High-Strength Controllable Resin Plugging Agent and Its Performance Evaluation for Fractured Formation
Abstract
1. Introduction
2. Results and Discussion
2.1. Preparation of Curable Resin Plugging Agent
2.1.1. Optimization of Resin Plugging Agent Formulations
Optimization of Urea Formaldehyde Resin Concentration
Optimization of Betaine Concentration
Optimization of Coupling Agent Concentration
Optimization of Ammonium Chloride Concentration
Optimization of Hexamethylenetetramine Concentration
Optimization of Sodium Carboxymethyl Cellulose Concentration
2.1.2. Structural Characterization of Resin Plugging Agents
Optimization of Resin Plugging Agent Formulations
Infrared Analysis
Thermogravimetric Analysis
2.2. Rheological Properties of Resin Plugging Agents
2.2.1. Relationship between Shear Rate and Viscosity
2.2.2. Relationship between Shear Stress and Modulus
2.3. Curing Properties of High Strength Curable Resin Plugging Agent
2.3.1. Effect of Temperature on the Curing Effect of Resin Plugging Agent
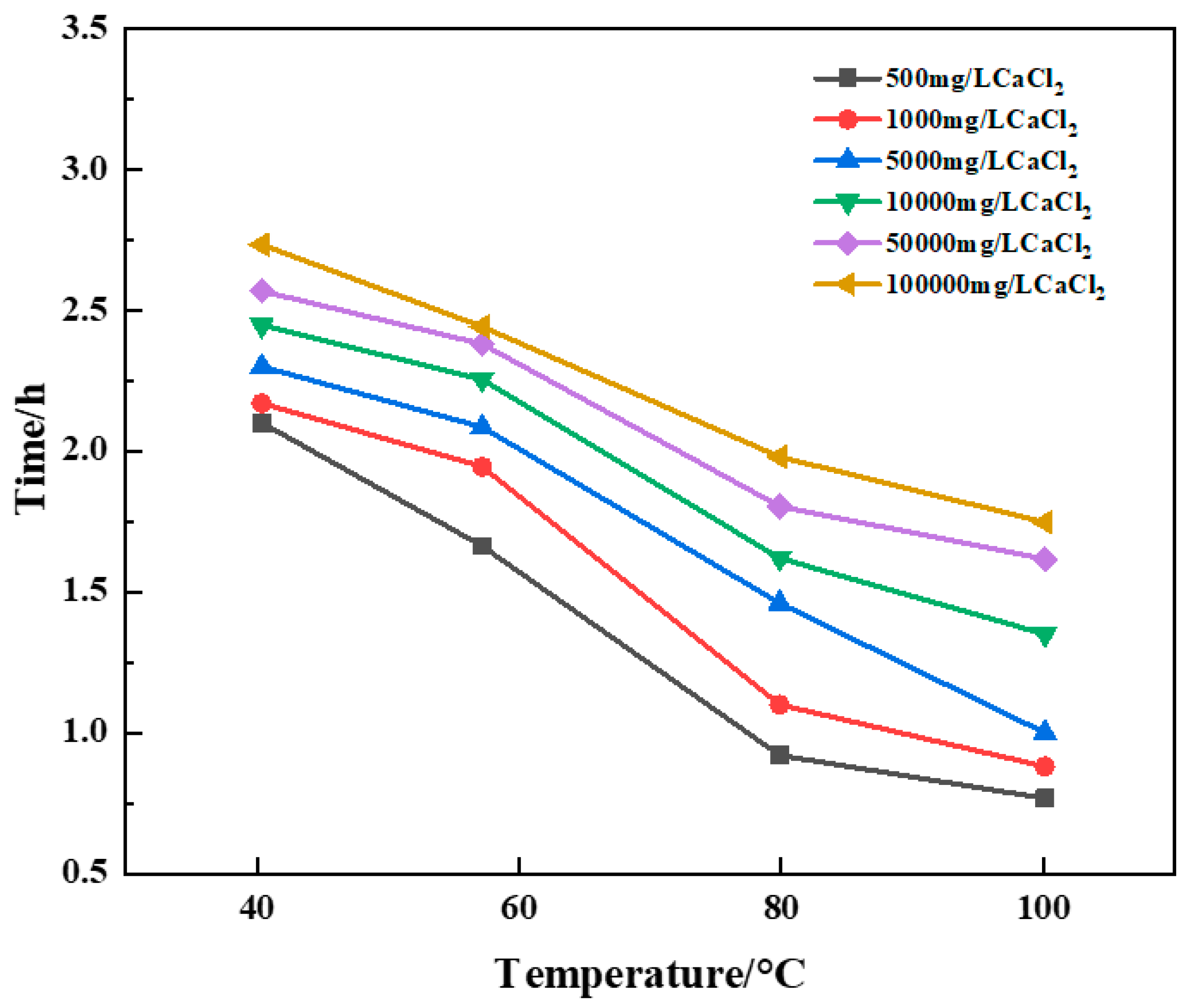
2.3.2. Effect of Salt Ion Concentration on the Curing Effect of Resin Plugging Agents
Effect of Sodium Ion Concentration on the Curing Effect of Resin Plugging Agent
Effect of Calcium Ion Concentration on the Curing Effect of Resin Plugging Agents
2.4. Plugging Properties of High-Strength Curable Resin Plugging Agent
2.4.1. Pressure-Plugging Ability of Resin Plugging System in Parallel Fractures
2.4.2. Pressure-Plugging Ability of Resin Plugging System in Wedge Fractures
Wedge Fracture Entrance 5 mm, Exit 3 mm
Wedge Fracture Entrance 12 mm, Exit 10 mm
3. Conclusions
4. Experimental Section
4.1. Chemical Substance
4.2. Preparation Method of Resin Plugging Agent
4.3. Rheology
4.4. Infrared Spectrum
4.5. Thermogravimetric Analysis
4.6. Scanning Electron Microscope (SEM)
4.7. Compressive Strength
4.8. Plugging Performance
Author Contributions
Funding
Institutional Review Board Statement
Informed Consent Statement
Data Availability Statement
Conflicts of Interest
References
- Sun, J.; Bai, Y.; Cheng, R.; Lyu, K.; Liu, F.; Feng, J.; Lei, S.; Zhang, J.; Hao, H. Research progress and prospect of plugging technologies for fractured formation with severe lost circulation. Pet. Explor. Dev. 2021, 48, 732–743. [Google Scholar] [CrossRef]
- Lei, M.; Huang, W.; Sun, J.; Jin, Z.; Huang, X. The Utilization of Self-Crosslinkable Nanoparticles as High-Temperature Plugging Agent in Water-Based Drilling Fluid. SPE J. 2022, 27, 2628–2641. [Google Scholar] [CrossRef]
- Kang, Y.; Ma, C.; Xu, C.; You, L.; You, Z. Prediction of drilling fluid lost-circulation zone based on deep learning. Energy 2023, 276, 127495. [Google Scholar] [CrossRef]
- Bai, Y.; Yang, J.; Sun, J.; Shang, X.; Han, J. Self-filling and plugging performance of a thixotropic polymer gel for lost circulation control in fractured formation. Geoenergy Sci. Eng. 2023, 225, 211717. [Google Scholar] [CrossRef]
- Bai, Y.; Zhu, Y.; Sun, J.; Shang, X.; Wang, J. High stability polymer gel for lost circulation control when drilling in fractured oil and gas formations. Geoenergy Sci. Eng. 2023, 225, 211722. [Google Scholar] [CrossRef]
- Yang, J.B.; Sun, J.S.; Bai, Y.R.; Lv, K.H.; Li, J.; Li, M.C.; Zhu, Y.C. Preparation and characterization of supramolecular gel suitable for fractured formations. Pet. Sci. 2023, 20, 2324–2342. [Google Scholar] [CrossRef]
- Lashkari, R.; Tabatabaei-Nezhad, S.A.; Husein, M.M. Evaluation of shape memory polyurethane as a drilling fluid lost circulation and fracture plugging material. Geoenergy Sci. Eng. 2023, 222, 211445. [Google Scholar] [CrossRef]
- Lei, M.; Huang, W.; Sun, J.; Shao, Z.; Chen, Z.; Chen, W. Synthesis and characterization of high-temperature self-crosslinking polymer latexes and their application in water-based drilling fluid. Powder Technol. 2021, 389, 392–405. [Google Scholar] [CrossRef]
- Folayan, A.J.; Dosunmu, A.; Oriji, B. Aerobic and anaerobic biodegradation of synthetic drilling fluids in marine deep-water offshore environments: Process variables and empirical investigations. Energy Rep. 2023, 9, 2153–2168. [Google Scholar] [CrossRef]
- Chukwuemeka, A.O.; Oluyemi, G.; Mohammed, A.I.; Njuguna, J. Plug and abandonment of oil and gas wells—A comprehensive review of regulations, practices, and related impact of materials selection. Geoenergy Sci. Eng. 2023, 226, 211718. [Google Scholar] [CrossRef]
- Garcia, C.A.; Rosenbaum, E.; Spaulding, R.; Haljasmaa, I.V.; Sharifi, N.P.; Vandenbossche, J.M.; Iannacchione, A.T.; Brigham, J.C. Numerical approach to simulate placement of wellbore plugging materials using the Lattice Boltzmann method. Geoenergy Sci. Eng. 2023, 228, 212047. [Google Scholar] [CrossRef]
- Batista, W.G.S.; Costa, B.L.S.; Aum, P.T.P.; Oliveira, Y.H.; Freitas, J.C.O. Evaluation of reused polyester resin from PET bottles for application as a potential barrier material. J. Pet. Sci. Eng. 2021, 205, 108776. [Google Scholar] [CrossRef]
- Tamez, M.B.A.; Taha, I. A review of additive manufacturing technologies and markets for thermosetting resins and their potential for carbon fiber integration. Addit. Manuf. 2021, 37, 101748. [Google Scholar] [CrossRef]
- Xiao, H.; Zhou, T.; Shi, M.; Lv, J.; Li, R.; Zeng, K.; Hu, J.; Yang, G. A molding-sintering method inspired by powder metallurgy for thermosetting resins with narrow processing window: A case study on bio-based adenine containing phthalonitrile. Chem. Eng. J. 2020, 398, 125442. [Google Scholar] [CrossRef]
- Yamanaka, Y.; Matsubara, S.; Saito, R.; Moriguchi, S.; Terada, K. Thermo-mechanical coupled incremental variational formulation for thermosetting resins subjected to curing process. Int. J. Solids Struct. 2021, 216, 30–42. [Google Scholar] [CrossRef]
- Jiang, W.; Zhou, G.; Wang, C.; Xue, Y.; Niu, C. Synthesis and self-healing properties of composite microcapsule based on sodium alginate/melamine-phenol–formaldehyde resin. Constr. Build. Mater. 2021, 271, 121541. [Google Scholar] [CrossRef]
- Sousa, S.P.B.; Ribeiro, M.C.S.; Nóvoa, P.R.O.; Pereira, C.M.; Ferreira, A.J.M. Mechanical behaviour assessment of unsaturated polyester polymer mortars filled with nano-sized Al2O3 and ZrO2 particles. Ciência Tecnol. Dos Mater. 2017, 29, 167–171. [Google Scholar] [CrossRef]
- Aslani, F.; Zhang, Y.; Manning, D.; Valdez, L.C.; Manning, N. Additive and alternative materials to cement for well plugging and abandonment: A state-of-the-art review. J. Pet. Sci. Eng. 2022, 215, 110728. [Google Scholar] [CrossRef]
- Arbad, N.; Rincon, F.; Teodoriu, C.; Amani, M. Experimental investigation of deterioration in mechanical properties of oil-based mud (OBM) contaminated API cement slurries & correlations for ultrasonic cement analysis. J. Pet. Sci. Eng. 2021, 205, 108909. [Google Scholar]
- Lei, S.; Sun, J.; Bai, Y.; Lv, K.; Zhang, S.; Liu, F.; Zhang, J. Plugging performance and mechanism of temperature-responsive adhesive lost circulation material. J. Pet. Sci. Eng. 2022, 217, 110771. [Google Scholar] [CrossRef]
- Wang, Y.; Hansen, C.J.; McAninch, I.M.; Robinette, E.J.; Peterson, A.M. Resin Wettability Correlates Linearly to Interfacial Fracture Energy between Thermosetting Elastomers and Glass. ACS Appl. Polym. Mater. 2022, 4, 4244–4253. [Google Scholar] [CrossRef]
- Wang, M.; Ning, Y. Oligosilylarylnitrile: The Thermoresistant Thermosetting Resin with High Comprehensive Properties. ACS Appl. Mater. Interfaces 2018, 10, 11933–11940. [Google Scholar] [CrossRef]
- Hofmann, M.A.; Shahid, A.T.; Garrido, M.; Ferreira, M.J.; Correia, J.R.; Bordado, J.C. Biobased Thermosetting Polyester Resin for High-Performance Applications. ACS Sustain. Chem. Eng. 2022, 10, 3442–3454. [Google Scholar] [CrossRef]
- Li, W.; Jiang, G.; Ni, X.; Li, Y.; Wang, X.; Luo, X. Styrene butadiene resin/nano-SiO2 composite as a water-and-oil-dispersible plugging agent for oil-based drilling fluid. Colloids Surf. A Physicochem. Eng. Asp. 2020, 606, 125245. [Google Scholar] [CrossRef]
- Huang, X.; Sun, J.; Lv, K.; Liu, J.; Shen, H.; Zhang, F. Application of core-shell structural acrylic resin/nano-SiO2 composite in water based drilling fluid to plug shale pores. J. Nat. Gas Sci. Eng. 2018, 55, 418–425. [Google Scholar] [CrossRef]
- Liu, W.; Sun, Y.; Meng, X.; Qin, Y. Experimental analysis of Nano-SiO2 modified waterborne epoxy resin on the properties and microstructure of cement-based grouting materials. Energy 2023, 268, 126669. [Google Scholar] [CrossRef]
- Liu, F.; Liu, Q.; Hao, H.; Feng, J.; Cheng, R.; Bai, Y. Synthesis and Evaluation of a High Strength Curable Resin LCM PMMM. Drill. Fluid Complet. Fluid 2021, 38, 671–676+683. [Google Scholar]
- Lv, K.; Zhu, Q.; Yin, H.; Feng, Y. Slow Curing of Epoxy Resin Underwater at High Temperatures. Ind. Eng. Chem. Res. 2022, 61, 16935–16945. [Google Scholar] [CrossRef]
- Guo, J.; Du, J.; Feng, J.; Zhang, Z.; Zhang, H.; Feng, J.; Yan, X. Preparation and Performance of Plugging Material for High-Temperature and High-Pressure. Drill. J. Tianjin Univ. (Sci. Technol.) 2021, 54, 593–598. [Google Scholar]
- Knudsen, K.; Leon, G.A.; Sanabria, A.E.; Ansari, A.; Pino, R.M. First Application of Thermal Activated Resin as Unconventional LCM In The Middle East. In Proceedings of the International Petroleum Technology Conference, Kuala Lumpur, Malaysia, 10–12 December 2014; p. IPTC-18151-MS. [Google Scholar]
- Xu, J.; Wang, Z.; Zhang, Y.; Hou, Y. Application of a Self-Solidifying Lost Circulation Material in Well G21X3 in Jidong Oilfield. Drill. Fluid Complet. Fluid 2021, 38, 89–92. [Google Scholar]
- Wang, L.; Wang, J.; Dong, E.; Gao, F. Application of a resin lost circulation material in Tahe Oil Field. Drill. Fluid Complet. Fluid 2012, 29, 88–90+98. [Google Scholar]




















| Sample NameY-1 | 40 °C | 60 °C | 80 °C | 100 °C |
|---|---|---|---|---|
| Curing time | 2.6 h | 1 h | 0.67 h | 0.67 h |
| Curing Strength | 3.78 MPa | 5.22 MPa | 5.31 MPa | 4.85 MPa |
| Na+ Solution | 500 mg/L | 1000 mg/L | 5000 mg/L | 10,000 mg/L | 50,000 mg/L | 100,000 mg/L |
|---|---|---|---|---|---|---|
| 40 °C | 3.78 MPa | 4.07 MPa | 3.25 MPa | 3.37 MPa | 4.14 MPa | 4.59 MPa |
| 60 °C | 5.22 MPa | 5.28 MPa | 5.33 MPa | 5.75 MPa | 5.49 MPa | 5.21 MPa |
| 80 °C | 5.31 MPa | 5.44 MPa | 5.51 MPa | 5.87 MPa | 5.75 MPa | 5.32 MPa |
| 100 °C | 4.85 MPa | 4.95 MPa | 5.36 MPa | 5.68 MPa | 5.11 MPa | 5.04 MPa |
| Ca2+ Solution | 500 mg/L | 1000 mg/L | 5000 mg/L | 10,000 mg/L | 50,000 mg/L | 100,000 mg/L |
|---|---|---|---|---|---|---|
| 40 °C | 3.65 MPa | 3.88 MPa | 3.57 MPa | 3.77 MPa | 4.14 MPa | 4.39 MPa |
| 60 °C | 4.22 MPa | 4.78 MPa | 5.33 MPa | 5.75 MPa | 5.49 MPa | 5.21 MPa |
| 80 °C | 4.31 MPa | 4.49 MPa | 5.31 MPa | 5.67 MPa | 5.95 MPa | 5.88 MPa |
| 100 °C | 4.49 MPa | 4.60 MPa | 4.95 MPa | 5.38 MPa | 5.78 MPa | 5.70 MPa |
| Constituent | Urea Formaldehyde Resin | Betaine | Silane Coupling Agent | Ammonium Chloride | Hexamethylenetetramine | Sodium Carboxymethyl Cellulose |
|---|---|---|---|---|---|---|
| Concentration/% | 25 | 1 | 1 | 3 | 1 | 1 |
Disclaimer/Publisher’s Note: The statements, opinions and data contained in all publications are solely those of the individual author(s) and contributor(s) and not of MDPI and/or the editor(s). MDPI and/or the editor(s) disclaim responsibility for any injury to people or property resulting from any ideas, methods, instructions or products referred to in the content. |
© 2024 by the authors. Licensee MDPI, Basel, Switzerland. This article is an open access article distributed under the terms and conditions of the Creative Commons Attribution (CC BY) license (https://creativecommons.org/licenses/by/4.0/).
Share and Cite
Liu, X.; Qi, B.; Chen, X.; Shen, Z.; Yang, J. High-Strength Controllable Resin Plugging Agent and Its Performance Evaluation for Fractured Formation. Gels 2024, 10, 511. https://doi.org/10.3390/gels10080511
Liu X, Qi B, Chen X, Shen Z, Yang J. High-Strength Controllable Resin Plugging Agent and Its Performance Evaluation for Fractured Formation. Gels. 2024; 10(8):511. https://doi.org/10.3390/gels10080511
Chicago/Turabian StyleLiu, Xiongwei, Biao Qi, Xiuping Chen, Ziyao Shen, and Jingbin Yang. 2024. "High-Strength Controllable Resin Plugging Agent and Its Performance Evaluation for Fractured Formation" Gels 10, no. 8: 511. https://doi.org/10.3390/gels10080511
APA StyleLiu, X., Qi, B., Chen, X., Shen, Z., & Yang, J. (2024). High-Strength Controllable Resin Plugging Agent and Its Performance Evaluation for Fractured Formation. Gels, 10(8), 511. https://doi.org/10.3390/gels10080511

