the Zinc Binuclear Cluster (Zn(II)2Cys6) Sequences among Ascomycetes Plant Pathogenic Fungi" Journal of Fungi 8, no. 11: 1134. https://doi.org/10.3390/jof8111134
APA StyleBansal, S., Mallikarjuna, M. G., Balamurugan, A., Nayaka, S. C., & Prakash, G. (2022). Composition and Codon Usage Pattern Results in Divergence of the Zinc Binuclear Cluster (Zn(II)2Cys6) Sequences among Ascomycetes Plant Pathogenic Fungi. Journal of Fungi, 8(11), 1134. https://doi.org/10.3390/jof8111134

