Next Article in Journal
Volatiles Produced by Yeasts Related to Prunus avium and P. cerasus Fruits and Their Potentials to Modulate the Behaviour of the Pest Rhagoletis cerasi Fruit Flies
Next Article in Special Issue
PCR-DGGE Analysis Proves the Suppression of Rhizoctonia and Sclerotium Root Rot Due to Successive Inoculations
Previous Article in Journal
COVID-19 Associated Pulmonary Aspergillosis: Diagnostic Performance, Fungal Epidemiology and Antifungal Susceptibility
Previous Article in Special Issue
The Effect of Monochromatic LED Light Wavelengths and Photoperiods on Botrytis cinerea
 
 
Font Type:
Arial Georgia Verdana
Font Size:
Aa Aa Aa
Line Spacing:
Column Width:
Background:
Article

Native Rhizospheric and Endophytic Fungi as Sustainable Sources of Plant Growth Promoting Traits to Improve Wheat Growth under Low Nitrogen Input

by
Akram H. Mohamed
1,
Fayrouz H. Abd El-Megeed
1,
Naziha M. Hassanein
2,
Sameh H. Youseif
1,
Peter F. Farag
2,
Saleh A. Saleh
3,
Basel A. Abdel-Wahab
4,5,
Amnah Mohammed Alsuhaibani
6,
Yosra A. Helmy
7 and
Ahmed M. Abdel-Azeem
8,*
1
Department of Microbial Genetic Resources, National Gene Bank, Agricultural Research Center (ARC), Giza 12619, Egypt
2
Microbiology Department, Faculty of Science, Ain Shams University, Abbasia 11566, Egypt
3
Agricultural Microbiology Research Department, Soils, Water and Environment Research Institute, Agricultural Research Center (ARC), Giza 12619, Egypt
4
Department of Medical Pharmacology, College of Medicine, Assiut University, Assiut 7111, Egypt
5
Department of Pharmacology, College of Pharmacy, Najran University, P.O. Box 1988, Najran 55461, Saudi Arabia
6
Department of Physical Sport Science, College of Education, Princess Nourah bint Abdulrahman University, P.O. Box 84428, Riyadh 11671, Saudi Arabia
7
Department of Animal Hygiene, Zoonoses and Animal Ethology, Faculty of Veterinary Medicine, Suez Canal University, Ismailia 41522, Egypt
8
Botany and Microbiology Department, Faculty of Science, Suez Canal University, Ismailia 41522, Egypt
*
Author to whom correspondence should be addressed.
J. Fungi 2022, 8(2), 94; https://doi.org/10.3390/jof8020094
Submission received: 31 December 2021 / Accepted: 15 January 2022 / Published: 19 January 2022

Abstract

Wheat crops require effective nitrogen fertilization to produce high yields. Only half of chemical N2 fertilizers are absorbed into plants while the rest remains in the soil, causing environmental problems. Fungi could maximize nitrogen absorption, and from an environmental and biodiversity point of view, there is an urgent necessity for bioprospecting native fungi associated with wild plants growing in harsh environments, e.g., St. Katherine Protectorate (SKP) in the arid Sinai. Recovered taxa, either endophytic and/or rhizospheric, were screened for their plant growth-promoting (PGP) traits. Eighteen fungal isolates (15 rhizospheric and 3 endophytic) belonging to anamorphic ascomycetes were recovered from 9 different wild plants, and their PGP traits (indole-3-acetic acid [IAA] production, phosphate solubilization, siderophore production, and hydrolytic enzyme production) were measured. Rhizospheric isolate NGB-WS14 (Chaetosphaeronema achilleae) produced high levels of IAA (119.1 μg mL−1) in the presence of tryptophan, while NGB-WS 8 (Acrophialophora levis) produced high IAA levels (42.4 μg mL−1) in the absence of tryptophan. The highest phosphate-solubilizing activity (181.9 μg mL−1) was recorded by NGB-WFS2 (Penicillium chrysogenum). Endophytic isolate NGB-WFE16 (Fusarium petersiae) exhibited a high percentage level of Siderophore Unit (96.5% SU). All isolates showed variability in the secretion of extracellular hydrolytic enzymes. Remarkably, all isolates had antagonistic activity (55.6% to 87.3% suppression of pathogen growth) against the pathogenic taxon Alternaria alternata (SCUF00001378) in the dual-assay results. Out of the 18 isolates, 4 rhizospheric and 1 endophytic isolate showed significant increases in shoot dry weight and shoot nitrogen and chlorophyll content of wheat plants subjected to low inputs of chemical nitrogen (N) fertilizers (50% reduction) compared with the non-inoculated control in a pot experiment. Potent taxa were subjected to sequencing for molecular confirmation of phenotypic identification. The retrieved ITS sequences in this study have been deposited in GenBank under accession numbers from LC642736 to LC642740. This study considered the first report of endophytic fungi of Cheilanthes vellea, a wild plant with PGPF which improves wheat growth. These results recommend using PGPF as inoculants to alleviate low nitrogen fertilization.

1. Introduction

Wild medicinal plants are a reservoir of many bioactive compounds that are safe for humans and the environment compared with chemical and synthetic compounds used to treat many diseases [1]. Many reports suggest that wild plants growing in harsh conditions may harbor plant growth-promoting (PGP) rhizobacteria. However, very little is known about the microbiota that colonizes the roots of desert plants [2]. Microorganisms that surround and inhabit wild medicinal plants play an important role in production-specific secondary metabolites [3]. Rhizospheric fungi build up a complex interaction between plants and soil by utilizing nutrients released by a host plant. Fungi play a vital role in the development of sustainable agriculture [4]. Endophytic fungi are considered symbiotic organisms because they colonize healthy tissues of varied plant species asymptomatically [5,6,7,8]. As reported by [9], endophytic fungi could be categorized into two large groups, clavicipitaceous endophytes, which could infect some grasses, and nonclavicipitaceous endophytes.
Plant growth-promoting fungi (PGPFs) can enhance plant growth and crop yields through many traits such as levels of indole-3-acetic acid (IAA), siderophore production, and cellulase and chitinase secretion [10,11,12]. PGPFs that have beneficial effects on plants without causing diseases, such as Trichoderma, Aspergillus, and Penicillium, have been widely used as PGPFs in agriculture [10]. The Sinai Peninsula is an epicenter of wild medicinal plants in the Arabian Desert. Medicinal plants are characterized by biological activity that is beneficial for humans and/or animals. Wild medicinal plants in Sinai attract the attention of many ecologists, taxonomists, and phytochemists owing to their importance as large reservoirs for a diverse microbial community that has a crucial role in alleviating drought stress through increasing biomass production and enhancing plant growth [11,12,13,14]. The PGP activity of wild plants associated with fungi has been previously described in several studies. For instance, [13] isolated the endophytes Penicillium chrysogenum and Penicillium crustosum from Teucrium polium L. in the Saint Katherine Protectorate (SKP) in Egypt and found that they had PGP activity on maize plants.
The wheat crop (Triticum aestivum L.) is the most important cereal crop in the world for human food, animal feed, and biofuel security [14,15]. In 2018, wheat production worldwide was estimated at 733.40 million tons. In Egypt, the wheat crop is grown on about 20% of the total cultivated agricultural land, or 1.28 M ha, with a production of 9.00 Mt [16]. One has to consider the expected increase in the need for wheat crop production. It is estimated that by 2050, consumers will require 60% more than today [17]. Wheat crop improvement requires large amounts of nitrogen fertilization for ideal protein content. Cereal plants absorb only about 50% of applied nitrogen. However, applying excessive N fertilizers decreases the percentage of N absorbed by plants, so there is a crucial need for optimizing N uptake by plants [18,19,20]. It is traditionally known that Arbuscular Mycorrhizal Fungi (AMF) play an important role in nitrogen uptake by plants through symbiosis with plant roots [21]. Exploring new fungal species with multi-PGP traits other than AMF from wild plants is necessary.
The main objective of this study concentrates on the isolation, molecular identification, and characterization of potent fungal rhizospheric and endophytic taxa related to some wild and medicinal plants that occur in arid conditions of Saint Katherine Protectorate, Egypt. Our study focuses on investigating fungal endophytes of Cheilanthes vellea, Conyza stricta, and Silene schimperiana and exploring their role in plant growth-promoting activity. This study represents the first report about endophytic fungi of rare fern Cheilanthes vellea and their role in wheat plant growth promotion. More specifically, verification for plant growth-promoting traits of these isolates such as extracellular enzymatic production, antagonistic activity against pathogenic Alternaria, IAA, siderophore production, and P solubilization were evaluated to test their influence on the biomass production of wheat plants as an important economical crop under low nitrogen input.

2. Materials and Methods

2.1. Sample Collection

The SKP is situated in the southern part of Sinai and is a part of the upper Sinai massif (33°550 to 34°300 E and 28°300 to 28°350 N) located at an elevation of 1500 to 2624 m above sea level. Nine wild plants and the rhizospheric soil were collected in sterile plastic bags and then transferred in an ice box to the lab for further work. Samples were collected with the permission of the SKP for scientific purposes, and no endangered species were involved in the study (Table 1). Taxonomic identification of the plants under investigation was conducted by [22] and confirmed in the Cairo University Herbarium (CAI), Botany and Microbiology Department, Faculty of Science, Cairo University by Professor Wafaa Amer.

2.2. Isolation of Rhizospheric and Endophytic Fungi

For the isolation of rhizospheric fungi, the dilution plate technique according to [23] was consulted. Czapek’s yeast extract agar (CYA) and potato dextrose agar (PDA) were used as isolation media and supplemented with Rose Bengal (1/15,000) as a bacteriostatic agent and chloramphenicol (50 ppm) for the suppression of bacterial growth [24]. The plates were incubated at 25 ± 2 °C for 7 days, and thereafter the developing colonies were identified and counted.
Pieces of plant parts (roots, stems, and leaves) were surface sterilized and cut according to the method by [25] before being plated on appropriate isolation media (4 pieces 5 mm2/plate). To check the sterilization efficiency, the last washing water was spread onto PDA plates, and the growth, if any appeared, was compared with the incubated plates with surface-sterilized plant pieces. For primary isolation, the same media were used in the isolation of rhizospheric fungi.

2.3. Phenotypic Identification

Taxonomic identification of isolated fungi used the phenotypic approach down to the species level on standard media based on the following identification keys: for Penicillium [26]; for Aspergillus [27,28,29]; for dematiaceous hyphomycetes [30,31]; for Fusarium [32]; for miscellaneous fungi [33], and for Ascomycetes [34]. The names of authors of fungal taxa are abbreviated according to [35]. The systematic arrangement in the present list follows the latest system of classification appearing in the 10th edition of Ainsworth and Bisby’s Dictionary of the Fungi [36]. Name corrections, authorities, and taxonomic assignments of all taxa reported in this work were checked against the Index Fungorum database (www.indexfungorum.org (accessed on 22 September 2021)).

2.4. Screening of PGP Trails

2.4.1. Production of Indole-Acetic Acid

Malt extract broth (2%) supplemented with 0.1% (w/v) L-tryptophan (pH 5.5) was used for IAA production in submerged conditions [37]. The inoculated flasks were incubated on a rotary shaker at 30 °C and 150 rpm for 10 days. After the incubation period, the culture media were centrifuged (4000 rpm for 10 min), and 1 mL of supernatant was combined with 2 mL of Salkowski’s reagent and incubated for 30 min at room temperature. The production of IAA was determined by colorimetric measurement at 530 nm using a spectrophotometer (Thermo Scientific Evolution 100, Thermo Fisher Scientific, Waltham, MA, USA) as described by [38].

2.4.2. Phosphate Solubilization

The quantitative estimation of tri-calcium phosphate (TCP) solubilization by each fungal isolate was done in Pikovskaya’s liquid broth medium [39]. TCP was added to each flask (w/v) after incubation for 10 days at 180 rpm. The supernatant of the fungal filtrate was obtained by centrifugation (10,000× g for 10 min) according to the method of [40]. Phosphate solubilization was quantified by the phosphomolybdate blue color method using a standard graph of monopotassium phosphate (KH2PO4) and expressed in parts per million (ppm) at 600 nm using a spectrophotometer (Thermo Scientific™ Evolution 100). pH variations of the medium were also monitored.

2.4.3. Antagonistic Activity against Alternaria alternata In Vitro

Fungal isolates were subjected to screening for antagonistic activity against the wheat pathogenic isolate Alternaria alternata (SCUF00001378) via a dual-culture technique [41] based on the percentage of inhibition of radial growth (PIRG).
Antagonistic activity of the tested fungal isolates was assessed after 7 days of incubation by measuring the radius of the A. alternata colony using the following formula:
Percentage (%) of inhibition of radial growth (PIRG) = (R1 − R2/R1) × 100
where R1 is the radial growth of the fungal colony on the control plate and R2 is the radial growth of the fungal colony in the dual culture.

2.4.4. Production of Siderophore

Tested isolates were checked for their siderophore-producing ability by the universal chrome azurol S (CAS) assay [42]. The quantitative estimation of siderophore for fungal isolates was performed using 96-well plates. The optical density was 630 nm as measured by a microplate reader (Infinite 200 Pro, Life Sciences/Tecan, Mannedorf, Switzerland) according to [43]. Siderophore produced by strains was measured as the percentage of siderophore unit (% SU), which was calculated according to the following formula [44]:
Percentage of siderophore unit (% SU) ꞊ (Ar − AS)/Ar × 100
where Ar is the absorbance of reference (CAS solution and uninoculated broth) and AS is the absorbance of the sample (CAS solution and cell-free supernatant of sample).

2.4.5. Extracellular Enzymes

The ability of fungal isolates to produce hydrolytic enzymes was screened on basal medium [45] supplemented with (1% w/v) different sole carbon sources (carboxymethyl cellulose [CMC], oat pelt xylan, and pectin of citrus peel, as well as colloidal chitin) for the testing of the production of cellulase, xylanase, pectinase, and chitinase, respectively. After incubation for 10 days on a specific medium, the plates were flooded with Gram’s iodine for 5 min. Plates were then observed for halozones [46,47,48,49]. The clear zones around colonies indicated qualitative enzyme activity [43,44,45]. The enzyme index (EI) was calculated according to the following formula:
EI = Diameter of hydrolysis zone (cm)/Diameter of colony (cm)

2.5. Application of Fungal Isolates as PGP agents for Wheat Plants

2.5.1. Vigor of Wheat Plant Seedlings

The seedling vigor was measured according to [50]. Both a fungal culture and a spore suspension of the fungal isolates were tested to determine their effects on wheat seedling germination and scaled according to the vigor index [51]. Fifty surface-sterilized wheat grains (Misr1) were soaked in 10 mL of fungal spore suspension (1.0 × 108 spores/mL) for each isolate and kept at 25 ± 2 °C in a rotary shaker for 6 h to ensure uniform coating. To study the effect of the culture filtrate on the germination of wheat grains, 10 grains per Petri dish were maintained. Grains were soaked in each fungal filtrate for 12 h. Grains were placed into sterilized Petri dishes containing sterilized cotton layers [52]. Each treatment was done in three replicates, and the control experiment was treated and maintained with sterilized culture media without a fungal inoculum as the control with the same number of replicates. After 7 days of incubation at 25 °C in dark conditions, percentages of germination, as well as the plumule and radicle lengths of the seedlings, were determined. The vigor index was calculated using the following mathematical equation:
Vigor index = {Length of plumule (cm) + Length of radicle (cm)} × Percentage of germination

2.5.2. Pot Experiment

Measurements of grain germination and the vigor of seedlings were conducted. Out of 18 fungal isolates, 16 were tested to evaluate their potential for improving the growth of wheat plants under low nitrogen (N) inputs. Low-fertility sandy soil was collected from the Ismailia Agricultural Research Station, Agricultural Research Center (30°36′56.94″ N, 32°14′39.68″ E). Pots of 13 cm in diameter were filled with 2.5 kg of sandy soil. Ten grains of wheat variety Misr1 were cultivated per pot. All inoculated pots received 50% of the recommended N dose of ammonium sulfate (20.5% N) at a rate of 0.73 g/pot (144 kg N/ha), as recommended by the Ministry of Agriculture and Land Reclamation of Egypt (www.caaeeg.com (accessed on 15 November 2019)). Control treatments were 50% N as the recommended dose and the full recommended dose of 100% N without microbial inoculation. Each pot was inoculated with 5 mL of the spore suspension of the fungal isolates (106 spores/mL) at planting. All treatments received the recommended dose of super phosphate (12.5% P2O5) and potassium sulfate (48.5% K2SO4) at the rate of 0.5 g/pot (480 kg/ha) and 0.25 g/pot (240 kg/ha), respectively. Phosphate fertilizer was applied before planting, and the N and potassium (K) fertilizers were split into 3 doses (10, 20, and 30 days after planting). After 10 days, the plants were thinned to 6 plants/pot. All treatments were irrigated with tap water and arranged in a completely randomized block design with three replicates. The plants were uprooted after 50 days of cultivation. The plant height, fresh weight of shoots and roots, dry weight of shoots and roots, and shoot N content, in addition to the photosynthetic pigments of the inoculated plants and the uninoculated controls, were tabulated and subjected to data analysis for the determination of the isolate that improved wheat growth [53].

2.6. Molecular Confirmation and Phylogenetic Analysis of Most Potent PGPF Isolates

The fungal culture was centrifuged, and the pellet was ground using a plastic rod. Then, genomic DNA was extracted using the DNeasy Plant Mini Kit (Qiagen, Hilden, Germany). Polymerase chain reaction (PCR) amplification of the ITS rRNA region was done using ITS1 (5′-TCCGTAGGTGAACCTGCGG-3′) and ITS4 (5′-TCCTCCGCTTATTGATATGC-3′) primers, as described by [54]. PCR was performed using the standard reaction mixture (50 µL): 1× PCR buffer, 1.5 mM of MgCl2, 200 mM of each dNTP, 15 pmol of each primer, 1U of Taq polymerase enzyme, and 50 ng of the DNA template. PCR was performed as follows. Primary denaturation was done for 3 min at 94 °C; 30 cycles of denaturation were done at 94 °C for 30 s; annealing was done at 58 °C for 30 s; extension was done at 72 °C for 90 s; final extension was done at 72 °C for 10 min. The PCR products were detected on 1.5% agarose gel electrophoresis and then were purified using the PureLink PCR Purification Kit (Thermo Fisher Scientific). PCR products were sequenced at Macrogen, Inc. (Seoul, Korea) and searched for similar sequences in their rRNA/ITS databases with GenBank (https://blast.ncbi.nlm.nih.gov/, accessed on 14 July 2021) using the BLAST function. The retrieved ITS sequences in this study have been deposited in GenBank under accession numbers from LC642736 to LC642740. The sequences were aligned using Clustal W version 1.8 [55] and subjected to phylogenetic analyses. The phylogenetic tree was constructed using the maximum likelihood [56] in MEGA X version 10 [57] using the Tamura-Nei model. Bootstrap support for each node was evaluated with 1000 replicates. The average nucleotide identity was calculated between isolated fungi and closely related reference strains using MEGA X software.

2.7. Statistical Analysis

The effect of fungal inoculation was analyzed using the one-way ANOVA performed with SPSS 20.0 Statistics (IBM SPSS, Somers, NY, USA). All results were expressed as the mean ± standard deviation (SD). The significance of differences within treatments was separated using Duncan’s multiple range tests at a probability level of 0.05.

3. Results

3.1. Isolation and Identification of Rhizospheric and Endophytic Fungi

A total of 18 fungal isolates (15 rhizospheric, 3 endophytic) were isolated from 9 different wild medicinal plants belonging to 6 different plant families from 7 different locations in the SKP (Table 2).
The rhizospheric soil of wild plants Diplotaxis harra (Forssk.) Boiss and Peganum harmala L were the richest in habitat with the highest number of culturable fungal isolates. The isolated endophytic fungi were recovered from Cheilanthes vellea (Aiton) F. Muell, Conyza stricta Willd., and Silene schimperiana Boiss. Plants.

3.2. Screening the PGP Traits of Fungal Isolates

3.2.1. IAA Production

The fungal isolates were tested for their PGP traits, including IAA and siderophore production, in addition to their phosphate solubilization efficiency.
The findings (Figure 1) showed that all fungal isolates produced IAA, with or without tryptophan. IAA production ranged from 25.8 µg mL−1 by the endophytic isolate NGB-WFE17 (Alternaria botrytis) to 119.1 µg mL−1 by NGB-WFS14 (Chaetosphaeronema achilleae).
In the absence of tryptophan, isolate NGB-WFS5 (Aspergillus fumigatiaffinis) from the rhizosphere of Sonchus oleraceus produced the highest amount of IAA, 42.0 µg mL−1. Those may be due to the root exudates of sonchus olearceous, which could support the precursor for IAA biosynthesis regardless of its presence in the production medium. The lowest amount of IAA (6.1 µg mL−1) was produced by NGB-WFS3 (Penicillium chrysogenum) from the rhizosphere of Thymus bovei.
As observed (Figure 1), isolating NGB-WFS6 (Alternaria alternata) from the rhizosphere of Peganum harmala could produce similar IAA levels (24.9 and 26.0 µg mL−1) in the presence and absence of tryptophan, respectively. In the same manner, endophyte NGB-WFE16 (Fusarium petersiae) of Conyza stricta could produce equal IAA levels (34.3 µg mL−1), regardless of the presence or absence of tryptophan. As a general observation from previous results, IAA production could be supported by the host/source of isolation since rhizospheric isolates (NGB-WFS4, NGB-WFS 7, and NGB-WFS 14) which isolated from different plant rhizospheres (Marrubium alysson, Peganum harmala, and Diplotaxis harra), respectively, were identified as Chaetosphaeronema achilleae showed different IAA patterns in presence or absence of precursor.

3.2.2. Phosphate Solubilization Efficiency

As shown in Figure 2, the maximum amount of solubilized phosphorus was 181.9 µg mL−1, obtained by the NGB-WFS2 (Penicillium chrysogenum) isolate from the Thymus bovei rhizosphere, while the lowest amount of solubilized phosphorus was 24.2 µg mL−1, obtained by the NGB-WFS1 (Botryotrichum atrogriseum) isolate from the rhizosphere of Cleome droserifolia.
As indicated in Figure 2, some of the isolates were able to decrease the pH of the Pikovskaya’s medium, and this indicated a high amount of solubilized phosphorus. This was observed in the case of NGB-WFS7 (Chaetosphaeronema achilleae), with 103.1 µg mL−1 of solubilized phosphorus with an acidic pH of 2.8.
Interestingly, both different rhizospheric isolates NGB-WFS5 (Aspergillus fumigatiaffinis) and NGB-WFS 12 (Penicillium chrysogenum), could solubilize phosphorus by 147.69 and 101.32 µg mL−1, respectively, with alkaline PH 8, from the rhizosphere of the same plant (sonchus olearceous), this rise in PH may be due to production of alkaline compounds or due to rapid consumption of organic acids produced in the medium.
On the other hand, rhizospheric isolates exhibited higher solubilized phosphorus than endophytic isolates, as shown in Figure 2. This could be explained due to isolate habitat which supports its ability for phosphate solubilization.

3.2.3. Antagonistic Activity and Siderophore Production

As Table 3 indicates, all fungal isolates had antagonistic activity of more than 50% against the A. alternata pathogen. The highest antagonistic activity, 87.3%, was recorded for NGB-WFS18 (Trichoderma atroviride), and the lowest antagonistic activity, 52.4%, was recorded for NGB-WFS14 Chaetosphaeronema achilleae (Figure 3). For the siderophore produced by the fungal isolates, Table 3 shows that a high percentage of siderophore units (96.5% and 75.4% SU) were produced by the endophytic isolates NGB-WFE16 (Fusarium petersiae) and NGB-WFE15 (Penicillium chrysogenum), endophytes of C. stricta and C. vellea, respectively, whereas NGB-WFS8 (Acrophialophora levis) did not show any siderophore production. As a general observation, as phytopathogen growth inhibition correlated with production of siderophores, not all efficient antagonistic isolates were able to produce siderophores since isolate NGB-WFS8 (Acrophialophora levis) showed 77% suppression of phytopathogen A. alternata and no siderophores could be detected. This could be explained as pathogen suppression and could be achieved by many other mechanisms like bioactive and volatile organic compounds production.

3.2.4. Extracellular Enzymes

Eighteen fungal isolates were screened for cellulase, pectinase, xylanase, and chitinase activity on a basal salt medium amended with different carbon sources (CMC, pectin, xylan, and colloidal chitin) to test for hydrolytic enzyme production in the isolates. Fungal isolates with high enzymatic activity (EI) values were considered to be potential cellulase, pectinase, xylanase, and chitinase producers, with the presence of a halo colorless zone indicating enzyme production (Figure 4).
All 18 fungal isolates were positive for cellulase and chitinase enzymes, whereas the NGB-WFS6 (Alternaria alternata) isolate was negative for both pectinase and xylanase activity.
On the other hand, the NGB-WFS4 (Chaetosphaeronema achilleae) and NGB-WFS8 (Acrophialophora levis) isolates were negative for xylanase activity. The highest EI (2.0) of cellulase was observed with NGB-WFS2 (Penicillium chrysogenum), whereas NGB-WFS1 (Botryotrichum atrogriseum) and NGB-WFS11 (Geotrichum sp.) showed the highest activity of pectinase with an EI of 1.8, as indicated in Table 4.
The endophytic isolate NGB-WFE16 (Fusarium petersiae) exhibited the highest xylanase activity, with an EI of 2.1. The highest chitinase activity, with an EI of 3.9, was measured for the NGB-WFS10 (Sterile mycelium) isolate. From the above results, it can be seen that rhizospheric isolates produced higher levels of chitinase enzyme than obtained for the endophytic isolates. On the other hand, endophytic isolates produced higher levels of xylanase enzyme compared with rhizospheric isolates.

3.3. Application of Fungal Isolates as PGP Agents for Wheat Plant

3.3.1. Grain Germination and Seedling Vigor Test

The ability of PGPFs to enhance grain germination and the vigor of the seedling index was evaluated using either spore suspension or a filtrate of a fungal isolate. This experiment was set up to determine the potentiality of either spore suspension and/or culture filtrate. The filtrate under investigation could contain auxins, siderophores, and organic acids, which directly enhance grain germination rapidly until fungal spores germinate and proceed their symbiotic effect on wheat plants in pot trials. On the other hand, spore suspension may infect wheat grains and inhibit their germination. So, it is necessary to test the effect of both fungal filtrate and spore suspension in vitro prior to the pot experiment.
Results (Table 5) revealed that the maximum significance of grain germination percentage and seedling vigor index was 96.5% and 1767, respectively, which were recorded by the filtrate of the NGB-WFE16 (Fusarium petersiae). The spore suspension of the NGB-WFS11 (Geotrichum sp.) showed the maximum significant rate of grain germination percentage and vigor seedling index as 90.5% and 1533, respectively, among all of the spore suspensions under investigation. The spore suspensions of both NGB-WFS8 (Acrophialophora levis) and NGB-WFS14 (Chaetosphaeronema achilleae) inhibited the germination of wheat grains. Our results recommended applying both spore suspension and fungal filtrate to enhance the germination and vigor of wheat grains.
The treatment of wheat grains with the most potent fungal isolates enhanced the germination percentage and seedling vigor of the grains, as indicated in Figure 5.

3.3.2. Pot Experiment

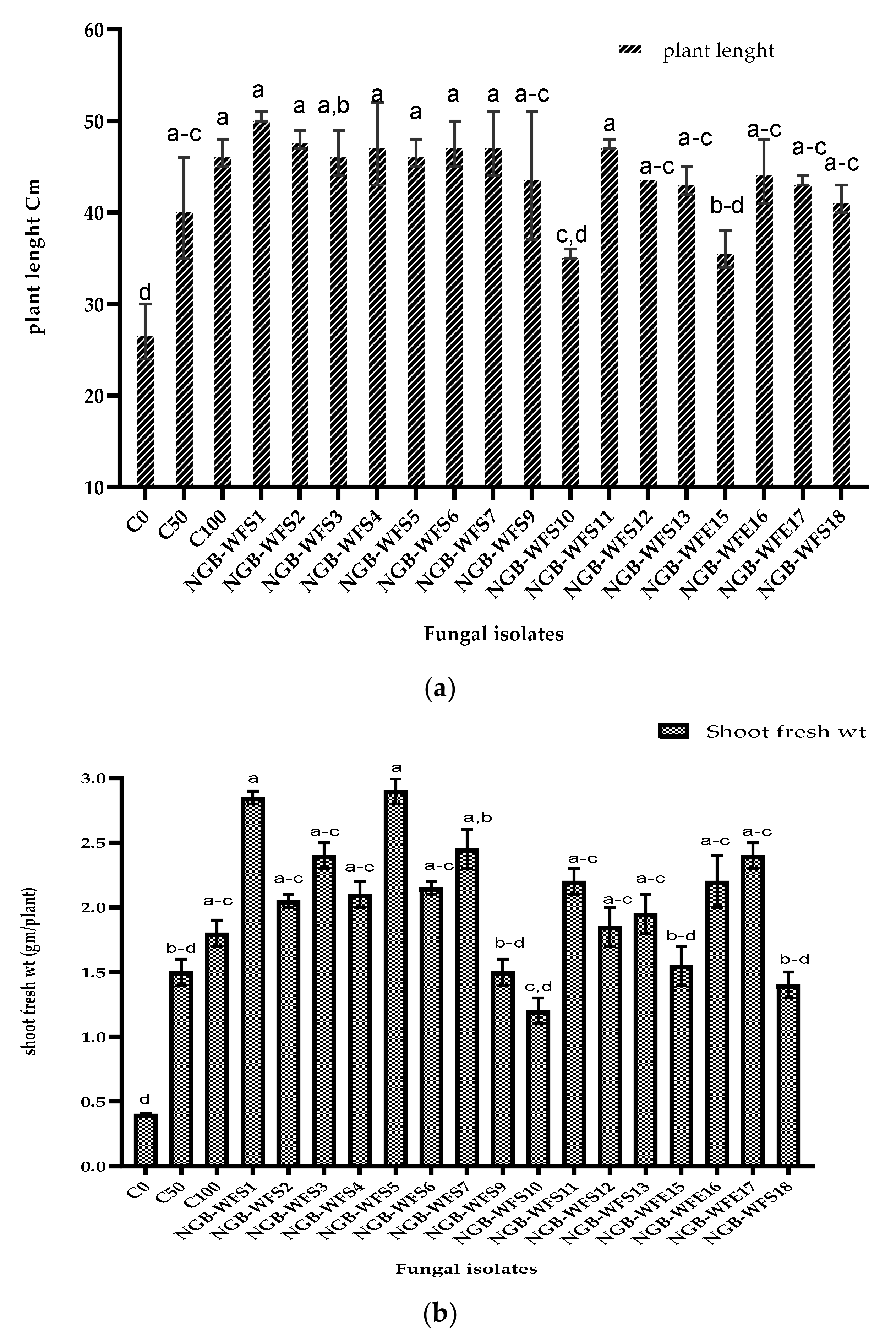
All fungal isolates were tested for their ability to enhance wheat (Misr 1) plant growth under a pot experiment filled with non-sterilized low fertile sandy soil (Table 6). Many plant growth parameters were investigated (i.e., plant height, fresh biomass, dry biomass of shoots and roots, and shoot nitrogen content per plant, as well as photosynthetic pigments of shoots). Results (Figure 6a) showed no significant difference in plant height between inoculated plants and un-inoculated controls. Regarding the shoot fresh weight (Figure 6b), NGB-WFS1 (Botryotrichum atrogriseum) and NGB-WFS5 (Aspergillus fumigatiaffinis) showed the highest shoot fresh weight by 2.9 g/plant; this was significantly different from the controls, at 50% and 100% N, which had findings of 1.5 g and 1.8 g per plant, respectively, this could be explained as both rhizospheric isolates NGB-WFS1 and NGB-WFS5 could produce high levels of IAA in addition to considerable amounts of solubilized phosphorus which contribute in the enhancement of shoot fresh weight compared to un-inoculated controls.
In the case of the root fresh weight (Figure 6c), NGB-WFE17 (Alternaria botrytis) had the highest root fresh weight by 0.985 g/plant, which was significantly different than for the controls at 50% and 100% N.
Inoculation of wheat plants with PGPFs had a great effect on the dry biomass of shoots. Plants inoculated with NGB-WFS1 (Botryotrichum atrogris), NGB-WFS5 (Aspergillus fumigatiaffinis), and NGB-WFS7 (Chaetosphaeronema achilleae) isolates had the highest shoot dry weights by 1.20, 1.22, and 1.04 g/plant, respectively, and the controls at 50% and 100% N had weights of 0.62 and 0.82 g/plant, respectively (Figure 6d). This increase in plant biomass inoculated with fungal isolates is due to the considerable amount of IAA produced by fungal isolates.
Concerning the root dry weight, NGB-WFS7 (Chaetosphaeronema achilleae) had the highest value of 0.495 g/plant, which was a significant increase compared with the control at 50% N, which had a weight of 0.255 g/plant (Figure 6e).
Regarding the nitrogen content of the plant shoots, a significant increase was recorded for the NGB-WFE16 (Fusarium petersiae) isolate (19.5 mg N/plant) compared with the control at 50% N (Figure 6f).
After observation of the photosynthetic pigments of growing wheat plants, the results (Table 7) showed that there were no significant differences in either chlorophyll a or chlorophyll b between isolates and controls. Regarding the total chlorophyll content of plants, there was a significant increase in the total chlorophyll recorded for the endophytic fungal isolates NGB-WFE15 (3.1 mg g−1) and NGB-WFE16 (3.0 mg g−1), as well as the rhizospheric isolate NGB-WFS18 (3.0 mg g−1), compared with the 100% N control.
As observed, there was a significant increase in the carotenoids obtained by NGB-WFS18 (0.81 mg g−1) compared with both controls.
Overall, inoculation of the most promising PGPF isolates enhanced the phenotype and growth parameters in the pot trial, as indicated in Figure 7.
Regarding the total chlorophyll content of plants Table 7, there was a significant increase in the total chlorophyll recorded for the endophytic fungal isolates NGB-WFE15 (3.1 mg g−1) and NGB-WFE16 (3.0 mg g−1), as well as the rhizospheric isolate NGB-WFS18 (3.0 mg g−1), compared with the 100% N control. As observed, there was a significant increase in the carotenoids obtained by NGB-WFS18 (0.81 mg g−1) compared with both controls. Overall, inoculation of the most promising PGPF isolates enhanced the phenotype and growth parameters in the pot trial, as indicated in Figure 7.

3.4. Molecular Confirmation and Phylogenetic Analysis of Most Potent PGPF Isolates

Based on the greenhouse results, five fungal isolates that showed high activity in improving plant growth were chosen for molecular identification using ITS rRNA sequence analysis. BLAST searches revealed their identities as members of five different genera (Aspergillus, Botryotrichum, Chaetosphaeronema, Fusarium, and Penicillium), all of them belonging to the phylum Ascomycota, which includes three classes, Eurotiomycetes, Sordariomycetes, and Dothideomycetes. A total of 21 sequences of close relatives were downloaded from the National Center for Biotechnology Information and combined with sequences in this study for phylogenetic tree construction (Figure 8). Based on the ITS phylogenetic tree, isolate NGB-WFS1 had an ITS sequence similarity of 99.5% to Botryotrichim atrogriseum CBS 130.28, and therefore it was classified in the genus Botryotrichum. Isolate NGB-WFS3 was closely related to reference strains corresponding to diverse species of Penicillium (ANI: 99.9%, BT: 99%), and therefore it was assigned to the genus Penicillium. Isolate NGB-WFS5 showed 99.8% ITS sequence similarity to Aspergillus fumigatiaffinis CBS 117186 and A. fumigatiaffinis CMV001G (the latter was isolated from soil in South Africa [3]), and thus it was identified as Aspergillus. Isolate NGB-WFS7 shared a 99.5% ITS sequence identity to the endophytic Chaetosphaeronema sp. SCE-N-O13, which was isolated from Nepeta septemcrenata growing in SKP in the South Sinai Governorate of Egypt [58], and therefore it was classified as Chaetosphaeronema. Finally, the endophyte NGB-WFE16 had 99.8% ITS sequence similarity with the soil fungus Fusarium petersiae CBS 143231, and consequently, it was defined as a Fusarium.

4. Discussion

PGPFs play important roles in the productivity of many crop plants by promoting plant growth and other activities such as protecting crops from diseases and compensating for the use of chemical fertilizers [59,60]. Our study aimed to investigate many PGP traits of both endophytic and rhizospheric fungi isolated from wild medicinal plants from the SKP in the South Sinai Governorate. Results revealed many growth-promoting traits such as IAA and siderophore production, phosphate solubilization efficiency, seedling vigor index, and the effect of fungi on the percentage of germination. The ability of fungal isolates to inhibit fungal pathogens and produce hydrolytic enzymes so that isolates can act as biocontrol agents, and the effect of fungal inoculation on wheat plant growth, were tested via a pot experiment.
IAA production by fungi enhanced lateral root formation and root hairs, thus increasing the nutrient absorption capacity of plants [61]. IAA played an important role in plant-microbe interactions, and thus it acted as a signaling molecule because it could affect gene expression in those microorganisms [62]. Also, fungal IAA supported the plants’ defenses against many phytopathogens [63].
In this study, all fungal isolates were able to produce IAA in the absence or presence of tryptophan in a culture medium. The NGB-WFS14 isolate produced the highest level of IAA (119.1 µg ml−1) in malt extract medium supplemented with 100 mg tryptophan L−1. This result was higher than that obtained by [64], who obtained a maximum IAA of 35 µg ml−1 produced by the endophytic Aspergillus awamori at 1000 mg tryptophan L−1.
Also, the NGB-WFS14 isolate showed an IAA level higher than reported by [65], who showed that Trichoderma harzianum produced an IAA level of between 13.4 and 24.3 µg ml−1 on a tryptic soy broth medium. IAA production is tryptophan dependent, and increasing its concentration in a broth medium increased the IAA levels synthesized by fungal isolates [66]
Our results were in agreement with the principle that IAA synthesis is increased by increased tryptophan concentrations [67]. This study revealed that our fungal isolates increased when tryptophan was increased at 100 mg L−1.
The finding that the endophytic isolate NGB-WFE16 synthesized 34.4 µg ml−1 in the presence or absence of tryptophan in a medium was in line with the results of [13], who hypothesized that endophytes had a unique capacity for IAA production without tryptophan. It reflects its natural habitat inside plant tissues where IAA could be synthesized free of tryptophan.
Phosphorus is considered one of the limiting factors for plant growth and crop production. Although it is abundant in agricultural soils, most of it is in an insoluble form, so it is unavailable for plant uptake in its bound form. Plants require 30 μmol l−1 of phosphorus for maximum crop production, but only 1 μmol l−1 is available in different soils [68,69]. Therefore, it is necessary to apply phosphate-solubilizing fungi to improve soil properties and enhance phosphorus availability for plants. Regarding the phosphate solubilization efficiency of fungal isolates in the present study, the highest amount of solubilized phosphorus was 181 µg mL−1 in the NGB-WFS2 isolate; that amount was higher than the amount obtained by [70], who found 83.42 ± 3.41 µg/mL to be the highest amount of phosphorus solubilized by Penicillium daleae. Our results were in line with the earlier studies of [70,71], who stated that increased solubilized phosphorus was accomplished by a decline in the pH of a medium. This was based on their finding of a sharp decline in pH (2.8, or highly acidic) in an NGB-WFS7 culture, which was correlated with a high solubilized phosphorus of 103 µg/mL.
Interestingly, not all high phosphate solubilization was accomplished with an acidic pH of a medium like that of the NGB-WFS5 isolate, which solubilized an amount of 147.7 µg/mL in a slightly alkaline medium at pH 8.6. This result was in agreement with that reported by [72], who suggested that phosphate solubilization might be dependent on mechanisms other than organic acid production.
Regarding the siderophores produced by fungi, siderophores known as low-molecular-weight iron-chelating agents could form complexes with iron that make it soluble and available to plants and unavailable to plant pathogens. This restricts phytopathogen growth [73]. In this study, the fungal isolates that showed the most siderophore units, 96.5% and 75.4%, were the endophytic isolates NGB-WFE16 and NGB-WFE15, respectively. These results were higher than those obtained by [74], who reported that the well-known antagonistic Trichoderma isolates had 85% and 65% siderophore-producing units. They are also linked to our finding that NGB-WFE16 and NGB-WFE15 had high antagonistic activity against A. alternata, with inhibition percentages of 76.2% and 57.9%, respectively.
The ability of fungal isolates to produce hydrolytic enzymes had indirect mechanisms for plant growth promotion [75]. In this study, most of the fungal isolates demonstrated good activity of hydrolytic enzymes. Results revealed that NGB-WFS2, NGB-WFS1, and NGB-WFE16 had the maximum cellulase, pectinase, and xylanase, with EIs of 2.1, 1.8, and 2.1, respectively. These results were in line with the principles of [76], who reported that these enzymes were responsible for facilitating the penetration of plant tissues by the fungal isolates and generating a symbiotic relationship with plants. In addition, these enzymes enhanced plant nutrition [77]. Regarding the chitinase activity of fungal isolates, NGB-WFS10 and NGB-WFS11 showed a high EI of 3.9 and 3, respectively. These results were in line with those of [78], who stated that the chitinase activity of fungal isolates could play a role in plant growth promotion by an indirect mechanism. The mechanism was the hydrolysis of chitin in the cell walls of phytopathogenic fungi. This finding, in turn, supported the idea of using these PGPFs in the biocontrol of fungal diseases.
One of the most important parameters was exploring the effect of both fungal spore suspension and the fungal filtrate on the wheat germination percentage and vigor index. They were considered good reflections of the ability of fungal isolates to be used as PGP agents. This study revealed that under in vitro conditions, a significantly higher germination percentage and improved seedling vigor were observed in grains treated with the fungal filtrates of NGB-WFS5, NGB-WFS6, and NGB-WFE16; the findings were 87% (1500), 94% (1651), and 96.5% (1767), respectively, compared with the control. These results were in agreement with the principles of [79], who reported that the seedling vigor and grain germination rate increased when grains of sorghum were treated with Trichoderma asperellum, Epicoccum nigrum, and Amanita longipes. They were linked to many PGP traits of these endophytes, such as the ability to produce IAA, which enhanced germination and root and shoot growth, resulting in improved seedling vigor compared with the control. Also, our results were in line with those of [51], who showed that the Penicillium filtrate could enhance the germination of wheat grains.
The improved seedling vigor is influenced by the PGP traits of endophytes, such as IAA production, which stimulates germination and root and shoot growth, whereas siderophore production and phosphate solubilization increase the sustained availability of micronutrients and phosphorus [80,81].
A pot experiment under greenhouse conditions was conducted to detect whether fungal isolates with at least one PGP trait could alleviate deficient fertilization. We also wanted to explore the ability of this isolate to promote plant growth.
Regarding the effect of fungal isolates on plant length, results showed that there was no significant difference between inoculated plants and the controls with 50% N and 100% N. At the same time, complete fertilization increased the plant length by 14.8%, whereas the fungal isolates had a maximum increase of 24.1% compared with the control at 50% N.
Fungal isolates have positive effects on the growth and yields of plants. The fungal isolates NGB-WFS1 and NGB-WFS5 increased the fresh shoot biomass of inoculated plants by 90% and 93%, respectively, and this exceeded the percentage that resulted from the non-inoculated control at a full dose (100% N). These results may be correlated with the ability of this isolate to produce IAA and solubilize phosphorus from soil, which could have a positive effect on the plant biomass, as observed. These results are in good agreement with those of [82], who reported that the production of IAA by endophytic Alternaria could enhance the growth parameters of wheat plants under drought conditions.
Interestingly, our results showed that the NGB-WFE17 isolate increased the root fresh biomass by 135% compared with the control at 50% N. This large increase in root biomass was due to the fact that that endophytic isolate could produce IAA in the presence or absence of tryptophan. Our results were in agreement with those of [80], who found that endophytic bacteria with more than one PGP trait could help raise the plant growth indices more than rhizospheric bacteria.
Regarding the dry shoot biomass, our results revealed that the control with a full dose of N fertilizer (100% N) could increase the shoot dry biomass by 31% compared with the control at 50% N. At the same time, inoculation with NGB-WFS5 increased the shoot dry biomass by 97% compared with the control at 50% N. This may have been due to the high amount of phosphorus solubilized (147 µg mL−1) in Pikovskaya’s culture medium observed for this isolate. Our results were in line with the observations of [81], who reported that the shoot dry biomass of maize plants increased by 62% compared with the control through inoculation by the phosphate-solubilizing Penicillium sp.
This study observed clearly that endophytic fungi play a crucial role in promoting the growth of wheat plants through many PGP traits. Our results revealed that the N content of wheat shoots increased by 68% in plants inoculated with NGB-WFE16 (Fusarium petersiae) compared with the non-inoculated control at 50% N. The percentages exceeded the increase caused by fertilization with N chemical fertilizers. Our results were in agreement with those of [79], who reported that wheat plants inoculated with endophytic A. alternata (LQ1230) acquired an accumulation of carbon and nitrogen. This observation was correlated with the ability of this isolate to increase the shoot dry biomass, in the same principle with [83], who concluded that dark septate fungi like Fusarium petersiae could increase nitrogen content through increased nitrogen availability for host plants, not through direct absorption of nitrogen.
Also, many physiological processes were affected by inoculation with PGPFs [79]. Our results revealed that plants inoculated with fungal isolates NGB-WFE15 (Penicillium chrysogenum), NGB-WFE16 (Fusarium petersiae), and NGB-WFS18 (Trichoderma atroviride) had high total chlorophyll contents of 3.1, 3.0, and 3.0 mg g−1, respectively, compared with both of the non-inoculated controls (50% N, 100% N). These results were in line with those of [84], who reported that wheat plants inoculated with Trichoderma reesei could tolerate salt stress and showed a high level of total chlorophyll compared with non-inoculated wheat plants.
The determination of carotenoids is considered a vital parameter in determining the stress tolerance and scavenging ability of reactive oxygen species (ROS). Our results showed that plants inoculated with NGB-WFS1, NGB-WFE15, NGB-WFE17, and NGB-WFS18 had high levels of carotenoids (0.77, 0.65, 0.66, and 0.81 mg g−1, respectively) compared with the non-inoculated controls (50% N and 100% N). These results were in agreement with those of [85], who concluded that carotenoids might be decreased in the presence of stress.
Many authors have suggested different mechanisms of plant growth-promoting fungi (PGPF) for phytostimulation. The mechanism for producing acids is recorded for the first time in this study, where PGPF able to produce acids via PVK broth medium; this supported wheat plant soil with acidic pH, as isolates NGB-WFS1, NGB-WFS3, NGB-WFS7, NGB-WFE15, and NGB-WFE16 had PH (2.4, 6.6, 2.8, 1.9, and 6) accompanied with a high nitrogen content of wheat (12.9, 12.4, 12.1, 19.5 & 15.6 mg N/plant), respectively. Our results are in agreement with the finding of [86], who stated that soil acidification is effective in improving the N availability of soil; in addition, [87] reported that N availability and N uptake were significantly higher on pH-neutral soil than on more alkaline soil [86]. Other mechanisms included the production of hydrolytic enzymes, which are considered a crucial point for plant growth promotion. In our study, the wheat plants inoculated with PGPF isolates (NGB-WFS1, NGB-WFS3, NGB-WFS7, NGB-WFE15, and NGB-WFE16) showed high nitrogen content. This correlated with the ability of these isolates to produce many hydrolytic enzymes (mainly cellulose, pectinase, and xylanase) with different enzymatic indexes, as shown in Results Table 4, since [88], who reported that nitrogen assimilation could be accelerated in soil amended with barely infested grains which could produce cellulose and starch-decomposing enzymes, despite their ability for IAA or siderophore production. So, nutrient release by mineralization is considered an acceptable mechanism for plant growth promotion in fungi rather than mycorrhizae.

5. Conclusions

Despite being a decades-old technology, the use of fungal species as biological control agents has grown exponentially in recent years. Due to the growing concern about the environmental impacts of agricultural processes, as well as the search for healthier foods free of chemical compounds that are harmful to health, scientific research is progressing toward the exploitation of endophytic and rhizospheric microorganisms for this purpose. The ability of several fungal species, including those historically used for pest control, to colonize crops endophytically has proven to be a very promising mechanism for achieving the desired sustainability in agriculture. Endophytic fungi are beneficial because they provide several direct and indirect benefits to crop plants, as stated in this research. It is reasonable to assume that no synthetic molecule can provide such a wide range of positive interactions as these microorganisms. Thus, the use of endophytic fungi proves to be a promising alternative in the fields of biocontrol, biostimulation, and biofertilization, demonstrating that such organisms are a valuable resource for research and business.

Author Contributions

Conceptualization, A.H.M., F.H.A.E.-M., N.M.H., S.H.Y., P.F.F. and A.M.A.-A.; methodology, A.H.M., F.H.A.E.-M., N.M.H., S.H.Y., P.F.F., S.A.S., Y.A.H., A.M.A. and A.M.A.-A.; software, S.H.Y., P.F.F., S.A.S., B.A.A.-W., Y.A.H. and A.M.A.; validation, A.H.M., F.H.A.E.-M., N.M.H., S.H.Y., B.A.A.-W., Y.A.H. and A.M.A.; phenotypic identification of fungi, A.M.A., formal analysis, A.H.M., F.H.A.E.-M., N.M.H., S.H.Y., P.F.F. and S.A.S.; investigation, A.H.M., F.H.A.E.-M., N.M.H., S.H.Y., P.F.F., A.M.A., B.A.A.-W. and A.M.A.-A.; resources, A.M.A.; data curation, A.H.M., F.H.A.E.-M., N.M.H., S.H.Y., P.F.F., S.A.S., B.A.A.-W., Y.A.H. and A.M.A.; writing—original draft preparation, A.H.M., F.H.A.E.-M., N.M.H., S.H.Y., P.F.F., S.A.S. and A.M.A.-A.; writing—review and editing, A.H.M., F.H.A.E.-M., N.M.H., S.H.Y., P.F.F., S.A.S., B.A.A.-W., Y.A.H., A.M.A. and A.M.A.-A.; visualization, A.H.M., N.M.H., S.H.Y., S.A.S. and A.M.A.-A.; supervision, P.F.F., S.A.S., B.A.A.-W., Y.A.H., A.M.A. and A.M.A.-A.; project administration, A.H.M., F.H.A.E.-M., S.H.Y. and A.M.A.-A.; funding acquisition, A.M.A. All authors have read and agreed to the published version of the manuscript.

Funding

This research received no external funding.

Institutional Review Board Statement

Not applicable.

Informed Consent Statement

Not applicable.

Data Availability Statement

Not applicable.

Acknowledgments

The authors extend their appreciation to Princess Nourah bint Abdulrahman University for funding this work through Researchers Supporting Project number (PNURSP2022R65), Princess Nourah bint Abdulrahman University, Riyadh, Saudi Arabia.

Conflicts of Interest

The authors have no conflicts of interest to declare.

References

  1. Nema, R.; Khare, S.; Jain, P.; Pradhan, A.; Gupta, A.; Singh, D. Natural Products Potential and Scope for Modern Cancer Research. Am. J. Plant Sci. 2013, 4, 1270–1277. [Google Scholar] [CrossRef][Green Version]
  2. Jorquera, M.A.; Shaharoona, B.; Nadeem, S.M.; de la Luz Mora, M.; Crowley, D.E. Plant Growth-Promoting Rhizobacteria Associated with Ancient Clones of Creosote Bush (Larrea tridentata). Microb. Ecol. 2012, 64, 1008–1017. [Google Scholar] [CrossRef] [PubMed]
  3. Houbraken, J.; Kocsubé, S.; Visagie, C.M.; Yilmaz, N.; Wang, X.-C.; Meijer, M.; Kraak, B.; Hubka, V.; Bensch, K.; Samson, R.A.; et al. Classification of Aspergillus, Penicillium, Talaromyces and related genera (Eurotiales): An overview of families, genera, subgenera, sections, series and species. Stud. Mycol. 2020, 95, 5–169. [Google Scholar] [CrossRef]
  4. Pattnaik, S.S.; Busi, S. Rhizospheric fungi: Diversity and potential biotechnological applications. In Recent Advancement in White Biotechnology through Fungi; Springer: Berlin/Heidelberg, Germany, 2019; pp. 63–84. [Google Scholar]
  5. Porras-Alfaro, A.; Bayman, P. Hidden fungi, emergent properties: Endophytes and microbiomes. Annu. Rev. Phytopathol. 2011, 49, 291–315. [Google Scholar] [CrossRef]
  6. Redman, R.S.; Sheehan, K.B.; Stout, R.G.; Rodriguez, R.J.; Henson, J.M. Thermotolerance generated by plant/fungal symbiosis. Science 2002, 298, 1581. [Google Scholar] [CrossRef]
  7. Schaechter, M. Eukaryotic Microbes; Academic Press: Cambridge, MA, USA, 2011; ISBN 0123838770. [Google Scholar]
  8. Muslim, A.; Hyakumachi, M.; Kageyama, K.; Suwandi, S. Induction of systemic resistance in cucumber by hypovirulent binucleate Rhizoctonia against anthracnose caused by Colletotrichum orbiculare. Trop. Life Sci. Res. 2019, 30, 109. [Google Scholar] [CrossRef]
  9. Zhang, Y.; Chen, F.-S.; Wu, X.-Q.; Luan, F.-G.; Zhang, L.-P.; Fang, X.-M.; Wan, S.-Z.; Hu, X.-F.; Ye, J.-R. Isolation and characterization of two phosphate-solubilizing fungi from rhizosphere soil of moso bamboo and their functional capacities when exposed to different phosphorus sources and pH environments. PLoS ONE 2018, 13, e0199625. [Google Scholar] [CrossRef]
  10. Lewis, J.A.; Papavizas, G.C. Biocontrol of plant diseases: The approach for tomorrow. Crop Prot. 1991, 10, 95–105. [Google Scholar] [CrossRef]
  11. Cherif, H.; Marasco, R.; Rolli, E.; Ferjani, R.; Fusi, M.; Soussi, A.; Mapelli, F.; Blilou, I.; Borin, S.; Boudabous, A. Oasis desert farming selects environment-specific date palm root endophytic communities and cultivable bacteria that promote resistance to drought. Environ. Microbiol. Rep. 2015, 7, 668–678. [Google Scholar] [CrossRef]
  12. Amrani, S.; Djouadi, S.; Bouheraama, A.; Mohamed, T.A.; Abo Nouh, F.; Mansour, S.; Gezaf, S.; El-Azeem, A.; Ahmed, M.; Abo Nahas, H. Checklist of Algerian fungi–Part 5: Dothideomycetes (Ascomycota). Microb. Biosyst. 2021, 5, 83–121. [Google Scholar] [CrossRef]
  13. Gaber, A.; Alsanie, W.F.; Kumar, D.N.; Refat, M.S.; Saied, E.M. Novel Papaverine Metal Complexes with Potential Anticancer Activities. Molecules 2020, 25, 5447. [Google Scholar] [CrossRef]
  14. Food and Agriculture Organization (FAO). World Food and Agriculture; FAO Statistical Pocketbook; FAO: Rome, Italy, 2015. [Google Scholar]
  15. Bin-Jumah, M.; Abdel-Fattah, A.-F.M.; Saied, E.M.; El-Seedi, H.R.; Abdel-Daim, M.M. Acrylamide-Induced Peripheral Neuropathy: Manifestations, Mechanisms, and Potential Treatment Modalities. Environ. Sci. Pollut. Res. 2021, 28, 13031–13046. [Google Scholar] [CrossRef]
  16. Naveed, M.; Hussain, M.B.; Zahir, Z.A.; Mitter, B.; Sessitsch, A. Drought stress amelioration in wheat through inoculation with Burkholderia phytofirmans strain PsJN. Plant Growth Regul. 2014, 73, 121–131. [Google Scholar] [CrossRef]
  17. Asseng, S.; Kheir, A.M.S.; Kassie, B.T.; Hoogenboom, G.; Abdelaal, A.I.N.; Haman, D.Z.; Ruane, A.C. Can Egypt become self-sufficient in wheat? Environ. Res. Lett. 2018, 13, 94012. [Google Scholar] [CrossRef]
  18. Laurent, E.-A.; Ahmed, N.; Durieu, C.; Grieu, P.; Lamaze, T. Marine and fungal biostimulants improve grain yield, nitrogen absorption and allocation in durum wheat plants. J. Agric. Sci. 2020, 158, 279–287. [Google Scholar] [CrossRef]
  19. Ruisi, P.; Frangipane, B.; Amato, G.; Frenda, A.S.; Plaia, A.; Giambalvo, D.; Saia, S. Nitrogen uptake and nitrogen fertilizer recovery in old and modern wheat genotypes grown in the presence or absence of interspecific competition. Front. Plant Sci. 2015, 6, 185. [Google Scholar] [CrossRef]
  20. Ruisi, P.; Saia, S.; Badagliacca, G.; Amato, G.; Frenda, A.S.; Giambalvo, D.; Di Miceli, G. Long-term effects of no tillage treatment on soil N availability, N uptake, and 15N-fertilizer recovery of durum wheat differ in relation to crop sequence. Field Crop. Res. 2016, 189, 51–58. [Google Scholar] [CrossRef]
  21. Thirkell, T.J.; Cameron, D.D.; Hodge, A. Resolving the ‘nitrogen paradox’of arbuscular mycorrhizas: Fertilization with organic matter brings considerable benefits for plant nutrition and growth. Plant. Cell Environ. 2016, 39, 1683–1690. [Google Scholar] [CrossRef]
  22. El Hadidi, M.N.; Hosni, H.A. Biodiversity in the Flora of Egypt. In The Biodiversity of African Plants: Proceedings XIVth AETFAT Congress; Wageningen, The Netherlands, 22–27 August 1994, van der Maesen, L.J.G., van der Burgt, X.M., van Medenbach de Rooy, J.M., Eds.; Springer: Dordrecht, The Netherlands, 1996; pp. 785–787. ISBN 978-94-009-0285-5. [Google Scholar]
  23. Garrett, S.D. Colonization of unsterilized filter paper by cereal foot-rot fungi. Trans. Br. Mycol. Soc. 1980, 74, 259–263. [Google Scholar] [CrossRef]
  24. Smith, N.R.; Dawson, V.T. The bacteriostatic action of rose bengal in media used for plate counts of soil fungi. Soil Sci. 1944, 58, 467–472. [Google Scholar] [CrossRef]
  25. Abdel-Azeem, A.M.; Salem, F.M. Biodiversity of laccase producing fungi in Egypt. Mycosphere 2012, 3, 900–920. [Google Scholar] [CrossRef]
  26. Samson, R.A. Review of The Genus Penicillium and Its Teleomorphic States Eupenicillium and Talaromyces. Mycologia 1981, 73, 582–584. [Google Scholar] [CrossRef]
  27. Christensen, M.; Tuthill, D.E. Aspergillus: An Overview. In Advances in Penicillium and Aspergillus Systematics; Samson, R.A., Pitt, J.I., Eds.; NATO ASI Series; Springer: Boston, MA, USA, 1986; pp. 195–209. ISBN 978-1-4757-1856-0. [Google Scholar]
  28. Klich, M.A. Biogeography of Aspergillus species in soil and litter. Mycologia 2002, 94, 21–27. [Google Scholar] [CrossRef]
  29. Abdel-Azeem, A.M.; Abu-Elsaoud, A.; Darwish, A.M.G.; Balbool, B.A.; Abo Nouh, F.; Abo Nahas, H.H.; El-Azeem, A.; Ahmed, M.; Ali, N.H.; Kirk, P. The Egyptian Ascomycota 1: Genus Aspergillus. Microb. Biosyst. 2020, 5, 61–99. [Google Scholar] [CrossRef]
  30. Ellis, M.B. Dematiaceous Hyphomycetes; Commonwealth Mycological Institute: Kew, UK, 1971. [Google Scholar]
  31. Ellis, M.B. More Dematiaceous Hyphomicetes; Commonwealth Mycological Institute: Kew, UK, 1976. [Google Scholar]
  32. Booth, C. The Genus Fusarium; Commonwealth Mycological Institute: Kew, UK, 1971; ISBN 978-0-85198-046-1. [Google Scholar]
  33. Seifert, K.A. Compendium of Soil Fungi—By K.H. Domsch, W. Gams & T.-H. Anderson. Eur. J. Soil Sci. 2008, 59, 1007. [Google Scholar]
  34. Guarro, J. Atlas of Soil Ascomycetes; CBS-KNAW Fungal Biodiversity Centre: Utrecht, The Netherlands, 2012; ISBN 9070351889. [Google Scholar]
  35. Kirk, P.M. Authors of Fungal Names: A List of Authors of Scientific Names of Fungi, with Recommended Standard Forms of Their Names, Including Abbreviations; C.A.B. International: Wallingford, UK, 1992; ISBN 978-0-85198-833-7. [Google Scholar]
  36. Kirk, P.; Cannon, P.; Minter, D.; Stalpers, J. Ainsworth & Bisby’s Dictionary of the Fungi; CABI: Wallingford, UK, 2008; ISBN 9780851998268. [Google Scholar]
  37. Bose, A.; Shah, D.; Keharia, H. Production of indole-3-acetic-acid (IAA) by the white rot fungus Pleurotus ostreatus under submerged condition of Jatropha seedcake. Mycology 2013, 4, 103–111. [Google Scholar] [CrossRef]
  38. Sharar, M.; Saied, E.M.; Rodriguez, M.C.; Arenz, C.; Montes-Bayón, M.; Linscheid, M.W. Elemental Labelling and Mass Spectrometry for the Specific Detection of Sulfenic Acid Groups in Model Peptides: A Proof of Concept. Anal. Bioanal. Chem. 2017, 409, 2015–2027. [Google Scholar] [CrossRef]
  39. Pikovskaya, R.I. Mobilization of phosphorus in soil in connection with the vital activity of some microbial species. Mikrobiologiya 1948, 17, 362–370. [Google Scholar]
  40. Jackson, M.L. Soil Chemical Analysis; Pentice Hall of India Pvt. Ltd.: New Delhi, India, 1973. [Google Scholar]
  41. Jomduang, J.; Sariah, M. Antagonistic effect of Malaysian isolates of Trichoderma harzianum and Gliocladium virens on Sclerotium rolfsii. Pertanika J. Trop. Agric. Sci. 1997, 20, 35–42. [Google Scholar]
  42. Schwyn, B.; Neilands, J.B. Universal chemical assay for the detection and determination of siderophores. Anal. Biochem. 1987, 160, 47–56. [Google Scholar] [CrossRef]
  43. Arora, N.K.; Verma, M. Modified microplate method for rapid and efficient estimation of siderophore produced by bacteria. 3 Biotech 2017, 7, 1–9. [Google Scholar] [CrossRef] [PubMed]
  44. Gaber, A.; Refat, M.S.; Belal, A.A.M.; El-Deen, I.M.; Hassan, N.; Zakaria, R.; Alhomrani, M.; Alamri, A.S.; Alsanie, W.F.; Saied, M.E. New Mononuclear and Binuclear Cu(II), Co(II), Ni(II), and Zn(II) Thiosemicarbazone Complexes with Potential Biological Activity: Antimicrobial and Molecular Docking Study. Molecules 2021, 26, 2288. [Google Scholar] [CrossRef] [PubMed]
  45. Mandels, M.; Reese, E.T. Induction of cellulase in Trichoderma viride as influenced by carbon sources and metals. J. Bacteriol. 1957, 73, 269–278. [Google Scholar] [CrossRef] [PubMed]
  46. Gohel, H.R.; Contractor, C.N.; Ghosh, S.K.; Braganza, V.J. A comparative study of various staining techniques for determination of extra cellular cellulase activity on Carboxy Methyl Cellulose (CMC) agar plates. Int. J. Curr. Microbiol. Appl. Sci. 2014, 3, 261–266. [Google Scholar]
  47. Ren, J.; Saied, E.M.; Zhong, A.; Snider, J.; Ruiz, C.; Arenz, C.; Obeid, L.M.; Girnun, G.D.; Hannun, Y.A. Tsc3 Regulates SPT Amino Acid Choice in Saccharomyces Cerevisiae by Promoting Alanine in the Sphingolipid Pathway. J. Lipid Res. 2018, 59, 2126–2139. [Google Scholar] [CrossRef] [PubMed]
  48. Saied, E.; Eid, A.M.; Hassan, S.E.-D.; Salem, S.S.; Radwan, A.A.; Halawa, M.; Saleh, F.M.; Saad, H.A.; Saied, E.M.; Fouda, A. The Catalytic Activity of Biosynthesized Magnesium Oxide Nanoparticles (MgO-NPs) for Inhibiting the Growth of Pathogenic Microbes, Tanning Effluent Treatment, and Chromium Ion Removal. Catalysts 2021, 11, 821. [Google Scholar] [CrossRef]
  49. Saied, E.M.; Diederich, S.; Arenz, C. Facile Synthesis of the CERT Inhibitor HPA-12 and Some Novel Derivatives. Chem. Asian J. 2014, 9, 2092–2094. [Google Scholar] [CrossRef] [PubMed]
  50. Abdul-Baki, A.A.; Anderson, J.D. Vigor determination in soybean seed by multiple criteria 1. Crop Sci. 1973, 13, 630–633. [Google Scholar] [CrossRef]
  51. Khokhar, I.; Haider, M.S.; Mukhtar, I.; Ali, A.; Mushtaq, S.; Ashfaq, M. Effect of Penicillium species culture filtrate on seedling growth of wheat. Int. Res. J. Agric. Sci. Soil Sci. 2013, 3, 24–29. [Google Scholar]
  52. Patil, D.P.; Muley, S.M.; Pawar, P. V Impact of fungal culture filtrate (mycotoxins) on seed germination of some pulses. World J. Sci. Technol. 2012, 2, 1–2. [Google Scholar]
  53. Abd El-Megeed, F.H.; Youseif, S.H. Molecular identification and plant growth pro-moting activities of endophytic Pantoea sp. isolat-ed from Zygophyllum album medicinal plant. Egypt. J. Genet. Cytol. 2018, 47, 69–86. [Google Scholar]
  54. Ortiz, J.; Soto, J.; Almonacid, L.; Fuentes, A.; Campos-Vargas, R.; Arriagada, C. Alleviation of metal stress by Pseudomonas orientalis and Chaetomium cupreum strains and their effects on Eucalyptus globulus growth promotion. Plant Soil 2019, 436, 449–461. [Google Scholar] [CrossRef]
  55. Altschul, S.F.; Madden, T.L.; Schäffer, A.A.; Zhang, J.; Zhang, Z.; Miller, W.; Lipman, D.J. Gapped BLAST and PSI-BLAST: A new generation of protein database search programs. Nucleic Acids Res. 1997, 25, 3389–3402. [Google Scholar] [CrossRef] [PubMed]
  56. Saitou, N.; Nei, M. The neighbor-joining method: A new method for reconstructing phylogenetic trees. Mol. Biol. Evol. 1987, 4, 406–425. [Google Scholar] [PubMed]
  57. Kumar, S.; Stecher, G.; Li, M.; Knyaz, C.; Tamura, K. MEGA X: Molecular evolutionary genetics analysis across computing platforms. Mol. Biol. Evol. 2018, 35, 1547. [Google Scholar] [CrossRef]
  58. Osman, M.E.; El- Beih, A.; Khatab, O.-K.; Moghannem, S.A.M.; Abdullah, N.H. Optimization of Bioactive Compounds Production by Endophytic Chaetosphaeronema sp. (KY321184) Using Experimental Design Method. Egypt. J. Bot. 2018, 58, 343. [Google Scholar] [CrossRef]
  59. Shivanna, M.B.; Meera, M.S.; Kubota, M.; Hyakumachi, M. Promotion of growth and yield in cucumber by zoysiagrass rhizosphere fungi. Microbes Environ. 2005, 20, 34–40. [Google Scholar] [CrossRef]
  60. Chowdappa, P.; Kumar, S.P.M.; Lakshmi, M.J.; Upreti, K.K. Growth stimulation and induction of systemic resistance in tomato against early and late blight by Bacillus subtilis OTPB1 or Trichoderma harzianum OTPB3. Biol. Control 2013, 65, 109–117. [Google Scholar] [CrossRef]
  61. Contreras-Cornejo, H.A.; Macías-Rodríguez, L.; Cortés-Penagos, C.; López-Bucio, J. Trichoderma virens, a plant beneficial fungus, enhances biomass production and promotes lateral root growth through an auxin-dependent mechanism in Arabidopsis. Plant Physiol. 2009, 149, 1579–1592. [Google Scholar] [CrossRef]
  62. Yuan, Z.; Haudecoeur, E.; Faure, D.; Kerr, K.F.; Nester, E.W. Comparative transcriptome analysis of Agrobacterium tumefaciens in response to plant signal salicylic acid, indole-3-acetic acid and γ-amino butyric acid reveals signalling cross-talk and Agrobacterium–plant co-evolution. Cell. Microbiol. 2008, 10, 2339–2354. [Google Scholar] [CrossRef] [PubMed]
  63. Fu, S.-F.; Wei, J.-Y.; Chen, H.-W.; Liu, Y.-Y.; Lu, H.-Y.; Chou, J.-Y. Indole-3-acetic acid: A widespread physiological code in interactions of fungi with other organisms. Plant Signal. Behav. 2015, 10, e1048052. [Google Scholar] [CrossRef]
  64. Mehmood, A.; Hussain, A.; Irshad, M.; Hamayun, M.; Iqbal, A.; Khan, N. In vitro production of IAA by endophytic fungus Aspergillus awamori and its growth promoting activities in Zea mays. Symbiosis 2019, 77, 225–235. [Google Scholar] [CrossRef]
  65. Bader, A.N.; Salerno, G.L.; Covacevich, F.; Consolo, V.F. Native Trichoderma harzianum strains from Argentina produce indole-3 acetic acid and phosphorus solubilization, promote growth and control wilt disease on tomato (Solanum lycopersicum L.). J. King Saud Univ. 2020, 32, 867–873. [Google Scholar] [CrossRef]
  66. Ahmad, F.; Ahmad, I.; Khan, M.S. Indole acetic acid production by the indigenous isolates of Azotobacter and fluorescent Pseudomonas in the presence and absence of tryptophan. Turkish J. Biol. 2005, 29, 29–34. [Google Scholar]
  67. Turbat, A.; Rakk, D.; Vigneshwari, A.; Kocsubé, S.; Thu, H.; Szepesi, Á.; Bakacsy, L.; D Škrbić, B.; Jigjiddorj, E.-A.; Vágvölgyi, C. Characterization of the Plant Growth-Promoting Activities of Endophytic Fungi Isolated from Sophora flavescens. Microorganisms 2020, 8, 683. [Google Scholar] [CrossRef]
  68. Daniels, C.; Michán, C.; Ramos, J.L. New molecular tools for enhancing methane production, explaining thermodynamically limited lifestyles and other important biotechnological issues. Microb. Biotechnol. 2009, 2, 533. [Google Scholar] [CrossRef] [PubMed]
  69. Adhikari, P.; Pandey, A. Phosphate solubilization potential of endophytic fungi isolated from Taxus wallichiana Zucc. roots. Rhizosphere 2019, 9, 2–9. [Google Scholar] [CrossRef]
  70. Pandey, A.; Das, N.; Kumar, B.; Rinu, K.; Trivedi, P. Phosphate solubilization by Penicillium spp. isolated from soil samples of Indian Himalayan region. World J. Microbiol. Biotechnol. 2008, 24, 97–102. [Google Scholar] [CrossRef]
  71. Kumar, C.M.S.; Jacob, T.K.; Devasahayam, S.; Thomas, S.; Geethu, C. Multifarious plant growth promotion by an entomopathogenic fungus Lecanicillium psalliotae. Microbiol. Res. 2018, 207, 153–160. [Google Scholar] [CrossRef]
  72. Ghosh, S.K.; Banerjee, S.; Sengupta, C. Bioassay, characterization and estimation of siderophores from some important antagonistic Fungi. J. Biopestic. 2017, 10, 105–112. [Google Scholar]
  73. Glick, B.R. Plant growth-promoting bacteria: Mechanisms and applications. Scientifica 2012, 2012, 963401. [Google Scholar] [CrossRef]
  74. Choi, Y.W.; Hodgkiss, I.J.; Hyde, K.D. Enzyme production by endophytes of Brucea javanica. J. Agric. Technol. 2005, 1, 55–66. [Google Scholar]
  75. de Almeida Lopes, K.B.; Carpentieri-Pipolo, V.; Oro, T.H.; Stefani Pagliosa, E.; Degrassi, G. Culturable endophytic bacterial communities associated with field-grown soybean. J. Appl. Microbiol. 2016, 120, 740–755. [Google Scholar] [CrossRef]
  76. Rajini, S.B.; Nandhini, M.; Udayashankar, A.C.; Niranjana, S.R.; Lund, O.S.; Prakash, H.S. Diversity, plant growth-promoting traits, and biocontrol potential of fungal endophytes of Sorghum bicolor. Plant Pathol. 2020, 69, 642–654. [Google Scholar] [CrossRef]
  77. Waqas, M.; Khan, A.L.; Kamran, M.; Hamayun, M.; Kang, S.-M.; Kim, Y.-H.; Lee, I.-J. Endophytic fungi produce gibberellins and indoleacetic acid and promotes host-plant growth during stress. Molecules 2012, 17, 10754–10773. [Google Scholar] [CrossRef]
  78. Elhaissoufi, W.; Khourchi, S.; Ibnyasser, A.; Ghoulam, C.; Rchiad, Z.; Zeroual, Y.; Lyamlouli, K.; Bargaz, A. Phosphate Solubilizing Rhizobacteria Could Have a Stronger Influence on Wheat Root Traits and Aboveground Physiology Than Rhizosphere P Solubilization. Front. Plant Sci. 2020, 11, 979. [Google Scholar] [CrossRef]
  79. Qiang, X.; Ding, J.; Lin, W.; Li, Q.; Xu, C.; Zheng, Q.; Li, Y. Alleviation of the detrimental effect of water deficit on wheat (Triticum aestivum L.) growth by an indole acetic acid-producing endophytic fungus. Plant Soil 2019, 439, 373–391. [Google Scholar] [CrossRef]
  80. Emami, S.; Alikhani, H.A.; Pourbabaee, A.A.; Etesami, H.; Motasharezadeh, B.; Sarmadian, F. Consortium of endophyte and rhizosphere phosphate solubilizing bacteria improves phosphorous use efficiency in wheat cultivars in phosphorus deficient soils. Rhizosphere 2020, 14, 100196. [Google Scholar] [CrossRef]
  81. Qarni, A.; Billah, M.; Hussain, K.; Shah, S.H.; Ahmed, W.; Alam, S.; Sheikh, A.A.; Jafri, L.; Munir, A.; Malik, K.M. Isolation and Characterization of Phosphate Solubilizing Microbes from Rock Phosphate Mines and their Potential Effect for Sustainable Agriculture. Sustainability 2021, 13, 2151. [Google Scholar] [CrossRef]
  82. Kalaji, H.M.; Cetner, M.D.; Samborska, I.A.; Lukasik, I.; Oukarroum, A.; Rusinowki, S.; Pietkiewicz, S.; Swiatek, M.; Dabrowski, P. Effective microorganisms impact on photosynthetic activity of Arabidopsis plant grown under salinity stress conditions. Ann. Warsaw Univ. Life Sci. Life Reclam. 2016, 48, 153–163. [Google Scholar] [CrossRef]
  83. Han, L.; Shi, J.; He, C.; He, X. Temporal and Spatial Dynamics of Dark Septate Endophytes in the Roots of Lycium ruthenicum in the Desert Region of Northwest China. Agronomy 2021, 11, 648. [Google Scholar] [CrossRef]
  84. Ikram, M.; Ali, N.; Jan, G.; Iqbal, A.; Hamayun, M.; Jan, F.G.; Hussain, A.; Lee, I.-J. Trichoderma reesei improved the nutrition status of wheat crop under salt stress. J. Plant Interact. 2019, 14, 590–602. [Google Scholar] [CrossRef]
  85. Das, K.; Roychoudhury, A. Reactive oxygen species (ROS) and response of antioxidants as ROS-scavengers during environmental stress in plants. Front. Environ. Sci. 2014, 2, 53. [Google Scholar] [CrossRef]
  86. Xiang, J.; Haden, V.R.; Peng, S.; Bouman, B.A.M.; Visperas, R.M.; Nie, L.; Huang, J.; Cui, K. Improvement in nitrogen availability, nitrogen uptake and growth of aerobic rice following soil acidification. Soil Sci. Plant Nutr. 2009, 55, 705–714. [Google Scholar] [CrossRef]
  87. van Asten, P.J.A.; Van Bodegom, P.M.; Mulder, L.M.; Kropff, M.J. Effect of straw application on rice yields and nutrient availability on an alkaline and a pH-neutral soil in a Sahelian irrigation scheme. Nutr. Cycl. Agroecosyst. 2005, 72, 255–266. [Google Scholar] [CrossRef]
  88. Hossain, M.M.; Sultana, F. Application and mechanisms of plant growth promoting fungi (PGPF) for phytostimulation. In Organic Agriculture; IntechOpen: London, UK, 2020. [Google Scholar]
Figure 1. IAA production by tested fungal isolates with medium supplemented by tryptophan and without tryptophan. All values are mean with SEM.
Figure 1. IAA production by tested fungal isolates with medium supplemented by tryptophan and without tryptophan. All values are mean with SEM.
Jof 08 00094 g001
Figure 2. Solubilized P concentrations and corresponding PH of PVK broth inoculated with tested fungal isolates after 10 days of incubation.
Figure 2. Solubilized P concentrations and corresponding PH of PVK broth inoculated with tested fungal isolates after 10 days of incubation.
Jof 08 00094 g002
Figure 3. Antagonistic effect of tested fungal isolates against phytopathogen Alternaria alternate in dual culture assay (lower side of petri dish fungal isolates NGB-WFS 14 Chaetosphaeronema achilleae, NGB-WFS18-Trichoderma atroviride).
Figure 3. Antagonistic effect of tested fungal isolates against phytopathogen Alternaria alternate in dual culture assay (lower side of petri dish fungal isolates NGB-WFS 14 Chaetosphaeronema achilleae, NGB-WFS18-Trichoderma atroviride).
Jof 08 00094 g003
Figure 4. Extracellular enzyme production on the agar plate by fungal isolates showed a clear zone on specific medium stained by iodine. From left to right, NGB-WFS12 on CMC, NGB-WFS12 (Penicillium chrysogenum) on xylan, and NGB-WFS11 (Geotrichum sp.) on chitin amended medium.
Figure 4. Extracellular enzyme production on the agar plate by fungal isolates showed a clear zone on specific medium stained by iodine. From left to right, NGB-WFS12 on CMC, NGB-WFS12 (Penicillium chrysogenum) on xylan, and NGB-WFS11 (Geotrichum sp.) on chitin amended medium.
Jof 08 00094 g004
Figure 5. Effect of culture filtrate and spore suspension of fungal isolates on germination and seedling vigor of wheat grains. From left to right, control, wheat grains + culture filtrate of NGB-WFE16 (Fusarium petersiae) isolates and wheat grains + spore suspension of NGB-WFS11 (Geotrichum sp.) isolates.
Figure 5. Effect of culture filtrate and spore suspension of fungal isolates on germination and seedling vigor of wheat grains. From left to right, control, wheat grains + culture filtrate of NGB-WFE16 (Fusarium petersiae) isolates and wheat grains + spore suspension of NGB-WFS11 (Geotrichum sp.) isolates.
Jof 08 00094 g005
Figure 6. Effects of plant growth-promoting fungi on (a) plant height, (b) shoot fresh, (c) root fresh biomass, (d) shoot dry biomass, (e) root dry biomass, and (f) shoot nitrogen content of wheat in a pot trial. Data are present as a mean of three replicates. Bars sharing different letter(s) are statistically different according to Duncan’s multiple range (p ≤ 0.05).
Figure 6. Effects of plant growth-promoting fungi on (a) plant height, (b) shoot fresh, (c) root fresh biomass, (d) shoot dry biomass, (e) root dry biomass, and (f) shoot nitrogen content of wheat in a pot trial. Data are present as a mean of three replicates. Bars sharing different letter(s) are statistically different according to Duncan’s multiple range (p ≤ 0.05).
Jof 08 00094 g006aJof 08 00094 g006bJof 08 00094 g006c
Figure 7. Greenhouse experiment showed the effect of the most potent plant growth-promoting fungal isolates on the growth performance of wheat plants. From right, un-inoculated Control (0 N), control (50 N), control (100 N). Left side, grains inoculated with endophytic fungal isolate (NGB-WFE16) (Fusarium petersiae) + 50 N fertilization.
Figure 7. Greenhouse experiment showed the effect of the most potent plant growth-promoting fungal isolates on the growth performance of wheat plants. From right, un-inoculated Control (0 N), control (50 N), control (100 N). Left side, grains inoculated with endophytic fungal isolate (NGB-WFE16) (Fusarium petersiae) + 50 N fertilization.
Jof 08 00094 g007
Figure 8. Maximum likelihood (ML) phylogenetic tree based on rDNA ITS sequences of fungal isolates (in bold) and fungal ITS sequences from the GenBank. GenBank accessions are in parentheses. Bootstrap values are indicated for each nod (1000 replicates. A: Aspergillus; B: Botryotrichum; C: Chaetosphaeronema; F: Fusarium, and P: Penicillium.
Figure 8. Maximum likelihood (ML) phylogenetic tree based on rDNA ITS sequences of fungal isolates (in bold) and fungal ITS sequences from the GenBank. GenBank accessions are in parentheses. Bootstrap values are indicated for each nod (1000 replicates. A: Aspergillus; B: Botryotrichum; C: Chaetosphaeronema; F: Fusarium, and P: Penicillium.
Jof 08 00094 g008
Table 1. Sites of collection and host plants.
Table 1. Sites of collection and host plants.
LongitudeLatitudeSite of CollectionPlant FamilyHost Plant
28.309 N33.984 EWadi TarafaLabiataeCleome droserifolia (Forssk.) Delile
28.539 N33.979 EShaq ElgragniaLabiataeThymus bovei Benth.
28.542 N33.964 EWadiElArba’eenLabiataeMarrubium alysson L.
33.934 E28.553 NShaq ItlahCompositaeSonchus oleraceus L.
28.568 N33.929 EWadi EltalaaZygophyllaceaePeganum harmala L.
33.934 E28.553 NShaq ItlahCruciferaeDiplotaxis harra (Forssk.) Boiss.
34.0148 E28.550 NWadi SdodAdianteaceaCheilanthes vellea (Aiton) F. Muell.
28.539 N33.977 EGebel MusaCompositaeConyza stricta Willd.
33.940 N28.538 EElfaraaCaryophyllaceaeSilene schimperiana Boiss.
Table 2. Endophytic and rhizospheric taxa hosted by different plant species under investigation.
Table 2. Endophytic and rhizospheric taxa hosted by different plant species under investigation.
Isolates CodeHost PlantPhenotypic IdentificationMolecular ConfirmationAccession No.
NGB-WFS1 *Cleome droserifolia (Forssk.) DelileBotryotrichum atrogriseum J.F.H. BeymaBotryotrichum atrogriseumLC642736
NGB-WFS2Thymus bovei Benth.Penicillium chrysogenum ThomN/AN/A
NGB-WFS3 *Thymus bovei Benth.Penicillium chrysogenum ThomPenicilliumLC642737
NGB-WFS4Marrubium alysson L.Chaetosphaeronema achilleae S.K. Huang & K.D. HydeN/AN/A
NGB-WFS5Sonchus oleraceus L.Aspergillus fumigatiaffinis S.B. Hong, Frisvad & SamsonAspergillus fumigatiaffinisLC642738
NGB-WFS6Peganum harmala L.Alternaria alternata (Preuss) Woudenb. & CrousN/AN/A
NGB-WFS7 *Peganum harmala L.Chaetosphaeronema achilleae S.K. Huang & K.D. HydeChaetosphaeronema sp.LC642739
NGB-WFS8Peganum harmala L.Acrophialophora levis Samson & T. MahmoodN/AN/A
NGB-WFS9Peganum harmala L.Aspergillus versicolor (Vuill.) Tirab.N/AN/A
NGB-WFS10Diplotaxis harra (Forssk.) Boiss.Sterile myceliumN/AN/A
NGB-WFS11Sonchus oleraceus L.Geotrichum sp.N/AN/A
NGB-WFS12Sonchus oleraceus L.Penicillium chrysogenum ThomN/AN/A
NGB-WFS13Diplotaxis harra (Forssk.) Boiss.Aspergillus versicolor (Vuill.) Tirab.N/AN/A
NGB-WFS14Diplotaxis harra (Forssk.) Boiss.Chaetosphaeronema achilleae S.K. Huang & K.D. HydeN/AN/A
NGB-WFE15Cheilanthes vellea (Aiton) F.MuellPenicillium chrysogenum ThomN/AN/A
NGB-WFE16 *Conyza stricta Willd.Fusarium oxysporum Schltdl.Fusarium petersiaeLC642740
NGB-WFE17Silene schimperiana Boiss.Alternaria botrytis (Preuss) Woudenb. & CrousN/AN/A
NGB-WFS18Diplotaxis harra (Forssk.) Boiss.Trichoderma atroviride P. Karst.N/AN/A
Where WFS: Rhizospheric isolate; WFE: Endophytic isolate. * denotes to isolates confirmed by molecular identification.
Table 3. Percentage growth inhibition against Alternaria alternata. Percent siderophore production of tested fungal isolates.
Table 3. Percentage growth inhibition against Alternaria alternata. Percent siderophore production of tested fungal isolates.
IsolatesPathogen Growth Inhibition %Siderophore Production (% SU)
NGB-WFS165.9±0.8 b–e25.9±0.10 h
NGB-WFS259.5±2.4 e,f3.1±0.05 n
NGB-WFS363.5±7.9 c–f19.3±0.05 i
NGB-WFS469.1±0.8 b–e33.7±0.05 g
NGB-WFS573.8±4.0 b–d1.5±0.10 o
NGB-WFS664.3±0.8 b–f33.6±0.55 g
NGB-WFS762.7±0.8 d–f23.0±0.25 i
NGB-WFS877.0±0.8 a,b0.0±0.00 p
NGB-WFS956.4±0.8 e,f44.7±0.15 e
NGB-WFS1059.6±5.6 e,f61.7±0.05 c
NGB-WFS1159.5±0.8 e,f57.1±1.85 d
NGB-WFS1258.0±4.0 e,f16.8±0.10 l
NGB-WFS1355.6±4.8 e,f36.2±0.30 f
NGB-WFS1452.4±4.8 f17.3±0.30 k
NGB-WFE1557.9±0.8 e,f75.4±0.14 b
NGB-WFE1676.2±9.5 a–c96.5±0.43 a
NGB-WFE1763.5±1.6 c–f14.6±0.32 m
NGB-WFS1887.3±1.6 a44.4±0.09 e
Mean values followed by the same letters (a, b, c, etc.) are not significantly different according to Duncan’s multiple range test at p ≤ 0.05.
Table 4. Enzymatic index of hydrolytic enzymes of fungal isolates.
Table 4. Enzymatic index of hydrolytic enzymes of fungal isolates.
Isolate CodeEnzymatic Index
XylanaseChitinaseXylanaseChitinase
NGB-WFS11.4 b,c1.8 a1.1 b–d1.3 d,e
NGB-WFS22.0 a1.5 a,b2.0 a,b1.2 d,e
NGB-WFS31.6 b1.6 a,b1.4 a–d1.2 d,e
NGB-WFS41.0 d1.0 a–c0.0 e1.0 e
NGB-WFS51.0 d1.0 a–c1.0 c,d1.1 d,e
NGB-WFS61.1 d0.0 d0.0 e1.0 e
NGB-WFS71.4 b,c1.3 a–c1.3 a–d1.4 d
NGB-WFS81.1 d1.0 a–c0.0 e1.0 e
NGB-WFS91.6 b1.3 a–c1.4 a–d1.8 c
NGB-WFS101.0 d1.1 a–c0.5 d,e3.9 a
NGB-WFS111.1 d1.8 a1.3 a–d3.0 b
NGB-WFS121.6 b1.4 a–c1.5 a–c1.3 d,e
NGB-WFS131.3 c,d1.0 b,c1.3 a–d1.4 d
NGB-WFS141.5 b,c1.3 a–c1.4 a–d1.0 e
NGB-WFE151.1 d1.7 a,b1.1 b–d1.1 d,e
NGB-WFE161.3 c,d0.7 c,d2.1 a1.0 e
NGB-WFE171.0 d1.5 a,b1.1 b–d1.2 d,e
NGB-WFS181.0 d1.0 a–c1.9 a–c1.0 e
Mean values followed by the same letters (a, b, c, etc.) are not significantly different according to Duncan’s multiple range test at p ≤ 0.05.
Table 5. Influence of culture filtrate and spore suspension of fungal isolates on the percent of grain germination and seedling vigor of wheat grains.
Table 5. Influence of culture filtrate and spore suspension of fungal isolates on the percent of grain germination and seedling vigor of wheat grains.
Isolate CodePercent of Grain Germination (%)Seedling Vigor
Fungi FilterateFungi Spore SuspensionFungi FilterateFungi Spore Suspension
NGB-WFS190.5 a79.5 a–c1236 a–e1304 a,b
NGB-WFS281.5 a,b50.5 d1362 a–d871 b,c
NGB-WFS378 a,b75 a–d1238 a–e1270 a,b
NGB-WFS477 a,b80 a–c872 d–f1043 a–c
NGB-WFS587 a70 a–d1500 a,b1147 a–c
NGB-WFS694 a81 a–c1651 a,b1308 a,b
NGB-WFS753.5 a,b61.5 b–d603 f727 c
NGB-WFS886 a0.00 e1482 a–c0 d
NGB-WFS972 a,b81.5 a,b1327 a–d1362 a,b
NGB-WFS1069.5 a,b70.5 a–d1168 b–e1276 a,b
NGB-WFS1176.5 a,b90.5 a1385 a–d1533 a
NGB-WFS1273.5 a,b68.5 a–d1287 a–e1178 a–c
NGB-WFS1367 a,b71 a–d1200 a–e1199 a–c
NGB-WFS1476 a,b0.00 e729 e,f0 d
NGB-WFE1566.5 a,b61.5 b–d1131 b–f1081 a–c
NGB-WFE1696.5 a53 c,d1767 a883 b,c
NGB-WFE1778.5 a,b74 a–d1339 a–d1200 a–c
NGB-WFS1877 a,b68.5 a–d1402 a–d887 b,c
Control73.5 a,b70.5 a–d910 c–f888 b,c
Mean values followed by the same letters (a, b, c, etc.) are not significantly different according to Duncan’s multiple range test at p ≤ 0.05.
Table 6. Physical and chemical properties of sandy soil used in the plant inoculation assay.
Table 6. Physical and chemical properties of sandy soil used in the plant inoculation assay.
PropertyValue
Particle size distribution (%)
Sand90.1
Silt3.9
Clay6.0
Texture gradeSandy
CaCo3 (%)1.61
Saturation percent S.P (%)21.50
pH7.82
E.C. (dS m−1 at 25 °C)0.32
Soluble cations (meq/L)
Ca2+0.54
Mg2+0.33
Na+1.62
K+0.65
Soluble anions (meq/L)
CO3−20.00
HCO30.88
Cl0.59
SO4−21.67
Total N (%)0.021
Total Soluble-N (mg kg−1)16.30
Available-P (mg kg−1)6.71
Available-K (mg kg−1)52.10
Organic matter (%)0.23
DTPA extractable (ppm)
Fe1.62
Mn0.31
Zn0.42
Cu0.18
Table 7. Effect of fungal inoculation on photosynthetic pigments of wheat plants under pot trial.
Table 7. Effect of fungal inoculation on photosynthetic pigments of wheat plants under pot trial.
IsolateChlorophyll a
(mg g−1)
Chlorophyll b
(mg g−1)
Total Chlorophyll
(mg g−1)
Carotenoids
(mg g−1)
NGB-WFS12.0±0.07 a0.56±0.06 a,b2.6±0.13 a–d0.77±0.06 a,b
NGB-WFS21.8±0.12 a–d0.43±0.06 b–d2.2±0.18 c–g0.63±0.07 b–e
NGB-WFS31.7±0.00 a–e0.40±0.01 c,d2.1±0.01 d–g0.60±0.01 c–e
NGB-WFS41.6±0.03 a–e0.38±0.00 c,d2.1±0.04 d–g0.58±0.02 c–e
NGB-WFS51.7±0.02 a–e0.40±0.01 c,d2.1±0.03 d–g0.58±0.03 c–e
NGB-WFS61.5±0.41 d,e0.34±0.12 d,e1.9±0.53 f,g0.54±0.14 d,e
NGB-WFS71.5±0.08 c–e0.37±0.05 c,e1.9±0.14 f,g0.56±0.07 d,e
NGB-WFS91.6±0.26 b–e0.38±0.07 c,d2.0±0.34 e–g0.59±0.04 c–e
NGB-WFS101.7±0.21 a–e0.40±0.09 c,d2.1±0.31 d–g0.58±0.10 c–e
NGB-WFS111.8±0.02 a–d0.45±0.00 b–d2.3±0.02 c–f0.66±0.02 b–d
NGB-WFS121.6±0.21 a–e0.37±0.07 c–e2.0±0.30 e–g0.59±0.05 c–e
NGB-WFS131.7±0.00 a–e0.40±0.00 c,d2.1±0.01 d–g0.62±0.04 c–e
NGB-WFE151.9±0.02 a–c0.43±0.04 b–d3.1±0.00 a0.65±0.03 b–d
NGB-WFE161.8±0.05 a–d0.34±0.04 d,e3.0±0.11 a,b0.59±0.02 c–e
NGB-WFE171.9±0.01 a–c0.45±0.02 b–d2.7±0.13 a–c0.66±0.01 b–d
NGB-WFS182.0±0.00 a,b0.66±0.02 a3.0±0.05 a,b0.81±0.01 a
Control (0 N)1.1±0.28 f0.23±0.08 e1.3±0.37 h0.49±0.00 e
Control (50 N)1.8±0.27 a–e0.42±0.06 a,b2.2±0.35 c–g0.63±0.12 b–e
Control (100 N)2.0±0.21 a,b0.52±0.06 b–d2.5±0.39 b–e0.72±0.05 a–c
Mean values followed by the same letters (a, b, c, etc.) are not significantly different according to Duncan’s multiple range (p ≤ 0.05).
Publisher’s Note: MDPI stays neutral with regard to jurisdictional claims in published maps and institutional affiliations.

Share and Cite

MDPI and ACS Style

Mohamed, A.H.; Abd El-Megeed, F.H.; Hassanein, N.M.; Youseif, S.H.; Farag, P.F.; Saleh, S.A.; Abdel-Wahab, B.A.; Alsuhaibani, A.M.; Helmy, Y.A.; Abdel-Azeem, A.M. Native Rhizospheric and Endophytic Fungi as Sustainable Sources of Plant Growth Promoting Traits to Improve Wheat Growth under Low Nitrogen Input. J. Fungi 2022, 8, 94. https://doi.org/10.3390/jof8020094

AMA Style

Mohamed AH, Abd El-Megeed FH, Hassanein NM, Youseif SH, Farag PF, Saleh SA, Abdel-Wahab BA, Alsuhaibani AM, Helmy YA, Abdel-Azeem AM. Native Rhizospheric and Endophytic Fungi as Sustainable Sources of Plant Growth Promoting Traits to Improve Wheat Growth under Low Nitrogen Input. Journal of Fungi. 2022; 8(2):94. https://doi.org/10.3390/jof8020094

Chicago/Turabian Style

Mohamed, Akram H., Fayrouz H. Abd El-Megeed, Naziha M. Hassanein, Sameh H. Youseif, Peter F. Farag, Saleh A. Saleh, Basel A. Abdel-Wahab, Amnah Mohammed Alsuhaibani, Yosra A. Helmy, and Ahmed M. Abdel-Azeem. 2022. "Native Rhizospheric and Endophytic Fungi as Sustainable Sources of Plant Growth Promoting Traits to Improve Wheat Growth under Low Nitrogen Input" Journal of Fungi 8, no. 2: 94. https://doi.org/10.3390/jof8020094

APA Style

Mohamed, A. H., Abd El-Megeed, F. H., Hassanein, N. M., Youseif, S. H., Farag, P. F., Saleh, S. A., Abdel-Wahab, B. A., Alsuhaibani, A. M., Helmy, Y. A., & Abdel-Azeem, A. M. (2022). Native Rhizospheric and Endophytic Fungi as Sustainable Sources of Plant Growth Promoting Traits to Improve Wheat Growth under Low Nitrogen Input. Journal of Fungi, 8(2), 94. https://doi.org/10.3390/jof8020094

Note that from the first issue of 2016, this journal uses article numbers instead of page numbers. See further details here.

Article Metrics

Back to TopTop