Mycophagy: A Global Review of Interactions between Invertebrates and Fungi
Abstract
1. Introduction
2. Materials and Methods
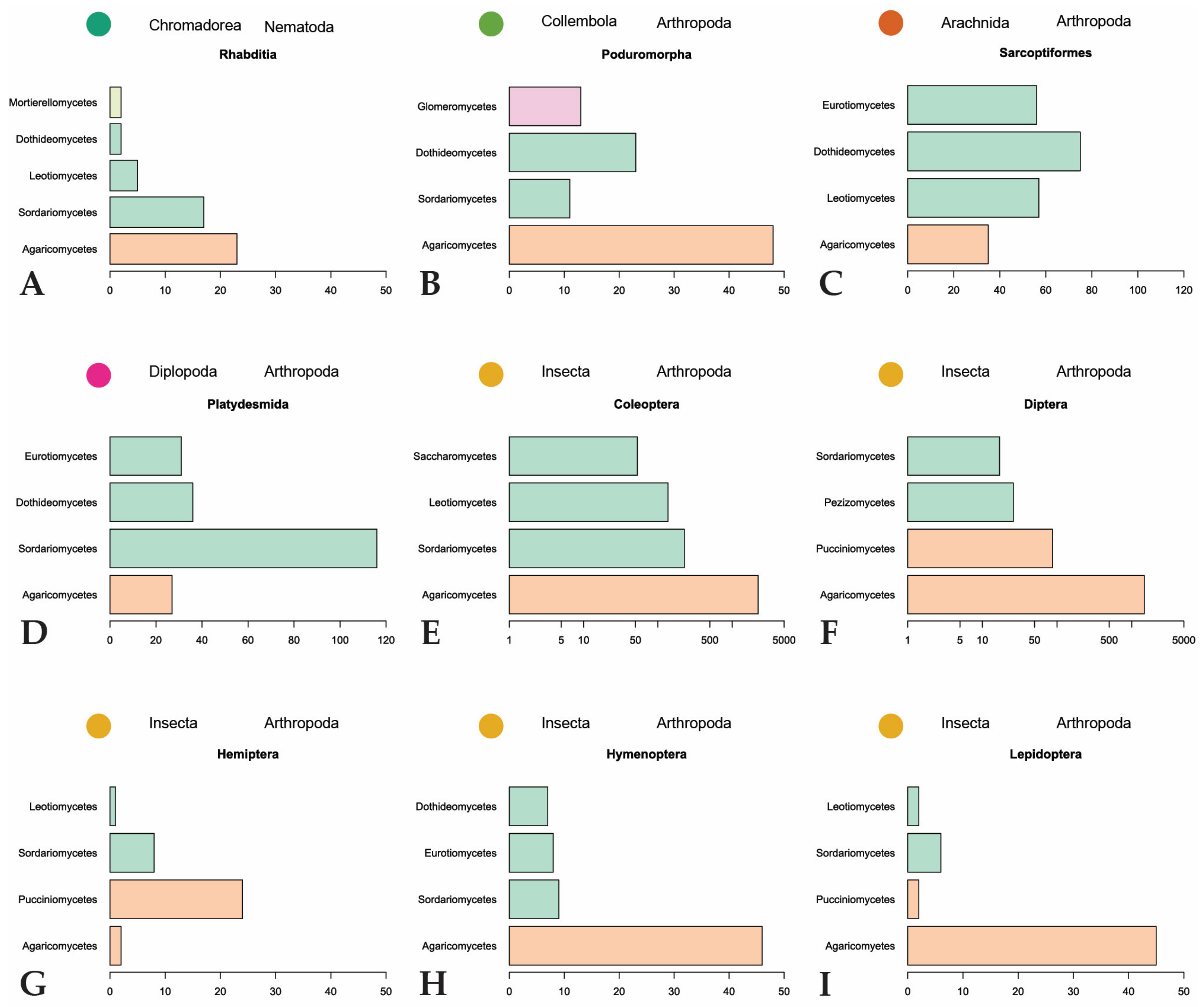
3. Results
4. Discussion
4.1. What Is the Diversity of Fungi Consumed by Invertebrates?
4.2. Why Do Invertebrates Feed on Fungi?
4.2.1. Fungi as Food in the Environment
4.2.2. Fungi as a Microhabitat
4.2.3. Fungal Cultivation
4.3. How Do Mycophagous Interactions Affect Fungal Communities?
4.3.1. Spore Dispersal
4.3.2. Grazing by Invertebrates
4.4. What Is the Role of Secondary Metabolites in Mycophagy?
4.4.1. Deterrents
4.4.2. Attractants
4.5. How Can Mycophagy Be Applied to Agriculture?
5. Conclusions
- − How host-specific are invertebrates that utilize sporocarps as an environment for reproduction and development?
- − What is the impact of spore dispersal on fungal communities?
- − How do spore characteristics such as wall thickness and melanization affect viability after digestion?
- − What is the difference between invertebrates and mammals in their spore dispersal efficacy?
- − Does grazing by invertebrates have a larger effect on fungal communities?
- − How do fungal secondary metabolites impact invertebrate communities?
- − How do fungal secondary metabolites affect the behavior of invertebrates?
- − Can mycophagous invertebrates be used as a suitable replacement for fungicides in agriculture?
Supplementary Materials
Author Contributions
Funding
Institutional Review Board Statement
Informed Consent Statement
Data Availability Statement
Acknowledgments
Conflicts of Interest
References
- Leveau, J.H.J.; Preston, G.M. Bacterial Mycophagy: Definition and Diagnosis of a Unique Bacterial–Fungal Interaction. New Phytol. 2008, 177, 859–876. [Google Scholar] [CrossRef]
- Elliott, T.F.; Truong, C.; Jackson, S.M.; Zúñiga, C.L.; Trappe, J.M.; Vernes, K. Mammalian Mycophagy: A Global Review of Ecosystem Interactions Between Mammals and Fungi. Fungal Syst. Evol. 2022, 9, 99–159. [Google Scholar] [CrossRef]
- Elliott, T. Reptilian Mycophagy: A Global Review of Mutually Beneficial Associations between Reptiles and Macrofungi. Mycosphere 2019, 10, 776–797. [Google Scholar] [CrossRef]
- Elliott, T.F.; Jusino, M.A.; Trappe, J.M.; Lepp, H.; Ballard, G.-A.; Bruhl, J.J.; Vernes, K. A Global Review of the Ecological Significance of Symbiotic Associations between Birds and Fungi. Fungal Divers. 2019, 98, 161–194. [Google Scholar] [CrossRef]
- Biedermann, P.H.W.; Vega, F.E. Ecology and Evolution of Insect–Fungus Mutualisms. Annu. Rev. Entomol. 2020, 65, 431–455. [Google Scholar] [CrossRef]
- Macias, A.M.; Marek, P.E.; Morrissey, E.M.; Brewer, M.S.; Short, D.P.G.; Stauder, C.M.; Wickert, K.L.; Berger, M.C.; Metheny, A.M.; Stajich, J.E.; et al. Diversity and Function of Fungi Associated with the Fungivorous Millipede, Brachycybe lecontii. Fungal Ecol. 2019, 41, 187–197. [Google Scholar] [CrossRef] [PubMed]
- Hernández-Santiago, F.; Díaz-Aguilar, I.; Pérez-Moreno, J.; Tovar-Salinas, J.L. Interactions Between Soil Mesofauna and Edible Ectomycorrhizal Mushrooms. In Mushrooms, Humans and Nature in a Changing World; Springer International Publishing: Cham, Switzerland, 2020; pp. 367–405. [Google Scholar]
- Heath, R.N.; Wingfield, M.J.; Van Wyk, M.; Roux, J. Insect Associates of Ceratocystis albifundus and Patterns of Association in a Native Savanna Ecosystem in South Africa. Environ. Entomol. 2009, 38, 356–364. [Google Scholar] [CrossRef] [PubMed]
- Wingfield, M.J.; Barnes, I.; de Beer, Z.W.; Roux, J.; Wingfield, B.D.; Taerum, S.J. Novel Associations between Ophiostomatoid Fungi, Insects and Tree Hosts: Current Status—Future Prospects. Biol. Invasions 2017, 19, 3215–3228. [Google Scholar] [CrossRef]
- Hubert, J.; Stejskal, V.; Kubátová, A.; Munzbergová, Z.; Váňová, M.; Žd’árková, E. Mites as Selective Fungal Carriers in Stored Grain Habitats. Exp. Appl. Acarol. 2003, 29, 69–87. [Google Scholar] [CrossRef] [PubMed]
- Gracia-Garza, J.A.; Reeleder, R.D.; Paulitz, T.C. Degradation of Sclerotia of Sclerotinia sclerotiorum by Fungus Gnats (Bradysia coprophila) and the Biocontrol Fungi Trichoderma Spp. Soil Biol. Biochem. 1997, 29, 123–129. [Google Scholar] [CrossRef]
- English-Loeb, G.; Norton, A.P.; Gadoury, D.M.; Seem, R.C.; Wilcox, W.F. Control of Powdery Mildew in Wild and Cultivated Grapes by a Tydeid Mite. Biol. Control 1999, 14, 97–103. [Google Scholar] [CrossRef]
- Hamby, K.A.; Hernández, A.; Boundy-Mills, K.; Zalom, F.G. Associations of Yeasts with Spotted-Wing Drosophila (Drosophila suzukii; Diptera: Drosophilidae) in Cherries and Raspberries. Appl. Environ. Microbiol. 2012, 78, 4869–4873. [Google Scholar] [CrossRef]
- Shaw, P.J.A. Fungi, Fungivores, and Fungal Food Webs. In The Fungal Community: Its Organization and Role in the Ecosystem; Marcel Dekker Inc.: New City, NY, USA, 1992; pp. 295–310. [Google Scholar]
- Fogel, R. Insect Mycophagy: A Preliminary Bibliography; U.S. Department of Agriculture: Washington, DC, USA, 1975. [Google Scholar]
- Wheeler, Q.D.; Blackwell, M. Fungus-Insect Relationships: Perspectives in Ecology and Evolution; Columbia University Press: New York, NY, USA, 1984. [Google Scholar]
- Bruns, T.D. Insect Mycophagy in the Boletales: Fungivore Diversity and the Mushroom Habitat. In Fungus-Insect Relationships: Perspectives in Ecology and Evolution; Columbia University Press: New York, NY, USA, 1984; pp. 91–129. [Google Scholar]
- Lacy, R.C. Mycophagy in Drosophilidae (Diptera). In Fungus-Insect Relationships: Perspectives in Ecology and Evolution; Columbia University Press: New York, NY, USA, 1984; pp. 286–301. [Google Scholar]
- Newton Jr., A. F. Mycophagy in the Staphylinoidea. In Fungus-Insect Relationships: Perspectives in Ecology and Evolution; Columbia University Press: New York, NY, USA, 1984; pp. 302–353. [Google Scholar]
- Rawlins, D.E. Mycophagy in Lepidoptera. In Fungus-Insect Relationships; Columbia University Press: New York, NY, USA, 1984; pp. 382–423. [Google Scholar]
- Hanley, R.S.; Goodrich, M.A. Review of Mycophagy, Host Relationships and Behavior in the New World Oxyporinae (Coleoptera: Staphylinidae). Coleopt. Bull. 1995, 49, 267–280. [Google Scholar]
- Sutherland, A.M.; Parrella, M.P. Mycophagy in Coccinellidae: Review and Synthesis. Biol. Control 2009, 51, 284–293. [Google Scholar] [CrossRef]
- Schigel, D.S. Fungivory and Host Associations of Coleoptera: A Bibliography and Review of Research Approaches. Mycology 2012, 3, 258–272. [Google Scholar] [CrossRef]
- Kimura, M.T. Drosophila Survey of Hokkaido, XXXII: A Field Survey of Fungus Preferences of Drosophilid Flies in Sapporo (With 1 Text-Figure and 8 Tables). J. Fac. Sci. Hokkaido Univ. VI 1976, 20, 288–298. [Google Scholar]
- Krivosheina, N.P. Macromycete Fruit Bodies as a Habitat for Dipterans (Insecta, Diptera). Entomol. Rev. 2008, 88, 778–792. [Google Scholar] [CrossRef]
- Ševčík, J. Czech and Slovak Diptera Associated with Fungi; Slezské Zemské Museum: Opava, Czech Republic, 2010. [Google Scholar]
- Disney, R.H.L.; Nitta, M.; Kobayashi, M.; Tuno, N. New Records of Megaselia (Diptera: Phoridae) Reared from Fungus Sporophores in Japan, Including Five New Species. Appl. Entomol. Zool. 2014, 49, 541–552. [Google Scholar] [CrossRef]
- Valer, F.B.; Bernardi, E.; Mendes, M.F.; Blauth, M.L.; Gottschalk, M.S. Diversity and Associations between Drosophilidae (Diptera) Species and Basidiomycetes in a Neotropical Forest. An. Acad. Bras. Ciênc. 2016, 88, 705–718. [Google Scholar] [CrossRef]
- Jonsell, M.; Nordlander, G.; Jonsson, M. Colonization Patterns of Insects Breeding in Wood-Decaying Fungi. J. Insect Conserv. 1999, 3, 145–161. [Google Scholar] [CrossRef]
- Jonsell, M.; Nordlander, G.; Ehnström, B. Substrate Associations of Insects Breeding in Fruiting Bodies of Wood-Decaying Fungi. Ecol. Bull. 2001, 49, 173–194. [Google Scholar]
- Jonsell, M.; González Alonso, C.; Forshage, M.; van Achterberg, C.; Komonen, A. Structure of Insect Community in the Fungus Inonotus radiatus in Riparian Boreal Forests. J. Nat. Hist. 2016, 50, 1613–1631. [Google Scholar] [CrossRef]
- Jonsell, M.; Nordlander, G. Insects in Polypore Fungi as Indicator Species: A Comparison between Forest Sites Differing in Amounts and Continuity of Dead Wood. Forest Ecol. Manag. 2002, 157, 101–118. [Google Scholar] [CrossRef]
- Jonsell, M.; Nordlander, G. Host Selection Patterns in Insects Breeding in Bracket Fungi. Ecol. Entomol. 2004, 29, 697–705. [Google Scholar] [CrossRef]
- Jonsson, M.; Nordlander, G. Insect Colonisation of Fruiting Bodies of the Wood-Decaying Fungus Fomitopsis pinicola at Different Distances from an Old-Growth Forest. Biodivers. Conserv. 2006, 15, 295–309. [Google Scholar] [CrossRef]
- Volf, M.; Segar, S.T.; Miller, S.E.; Isua, B.; Sisol, M.; Aubona, G.; Šimek, P.; Moos, M.; Laitila, J.; Kim, J.; et al. Community Structure of Insect Herbivores Is Driven by Conservatism, Escalation and Divergence of Defensive Traits in Ficus. Ecol. Lett. 2018, 21, 83–92. [Google Scholar] [CrossRef] [PubMed]
- Masters, G.J.; Brown, V.K.; Gange, A.C. Plant Mediated Interactions between Above- and Below-Ground Insect Herbivores. Oikos 1993, 66, 148. [Google Scholar] [CrossRef]
- Moreira, X.; Abdala-Roberts, L.; Rasmann, S.; Castagneyrol, B.; Mooney, K.A. Plant Diversity Effects on Insect Herbivores and Their Natural Enemies: Current Thinking, Recent Findings, and Future Directions. Curr. Opin. Insect Sci. 2016, 14, 1–7. [Google Scholar] [CrossRef]
- Malloch, D.; Blackwell, M. Dispersal of Fungal Diasporas. In The Fungal Community: Its Organization and Role in the Ecosystem; CRC press: Boca Raton, FL, USA, 1992; pp. 147–171. [Google Scholar]
- Kobayashi, M.; Kitabayashi, K.; Tuno, N. Spore Dissemination by Mycophagous Adult Drosophilids. Ecol. Res. 2017, 32, 621–626. [Google Scholar] [CrossRef]
- Kitabayashi, K.; Tuno, N. Soil Burrowing Muscina angustifrons (Diptera: Muscidae) Larvae Excrete Spores Capable of Forming Mycorrhizae Underground. Mycoscience 2018, 59, 252–258. [Google Scholar] [CrossRef]
- Sánchez-Peña, S.R. New View on Origin of Attine Ant–Fungus Mutualism: Exploitation of a Preexisting Insect–Fungus Symbiosis (Hymenoptera: Formicidae). Ann. Entomol. Soc. Am. 2005, 98, 151–164. [Google Scholar] [CrossRef]
- Kirkendall, L.R.; Biedermann, P.H.W.; Jordal, B.H. Evolution and Diversity of Bark and Ambrosia Beetles. In Bark Beetles; Elsevier: Amsterdam, The Netherlands, 2015; pp. 85–156. [Google Scholar]
- Chouvenc, T.; Šobotník, J.; Engel, M.S.; Bourguignon, T. Termite Evolution: Mutualistic Associations, Key Innovations, and the Rise of Termitidae. Cell. Mol. Life Sci. 2021, 78, 2749–2769. [Google Scholar] [CrossRef] [PubMed]
- Rohlfs, M.; Albert, M.; Keller, N.P.; Kempken, F. Secondary Chemicals Protect Mould from Fungivory. Biol. Lett. 2007, 3, 523–525. [Google Scholar] [CrossRef] [PubMed]
- Böllmann, J.; Elmer, M.; Wöllecke, J.; Raidl, S.; Hüttl, R.F. Defensive Strategies of Soil Fungi to Prevent Grazing by Folsomia candida (Collembola). Pedobiologia 2010, 53, 107–114. [Google Scholar] [CrossRef]
- Caballero Ortiz, S.; Trienens, M.; Rohlfs, M. Induced Fungal Resistance to Insect Grazing: Reciprocal Fitness Consequences and Fungal Gene Expression in the Drosophila—Aspergillus Model System. PLoS ONE 2013, 8, e74951. [Google Scholar] [CrossRef]
- Hutchison, L.J.; Madzia, S.E.; Barron, G.L. The Presence and Antifeedant Function of Toxin-Producing Secretory Cells on Hyphae of the Lawn-Inhabiting Agaric Conocybe lactea. Can. J. Bot. 1996, 74, 431–434. [Google Scholar] [CrossRef]
- McGonigle, T.P. The Significance of Grazing on Fungi in Nutrient Cycling. Can. J. Bot. 1995, 73, 1370–1376. [Google Scholar] [CrossRef]
- Bonkowski, M.; Cheng, W.; Griffiths, B.S.; Alphei, J.; Scheu, S. Microbial-Faunal Interactions in the Rhizosphere and Effects on Plant Growth. Eur. J. Soil Biol. 2000, 36, 135–147. [Google Scholar] [CrossRef]
- A’Bear, A.D.; Jones, T.H.; Boddy, L. Size Matters: What Have We Learnt from Microcosm Studies of Decomposer Fungus–Invertebrate Interactions? Soil Biol. Biochem. 2014, 78, 274–283. [Google Scholar] [CrossRef]
- Mueller, G.M.; Schmit, J.P. Fungal Biodiversity: What Do We Know? What Can We Predict? Biodivers. Conserv. 2007, 16, 1–5. [Google Scholar] [CrossRef]
- Bhunjun, C.S.; Niskanen, T.; Suwannarach, N.; Wannathes, N.; Chen, Y.-J.; McKenzie, E.H.; Maharachchikumbura, S.S.; Buyck, B.; Zhao, C.-L.; Fan, Y.-G. The Numbers of Fungi: Are the Most Speciose Genera Truly Diverse? Fungal Divers. 2022, 114, 387–462. [Google Scholar] [CrossRef]
- Cavalier-Smith, T. The Origin of Fungi and Pseudofungi. In Proceedings of the Evolutionary Biology of the Fungi, British Mycological Society Symposium; Cambridge University Press: Cambridge, UK, 1987; pp. 339–353. [Google Scholar]
- Hanley, R.S.; Setsuda, K. Immature Stages of Oxyporus japonicus Sharp (Coleoptera: Staphylinidae: Oxyporinae), with Notes on Patterns of Host Use. Pan-Pac. Entomol. 1999, 75, 94–102. [Google Scholar]
- Harrington, T.C. Ecology and Evolution of Mycophagous Bark Beetles and Their Fungal Partners. In Insect-Fungal Associations; Oxford University Press: Oxford, UK, 2005; pp. 257–291. [Google Scholar]
- Henk, D.A.; Farr, D.F.; Aime, M.C. Mycodiplosis (Diptera) Infestation of Rust Fungi Is Frequent, Wide Spread and Possibly Host Specific. Fungal Ecol. 2011, 4, 284–289. [Google Scholar] [CrossRef]
- Leschen, R.A.B. Pallodes Austrinus, a New Species of Nitidulidae (Nitidulinae) with Discussions on Pallodes Mycophagy. J. N. Y. Entomol. Soc. 1988, 96, 452–458. [Google Scholar]
- Index Fungorum. Search Index Fungorum. Available online: http://www.indexfungorum.org/Names/Names.asp (accessed on 25 December 2022).
- Global Biodiversity Information Facility. GBIF Home Page. Available online: https://www.gbif.org/ (accessed on 25 December 2022).
- Wickham, H. Ggplot2: Elegant Graphics for Data Analysis by Wickham, H. Biometrics 2011, 67, 678–679. [Google Scholar]
- Hibbett, D.S.; Bauer, R.; Binder, M.; Giachini, A.J.; Hosaka, K.; Justo, A.; Larsson, E.; Larsson, K.H.; Lawrey, J.D.; Miettinen, O.; et al. 14 Agaricomycetes. In Systematics and Evolution; Springer: Berlin/Heidelberg, Germany, 2014; pp. 373–429. [Google Scholar]
- Økland, B. Insect Fauna Compared between Six Polypore Species in a Southern Norwegian Spruce Forest. Fauna Norv. Ser. B 1995, 42, 21–26. [Google Scholar]
- Põldmaa, K.; Jürgenstein, S.; Bahram, M.; Teder, T.; Kurina, O. Host Diversity and Trophic Status as Determinants of Species Richness and Community Composition of Fungus Gnats. Basic Appl. Ecol. 2015, 16, 46–53. [Google Scholar] [CrossRef]
- van Klinken, R.D.; Walter, G.H. Larval Hosts of Australian Drosophilidae (Diptera): A Field Survey in Subtropical and Tropical Australia. Aust. J. Entomol. 2001, 40, 163–179. [Google Scholar] [CrossRef]
- Yamashita, S.; Hijii, N. The Role of Fungal Taxa and Developmental Stage of Mushrooms in Determining the Composition of the Mycophagous Insect Community in a Japanese Forest. Eur. J. Entomol. 2007, 104, 225–233. [Google Scholar] [CrossRef]
- Komonen, A. Structure of Insect Communities Inhabiting Old-Growth Forest Specialist Bracket Fungi: Insect Communities in Old-Growth Forest Fungi. Ecol. Entomol. 2001, 26, 63–75. [Google Scholar] [CrossRef]
- Graf-Peters, L.V.; Lopes-Andrade, C.; da Silveira, R.M.B.; de Moura, L.A.; Reck, M.A.; de Sá, F.N. Host Fungi and Feeding Habits of Ciidae (Coleoptera) in a Subtropical Rainforest in Southern Brazil, with an Overview of Host Fungi of Neotropical Ciids. Fla. Entomol. 2011, 94, 553–566. [Google Scholar] [CrossRef]
- Guevara, R.; Rayner, A.D.M.; Reynolds, S.E. Effects of Fungivory by Two Specialist Ciid Beetles (Octotemnus glabriculus and Cis boleti) on the Reproductive Fitness of Their Host Fungus, Coriolus versicolor: Effects of Fungivory on Fungal Fitness. New Phytol. 2000, 145, 137–144. [Google Scholar] [CrossRef]
- Paviour-Smith, K. The Fruiting-Bodies of Macrofungi as Habitats for Beetles of the Family Ciidae (Coleoptera). Oikos 1960, 11, 43. [Google Scholar] [CrossRef]
- Graf, L.V.; Barbieri, F.; Sperb, E.; Soares Rivaldo, D.; de Moura, L.A.; da Silveira, R.M.B.; Reck, M.A.; Nogueira-de-Sá, F. Factors Affecting the Structure of Coleoptera Assemblages on Bracket Fungi (Basidiomycota) in a Brazilian Forest. Biotropica 2018, 50, 357–365. [Google Scholar] [CrossRef]
- Epps, M.J.; Arnold, A.E. Diversity, Abundance and Community Network Structure in Sporocarp-Associated Beetle Communities of the Central Appalachian Mountains. Mycologia 2010, 102, 785–802. [Google Scholar] [CrossRef] [PubMed]
- Carvalho, J. Neotropical Miridae, LXXIV: Two New Genera of Cylapinae from Brazil (Hemiptera). Proc. Iowa Acad. Sci. 1954, 61, 504–510. [Google Scholar]
- Kim, J.; Lim, J.; Jung, S. A Taxonomic Review of the Fungal-Inhabiting Plant Bugs (Hemiptera: Heteroptera: Miridae: Cylapinae) from the Korean Peninsula. J. Asia-Pac. Biodivers. 2019, 12, 249–256. [Google Scholar] [CrossRef]
- Nuhn, M.E. Molecular Ecology of Boletinellus merulioides and Systematics of the Boletineae. Ph.D. Thesis, Clark University, Worcester, MA, USA, 2016. [Google Scholar]
- Worthen, W.B. Slugs (Arion Spp.) Facilitate Mycophagous Drosophilids in Laboratory and Field Experiments. Oikos 1988, 53, 161. [Google Scholar] [CrossRef]
- Guedegbe, H.J.; Miambi, E.; Pando, A.; Roman, J.; Houngnandan, P.; Rouland-Lefevre, C. Occurrence of Fungi in Combs of Fungus-Growing Termites (Isoptera: Termitidae, Macrotermitinae). Mycol. Res. 2009, 113, 1039–1045. [Google Scholar] [CrossRef]
- Remén, C.; Fransson, P.; Persson, T. Population Responses of Oribatids and Enchytraeids to Ectomycorrhizal and Saprotrophic Fungi in Plant–Soil Microcosms. Soil Biol. Biochem. 2010, 42, 978–985. [Google Scholar] [CrossRef]
- Sulzbacher, M.A.; Grebenc, T.; Köhler, A.; Antoniolli, Z.I.; Giachini, A.J.; Baseia, I.G. Notes on Mycophagy of Descomyces albus (Basidiomycota) in Southern Brazil. Mycosphere 2015, 6, 620–629. [Google Scholar] [CrossRef]
- Anslan, S.; Bahram, M.; Tedersoo, L. Temporal Changes in Fungal Communities Associated with Guts and Appendages of Collembola as Based on Culturing and High-Throughput Sequencing. Soil Biol. Biochem. 2016, 96, 152–159. [Google Scholar] [CrossRef]
- Maharachchikumbura, S.S.N.; Chen, Y.; Ariyawansa, H.A.; Hyde, K.D.; Haelewaters, D.; Perera, R.H.; Samarakoon, M.C.; Wanasinghe, D.N.; Bustamante, D.E.; Liu, J.-K.; et al. Integrative Approaches for Species Delimitation in Ascomycota. Fungal Divers. 2021, 109, 155–179. [Google Scholar] [CrossRef]
- Maharachchikumbura, S.S.N.; Hyde, K.D.; Jones, E.B.G.; McKenzie, E.H.C.; Bhat, J.D.; Dayarathne, M.C.; Huang, S.-K.; Norphanphoun, C.; Senanayake, I.C.; Perera, R.H.; et al. Families of Sordariomycetes. Fungal Divers. 2016, 79, 1–317. [Google Scholar] [CrossRef]
- Farrell, B.D.; Sequeira, A.S.; O’Meara, B.C.; Normark, B.B.; Chung, J.H.; Jordal, B.H. The Evolution of Agriculture in Beetles (Curculionidae: Scolytinae and Platypodinae). Evolution 2001, 55, 2011–2027. [Google Scholar] [CrossRef]
- Harrington, T.C.; Fraedrich, S.W. Quantification of Propagules of the Laurel Wilt Fungus and Other Mycangial Fungi from the Redbay Ambrosia Beetle, Xyleborus glabratus. Phytopathology 2010, 100, 1118–1123. [Google Scholar] [CrossRef]
- Ploetz, R.C.; Hulcr, J.; Wingfield, M.J.; de Beer, Z.W. Destructive Tree Diseases Associated with Ambrosia and Bark Beetles: Black Swan Events in Tree Pathology? Plant Dis. 2013, 97, 856–872. [Google Scholar] [CrossRef]
- Moller, W.J.; DeVay, D.E. Insect Transmission of Ceratocystis fimbriata in Deciduous Fruit Orchards. Phytopathology 1968, 58, 1499–1508. [Google Scholar]
- Visser, S.; Whittaker, J.B. Feeding Preferences for Certain Litter Fungi by Onychiurus subtenuis (Collembola). Oikos 1977, 29, 320. [Google Scholar] [CrossRef]
- Hiol Hiol, F.; Dixon, R.K.; Curl, E.A. The Feeding Preference of Mycophagous Collembola Varies with the Ectomycorrhizal Symbiont. Mycorrhiza 1994, 5, 99–103. [Google Scholar] [CrossRef]
- Bonfante, P.; Venice, F. Mucoromycota: Going to the Roots of Plant-Interacting Fungi. Fungal Biol. Rev. 2020, 34, 100–113. [Google Scholar] [CrossRef]
- Redecker, D.; Schüßler, A. Glomeromycota. In Systematics and Evolution; Springer: Berlin/Heidelberg, Germany, 2014; pp. 251–269. [Google Scholar] [CrossRef]
- Wijayawardene, N.N.; Pawłowska, J.; Letcher, P.M.; Kirk, P.M.; Humber, R.A.; Schüßler, A.; Wrzosek, M.; Muszewska, A.; Okrasińska, A.; Istel, Ł.; et al. Notes for Genera: Basal Clades of Fungi (Including Aphelidiomycota, Basidiobolomycota, Blastocladiomycota, Calcarisporiellomycota, Caulochytriomycota, Chytridiomycota, Entomophthoromycota, Glomeromycota, Kickxellomycota, Monoblepharomycota, Mortierellomycota, Mucoromycota, Neocallimastigomycota, Olpidiomycota, Rozellomycota and Zoopagomycota). Fungal Divers. 2018, 92, 43–129. [Google Scholar] [CrossRef]
- Chen, Q.-L.; Hu, H.-W.; Zhu, D.; Zhu, Y.-G.; He, J.-Z. Calling for Comprehensive Explorations between Soil Invertebrates and Arbuscular Mycorrhizas. Trends Plant Sci. 2022, 27, 793–801. [Google Scholar] [CrossRef] [PubMed]
- Wallis, I.R.; Claridge, A.W.; Trappe, J.M. Nitrogen Content, Amino Acid Composition and Digestibility of Fungi from a Nutritional Perspective in Animal Mycophagy. Fungal Biol. 2012, 116, 590–602. [Google Scholar] [CrossRef] [PubMed]
- Gessner, M.O. Ergosterol as a Measure of Fungal Biomass. In Methods to Study Litter Decomposition; Springer International Publishing: Cham, Switzerland, 2020; pp. 247–255. [Google Scholar] [CrossRef]
- Jaenike, J. Host Selection by Mycophagous Drosophila. Ecology 1978, 59, 1286–1288. [Google Scholar] [CrossRef]
- Koukol, O.; Mourek, J.; Janovský, Z.; Černá, K. Do Oribatid Mites (Acari: Oribatida) Show a Higher Preference for Ubiquitous vs. Specialized Saprotrophic Fungi from Pine Litter? Soil Biol. Biochem. 2009, 41, 1124–1131. [Google Scholar] [CrossRef]
- Heděnec, P.; Radochová, P.; Nováková, A.; Kaneda, S.; Frouz, J. Grazing Preference and Utilization of Soil Fungi by Folsomia candida (Isotomidae: Collembola). Eur. J. Soil Biol. 2013, 55, 66–70. [Google Scholar] [CrossRef]
- Smrž, J.; Soukalová, H.; Čatská, V.; Hubert, J. Feeding Patterns of Tyrophagus putrescentiae (Sarcoptiformes: Acaridae) Indicate that Mycophagy is Not a Single and Homogeneous Category of Nutritional Biology. J Insect Sci. 2016, 16, 94. [Google Scholar] [CrossRef]
- Hanski, I. Fungivory: Fungi, Insects and Ecology. In Insect-fungus Interactions; Elsevier: Amsterdam, The Netherlands, 1989; pp. 25–68. [Google Scholar]
- Tuno, N.; Nitta, M.; Kobayashi, M.; Kitabayashi, K. Diversity and Host Associations of Dipteran Insects Exploiting Fungal Fruiting Bodies in Hokuriku, Central Japan. Entomol. Sci. 2019, 22, 161–166. [Google Scholar] [CrossRef]
- Bärlocher, F.; Newell, S.Y.; Arsuffi, T.L. Digestion of Spartina alterniflora Loisel Material with and without Fungal Constituents by the Periwinkle Littorina irrorata Say (Mollusca: Gastropoda). J. Exp. Mar. Biol. Ecol. 1989, 130, 45–53. [Google Scholar] [CrossRef]
- Graça, M.A.; Newell, S.Y.; Kneib, R.T. Grazing Rates of Organic Matter and Living Fungal Biomass of Decaying Spartina alterniflora by Three Species of Salt-Marsh Invertebrates. Mar. Biol. 2000, 136, 281–289. [Google Scholar] [CrossRef]
- Hågvar, S.; Steen, R. Succession of Beetles (Genus Cis) and Oribatid Mites (Genus Carabodes) in Dead Sporocarps of the Red-Banded Polypore Fungus Fomitopsis pinicola. Scand. J. For. Res. 2013, 28, 436–444. [Google Scholar] [CrossRef]
- Yamashita, S.; Ando, K.; Hoshina, H.; Ito, N.; Katayama, Y.; Kawanabe, M.; Maruyama, M.; Itioka, T. Food Web Structure of the Fungivorous Insect Community on Bracket Fungi in a Bornean Tropical Rain Forest: Bornean Fungivorous Insect Food Webs. Ecol. Entomol. 2015, 40, 390–400. [Google Scholar] [CrossRef]
- Koskinen, J.; Roslin, T.; Nyman, T.; Abrego, N.; Michell, C.; Vesterinen, E.J. Finding Flies in the Mushroom Soup: Host Specificity of Fungus-associated Communities Revisited with a Novel Molecular Method. Mol. Ecol. 2019, 28, 190–202. [Google Scholar] [CrossRef] [PubMed]
- Lunde, L.F.; Birkemoe, T.; Kauserud, H.; Boddy, L.; Jacobsen, R.M.; Morgado, L.; Sverdrup-Thygeson, A.; Maurice, S. DNA Metabarcoding Reveals Host-Specific Communities of Arthropods Residing in Fungal Fruit Bodies. Proc. R. Soc. B 2022, 289, 20212622. [Google Scholar] [CrossRef]
- Alberdi, A.; Aizpurua, O.; Bohmann, K.; Gopalakrishnan, S.; Lynggaard, C.; Nielsen, M.; Gilbert, M.T.P. Promises and Pitfalls of Using High-throughput Sequencing for Diet Analysis. Mol. Ecol. Resour. 2019, 19, 327–348. [Google Scholar] [CrossRef]
- Koskinen, J.S.; Abrego, N.; Vesterinen, E.J.; Schulz, T.; Roslin, T.; Nyman, T. Imprints of Latitude, Host Taxon, and Decay Stage on Fungus-associated Arthropod Communities. Ecol. Monogr. 2022, 92, e1516. [Google Scholar] [CrossRef]
- Roslin, T.; Traugott, M.; Jonsson, M.; Stone, G.N.; Creer, S.; Symondson, W.O.C. Introduction: Special Issue on Species Interactions, Ecological Networks and Community Dynamics—Untangling the Entangled Bank Using Molecular Techniques. Mol. Ecol. 2019, 28, 157–164. [Google Scholar] [CrossRef]
- Ma, Y.; Gao, W.; Zhang, F.; Zhu, X.; Kong, W.; Niu, S.; Gao, K.; Yang, H. Community Composition and Trophic Mode Diversity of Fungi Associated with Fruiting Body of Medicinal Sanghuangporus vaninii. BMC Microbiol. 2022, 22, 251. [Google Scholar] [CrossRef]
- Hulcr, J.; Stelinski, L.L. The Ambrosia Symbiosis: From Evolutionary Ecology to Practical Management. Annu. Rev. Entomol. 2017, 62, 285–303. [Google Scholar] [CrossRef]
- Aanen, D.K.; Boomsma, J.J. Evolutionary Dynamics of the Mutualistic Symbiosis between Fungus-Growing Termites and Termitomyces Fungi. In Insect-Fungal Associations: Ecology and Evolution; Oxford University Press: Oxford, UK, 2005; pp. 191–210. [Google Scholar]
- Mueller, U.G.; Rehner, S.A.; Schultz, T.R. The Evolution of Agriculture in Ants. Science 1998, 281, 2034–2038. [Google Scholar] [CrossRef]
- Aanen, D.K.; Boomsma, J.J. The Evolutionary Origin and Maintenance of the Mutualistic Symbiosis between Termites and Fungi. In Insect Symbiosis; CRC Press: Boca Raton, FL, USA, 2006; Volume 2, pp. 101–118. [Google Scholar] [CrossRef]
- Mueller, U.G.; Schultz, T.R.; Currie, C.R.; Malloch, D. The Origin of the Attine Ant-Fungus Mutualism. Q. Rev. Biol. 2001, 76, 169–197. [Google Scholar] [CrossRef]
- Mueller, U.G.; Kardish, M.R.; Ishak, H.D.; Wright, A.M.; Solomon, S.E.; Bruschi, S.M.; Carlson, A.L.; Bacci, M. Phylogenetic Patterns of Ant–Fungus Associations Indicate That Farming Strategies, Not Only a Superior Fungal Cultivar, Explain the Ecological Success of Leafcutter Ants. Mol. Ecol. 2018, 27, 2414–2434. [Google Scholar] [CrossRef]
- Aanen, D.K. As You Reap, so Shall You Sow: Coupling of Harvesting and Inoculating Stabilizes the Mutualism between Termites and Fungi. Biol. Lett. 2006, 2, 209–212. [Google Scholar] [CrossRef]
- Dighton, J.; White, J.F. The Fungal Community; CRC Press: Boca Raton, FL, USA, 2017. [Google Scholar] [CrossRef]
- Harris, K.K.; Boerner, R.E.J. Effects of Belowground Grazing by Collembola on Growth, Mycorrhizal Infection, and P Uptake of Geranium Robertianum. Plant Soil 1990, 129, 203–210. [Google Scholar] [CrossRef]
- Johnson, S.N.; Douglas, A.E.; Woodward, S.; Hartley, S.E. Microbial Impacts on Plant-Herbivore Interactions: The Indirect Effects of a Birch Pathogen on a Birch Aphid. Oecologia 2003, 134, 388–396. [Google Scholar] [CrossRef] [PubMed]
- Johnson, D.; Krsek, M.; Wellington, E.M.H.; Stott, A.W.; Cole, L.; Bardgett, R.D.; Read, D.J.; Leake, J.R. Soil Invertebrates Disrupt Carbon Flow Through Fungal Networks. Science 2005, 309, 1047. [Google Scholar] [CrossRef]
- Biere, A.; Bennett, A.E. Three-way Interactions between Plants, Microbes and Insects. Funct. Ecol. 2013, 27, 567–573. [Google Scholar] [CrossRef]
- Lilleskov, E.A.; Bruns, T.D. Spore Dispersal of a Resupinate Ectomycorrhizal Fungus, Tomentella sublilacina, via Soil Food Webs. Mycologia 2005, 97, 762–769. [Google Scholar] [CrossRef] [PubMed]
- Vašutová, M.; Mleczko, P.; López-García, A.; Maček, I.; Boros, G.; Ševčík, J.; Fujii, S.; Hackenberger, D.; Tuf, I.H.; Hornung, E.; et al. Taxi Drivers: The Role of Animals in Transporting Mycorrhizal Fungi. Mycorrhiza 2019, 29, 413–434. [Google Scholar] [CrossRef]
- Fogel, R.; Peck, S.B. Ecological Studies of Hypogeous Fungi. I. Coleoptera Associated with Sporocarps. Mycologia 1975, 67, 741–747. [Google Scholar] [CrossRef]
- Ori, F.; Menotta, M.; Leonardi, M.; Amicucci, A.; Zambonelli, A.; Covès, H.; Selosse, M.-A.; Schneider-Maunoury, L.; Pacioni, G.; Iotti, M. Effect of Slug Mycophagy on Tuber aestivum Spores. Fungal Biol. 2021, 125, 796–805. [Google Scholar] [CrossRef] [PubMed]
- Kitabayashi, K.; Kitamura, S.; Tuno, N. Fungal Spore Transport by Omnivorous Mycophagous Slug in Temperate Forest. Ecol. Evol. 2022, 12, e8565. [Google Scholar] [CrossRef] [PubMed]
- Thomas, P.W.; Thomas, H.W. Mycorrhizal Fungi and Invertebrates: Impacts on Tuber melanosporum Ascospore Dispersal and Lifecycle by Isopod Mycophagy. Food Webs 2022, 33, e00260. [Google Scholar] [CrossRef]
- Koch, R.A.; Aime, M.C. Population Structure of Guyanagaster necrorhizus Supports Termite Dispersal for This Enigmatic Fungus. Mol. Ecol. 2018, 27, 2667–2679. [Google Scholar] [CrossRef]
- Love, D.E. The Activities of Various Diptera at the Stinkhorn Phallus impudicus Pers. Ir. Nat. J. 1976, 18, 301–303. [Google Scholar]
- James, R.L.; Dumroese, R.K.; Wenny, D.L. Botrytis cinerea Carried by Adult Fungus Gnats (Diptera: Sciaridae) in Container Nurseries. Tree Plant. Notes 1995, 46, 48–53. [Google Scholar]
- Okada, H.; Sueyoshi, M.; Suetsugu, K. Consumption of the Ectomycorrhizal Fungi Rhizopogon roseolus and R. luteolus by Chamaesyrphus japonicus (Diptera: Syrphidae). Entomol. Sci. 2021, 24, 123–126. [Google Scholar] [CrossRef]
- Mazin, M.; Harvey, R.; Andreadis, S.; Pecchia, J.; Cloonan, K.; Rajotte, E.G. Mushroom Sciarid Fly, Lycoriella ingenua (Diptera: Sciaridae) Adults and Larvae Vector Mushroom Green Mold (Trichoderma aggressivum Ft. aggressivum) Spores. Appl. Entomol. Zool. 2019, 54, 369–376. [Google Scholar] [CrossRef]
- Claridge, A.W.; May, T.W. Mycophagy among Australian Mammals. Austral. Ecol. 1994, 19, 251–275. [Google Scholar] [CrossRef]
- Ashkannejhad, S.; Horton, T.R. Ectomycorrhizal Ecology under Primary Succession on Coastal Sand Dunes: Interactions Involving Pinus contorta, Suilloid Fungi and Deer. New Phytol. 2006, 169, 345–354. [Google Scholar] [CrossRef] [PubMed]
- Bruns, T.D.; Peay, K.G.; Boynton, P.J.; Grubisha, L.C.; Hynson, N.A.; Nguyen, N.H.; Rosenstock, N.P. Inoculum Potential of Rhizopogon Spores Increases with Time over the First 4 Yr of a 99-yr Spore Burial Experiment. New Phytol. 2009, 181, 463–470. [Google Scholar] [CrossRef] [PubMed]
- Sarwar, S.; Saba, M.; Khalid, A.N.; Dentinger, B.M. Suillus marginielevatus, a New Species and S. triacicularis, a New Record from Western Himalaya, Pakistan. Phytotaxa 2015, 203, 169. [Google Scholar] [CrossRef]
- Miyamoto, Y.; Maximov, T.C.; Sugimoto, A.; Nara, K. Discovery of Rhizopogon Associated with Larix from Northeastern Siberia: Insights into Host Shift of Ectomycorrhizal Fungi. Mycoscience 2019, 60, 274–280. [Google Scholar] [CrossRef]
- Leyronas, C.; Raynal, G. Role of Fungal Ascospores in the Infection of Orchardgrass (Dactylis glomerata) by Epichloë typhina Agent if Choke Disease. J. Plant Pathol. 2008, 90, 15–21. [Google Scholar]
- Bultman, T.L.; Jr, J.F.W.; Bowdish, T.I.; Welch, A.M. A New Kind of Mutualism between Fungi and Insects. Mycol. Res. 1998, 102, 235–238. [Google Scholar] [CrossRef]
- Hoffman, G.D.; Rao, S. Association of Slugs with the Fungal Pathogen Epichloë typhina (Ascomycotina: Clavicipitaceae): Potential Role in Stroma Fertilisation and Disease Spread: Slug Consumption of Epichloë Stromata. Ann. Appl. Biol. 2013, 162, 324–334. [Google Scholar] [CrossRef]
- Bultman, T.L.; Mathews, P.L. Mycophagy by a Millipede and Its Possible Impact on an Insect-Fungus Mutualism. Oikos 1996, 75, 67. [Google Scholar] [CrossRef]
- Six, D.L. Ecological and Evolutionary Determinants of Bark Beetle —Fungus Symbioses. Insects 2012, 3, 339–366. [Google Scholar] [CrossRef]
- Joseph, R.; Keyhani, N.O. Fungal Mutualisms and Pathosystems: Life and Death in the Ambrosia Beetle Mycangia. Appl. Microbiol. Biotechnol. 2021, 105, 3393–3410. [Google Scholar] [CrossRef]
- Harrington, T.C.; Fraedrich, S.W.; Aghayeva, D.N. Raffaelea lauricola, a New Ambrosia Beetle Symbiont and Pathogen on the Lauracea. Mycotaxon 2008, 104, 399–404. [Google Scholar]
- Jiang, Z.-R.; Morita, T.; Jikumaru, S.; Kuroda, K.; Masuya, H.; Kajimura, H. The Role of Mycangial Fungi Associated with Ambrosia Beetles (Euwallacea interjectus) in Fig Wilt Disease: Dual Inoculation of Fusarium kuroshium and Ceratocystis ficicola Can Bring Fig Saplings to Early Symptom Development. Microorganisms 2022, 10, 1912. [Google Scholar] [CrossRef]
- Slippers, B.; Coutinho, T.A.; Wingfield, B.D.; Wingfield, M.J. A Review of the Genus Amylostereum and Its Association with Woodwasps. S. Afr. J. Sci. 2003, 99, 70–74. [Google Scholar]
- Pažoutová, S.; Šrůtka, P.; Holuša, J.; Chudíčková, M.; Kolařík, M. Diversity of Xylariaceous Symbionts in Xiphydria Woodwasps: Role of Vector and a Host Tree. Fungal Ecol. 2010, 3, 392–401. [Google Scholar] [CrossRef]
- Kadowaki, K.; Leschen, R.A.B.; Beggs, J.R. No Evidence for a Ganoderma Spore Dispersal Mutualism in an Obligate Spore-Feeding Beetle Zearagytodes maculifer. Fungal Biol. 2011, 115, 768–774. [Google Scholar] [CrossRef] [PubMed]
- Crowther, T.W.; Boddy, L.; Jones, T.H. Outcomes of Fungal Interactions Are Determined by Soil Invertebrate Grazers: Grazers Alter Fungal Community. Ecol. Lett. 2011, 14, 1134–1142. [Google Scholar] [CrossRef]
- Boddy, L. Interspecific Combative Interactions between Wood-Decaying Basidiomycetes. FEMS Microbiol. Ecol. 2000, 31, 185–194. [Google Scholar] [CrossRef]
- A′Bear, A.D.; Murray, W.; Webb, R.; Boddy, L.; Jones, T.H. Contrasting Effects of Elevated Temperature and Invertebrate Grazing Regulate Multispecies Interactions between Decomposer Fungi. PLoS ONE 2013, 8, e77610. [Google Scholar] [CrossRef]
- Crowther, T.W.; Stanton, D.W.G.; Thomas, S.M.; A’Bear, A.D.; Hiscox, J.; Jones, T.H.; Voříšková, J.; Baldrian, P.; Boddy, L. Top-down Control of Soil Fungal Community Composition by a Globally Distributed Keystone Consumer. Ecology 2013, 94, 2518–2528. [Google Scholar] [CrossRef]
- Janoušková, M.; Kohout, P.; Moradi, J.; Doubková, P.; Frouz, J.; Vosolsobě, S.; Rydlová, J. Microarthropods Influence the Composition of Rhizospheric Fungal Communities by Stimulating Specific Taxa. Soil Biol. Biochem. 2018, 122, 120–130. [Google Scholar] [CrossRef]
- Leopold, D.R.; Wilkie, J.P.; Dickie, I.A.; Allen, R.B.; Buchanan, P.K.; Fukami, T. Priority Effects Are Interactively Regulated by Top-down and Bottom-up Forces: Evidence from Wood Decomposer Communities. Ecol. Lett. 2017, 20, 1054–1063. [Google Scholar] [CrossRef]
- Sauvadet, M.; Chauvat, M.; Brunet, N.; Bertrand, I. Can Changes in Litter Quality Drive Soil Fauna Structure and Functions? Soil Biol. Biochem. 2017, 107, 94–103. [Google Scholar] [CrossRef]
- Jacobsen, R.M.; Sverdrup-Thygeson, A.; Kauserud, H.; Mundra, S.; Birkemoe, T. Exclusion of Invertebrates Influences Saprotrophic Fungal Community and Wood Decay Rate in an Experimental Field Study. Funct. Ecol. 2018, 32, 2571–2582. [Google Scholar] [CrossRef]
- Macheleidt, J.; Mattern, D.J.; Fischer, J.; Netzker, T.; Weber, J.; Schroeckh, V.; Valiante, V.; Brakhage, A.A. Regulation and Role of Fungal Secondary Metabolites. Annu. Rev. Genet. 2016, 50, 371–392. [Google Scholar] [CrossRef] [PubMed]
- Rohlfs, M.; Churchill, A.C.L. Fungal Secondary Metabolites as Modulators of Interactions with Insects and Other Arthropods. Fungal Genet. Biol. 2011, 48, 23–34. [Google Scholar] [CrossRef] [PubMed]
- Fox, E.M.; Howlett, B.J. Secondary Metabolism: Regulation and Role in Fungal Biology. Curr. Opin. Microbiol. 2008, 11, 481–487. [Google Scholar] [CrossRef] [PubMed]
- Demain, A.L.; Fang, A. The Natural Functions of Secondary Metabolites. In History of Modern Biotechnology I; Springer: Berlin/Heidelberg, Germany, 2000; 39p. [Google Scholar] [CrossRef]
- Staaden, S.; Milcu, A.; Rohlfs, M.; Scheu, S. Olfactory Cues Associated with Fungal Grazing Intensity and Secondary Metabolite Pathway Modulate Collembola Foraging Behaviour. Soil Biol. Biochem. 2011, 43, 1411–1416. [Google Scholar] [CrossRef]
- Caballero Ortiz, S.; Rohlfs, M. Isopod Grazing Induces Down-Regulation of Aspergillus nidulans Anti-Fungivore Defence Marker Genes. Fungal Ecol. 2016, 20, 84–87. [Google Scholar] [CrossRef]
- Stötefeld, L.; Scheu, S.; Rohlfs, M. Fungal Chemical Defence Alters Density-Dependent Foraging Behaviour and Success in a Fungivorous Soil Arthropod. Ecol. Entomol. 2012, 37, 323–329. [Google Scholar] [CrossRef]
- Wölfle, S.; Trienens, M.; Rohlfs, M. Experimental Evolution of Resistance against a Competing Fungus in Drosophila melanogaster. Oecologia 2009, 161, 781–790. [Google Scholar] [CrossRef]
- Kempken, F.; Rohlfs, M. Fungal Secondary Metabolite Biosynthesis—A Chemical Defence Strategy against Antagonistic Animals? Fungal Ecol. 2010, 3, 107–114. [Google Scholar] [CrossRef]
- Künzler, M. How Fungi Defend Themselves against Microbial Competitors and Animal Predators. PLoS Pathog. 2018, 14, e1007184. [Google Scholar] [CrossRef]
- Tehan, R.M.; Blount, R.R.; Goold, R.L.; Mattos, D.R.; Spatafora, N.R.; Tabima, J.F.; Gazis, R.; Wang, C.; Ishmael, J.E.; Spatafora, J.W.; et al. Tolypocladamide H and the Proposed Tolypocladamide NRPS in Tolypocladium Species. J. Nat. Prod. 2022, 85, 1363–1373. [Google Scholar] [CrossRef] [PubMed]
- Schiestl, F.P.; Steinebrunner, F.; Schulz, C.; von Reuß, S.; Francke, W.; Weymuth, C.; Leuchtmann, A. Evolution of ‘Pollinator’- Attracting Signals in Fungi. Biol. Lett. 2006, 2, 401–404. [Google Scholar] [CrossRef] [PubMed]
- Becher, P.G.; Hagman, A.; Verschut, V.; Chakraborty, A.; Rozpędowska, E.; Lebreton, S.; Bengtsson, M.; Flick, G.; Witzgall, P.; Piškur, J. Chemical Signaling and Insect Attraction Is a Conserved Trait in Yeasts. Ecol. Evol. 2018, 8, 2962–2974. [Google Scholar] [CrossRef] [PubMed]
- Pacioni, G.; Bologna, M.A.; Laurenzi, M. Insect Attraction by Tuber: A Chemical Explanation. Mycol. Res. 1991, 95, 1359–1363. [Google Scholar] [CrossRef]
- Griffiths, D.A.; Hodson, A.C.; Christensen, C.M. Grain Storage Fungi Associated with Mites. J. Econ. Entomol. 1959, 52, 514–518. [Google Scholar] [CrossRef]
- Vanhaelen, M.; Vanhaelen-Fastré, R.; Geeraerts, J.; Wirthlin, T. Cis-and Trans-Octa-1,5-Dien-3-Ol, New Attractants to the Cheese Mite Tyrophagus putrescentiae (Schrank) (Acarina, Acaridae) Idintified in Trichothecium roseum (Fungi Imperfecti). Microbios 1978, 23, 199–212. [Google Scholar]
- Brückner, A.; Schuster, R.; Smit, T.; Pollierer, M.M.; Schaeffler, I.; Heethoff, M. Track the Snack–Olfactory Cues Shape Foraging Behaviour of Decomposing Soil Mites (Oribatida). Pedobiologia 2018, 66, 74–80. [Google Scholar] [CrossRef]
- Hubert, J.; Kubátová, A.; Šárová, J. Feeding of Scheloribates laevigatus (Acari: Oribatida) on Different Stadia of Decomposing Grass Litter (Holcus lanatus). Pedobiologia 2000, 44, 627–639. [Google Scholar] [CrossRef]
- Stökl, J.; Strutz, A.; Dafni, A.; Svatos, A.; Doubsky, J.; Knaden, M.; Sachse, S.; Hansson, B.S.; Stensmyr, M.C. A Deceptive Pollination System Targeting Drosophilids through Olfactory Mimicry of Yeast. Curr. Biol. 2010, 20, 1846–1852. [Google Scholar] [CrossRef] [PubMed]
- Bengtsson, G. Fungal Odour Attracts Soil Collembola. Soil Biol. Biochem. 1988, 20, 25–30. [Google Scholar] [CrossRef]
- Bengtsson, G.; Ohlsson, L.; Rundgren, S. Influence of Fungi on Growth and Survival of Onychiurus armatus (Collembola) in a Metal Polluted Soil. Oecologia 1985, 68, 63–68. [Google Scholar] [CrossRef] [PubMed]
- Rangel, L.I.; Hamilton, O.; Jonge, R.; Bolton, M.D. Fungal Social Influencers: Secondary Metabolites as a Platform for Shaping the Plant-Associated Community. Plant J. 2021, 108, 632–645. [Google Scholar] [CrossRef]
- Laraba, I.; McCormick, S.P.; Vaughan, M.M.; Proctor, R.H.; Busman, M.; Appell, M.; O’Donnell, K.; Felker, F.C.; Catherine Aime, M.; Wurdack, K.J. Pseudoflowers Produced by Fusarium xyrophilum on Yellow-Eyed Grass (Xyris Spp.) in Guyana: A Novel Floral Mimicry System? Fungal Genet. Biol. 2020, 144, 103466. [Google Scholar] [CrossRef]
- Roy, B.A. Floral Mimicry by a Plant Pathogen. Nature 1993, 362, 56–58. [Google Scholar] [CrossRef]
- Roy, B.A. The Use and Abuse of Pollinators by Fungi. Trends Ecol. Evol. 1994, 9, 335–339. [Google Scholar] [CrossRef]
- Tanney, J.B.; Hutchison, L.J. Encapsulation and Immobilization of a Mycophagous Nematode by Two Sphaerobolus Species. Botany 2011, 89, 745–751. [Google Scholar] [CrossRef]
- Tanney, J.B.; Hutchison, L.J. The Production of Nematode-Immobilizing Secretory Cells by Climacodon septentrionalis. Mycoscience 2012, 53, 31–35. [Google Scholar] [CrossRef]
- Hibbett, D.S.; Thorn, R.G. Nematode-Trapping in Pleurotus tuberregium. Mycologia 1994, 86, 696–699. [Google Scholar] [CrossRef]
- Barron, G.L.; Thorn, R.G. Destruction of nematodes by species of Pleurotus. Can. J. Bot. 1987, 65, 774–778. [Google Scholar] [CrossRef]
- Heydari, R.; Pourjam, E.; Goltapeh, E.M. Antagonistic Effect of Some Species of Pleurotus on the Root-Knot Nematode, Meloidogyne javanica in Vitro. Plant Pathol. J. 2006, 5, 173–177. [Google Scholar] [CrossRef]
- Hsueh, Y.-P.; Mahanti, P.; Schroeder, F.C.; Sternberg, P.W. Nematode-Trapping Fungi Eavesdrop on Nematode Pheromones. Curr. Biol. 2013, 23, 83–86. [Google Scholar] [CrossRef] [PubMed]
- Nordbring-Hertz, B.; Jansson, H.; Tunlid, A. Nematophagous Fungi. In eLS.; John Wiley & Sons: Hoboken, NJ, USA, 2011. [Google Scholar]
- Vidal-Diez de Ulzurrun, G.; Hsueh, Y.-P. Predator-Prey Interactions of Nematode-Trapping Fungi and Nematodes: Both Sides of the Coin. Appl. Microbiol. Biotechnol. 2018, 102, 3939–3949. [Google Scholar] [CrossRef] [PubMed]
- Rehermann, G.; Spitaler, U.; Sahle, K.; Cossu, C.S.; Donne, L.D.; Bianchi, F.; Eisenstecken, D.; Angeli, S.; Schmidt, S.; Becher, P.G. Behavioral Manipulation of Drosophila suzukii for Pest Control: High Attraction to Yeast Enhances Insecticide Efficacy When Applied on Leaves. Pest Manag. Sci. 2022, 78, 896–904. [Google Scholar] [CrossRef]
- Scheidler, N.H.; Liu, C.; Hamby, K.A.; Zalom, F.G.; Syed, Z. Volatile Codes: Correlation of Olfactory Signals and Reception in Drosophila–Yeast Chemical Communication. Sci. Rep. 2015, 5, 14059. [Google Scholar] [CrossRef]
- Günther, C.S.; Goddard, M.R. Do Yeasts and Drosophila Interact Just by Chance? Fungal Ecol. 2019, 38, 37–43. [Google Scholar] [CrossRef]
- Davis, T.S.; Crippen, T.L.; Hofstetter, R.W.; Tomberlin, J.K. Microbial Volatile Emissions as Insect Semiochemicals. J. Chem. Ecol. 2013, 39, 840–859. [Google Scholar] [CrossRef] [PubMed]
- Inamdar, A.A.; Morath, S.; Bennett, J.W. Fungal Volatile Organic Compounds: More Than Just a Funky Smell? Annu. Rev. Microbiol. 2020, 74, 101–116. [Google Scholar] [CrossRef] [PubMed]
- Kemp, G.H.J. Fusarium Glume Spot of Wheat: A Newly Recorded Mite-Associated Disease in South Africa. Plant Dis. 1996, 80, 48. [Google Scholar] [CrossRef]
- da Silva, G.L.; Esswein, I.Z.; Heidrich, D.; Dresch, F.; Maciel, M.J.; Pagani, D.M.; Valente, P.; Scroferneker, M.L.; Johann, L.; Ferla, N.J.; et al. Population Growth of the Stored Product Pest Tyrophagus putrescentiae (Acari: Acaridae) on Environmentally and Medically Important Fungi. Exp. Appl. Acarol. 2019, 78, 49–64. [Google Scholar] [CrossRef] [PubMed]
- Novgorodova, T.; Vladimirova, N.; Marchenko, I.; Sadokhina, T.; Tyurin, M.; Ashmarina, L.; Bakshaev, D.; Lednev, G.; Danilov, V. The Effect of Bean Seed Treatment with Entomopathogenic Fungus Metarhizium robertsii on Soil Microarthropods (Acari, Collembola). Insects 2022, 13, 807. [Google Scholar] [CrossRef]
- Bae, Y.-S.; Knudsen, G.R. Influence of a Fungus-Feeding Nematode on Growth and Biocontrol Efficacy of Trichoderma harzianum. Phytopathology 2001, 91, 301–306. [Google Scholar] [CrossRef] [PubMed]
- Knudsen, G.R.; Kim, T.G.; Bae, Y.-S.; Dandurand, L.-M.C. Use of Quantitative Real-Time PCR to Unravel Ecological Complexity in a Biological Control System. Adv. Biosci. Biotechnol. 2015, 06, 237–244. [Google Scholar] [CrossRef][Green Version]
- De la Cruz, R.G.; Knudsen, G.R.; Dandurand, L.-M.C. Colonisation of Sclerotia of Sclerotinia sclerotiorum by a Fungivorous Nematode. Biocontrol Sci. Technol. 2016, 26, 1166–1170. [Google Scholar] [CrossRef]
- Bourdôt, G.W.; Hurrell, G.A.; Saville, D.J.; Leathwick, D.M. Impacts of Applied Sclerotinia sclerotiorum on the Dynamics of a Cirsium arvense Population. Weed Res. 2006, 46, 61–72. [Google Scholar] [CrossRef]
- Abu-Dieyeh, M.H.; Watson, A.K. Efficacy of Sclerotinia minor for Dandelion Control: Effect of Dandelion Accession, Age and Grass Competition. Weed Res. 2007, 47, 63–72. [Google Scholar] [CrossRef]
- García De la Cruz, R.; Knudsen, G.R.; Carta, L.K.; Newcombe, G. Either Low Inoculum or a Multi-Trophic Interaction Can Reduce the Ability of Sclerotinia sclerotiorum to Kill an Invasive Plant. Rhizosphere 2018, 5, 76–80. [Google Scholar] [CrossRef]
- Ek, H.; Sjögren, M.; Arnebrant, K.; Söderström, B. Extramatrical Mycelial Growth, Biomass Allocation and Nitrogen Uptake in Ectomycorrhizal Systems in Response to Collembolan Grazing. Appl. Soil Ecol. 1994, 1, 155–169. [Google Scholar] [CrossRef]
- Innocenti, G.; Sabatini, M.A. Collembola and Plant Pathogenic, Antagonistic and Arbuscular Mycorrhizal Fungi: A Review. Bull. Insectol. 2018, 71, 71–76. [Google Scholar]
- Melidossian, H.S.; Seem, R.C.; English-Loeb, G.; Wilcox, W.F.; Gadoury, D.M. Suppression of Grapevine Powdery Mildew by a Mycophagous Mite. Plant Dis. 2005, 89, 1331–1338. [Google Scholar] [CrossRef] [PubMed]
- Pozzebon, A.; Duso, C. Grape Downy Mildew Plasmopara viticola, an Alternative Food for Generalist Predatory Mites Occurring in Vineyards. Biol. Control 2008, 45, 441–449. [Google Scholar] [CrossRef]
- Gruss, I.; Twardowski, J.; Matkowski, K.; Jurga, M. Impact of Collembola on the Winter Wheat Growth in Soil Infected by Soil-Borne Pathogenic Fungi. Agronomy 2022, 12, 1599. [Google Scholar] [CrossRef]






Disclaimer/Publisher’s Note: The statements, opinions and data contained in all publications are solely those of the individual author(s) and contributor(s) and not of MDPI and/or the editor(s). MDPI and/or the editor(s) disclaim responsibility for any injury to people or property resulting from any ideas, methods, instructions or products referred to in the content. |
© 2023 by the authors. Licensee MDPI, Basel, Switzerland. This article is an open access article distributed under the terms and conditions of the Creative Commons Attribution (CC BY) license (https://creativecommons.org/licenses/by/4.0/).
Share and Cite
Santamaria, B.; Verbeken, A.; Haelewaters, D. Mycophagy: A Global Review of Interactions between Invertebrates and Fungi. J. Fungi 2023, 9, 163. https://doi.org/10.3390/jof9020163
Santamaria B, Verbeken A, Haelewaters D. Mycophagy: A Global Review of Interactions between Invertebrates and Fungi. Journal of Fungi. 2023; 9(2):163. https://doi.org/10.3390/jof9020163
Chicago/Turabian StyleSantamaria, Brianna, Annemieke Verbeken, and Danny Haelewaters. 2023. "Mycophagy: A Global Review of Interactions between Invertebrates and Fungi" Journal of Fungi 9, no. 2: 163. https://doi.org/10.3390/jof9020163
APA StyleSantamaria, B., Verbeken, A., & Haelewaters, D. (2023). Mycophagy: A Global Review of Interactions between Invertebrates and Fungi. Journal of Fungi, 9(2), 163. https://doi.org/10.3390/jof9020163

