Stochastic Modelling of Turbulent Flows for Numerical Simulations
Abstract
1. Introduction
2. Pseudo-Stochastic Model
2.1. Stochastic Formalism
2.2. Pseudo-Stochastic Equations of Motion
2.3. Isotropic Constant Model
2.4. Near-Wall Modelling for Isotropic Model
2.5. Local Variance Model
2.6. Resolved Kinetic Energy Budget
- the first four terms express spatial transport;
- the fifth term is a turbulent compression/expansion term due to SUS;
- the sixth and seventh terms account for dissipation by molecular viscosity, resolved turbulence, and SUS motions;
- the eight term represents the shear production, including the contribution by the fluctuations of turbulent advection velocity;
- the last term indicates a loss due to SUS; this term is also present in the resolved kinetic energy budget.
3. Physical Interpretation and Comparison with Les Models
3.1. Physical Interpretation
- Effective advection: the advection velocity is corrected by an inhomogeneous turbulence contribution. As pointed out by Resseguier et al. [16], it corresponds to a velocity induced by the unresolved eddies, that is linked to the turbophoresis phenomenon detectable in geophysical flows; i.e., the tendency of the fluid-particle to migrate in the direction of less energetic turbulence.
- Diffusion due to SUS: the last two terms on the right-hand side of Equation (19) account for the turbulent diffusion; the variance tensor plays the role of a diffusion tensor similar to a generalised eddy-viscosity coefficient. Both deformation rate and rotation-rate contribute to diffusion, unlike in the classical eddy-viscosity model.
- Turbulent compressibility: the continuity Equation (20) suggests that the flow is turbulent-compressible; i.e., the unresolved turbulence induces a local fluid compression or expansion.
3.2. Comparison with Les Eddy-Viscosity Models
3.3. Remarks on Eddy-Viscosity Model
- The effects of unresolved scales of motion are given by , without imposing any constraint on the directions along which the SUS acts. Hence, the hypothesis (a) is not required.
- The tensor form of allows reproducing the anisotropy of unresolved turbulence, i.e., different turbulent contributions along different directions. Thus, hypothesis (b) is not required.
- The extra terms in the governing equations account for turbulent effects, usually not considered in the classical models, namely turbulent advection and turbulent compressibility.
3.4. Remarks on Smagorinsky Model
- the rotation-rate does not contribute to turbulence effects on the mean flow;
- the norm of the strain-rate tensor is almost harmonic (Laplacian is close to zero).
4. Simulation Methodologies
4.1. Methodology and Implementation
4.2. Case Geometry and Settings
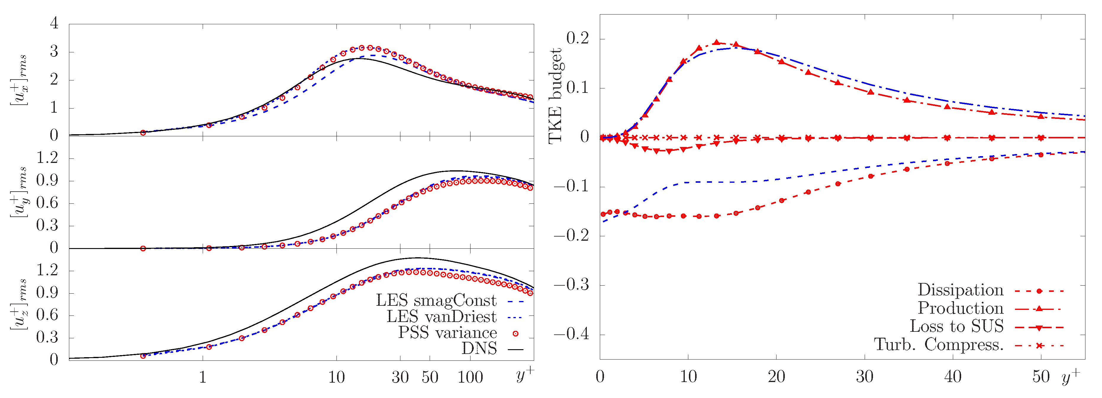
5. Results and Discussion
PSS Extra Terms
6. Conclusions
Author Contributions
Funding
Conflicts of Interest
Appendix A. Mathematical Derivation of Local Variance Model
References
- Pope, S. Turbulent Flows; Cambridge University Press: Cambridge, UK, 2000. [Google Scholar]
- Pope, S.B. A Lagrangian two-time probability density function equation for inhomogeneous turbulent flows. Phys. Fluids 1983, 26, 3448–3450. [Google Scholar] [CrossRef]
- Durbin, P.A.; Speziale, C.G. Realizability of second-moment closure via stochastic analysis. J. Fluid Mech. 1994, 280, 395–407. [Google Scholar] [CrossRef]
- Orszag, S.A. Analytical theories of turbulence. J. Fluid Mech. 1970, 41, 363–386. [Google Scholar] [CrossRef]
- Leslie, D.C. Developments in the Theory of Turbulence; Clarendon Press: Oxford, UK, 1973. [Google Scholar]
- Chasnov, J.R. Simulation of the Kolmogorov inertial subrange using an improved subgrid model. Phys. Fluids A Fluid Dyn. 1991, 3, 188–200. [Google Scholar] [CrossRef]
- Leith, C.E. Stochastic backscatter in a subgrid-scale model: Plane shear mixing layer. Phys. Fluids A Fluid Dyn. 1990, 2, 297–299. [Google Scholar] [CrossRef]
- Kraichnan, R.H. Dynamics of nonlinear stochastic systems. J. Math. Phys. 1961, 2, 124–148. [Google Scholar] [CrossRef]
- Frederiksen, J.S.; O’Kane, T.J.; Zidikheri, M.J. Subgrid modelling for geophysical flows. Philos. Trans. R. Soc. A 2013, 371. [Google Scholar] [CrossRef][Green Version]
- Brzeźniak, Z.; Capiński, M.; Flandoli, F. Stochastic partial differential equations and turbulence. Math. Model. Methods Appl. Sci. 1991, 1, 41–59. [Google Scholar] [CrossRef]
- Mikulevicius, R.; Rozovskii, B.L. Stochastic Navier–Stokes Equations for Turbulent Flows. SIAM J. Math. Anal. 2004, 35, 1250–1310. [Google Scholar] [CrossRef]
- Flandoli, F. The Interaction Between Noise and Transport Mechanisms in PDEs. Milan J. Math. 2011, 79, 543–560. [Google Scholar] [CrossRef]
- Mémin, E. Fluid flow dynamics under location uncertainty. Geophys. Astrophys. Fluid Dyn. 2014, 108, 119–146. [Google Scholar] [CrossRef]
- Neves, W.; Olivera, C. Wellposedness for stochastic continuity equations with Ladyzhenskaya–Prodi–Serrin condition. Nonlinear Differ. Equations Appl. NoDEA 2015, 22, 1247–1258. [Google Scholar] [CrossRef]
- Holm, D.D. Variational principles for stochastic fluid dynamics. Proc. R. Soc. Lond. A Math. Phys. Eng. Sci. 2015, 471. [Google Scholar] [CrossRef] [PubMed]
- Resseguier, V.; Mémin, E.; Chapron, B. Geophysical flows under location uncertainty, Part I: Random transport and general models. Geophys. Astrophys. Fluid Dyn. 2017, 111, 149–176. [Google Scholar] [CrossRef]
- Resseguier, V.; Mémin, E.; Chapron, B. Geophysical flows under location uncertainty, Part II: Quasi-geostrophy and efficient ensemble spreading. Geophys. Astrophys. Fluid Dyn. 2017, 111, 177–208. [Google Scholar] [CrossRef]
- Resseguier, V.; Mémin, E.; Chapron, B. Geophysical flows under location uncertainty, Part III: SQG and frontal dynamics under strong turbulence conditions. Geophys. Astrophys. Fluid Dyn. 2017, 111, 209–227. [Google Scholar] [CrossRef]
- Resseguier, V.; Li, L.; Jouan, G.; Dérian, P.; Mémin, E.; Chapron, B. New Trends in Ensemble Forecast Strategy: Uncertainty Quantification for Coarse-Grid Computational Fluid Dynamics. Arch. Computat. Methods Eng. 2020, 1–82. [Google Scholar] [CrossRef]
- Bauer, W.; Chandramouli, P.; Chapron, B.; Li, L.; Mémin, E. Deciphering the Role of Small-Scale Inhomogeneity on Geophysical Flow Structuration: A Stochastic Approach. J. Phys. Oceanogr. 2020, 50, 983–1003. [Google Scholar] [CrossRef]
- Bauer, W.; Chandramouli, P.; Li, L.; Mémin, E. Stochastic representation of mesoscale eddy effects in coarse-resolution barotropic models. Ocean Model. 2020, 151, 101646. [Google Scholar] [CrossRef]
- Chapron, B.; Dérian, P.; Mémin, E.; Resseguier, V. Large-scale flows under location uncertainty: A consistent stochastic framework. Q. J. R. Meteorol. Soc. 2017, 144, 251–260. [Google Scholar] [CrossRef]
- Resseguier, V.; Mémin, E.; Heitz, D.; Chapron, B. Stochastic modelling and diffusion modes for proper orthogonal decomposition models and small-scale flow analysis. J. Fluid Mech. 2017, 826, 888–917. [Google Scholar] [CrossRef]
- Pinier, B.; Mémin, E.; Laizet, S.; Lewandowski, R. Stochastic flow approach to model the mean velocity profile of wall-bounded flows. Phys. Rev. E 2019, 99, 063101. [Google Scholar] [CrossRef] [PubMed]
- Harouna, S.K.; Mémin, E. Stochastic representation of the Reynolds transport theorem: Revisiting large-scale modeling. Comput. Fluids 2017, 156, 456–469. [Google Scholar] [CrossRef]
- Chandramouli, P.; Heitz, D.; Laizet, S.; Mémin, E. Coarse large-eddy simulations in a transitional wake flow with flow models under location uncertainty. Comput. Fluids 2018, 168, 170–189. [Google Scholar] [CrossRef]
- Resseguier, V. Mixing and Fluid Dynamics under Location Uncertainty. Ph.D. Thesis, University of Rennes 1 and Inria Rennes, Bretagne Atlantique, France, 2017. [Google Scholar]
- Øksendal, B. Stochastic Differential Equations; Springer: Berlin/Heidelberg, Germany, 2003. [Google Scholar] [CrossRef]
- Kunita, H. Stochastic Flows and Stochastic Differential Equations; Cambridge University Press: Cambridge, UK, 1997. [Google Scholar]
- Deardorff, J.W. A numerical study of three-dimensional turbulent channel flow at large Reynolds numbers. J. Fluid Mech. 1970, 41, 453–480. [Google Scholar] [CrossRef]
- Kundu, P.; Cohen, I.M. Fluid Mechanics, 3rd ed.; Elsevier Academic Press: Cambridge, MA, USA, 2004. [Google Scholar]
- Sagaut, P. Large Eddy Simulation for Incompressible Flows. An Introduction; Springer: Berlin/Heidelberg, Germany, 2000. [Google Scholar]
- Piomelli, U. Large-eddy and direct simulation of turbulent flows. In Proceedings of the CFD 2001—9th Conférence Annuelle de la Société Canadienne de CFD, Waterloo, ON, Canada, 27–29 May 2001. [Google Scholar]
- Lilly, D.K. The Representation of Small-Scale Tubulence in Numerical Simulation Experiments. In Proceedings of IBM Scientific Computing Symposium on Environmental Sciences, Yorktown Heights; Goldstine, H.H., Ed.; IBM, Data Processing Division: Armonk, NY, USA, 1967; pp. 195–210. [Google Scholar] [CrossRef]
- Van Driest, E. On turbulent flow near a wall. J. Aeronaut. Sci. 1956, 23, 1007–1011. [Google Scholar] [CrossRef]
- Piomelli, U.; Ferziger, J.; Moin, P.; Kim, J. New approximate boundary conditions for large eddy simulations of wall-bounded flows. Phys. Fluids A Fluid Dyn. 1989, 1, 1061–1068. [Google Scholar] [CrossRef]
- Cabot, W.; Moin, P. Approximate Wall Boundary Conditions in the Large-Eddy Simulation of High Reynolds Number Flow. Flow Turbul. Combust. 2000, 63, 269–291. [Google Scholar] [CrossRef]
- Nicoud, F.; Ducros, F. Subgrid-Scale Stress Modelling Based on the Square of the Velocity Gradient Tensor. Flow Turbul. Combust. 1999, 62, 183–200. [Google Scholar] [CrossRef]
- Métais, O.; Lesieur, M. Spectral large-eddy simulation of isotropic and stably stratified turbulence. J. Fluid Mech. 1992, 239, 157–194. [Google Scholar] [CrossRef]
- Moser, R.D.; Kim, J.; Mansour, N.N. Direct numerical simulation of turbulent channel flow up to Reτ = 590. Phys. Fluids 1999, 11, 943–945. [Google Scholar] [CrossRef]
- Jasak, H.; Weller, H.; Gosman, A. High resolution NVD differencing scheme for arbitrarily unstructured meshes. Int. J. Numer. Meth. Fluids 1999, 31, 431–449. [Google Scholar] [CrossRef]
- Issa, R.I.; Gosman, A.D.; Watkins, A.P. The computation of compressible and incompressible recirculating flows by a non-iterative implicit scheme. J. Comput. Phys. 1986, 62, 66. [Google Scholar] [CrossRef]
- Oliveira, P.J.; Issa, P.I. An improved PISO algorithm for the computation of bouyancy driven flows. Numer. Heat Transf. Part B Fundam. 2001, 640, 473. [Google Scholar] [CrossRef]
- Castaño, S.L.; Petronio, A.; Petris, G.; Armenio, V. Assessment of Solution Algorithms for LES of Turbulent Flows Using OpenFOAM. Fluids 2019, 4, 171. [Google Scholar] [CrossRef]
- Armenio, V.; Piomelli, U. A Lagrangian Mixed Subgrid-Scale Model in Generalized Coordinates. Flow Turbul. Combust. 2000, 65, 51–81. [Google Scholar] [CrossRef]
- Piomelli, U. Large-eddy simulation: Achievements and challenges. Prog. Aerosp. Sci. 1999, 35, 335–362. [Google Scholar] [CrossRef]
- Smith, C.R.; Metzler, S.P. The characteristics of low-speed streaks in the near-wall region of a turbulent boundary layer. J. Fluid Mech. 1983, 129, 27–54. [Google Scholar] [CrossRef]
- Chernyshenko, S.I.; Baig, M.F. The mechanism of streak formation in near-wall turbulence. J. Fluid Mech. 2005, 544, 99–131. [Google Scholar] [CrossRef]
- Le Gall, J.F. Brownian Motion, Martingales, and Stochastic Calculus; Springer International Publishing: Cham, Switzerland, 2016. [Google Scholar] [CrossRef]




© 2020 by the authors. Licensee MDPI, Basel, Switzerland. This article is an open access article distributed under the terms and conditions of the Creative Commons Attribution (CC BY) license (http://creativecommons.org/licenses/by/4.0/).
Share and Cite
Cintolesi, C.; Mémin, E. Stochastic Modelling of Turbulent Flows for Numerical Simulations. Fluids 2020, 5, 108. https://doi.org/10.3390/fluids5030108
Cintolesi C, Mémin E. Stochastic Modelling of Turbulent Flows for Numerical Simulations. Fluids. 2020; 5(3):108. https://doi.org/10.3390/fluids5030108
Chicago/Turabian StyleCintolesi, Carlo, and Etienne Mémin. 2020. "Stochastic Modelling of Turbulent Flows for Numerical Simulations" Fluids 5, no. 3: 108. https://doi.org/10.3390/fluids5030108
APA StyleCintolesi, C., & Mémin, E. (2020). Stochastic Modelling of Turbulent Flows for Numerical Simulations. Fluids, 5(3), 108. https://doi.org/10.3390/fluids5030108

