Low-Temperature and UV Irradiation Effect on Transformation of Zirconia -MPS nBBs-Based Gels into Hybrid Transparent Dielectric Thin Films
Abstract
:1. Introduction
2. Materials and Methods
2.1. Materials
2.2. Sol-Gel Preparation of Hybrid Films
2.3. Characterizations
3. Results and Discussion
3.1. Thermal Analysis
3.2. XPS Analysis
3.3. Vibrational Spectra
3.4. SEM, TEM and AFM Analysis
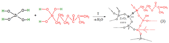
3.5. Mechanism of Chemical-Structural Transformations
- I.
- Hydrolysis of precursors

- II.
- Formation of nBBs

- III.
- Formation of hybrid network of thin film by nBBs—MMA polymerization


3.6. Optical and Electrical Properties Behavior of Thin Films
4. Conclusions
Supplementary Materials
Author Contributions
Funding
Informed Consent Statement
Data Availability Statement
Acknowledgments
Conflicts of Interest
References
- Hu, Y.; Gu, G.; Zhou, S.; Wu, L. Preparation and properties of transparent PMMA/ZrO2 nanocomposites using 2-hydroxyethyl methacrylate as a coupling agent. Polymer 2011, 52, 122–129. [Google Scholar] [CrossRef]
- Xu, W.; Li, H.; Bin, J.; Xu, B.; Wang, L. Recent advances of solution-processed metal oxide thin-film transistors. ACS Appl. Mater. Interfaces 2018, 10, 25878–25901. [Google Scholar] [CrossRef]
- Liu, X.; Wegener, M.; Polster, S.; Jank, M.; Roosen, A.; Frey, L. Materials Integration for Printed Zinc Oxide Thin-Film Transistors: Engineering of a Fully-Printed Semiconductor/Contact Scheme. J. Disp. Technol. 2016, 12, 214–218. [Google Scholar] [CrossRef]
- Forte, M.A.; Silva, R.M.; Tavares, C.J.; Silva, R.F. Is Poly(methyl methacrylate) (PMMA) a Suitable Substrate for ALD?: A Review. Polymers 2021, 13, 1346. [Google Scholar] [CrossRef]
- Tobin, M.; Young-Geun, H.; Antonio, F. Organic-inorganic hybrid multilayer gate dielectrics for thin-film transistors. U.S. Patent 0035855A1, 2016. [Google Scholar]
- Alvarado-Beltran, C.G.; Luis Almaral-Sanchez, J.L.; Ramırez-Bon, R. Synthesis and properties of PMMA-ZrO2 organic–inorganic hybrid films. J. Appl. Polym. Sci. 2015, 42738. [Google Scholar] [CrossRef]
- Sanchez, C.; Julian, B.; Belleville, P.; Popall, M. Applications of hybrid organic–inorganic nanocomposites. J. Mater. Chem. 2005, 15, 3559–3592. [Google Scholar] [CrossRef]
- Garibay-Martínez, F.; Syamala Rao, M.G.; Cortazar-Martínez, O.; Hurtado-Macías, A.; Quevedo-Lopez, M.A.; Ramírez-Bon, R. Optical, mechanical and dielectric properties of sol-gel PMMA-GPTMS-ZrO2 hybrid thin films with variable GPTMS content. J. Non-Cryst. Solids 2021, 563, 120803. [Google Scholar] [CrossRef]
- Valcu, E.E.; Musat, V.; Jank, M.; Oertel, S. Sol-gel Preparation of ZrO2-PMMA for Thin Films Transistors. Rev. Chim. 2014, 65, 574–577. [Google Scholar]
- Gross, S.; Di Noto, V.; Schubert, U. Dielectric investigation of inorganic–organic hybrid film based on zirconium oxocluster-crosslinked PMMA. J. Non-Cryst. Solids 2003, 322, 154–159. [Google Scholar] [CrossRef]
- Li, X.; Kim, N.; Youn, S.; An, T.K.; Kim, J.; Lim, S.; Kim, S.H. Sol–Gel-Processed Organic–Inorganic Hybrid for Flexible Conductive Substrates Based on Gravure-Printed Silver Nanowires and Graphene. Polymers 2019, 11, 158. [Google Scholar] [CrossRef] [Green Version]
- Schubert, U.; Gao, Y.; Kogler, F.R. Tuning the properties of nanostructured inorganic-organic hybrid polymers obtained from metal oxide clusters as building blocks. Prog. Solid State Chem. 2007, 35, 161–170. [Google Scholar] [CrossRef]
- Girardi, F.; Cappelletto, E.; Sandak, J.; Bochicchio, G.; Tessadri, B.; Palanti, S.; Feci, E.; Di Maggio, R. Hybrid organic-inorganic materials as coatings for protecting wood. Prog. Org. Coat. 2014, 77, 449–457. [Google Scholar] [CrossRef]
- Oban, R.; Matsukawa, K.; Matsumoto, A. Heat resistant and transparent organic–inorganic hybrid materials composed of N-allylmaleimide copolymer and random-type SH-modified silsesquioxane. J. Polym. Sci. A 2018, 56, 2294–2302. [Google Scholar] [CrossRef]
- Anastasio, R.; Peerbooms, W.; Cardinaels, R.; Breemen, L.C.A. Characterization of Ultraviolet-Cured Methacrylate Networks: From Photopolymerization to Ultimate Mechanical Properties. Macromolecules 2019, 52, 9220–9231. [Google Scholar] [CrossRef] [PubMed]
- Liu, F.; Liu, A.; Tao, W.; Yang, Y. Preparation of UV curable organic/inorganic hybrid coatings-a review. Prog. Org. Coat. 2020, 145, 105685. [Google Scholar] [CrossRef]
- Girardi, F.; Graziola, F.; Aldighieri, P.; Fedrizzi, L.; Gross, S.; Di Maggio, R. Inorganic-organic hybrid materials with zirconium oxoclusters as protective coatings on aluminium alloys. Prog. Org. Coat. 2008, 62, 376–381. [Google Scholar] [CrossRef]
- Wang, B.; Huang, W.; Chi, L.; Al-Hashimi, M.; Marks, T.J.; Facchetti, A. High-k Gate Dielectrics for Emerging Flexible and Stretchable Electronics. Chem. Rev. 2018, 118, 5690–5794. [Google Scholar] [CrossRef]
- Klasens, H.A.; Koelmans, H. A Tin Oxide Field-Effect Transistor. Solid State Electron. 1964, 7, 701–702. [Google Scholar] [CrossRef]
- Wang, L.; Yoon, M.H.; Lu, G.; Yang, Y.; Facchetti, A.; Marks, T.J. High-Performance Transparent Inorganic-Organic Hybrid Thin-Film N-Type Transistors. Nature Mater. 2006, 5, 893–900. [Google Scholar] [CrossRef]
- Kwon, J.-H.; Zhang, X.; Piao, S.H.; Choi, H.J.; Bae, J.-H.; Park, J. Stability Study of Flexible 6,13-Bis(triisopropylsilylethynyl)pentacene Thin-Film Transistors with a Cross-Linked Poly(4-vinylphenol)/Yttrium Oxide Nanocomposite Gate Insulator. Polymers 2016, 8, 88. [Google Scholar] [CrossRef] [PubMed] [Green Version]
- Ye, X.; Lin, H.; Yu, X.; Han, S.; Shang, M.; Zhang, L.; Jiang, Q.; Zhong, J. High Performance Low-Voltage Organic Field-Effect Transistors Enabled by Solution Processed Alumina and Polymer Bilayer Dielectrics. Synth. Met. 2015, 209, 337–342. [Google Scholar] [CrossRef]
- Alvarado-Beltrán, C.G.; Almaral-Sánchez, J.L.; Mejia, I.; Quevedo-López, M.A.; Ramirez-Bon, R. Sol–Gel PMMA–ZrO2 Hybrid Layers as Gate Dielectric for Low-Temperature ZnO-Based Thin-Film Transistors. ACS Omega 2017, 2, 6968–6974. [Google Scholar] [CrossRef]
- Valcu Herbei, E.E.; Muşat, V.; Jank, M.; Oertel, M.; Leedham, T. In situ formation of Tantalum Oxide PMMA hybrid dielectric thin films for transparent electronic applications. Adv. Mat. Lett. 2015, 6, 485–491. [Google Scholar] [CrossRef]
- Muşat, V.; Valcu Herbei, E.E. Hydrid Nanomaterial, Transparent Dielectric Film Obtained from the Hybrid Material and Method of Transparent and Dielectric Film Obtaining. RO Patent 130949, 28 February 2019. [Google Scholar]
- Kashiwagi, T.; Inaba, A.; Brown, J.E.; Hatada, K.; Kitayama, T.; Masuda, E. Effects of Weak Linkages on the Thermal and Oxidative Degradation of Poly(methyl methacrylates). Macromolecules 1986, 19, 2160–2168. [Google Scholar] [CrossRef]
- Maggio, R.-D.; Fambri, P.; Mustarelli, L.; Campostrini, R. Physico-chemical characterization of hybrid polymers obtained by 2-hydroxyethyl(methacrylate) and alkoxides of zirconium. Polymer 2003, 44, 7311–7320. [Google Scholar] [CrossRef]
- Park, S.; Kim, K.H.; Jo, J.W.; Sung, S.; Kim, K.T.; Lee, W.J.; Kim, J.; Kim, H.J.; Yi, G.R.; Kim, Y.H.; et al. In-Depth Studies on Rapid Photochemical Activation of Various Sol-Gel Metal Oxide Films for Flexible Transparent Electronics. Adv. Funct. Mater. 2015, 25, 2807–2815. [Google Scholar] [CrossRef]
- Maggio, R.-D.; Dire, S.; Callone, E.; Girardi, F.; Kickelbick, G. Hybrid organic–inorganic materials using zirconium based NBBs and vinyl trimethoxysilane: Effect of pre-hydrolysis of silane. Polymer 2010, 51, 832–841. [Google Scholar] [CrossRef]
- Son, B.-G.; Je, S.Y.; Kim, H.J.; Jeong, J.K. Modification of a polymer gate insulator by zirconium oxide doping for low temperature, high performance indium zinc oxide transistors. RSC Adv. 2014, 4, 45742. [Google Scholar] [CrossRef]
- Guittet, M.J.; Crocombette, J.P.; Gautier-Soyer, M. Bonding and XPS chemical shifts in ZrSiO4 versus SiO2 and ZrO2: Charge transfer and electrostatic effects. Phys. Rev. 2001, 63, 125117. [Google Scholar] [CrossRef]
- Santos, F.; Harb, S.V.; Menu, M.-J.; Turq, V.; Pulcinelli, S.H.; Santillia, C.V.; Hammer, P. On the structure of high performance anticorrosive PMMA–siloxane–silica hybrid coatings. RSC Adv. 2015, 5, 106754. [Google Scholar] [CrossRef] [Green Version]
- Bergamonti, L.; Bondioli, F.; Alfieri, I.; Alinovi, S.; Lorenzi, A.; Predieri, G.; Lottici, P.P. Weathering resistance of PMMA/SiO2/ZrO2 hybrid coatings for sandstone conservation. Polym. Degrad. Stabil. 2018, 147, 274–283. [Google Scholar] [CrossRef]
- Otsuka, T.; Chujo, Y. Poly(methyl methacrylate) (PMMA)-based hybrid materials with reactive zirconium oxide nanocrystals. Polym. J. 2010, 42, 58–65. [Google Scholar] [CrossRef]
- Galeener, F.L.; Mikkelsen, J.C. Vibrational dynamics in 18O-substituted vitreous SiO2. Phys. Rev. B 1981, 23, 5527–5530. [Google Scholar] [CrossRef]
- Ferri, L.; Lorenzia, A.; Lottici, P.P. OctTES/TEOS system for hybrid coatings: Real-time monitoring of the hydrolysis and condensation by Raman spectroscopy. J. Ram. Spectrosc. 2016, 47, 699–705. [Google Scholar] [CrossRef]
- Chaijareenont, P.; Takahashi, H.; Nishiyama, N.; Arksornnukit, M. Effect of different amounts of 3-methacryloxypropyltrimethoxysilane on the flexural properties and wear resistance of alumina reinforced PMMA. Dent. Mater. J. 2012, 31, 623–628. [Google Scholar] [CrossRef] [Green Version]
- Chaurasia, S.; Rao, U.; Mishra, A.K.; Sijoy, C.D.; Mishra, V. Raman spectroscopy of poly (methyl methacrylate) under laser shock and static compression. J. Ram. Spectrosc. 2020, 51, 860–870. [Google Scholar] [CrossRef]
- Zhao, L.; Jia, D.; Duan, X.; Yang, Z.; Zhou, Y. Low temperature sintering of ZrC–SiC composite. J Alloy. Compds. 2011, 41, 9816–9820. [Google Scholar] [CrossRef]
- Ferrari, A.C.; Bonaccorso, F.; Fal’Ko, V.; Novoselov, K.S.; Roche, S.; Bøggild, P.; Borini, S.; Koppens, F.H.L.; Palermo, V.; Pugno, N.; et al. Science and technology roadmap for graphene, related two-dimensional crystals, and hybrid systems. Nanoscale 2015, 7, 4598. [Google Scholar] [CrossRef] [Green Version]
- Roth, F.; Waleska, P.; Hess, C.; Ionescu, E.; Nicoloso, N. UV Raman spectroscopy of segregated carbon in silicon oxycarbides. J. Ceram. Soc. Jp. 2016, 124, 1042–1045. [Google Scholar] [CrossRef] [Green Version]
- Piazza, F.; Gough, K.; Monthioux, M.; Puech, P.; Gerberd, I.; Wiens, R.; Paredes, G.; Ozoria, C. Low temperature, pressureless sp2 to sp3 transformation of ultrathin, crystalline carbon films. Carbon 2019, 45, 10–22. [Google Scholar] [CrossRef]
- Ciszak, C.; Mermoux, M.; Gutierrez, G.; Leprêtre, F.; Duriez, C.; Popa, I.; Layette, L.; Chevalier, S. Raman spectra analysis of ZrO2 thermally grown on Zircaloy substrates irradiated with heavy ion: Effects of oxygen isotopic substitution. J. Ram. Spectrosc. 2019, 50, 425–435. [Google Scholar] [CrossRef]
- Morales-Acosta, M.D.; Quevedo-Lopez, M.A.; Gnade, B.E.; Ramırez-Bon, R. PMMA-SiO2 organic–inorganic hybrid films: Determination of dielectric characteristics. J. Sol-Gel Sci. Technol. 2011, 58, 218–224. [Google Scholar] [CrossRef]
- Bains, M.S.; Bradley, D.C. Coordination complexes of metal alkoxides: Part 1. Metal alkoxide-hydrazine complexes. Can. J. Chem. 1962, 40, 1350–1354. [Google Scholar] [CrossRef] [Green Version]
- Kim, J.; Jung, H.Y.; Park, M.J. End-Group Chemistry and Junction Chemistry in Polymer Science:Past, Present, and Future. Macromolecules 2020, 53, 746–763. [Google Scholar] [CrossRef] [Green Version]
- Sanchez-Ahumada, D.; Verastica-Ward, L.J.; Orozco, M.; Vargas-Hernandez, D.; Castro-Beltran, A.; Ramirez-Bon, R.; Alvarado-Beltran, C.G. In-situ low-temperature synthesis of PS-ZrO2 hybrid films and their characterization for high-k gate dielectric application. Prog. Org. Coat. 2021, 55, 106288. [Google Scholar] [CrossRef]
- Sanchez, C.; Rozes, L.; Ribot, F.; Laberty-Robert, C.; Grosso, D.; Sassoye, C.; Boissiere, C.; Nicole, L. “Chimie douce”: A land of opportunities for the designed construction of functional inorganic and hybrid organic-inorganic nanomaterials. Comptes Rendus Chimie 2010, 13, 3–39. [Google Scholar] [CrossRef] [Green Version]
- Bahari, A.; Shahbazi, M. Electrical Properties of PVP–SiO2–TMSPM Hybrid Thin Films as OFET Gate Dielectric. J. Electron. Mater. 2016, 45, 1201–1209. [Google Scholar] [CrossRef]
- Fan, B.; Zhou, M.; Zhang, C.; He, D.; Bai, J. Polymer-based materials for achieving high energy density film capacitors. Prog. Polym. Sci. 2019, 97, 101143. [Google Scholar] [CrossRef]









Publisher’s Note: MDPI stays neutral with regard to jurisdictional claims in published maps and institutional affiliations. |
© 2022 by the authors. Licensee MDPI, Basel, Switzerland. This article is an open access article distributed under the terms and conditions of the Creative Commons Attribution (CC BY) license (https://creativecommons.org/licenses/by/4.0/).
Share and Cite
Muşat, V.; Herbei, E.E.; Anghel, E.M.; Jank, M.P.M.; Oertel, S.; Timpu, D.; Frangu, L. Low-Temperature and UV Irradiation Effect on Transformation of Zirconia -MPS nBBs-Based Gels into Hybrid Transparent Dielectric Thin Films. Gels 2022, 8, 68. https://doi.org/10.3390/gels8020068
Muşat V, Herbei EE, Anghel EM, Jank MPM, Oertel S, Timpu D, Frangu L. Low-Temperature and UV Irradiation Effect on Transformation of Zirconia -MPS nBBs-Based Gels into Hybrid Transparent Dielectric Thin Films. Gels. 2022; 8(2):68. https://doi.org/10.3390/gels8020068
Chicago/Turabian StyleMuşat, Viorica, Elena Emanuela Herbei, Elena Maria Anghel, Michael P. M. Jank, Susanne Oertel, Daniel Timpu, and Laurenţiu Frangu. 2022. "Low-Temperature and UV Irradiation Effect on Transformation of Zirconia -MPS nBBs-Based Gels into Hybrid Transparent Dielectric Thin Films" Gels 8, no. 2: 68. https://doi.org/10.3390/gels8020068
APA StyleMuşat, V., Herbei, E. E., Anghel, E. M., Jank, M. P. M., Oertel, S., Timpu, D., & Frangu, L. (2022). Low-Temperature and UV Irradiation Effect on Transformation of Zirconia -MPS nBBs-Based Gels into Hybrid Transparent Dielectric Thin Films. Gels, 8(2), 68. https://doi.org/10.3390/gels8020068

