Experimental Study of Sidewall Pressure Induced by Ferroparticles in Fluid under a Pulsating Magnetic Field
Abstract
1. Introduction
2. Experimental
2.1. Experimental Setup
2.2. Electrical Instrumentation
2.3. The In-House Pressure Sensor
2.4. Measurement Errors
2.5. Preparation of Particle Suspension
2.6. Experimental Method
3. Results and Discussions
3.1. Behaviour of Particles in Steady Magnetic Field
3.2. Behaviour of Particles in a Pulsating Electromagnetic Field
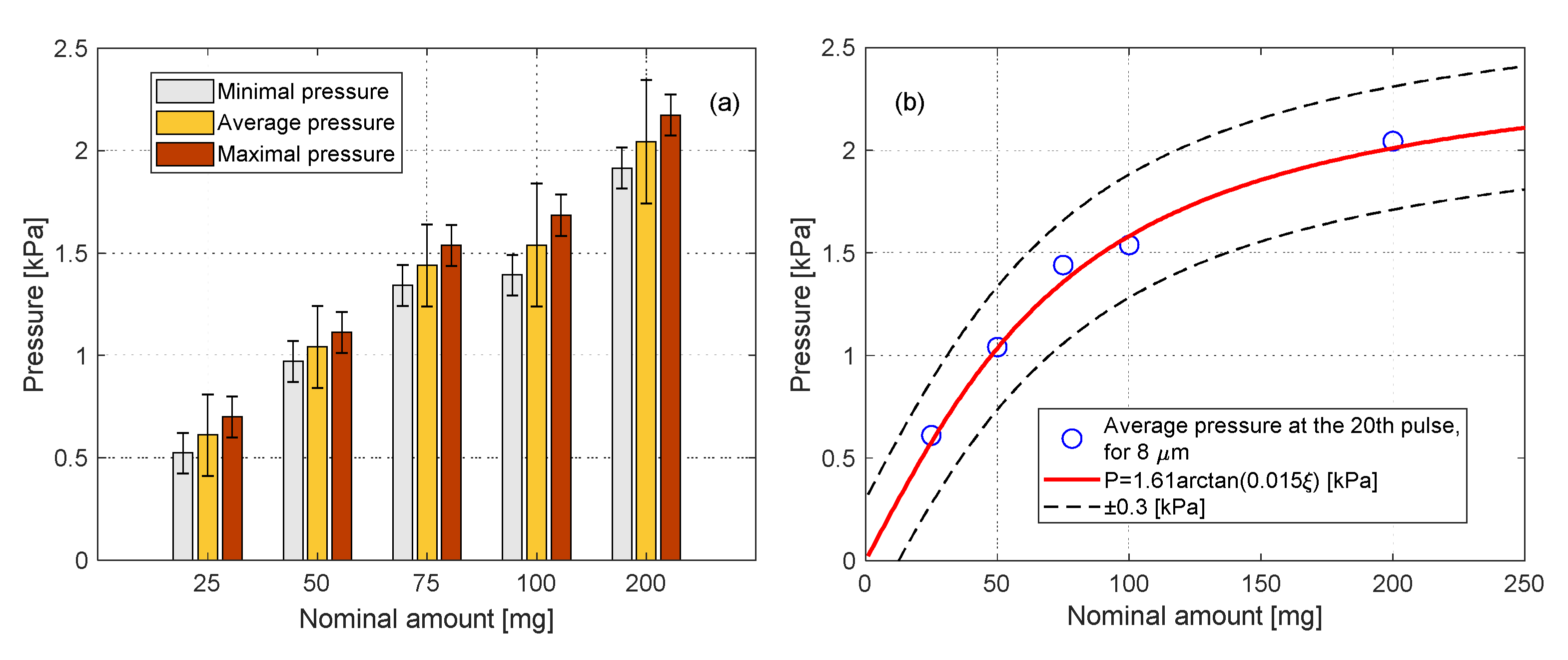
3.3. Pressure Measurements
4. Conclusions
Author Contributions
Funding
Acknowledgments
Conflicts of Interest
References
- Pankhurst, Q.A.; Connolly, J.; Jones, S.K.; Dobson, J. Applications of magnetic nanoparticles in biomedicine. J. Phys. D. Appl. Phys. 2003, 36, 167–181. [Google Scholar] [CrossRef]
- Jolly, M.R.; Bender, J.W.; Carlson, J.D. Properties and applications of commercial magnetorheological fluids. J. Intell. Mater. Syst. Struct. 1999, 10, 5–13. [Google Scholar] [CrossRef]
- Raj, K.; Moskowitz, R. Commercial applications of ferrofluids. J. Magn. Magn. Mater. 1990, 85, 233–245. [Google Scholar] [CrossRef]
- Alberto, N.; Domingues, M.F.; Marques, C.; André, P.; Antunes, P. Optical fiber magnetic field sensors based on magnetic fluid: A review. Sensors 2018, 18, 4325. [Google Scholar] [CrossRef]
- Nkurikiyimfura, I.; Wang, Y.; Pan, Z. Heat transfer enhancement by magnetic nanofluids—A review. Renew. Sustain. Energy Rev. 2013, 21, 548–561. [Google Scholar] [CrossRef]
- Goharkhah, M.; Salarian, A.; Ashjaee, M.; Shahabadi, M. Convective heat transfer characteristics of magnetite nanofluid under the influence of constant and alternating magnetic field. Powder Technol. 2015, 274, 258–267. [Google Scholar] [CrossRef]
- Rotenberg, M.Y.; Gabay, H.; Etzion, Y.; Cohen, S. Feasibility of leadless cardiac pacing using injectable magnetic microparticles. Sci. Rep. 2016, 6, 24635. [Google Scholar] [CrossRef] [PubMed]
- Cooper, P.J.; Epstein, A.; MacLeod, I.A.; Schaaf, S.T.M.; Sheldon, J.; Boulin, C.; Kohl, P. Soft tissue impact characterisation kit (STICK) for ex situ investigation of heart rhythm responses to acute mechanical stimulation. Prog. Biophys. Mol. Biol. 2006, 90, 444–468. [Google Scholar] [CrossRef]
- Bombard, A.J.F.; Joekes, I.; Alcântara, M.R.; Knobel, M. Magnetic susceptibility and saturation magnetization of some carbonyl iron powders used in magnetorheological fluids. Mater. Sci. Forum 2003, 416–418, 753–758. [Google Scholar] [CrossRef]
- Patocka, F.; Schlögl, M.; Schneider, M.; Schmid, U. Novel MEMS sensor for detecting magnetic particles in liquids. Proceedings 2018, 2, 868. [Google Scholar] [CrossRef]
- Li, W.; Han, Y.; Xu, R.; Gong, E. A preliminary investigation into separating performance and magnetic field characteristic analysis based on a novel matrix. Minerals 2018, 8, 94. [Google Scholar]
- Shah, Y.Y.; Maldonado-Camargo, L.; Patel, N.S.; Biedrzycki, A.H.; Yarmola, E.G.; Dobson, J.; Rinaldi, C.; Allen, K.D. Magnetic particle translation as a surrogate measure for synovial fluid mechanics. J. Biomech. 2017, 60, 9–14. [Google Scholar] [CrossRef]
- Mishima, F.; Takeda, S.; Izumi, Y.; Nishijima, S. Development of magnetic field control for magnetically targeted drug delivery system using a superconducting magnet. IEEE Trans. Appl. Supercond. 2007, 17, 2303–2306. [Google Scholar] [CrossRef]
- Avilés, M.O.; Ebner, A.D.; Ritter, J.A. In vitro study of magnetic particle seeding for implant-assisted-magnetic drug targeting: Seed and magnetic drug carrier particle capture. J. Magn. Magn. Mater. 2009, 321, 1586–1590. [Google Scholar] [CrossRef]
- Oldenburg, C.; Borglin, S.; Moridis, G. Numerical simulation of ferrofluid flow for subsurface environmental engineering applications. Transp. Porous Media 2000, 319–344. [Google Scholar] [CrossRef]
- Moridis, G.J.; Borgh, S.E.; Oldenburg, C.M.; Becker, A. Theoretical and Experimental Investigations of Ferrofluids for Guiding aid Detecting Liquids in the Subsurface; Lawrence Berkeley National Lab., Earth Sciences Div.: Berkeley, CA, USA, 1998. [Google Scholar]
- Luo, L.; He, Y. Magnetically induced flow focusing of non- magnetic microparticles in ferrofluids under inclined magnetic fields. Micromachines 2019, 10, 56. [Google Scholar] [CrossRef]
- Ganguly, R.; Gaind, A.P.; Sen, S.; Puri, I.K. Analyzing ferrofluid transport for magnetic drug targeting. J. Magn. Magn. Mater. 2005, 289, 331–334. [Google Scholar] [CrossRef]
- Ganguly, R.; Gaind, A.P.; Puri, I.K. A strategy for the assembly of three-dimensional mesoscopic structures using a ferrofluid. Phys. Fluids 2005, 17, 1–9. [Google Scholar] [CrossRef]
- Ganguly, R.; Zellmer, B.; Puri, I.K. Field-induced self-assembled ferrofluid aggregation in pulsatile flow. Phys. Fluids 2005, 17, 1–8. [Google Scholar] [CrossRef]
- Balakin, B.V.; Notøy, I.; Hoffmann, A.C.; Kosinski, P. The formation of deposit in a magnetic fluid: Numerical and experimental study. Powder Technol. 2012, 228, 108–114. [Google Scholar] [CrossRef]
- Aminfar, H.; Mohammadpourfard, M.; Mohseni, F. Two-phase mixture model simulation of the hydro-thermal behavior of an electrical conductive ferrofluid in the presence of magnetic fields. J. Magn. Magn. Mater. 2011, 324, 830–842. [Google Scholar] [CrossRef]
- Aminfar, H.; Mohammadpourfard, M.; Zonouzi, S.A. Numerical study of the ferrofluid flow and heat transfer through a rectangular duct in the presence of a non-uniform transverse magnetic field. J. Magn. Magn. Mater. 2013, 327, 31–42. [Google Scholar] [CrossRef]
- Aminfar, H.; Mohammadpourfard, M.; Kahnamouei, Y.N. A 3D numerical simulation of mixed convection of a magnetic nanofluid in the presence of non-uniform magnetic field in a vertical tube using two phase mixture model. J. Magn. Magn. Mater. 2011, 323, 1963–1972. [Google Scholar] [CrossRef]
- Alexiou, C.; Diehl, D.; Henninger, P.; Iro, H.; Röckelein, R.; Schmidt, W.; Weber, H. A high field gradient magnet for magnetic drug targeting. IEEE Trans. Appl. Supercond. 2006, 16, 1527–1530. [Google Scholar] [CrossRef]
- Horabik, J.; Beczek, M.; Mazur, R.; Parafiniuk, P.; Ryżak, M.; Molenda, M. Determination of the restitution coefficient of seeds and coefficients of visco-elastic Hertz contact models for DEM simulations. Biosyst. Eng. 2017, 161, 106–119. [Google Scholar] [CrossRef]
- Pérez-Castillejos, R.; Plaza, J.A.; Esteve, J.; Losantos, P.; Acero, M.C.; Cané, C.; Serra-Mestres, F. Use of ferrofluids in micromechanics. Sens. Actuators A Phys. 2000, 84, 176–180. [Google Scholar] [CrossRef]
- Zubarev, A.Y.; Odenbach, S.; Fleischer, J. Rheological properties of dense ferrofluids. Effect of chain-like aggregates. J. Magn. Magn. Mater. 2002, 252, 241–243. [Google Scholar] [CrossRef]
- Zubarev, A.Y.; Fleischer, J.; Odenbach, S. Towards a theory of dynamical properties of polydisperse magnetic fluids: Effect of chain-like aggregates. Phys. A Stat. Mech. Appl. 2005, 358, 475–491. [Google Scholar] [CrossRef]















© 2020 by the authors. Licensee MDPI, Basel, Switzerland. This article is an open access article distributed under the terms and conditions of the Creative Commons Attribution (CC BY) license (http://creativecommons.org/licenses/by/4.0/).
Share and Cite
Werner, O.; Azulay, A.; Mikhailovich, B.; Levy, A. Experimental Study of Sidewall Pressure Induced by Ferroparticles in Fluid under a Pulsating Magnetic Field. Fluids 2020, 5, 98. https://doi.org/10.3390/fluids5020098
Werner O, Azulay A, Mikhailovich B, Levy A. Experimental Study of Sidewall Pressure Induced by Ferroparticles in Fluid under a Pulsating Magnetic Field. Fluids. 2020; 5(2):98. https://doi.org/10.3390/fluids5020098
Chicago/Turabian StyleWerner, Or, Asaf Azulay, Boris Mikhailovich, and Avi Levy. 2020. "Experimental Study of Sidewall Pressure Induced by Ferroparticles in Fluid under a Pulsating Magnetic Field" Fluids 5, no. 2: 98. https://doi.org/10.3390/fluids5020098
APA StyleWerner, O., Azulay, A., Mikhailovich, B., & Levy, A. (2020). Experimental Study of Sidewall Pressure Induced by Ferroparticles in Fluid under a Pulsating Magnetic Field. Fluids, 5(2), 98. https://doi.org/10.3390/fluids5020098

