Evolution of Wind-Generated Shallow-Water Waves in the Framework of a Modified Kadomtsev–Petviashvili Equation
Abstract
1. Introduction
2. KP–Burgers Equation
3. Wave Propagation
3.1. Cnoidal Waves
3.2. Modulated Waves
3.3. Solitary Wave Train
4. Numerical Simulations
- Case 1: , with and , so that the initial condition, Equation (36), is . The results at various times for unforced cases are shown in Figure 2. The initial y-dependent sinusoidal function shapes the large radiation field in the y-direction, while in the x-direction it is primarily due to the envelope , and moves upstream, leaving the formation of a soliton gas downstream, which has no perceptible y-dependence, as clearly seen at .
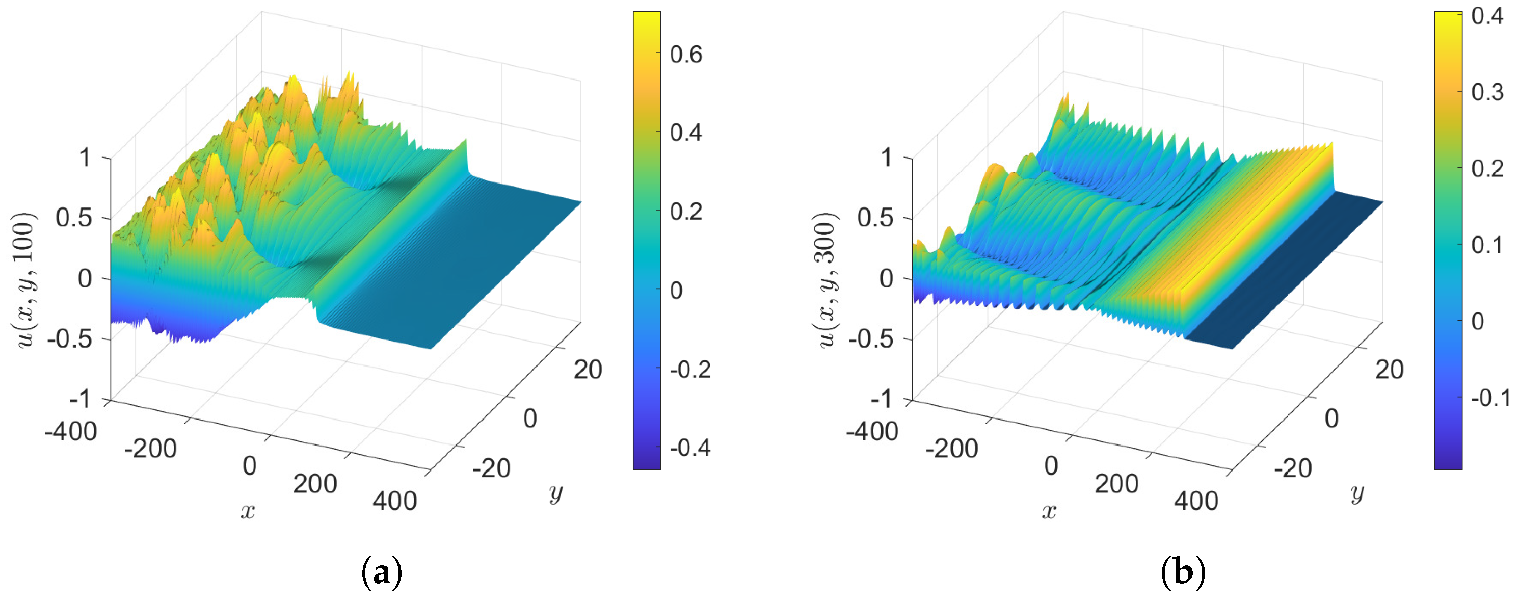
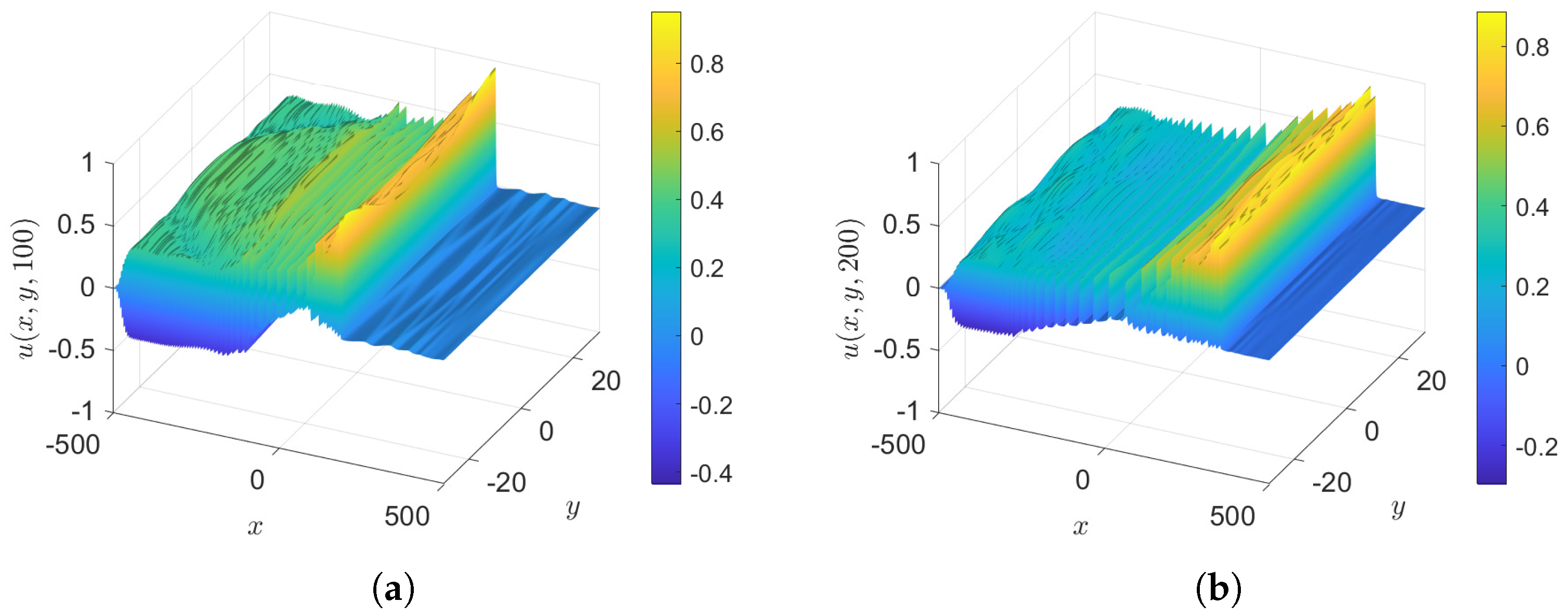
- Case 2: , with and , so that the initial condition, Equation (36), is . The difference from case 1 is that is greatly reduced, and in the sub-cases to follow we consider . Surface plots of unforced cases, , are shown in Figure 3 and the wave elevations along the x-axis when , both at various times, are shown in Figure 4. The outcome is similar to case 1 but with a slower sinusoidal y-dependence in the initial condition, which leads to some noise in the y-direction in the radiation field. However, this does not affect the y-independent soliton gas emerging downstream, as can be seen at .
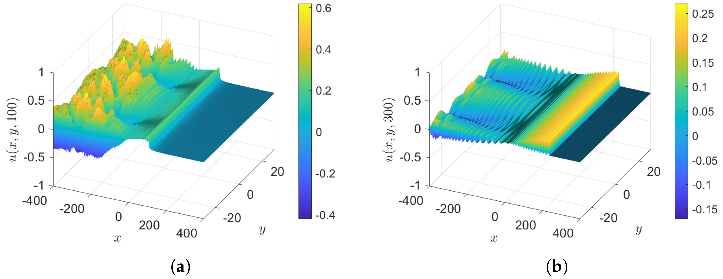
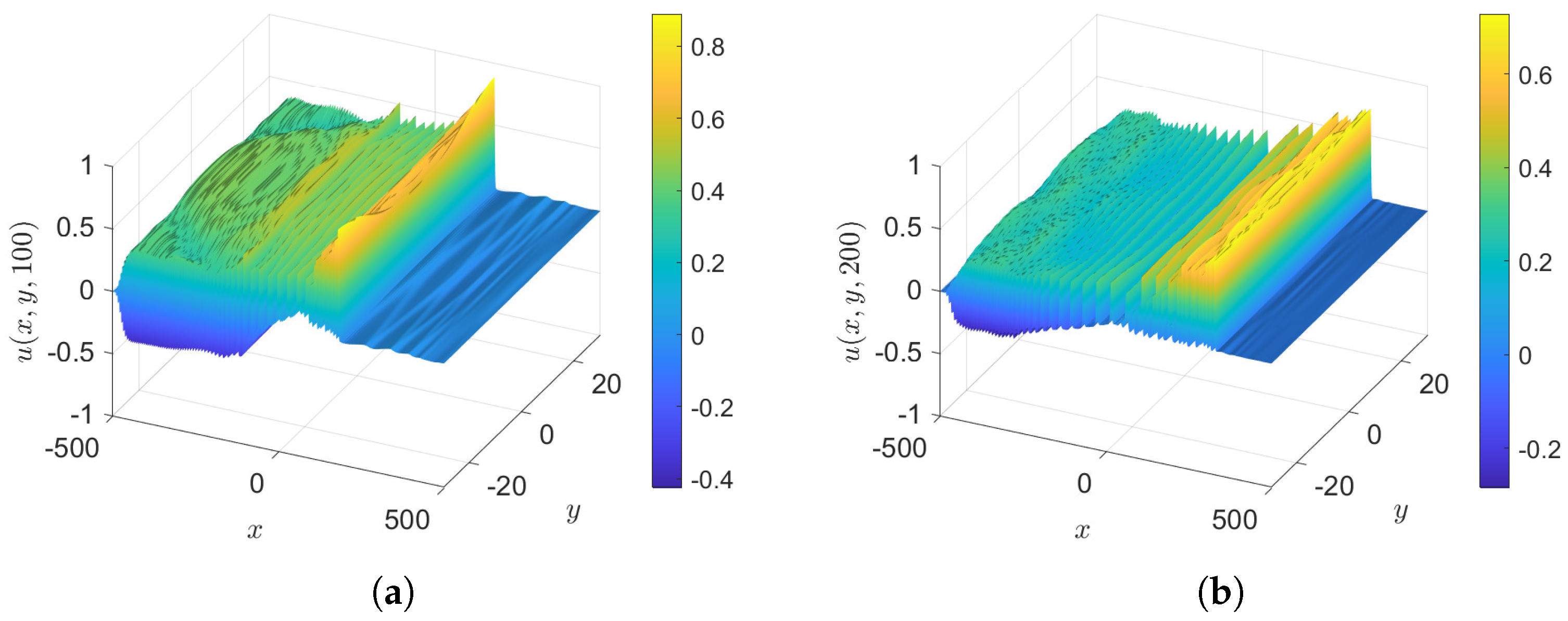
- Case 2.1: , with as in case 2, so that the initial condition is again . The results at various time are shown in Figure 5. This is similar to case 2, but with the expected wave growth due to .
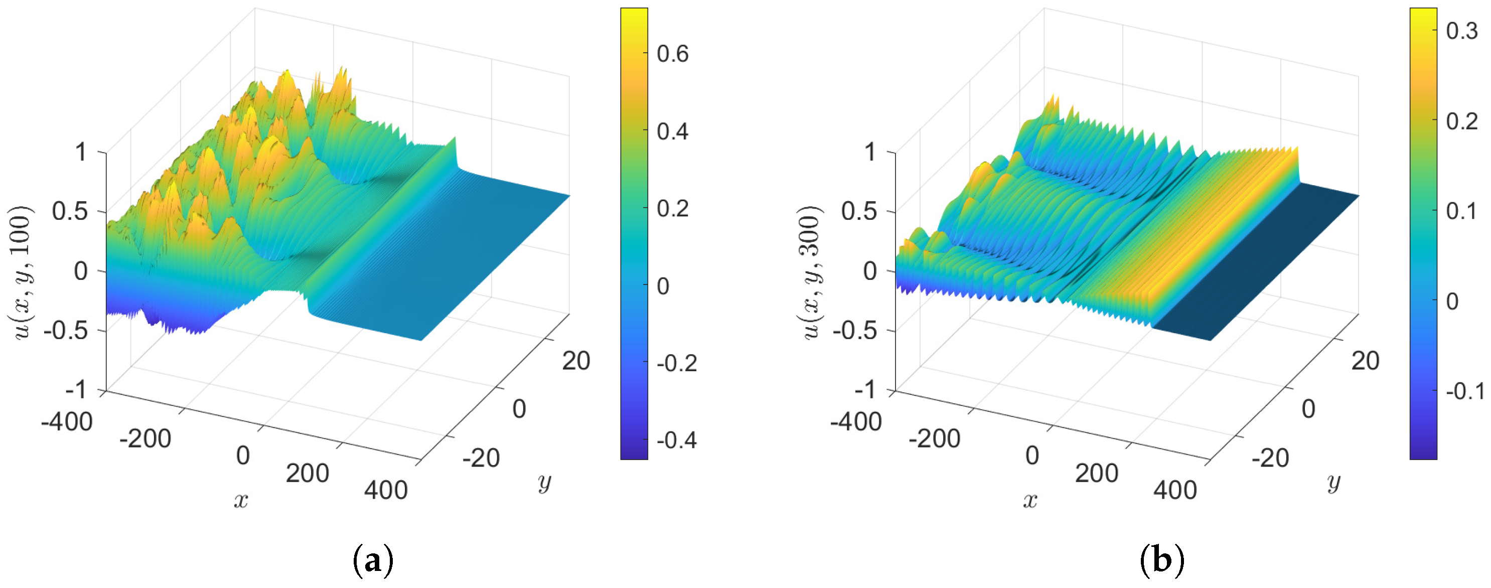
- Case 2.2: , with as in case 2, so that the initial condition is again . The results at various times are shown in Figure 6. This is similar to case 2, but with the expected wave decay due to .
- Case 2.3: , with as in case 2, so that the initial condition is again . The results at various times are shown in Figure 7. This is similar to case 2, but with the expected growth due to .
- Case 2.4: . with as in case 2, so that the initial condition is again . The results at various times are shown in Figure 8. This is similar to case 2, but with the expected decay due to .
- Case 2.5: , with as in case 2, so that the initial condition is again . The results at various times are shown in Figure 9. This case shows the dominant effect from bottom friction over , since the wave amplitude is decaying and the growth factors are suppressed, similar to the behaviour in MG24.
- Maximum amplitude, case 2: Figure 10 shows the tracking of the maximum value of , compared with the modulation theory of Section 3.3. Since the downstream solitons are apparently independent of y, the growth and decay rates are from the expressions in MG24. Overall, the maximum amplitudes are about half those in MG24, due to the greater radiation field.
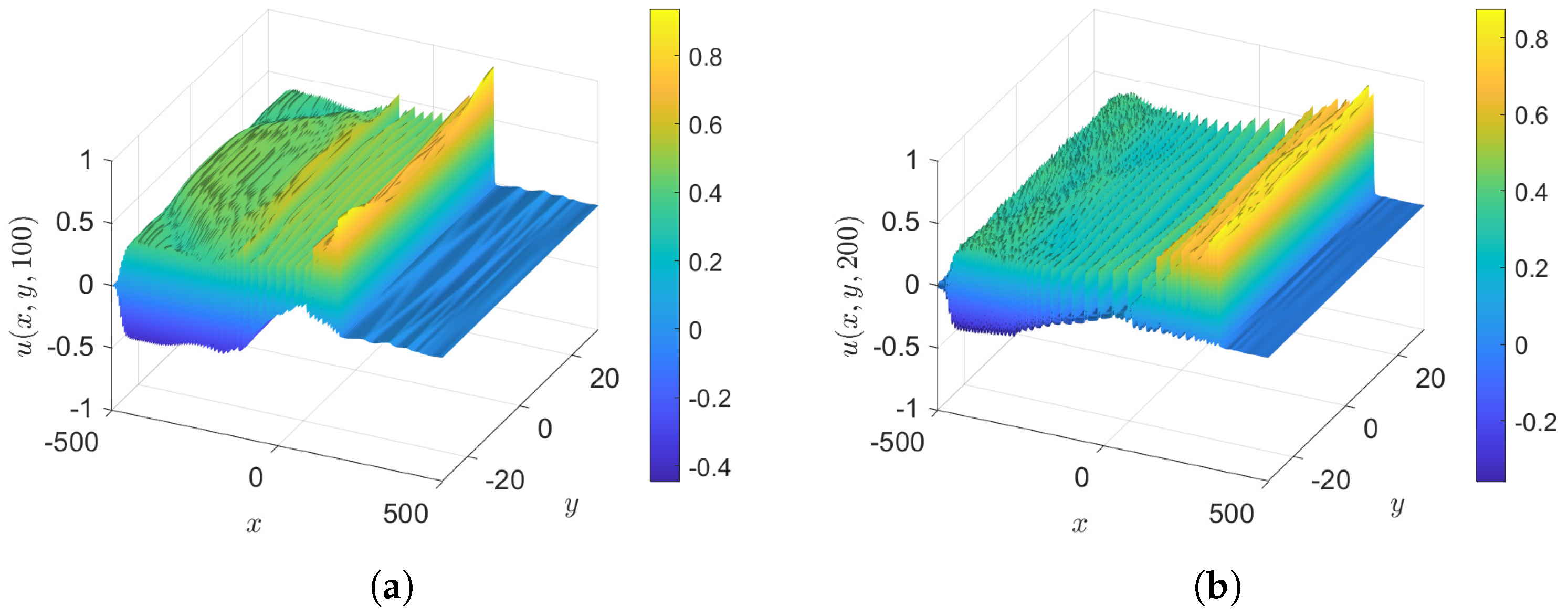
- Case 3: , with and , so that the initial condition, Equation (36), is . Surface plots of unforced cases, , are shown in Figure 11 at various times and the wave elevations along the x-axis when are shown in Figure 12. The outcome is different to cases 1 and 2, with more oscillations in x of the generated train of solitons downstream, leading to a y-independent soliton gas emerging downstream, as can be seen at . The soliton amplitudes are larger than in cases 1 and 2. The amplitudes of the solitons in case 3 is about , comparable with MG24, while it is about 0.3–0.4 in cases 1 and 2. Hence, the soliton speeds are larger, and we stop the simulation at an earlier time, , to avoid the solitons approaching the right-hand x-boundary, where the sponge layer is applied. This is to avoid a misunderstanding in the tracking of the maximum soliton amplitude downstream.
- Case 3.1: , with as in case 3, so that the initial condition is again . The results at various times are shown in Figure 13. This is similar to case 3, but with the expected wave growth due to .
- Case 3.2: , with as in case 3, so that the initial condition is again . The results at various times are shown in Figure 14. This is similar to case 3, but with the expected wave decay due to .
- Case 3.3: , with as in case 3, so that the initial condition is again . The results at various times are shown in Figure 15. This is similar to case 3, but with the expected growth due to .
- Case 3.4: , with as in case 3, so that the initial condition is again . The results at various times are shown in Figure 16. This is similar to case 3, but with the expected decay due to .
- Case 3.5: , with as in case 3, so that the initial condition is again . The results at various times are shown in Figure 17.
- Maximum amplitude, case 3: Figure 18 shows the tracking of the maximum value of . Case 3, with a perturbation initial condition, leads to larger amplitudes than in the previous cases 1 and 2, as suggested by the modulation analysis of Section 3.3. However, the tracking maximum amplitude in case 3 is rather oscillatory, not monotonic as in case 2, indicating that this small y perturbation has slightly affected the growth or decay of the soliton amplitudes. Overall, the trends in the growth or decay rates in MG24 using modulation theory still give an indication of the numerical outcome. Curiously, when all the forcing terms are applied, the growth or decay of the leading soliton amplitude is not clearly seen for ; see Figure 18d. But the appearance of the maximum amplitude decreasing can be seen when , starting to show the effect of .
5. Summary and Discussion
Author Contributions
Funding
Data Availability Statement
Conflicts of Interest
Appendix A. Numerical Scheme
References
- Costa, A.; Osborne, A.R.; Resio, D.T.; Alessio, S.; Chrivi, E.; Saggese, E.; Bellomo, K.; Long, C.E. Soliton turbulence in shallow water ocean surface waves. Phys. Rev. Lett. 2014, 113, 108501. [Google Scholar] [CrossRef] [PubMed]
- Zdyrski, T.; Feddersen, F. Wind-induced changes to surface gravity wave shape in shallow water. J. Fluid Mech. 2021, 903, A27. [Google Scholar] [CrossRef]
- Manna, M.A.; Latifi, A. Korteweg de Vries Burger equation with Jeffreys wind wave interaction: Blow-up and breaking of soliton-like solutions in finite time. Fluids 2023, 8, 231–244. [Google Scholar] [CrossRef]
- Maleewong, M.; Grimshaw, R. Evolution of water wave packets by wind in shallow water. J. Fluid Mech. 2024, 996, A4. [Google Scholar] [CrossRef]
- Miles, J.W. On the generation of surface waves by shear flows. J. Fluid Mech. 1957, 3, 185–204. [Google Scholar] [CrossRef]
- Biondini, G.; Pelinovsky, D.E. Kadomtsev-Petviashvili equation. Scholarpedia 2008, 3, 6539. [Google Scholar] [CrossRef]
- Chakravarty, S.; Kodama, Y. Classification of the line-soliton solutions of KPII. J. Phys. A Math. Theor. 2008, 41, 275209. [Google Scholar] [CrossRef]
- Ablowitz, M.J.; Villarroel, J. On the Kadomtsev-Petviashvili equation and associated constraints. Stud. Appl. Math. 1991, 85, 195–231. [Google Scholar] [CrossRef]
- Molinet, L.; Saut, J.C.; Tzvetkov, N. Remarks on the mass constraint for KP-type equations. SIAM J. Math. Anal. 2007, 39, 627–641. [Google Scholar] [CrossRef][Green Version]
- Osborne, A.R. Shallow water cnoidal wave interactions. Nonlinear Processes Geophys. 1994, 1, 241–251. [Google Scholar] [CrossRef]
- Ablowitz, M.J.; Biondini, G.; Wang, Q. Whitham modulation theory for the Kadomtsev Petviashvili equation. Proc. Roy. Soc. A 2017, 473, 20160695. [Google Scholar] [CrossRef] [PubMed]
- Grava, T.; Klein, C.; Pittori, G. Numerical study of the Kadomtsev-Petviashvili equation and dispersive shock waves. Proc. Roy. Soc. A 2018, 474, 20170458. [Google Scholar] [CrossRef]
- Ryskamp, S.; Hoefer, M.; Biondini, G. Modulation theory for soliton resonance and Mach reflection. Proc. Roy. Soc. A 2022, 478, 20210823. [Google Scholar] [CrossRef]
- Grimshaw, R.; Yuan, C. The propagation of internal undular bores over variable topography. Phys. D 2016, 333, 200–207. [Google Scholar] [CrossRef][Green Version]
- Klein, C.; Roidot, K. Fourth order time-stepping for Kadomtsev-Petviashvili and Davey-Stewartson equations. SIAM J. Sci. Comput. 2011, 33, 3533–3556. [Google Scholar] [CrossRef]
- Kao, C.Y.; Kodama, Y. Numerical study of the KP equation for non-periodic waves. Math. Comput. Simul. 2012, 82, 1185–1218. [Google Scholar] [CrossRef]
- Maleewong, M.; Grimshaw, R. Evolution of water wave groups in water of finite depth. J. Fluid Mech. 2024, 985, A2. [Google Scholar] [CrossRef]
- Ablowitz, M.J.; Curtis, C.W. On the evolution of perturbations to solutions of the Kadomtsev Petviashvilli equation using the Benney Luke equation. J. Phys. A Math. Theor. 2011, 44, 195202. [Google Scholar] [CrossRef]
- Zakharov, V.E. Statistical theory of gravity and capillary waves on the surface of a finite-depth fluid. Eur. J. Mech. B/Fluids 1999, 18, 327–344. [Google Scholar] [CrossRef]
- Onorato, M.; Osborne, A.R.; Jannsen, P.A.E.M.; Resio, D. Four-wave resonant interactions in the classicalquadratic Boussinesq equations. J. Fluid Mech. 2009, 618, 263–277. [Google Scholar] [CrossRef]
- Boyd, J.P. Chebyshev and Fourier Spectral Methods; Dover: New York, NY, USA, 2001. [Google Scholar]


















Disclaimer/Publisher’s Note: The statements, opinions and data contained in all publications are solely those of the individual author(s) and contributor(s) and not of MDPI and/or the editor(s). MDPI and/or the editor(s) disclaim responsibility for any injury to people or property resulting from any ideas, methods, instructions or products referred to in the content. |
© 2025 by the authors. Licensee MDPI, Basel, Switzerland. This article is an open access article distributed under the terms and conditions of the Creative Commons Attribution (CC BY) license (https://creativecommons.org/licenses/by/4.0/).
Share and Cite
Maleewong, M.; Grimshaw, R. Evolution of Wind-Generated Shallow-Water Waves in the Framework of a Modified Kadomtsev–Petviashvili Equation. Fluids 2025, 10, 61. https://doi.org/10.3390/fluids10030061
Maleewong M, Grimshaw R. Evolution of Wind-Generated Shallow-Water Waves in the Framework of a Modified Kadomtsev–Petviashvili Equation. Fluids. 2025; 10(3):61. https://doi.org/10.3390/fluids10030061
Chicago/Turabian StyleMaleewong, Montri, and Roger Grimshaw. 2025. "Evolution of Wind-Generated Shallow-Water Waves in the Framework of a Modified Kadomtsev–Petviashvili Equation" Fluids 10, no. 3: 61. https://doi.org/10.3390/fluids10030061
APA StyleMaleewong, M., & Grimshaw, R. (2025). Evolution of Wind-Generated Shallow-Water Waves in the Framework of a Modified Kadomtsev–Petviashvili Equation. Fluids, 10(3), 61. https://doi.org/10.3390/fluids10030061

