Next Article in Journal
Predictions of Vortex Flow in a Diesel Multi-Hole Injector Using the RANS Modelling Approach
Next Article in Special Issue
Modeling and Parameterization of the Evaporation and Thermal Decomposition of an Iron(III) Nitrate Nonahydrate/Ethanol Droplet for Flame Spray Pyrolysis
Previous Article in Journal
Rheological Characterization of Non-Newtonian Mixtures by Pressure Pipe Tests
 
 
Font Type:
Arial Georgia Verdana
Font Size:
Aa Aa Aa
Line Spacing:
Column Width:
Background:
Article

A Numerical Study of Spray Strips Analysis on Fridsma Hull Form

Department of Naval Architecture, Faculty of Engineering, Diponegoro University, Semarang 50275, Indonesia
*
Author to whom correspondence should be addressed.
Fluids 2021, 6(11), 420; https://doi.org/10.3390/fluids6110420
Submission received: 31 August 2021 / Revised: 4 November 2021 / Accepted: 9 November 2021 / Published: 22 November 2021
(This article belongs to the Special Issue Numerical Simulations of Spray Processes)

Abstract

:
Spray strips are deflectors added to the hull to reduce the Wetted Surface Area (WSA). The reduced WSA will decrease the total ship drag caused by the deflection of the spray strip installation. The research aimed to predict the function of the spray strip to improve ship performance using Computational Fluid Dynamics (CFD). The numerical approach in this study used the Finite Volume Method (FVM) with the RANS (Reynolds-averaged Navier–Stokes) equation to solve fluid dynamics problems. VOF (Volume of Fluid) was used to model the water and air phases. The results of this study indicated that the number of spray strips would have a significant effect compared to without using a spray strip. Spray strips with three strips could reduce the total resistance by 4.9% at Fr 1.78. Spray strips would increase the total resistance value by 2.1% at low speeds. Spray strips were effective for reducing total resistance at Fr > 1 or the planing mode conditions. The total resistance prediction used three suggestion profiles with the best performance to reduce total resistance by 6.0% at Fr 1.78.

1. Introduction

High-speed vessels have unique characteristics, such as dynamic pressure at the hull’s bottom, slamming, porpoising, trim, and heave. According to research on high-speed planing hull, 15–20% spray resistance can occur along the moving hull [1,2].
The Spray Strip is a ship hull modification that reduces the wetted surface area (WSA), especially in the spray area. Spray strips work by deflecting the spray stream in front of the stagnation line. The determination of the stagnation line is significant to apply spray strips. The stagnation line definition is discussed in detail in several studies.
Clement conducted experimental research on spray strips to reduce the total drag of the ship by 15%. The most effective spray rail application is used on deadrises smaller than 20°. However, the addition of spray strips increases the value of the ship’s resistance at low speeds [3]. It is caused by the addition of the wetted surface area of the spray strip profile. Lakatos et al. (2018) conducted experiments on spray strips/deflectors with various shapes and geometries. The results showed that the spray strip reduced the total resistance by 2% at Fr 1.4 but increased by 4% at Fr 0.8 [4]. Molchanov et al. carried out the spray rail experiment. As a result, the spray rail reduced resistance by 9% [5]. Recent studies have shown that the retrofitted deflectors can reduce the total resistance by 5% [6].
Gerald Fridsma provides experimental testing of planing hull by performing several parameters such as L/B, displacement, deadrise angle, LCG (Longitudinal Center of Gravity). The test was carried out in two conditions, namely calm and wave conditions [7]. This research is used as a reference for validating the following numerical calculations due to the simple shape of the ship. In addition, the simple shape of the vessel is a part of the reason for its popularity. The range of different effective parameters is so wide that enable us to check the performance of our models, either mathematical or numerical ones [6,8,9,10]. Numerical verification using the CFD Ship-Iowa code shows a similar trend with an average error rate of 10.6% [9]. A numerical ventilation problem becomes a challenge in the study of numerical simulation. Studies on this issue have been conducted to predict the total drag of fast ships [11,12]. The other study, Fridsma hull was used for numerical verification of OpenFOAM code in seaplane simulation during takeoff [13].
The Savitsky method is a semi-empirical method that is most commonly used to predict drag on fast ships, which can evaluate the performance of prismatic hulls by computing running trim and sinkage. The Savitsky method can calculate the wetted area, lift, drag, and center of pressure of hard chine prismatic surfaces [14]. The development of the method was carried out to obtain more accurate results [14,15]. Yousefi investigated a technique for analyzing resistance for a high-speed planing hull based on analytical and numerical techniques. Their results show that FVM is an accurate method for simulating turbulent and free surface flow to predict ship resistance. The Finite element methods can be used to predict the total drag of the ship. However, there are limitations related to the ship’s response to trim and heave. An investigation of ship resistance was carried out using a numerical approach combined with classical slender body theory. The tdyn code, based on full FEM, was used to analyze the resistance of catamaran components. The three-dimensional domain was solved using the incompressible Navier–Stokes on the Tdyn code. The standard k-ε and k-ω models represent the turbulence models [16]. The method developed by Bilandi, which predicts the calm water performance of a doubled-stepped planing hull, uses Computational Fluid Dynamics (CFD) simulations to evaluate the difference between the results of the 2D + T and CFD method. The results of both methods show that they predict almost similar heeling moment, resistance, and trim angle [17]. Another study using the same method explored the dynamic of a planing hull in regular waves. The 2D + T model found that the vertical acceleration is under-predicted at moderate and long wavelengths and over-predicted at short waves [18]. They also demonstrated that in wave conditions to understand the motion of a vessel [19]. The Numerical simulation has been carried out to obtain predictions on the use of spray rails. Olin studied the shape profile using the 2D concept and could reduce the total resistance by 4% [20].
The overset grid method is a mesh motion technique using donor-acceptor cells. The active cells are located at each end of the overset geometry, acting as an intermediary for donor-acceptor cells, while the passive cells are in the background, replaced by overset cells. This method is recommended for the complex fluid–structure approach. It was used for the planing hull studies [10,21,22]. However, the overset approach should note interpolations between the background and the overset area, caused by the larger vorticity computed in the direction of the waves generated under the bow of the vessel [23]. In another study, it was found that the morphing technique is more reliable compared to an overset technique. However, they found that The Root Mean Square (RMS) value in predicting resistance using the overset technique was better than the morphing technique. They provide resistance, trim angle, wetted surface, and keel-wetted length in hull-propeller interactions for planing boats [21].
This research aims to analyze the spray strips of the total ship resistance. The number and shape profile of spray strips will be applied to reduce the total drag of the ship. The research contribution will provide information about the effect of spray strips using numerical simulation that still few studies was conducted.
This paper is an overview of knowledge regarding the effects of spray rails technologies on resistance. The principle of this concept is to deflect the spray on the stagnation line, thereby reducing the wetted surface area. A concept for the spray rails system has been developed by [20], which is applied 2D and 3D computational fluid dynamic models to study the behavior of the spray deflectors in the calm water condition, potentially reducing the engine power required for a given speed. The frictional resistance of the spray rail can be reduced by using a deflection that separates the spray sheet from the hull and reduces the spray wetted area. The form of the spray rails has a significant impact on their effectiveness. However, problems will arise if the spray rail is not positioned properly, has an inappropriate thickness, or an incorrect shape. In the present research, a new shape of the sprail rail is created to find the new suggestion profile.
One approach for modelling the spray rail system for planing hulls is based on representing the three-dimensional (3D) flow based on RANS to describe turbulent flows. It is based on finite-volume computational fluid dynamics, and an overset grid approach was used to model the rigid body motion. A validation study was conducted by comparing the results with the Fridsma benchmark towing tank experiment and the Savitsky method.
The present paper aims to fill the gap in modelling spray rail in calm water condition by simulating performance of planing hulls equipped with a new type of spray rail, which is different from common ones. This helps us to gain an improved understanding of the effects of the spray rail pattern on performance. Viscous air-water flow is solved by employing an FVM-based code, which can solve RANS equations and solve the mesh motion by means of overset technique. Previous work has only focused on 2D, and 3D flat planing plate, meaning the effect of the deflector on the lift has not yet been considered. In the present research, in order to study the dynamic behavior of ships with free heave and trim conditions to observe the ship’s response, the research aims to compute and analyze the effects of spray strips on the total resistance force acting on a prismatic planing hull. It will be shown how the number of spray strips attached to the hull and their geometry can affect the performance of a vessel advancing in planing mode. The outcome of this study helps engineers and naval architects design planing hulls with lower resistance and fuel consumption. This follows the global targets for the reduction in fossil fuel emissions. The research contribution will provide information about the effect of spray strips using a numerical simulation that is not often utilized.

2. Materials and Methods

2.1. Research Objects

In this study, we used experimental data from Fridsma as a benchmark [7]. Table 1 shows the experimental data used in the numerical simulation test. The numerical test used a deadrise angle of 20°. The test was carried out with free heave and trim conditions to see the ship’s response. The Fridsma hull model is shown in Figure 1, using a curve equation approach.

2.2. Spray Strip Profile

The test was conducted to determine the number of strips and the shaped strip of the cross-sectional profile. The profile size test referred to the experiment conducted by Olin et al. on the conventional profile [20] shown in Figure 2a. It is also used as a reference to see the spray strip performance in research conducted by Savitsky [1]. Figure 2c shows the profile of the new shape configuration as in the present study. Configuration parameters of the cross-section are shown in Figure 2.
The parameters of the number of strips in the present study are shown in Figure 3. Based on previous research, the strip installation is on the stagnation line to the bow. According to Clement’s research, the stagnation line at Fr 1.78 is used as a reference for installing strip profiles [3]. The stagnation line is located behind the spray area, this line is the boundary of the wet surface area and has the highest water pressure acting on the hull. The addition of the spray strip profile did not significantly increase the displacement. The displacement was changed by 0.22% and, therefore, can be ignored when assessing the total resistance.

2.3. Numerical Method

The star CCM+ package was used to calculate fluid flow simulation. A Fully Eulerian Finite Volume Method was used to simulate the two-phase flow of air and water. Problems involving immiscible fluid mixes and free surfaces were solved using the VOF multiphase model. A Dynamic Fluid Body Interaction (DFBI) module was used to simulate the motion of a vessel in response forces. The vessel movement was set to be free in heave and trim but fixed in roll and sway.
In the present research, Reynolds-averaged Navier–Stokes equations describe the conservation of mass and momentum in the fluid domain. Fluid was assumed to be two phase and incompressible. Thus, the RANS equations can be presented as:
· V = 0
ρ V t = - P + μ V + · T Re + S M
where ∇ is volume, V is an average velocity vector, ρ is density, t is time, P is the average compressive field, μ is dynamic viscosity, TRe is a Reynolds stress tensor, ∆ is displacement, and SM is a vector of momentum sources. The TRe component is calculated using the chosen turbulence model, according to the Boussinesq hypothesis:
τ ij Re = V i x j + V j x i - 2 3 ρ k δ ij
where μ t is the turbulent viscosity, k is the turbulent kinetic energy. Many turbulence models can be used to cover hydrodynamic problems in the RANS method. The turbulence model commonly used in the hydrodynamics field is the model of the two equations, such as SST k − ω and k − ε [22].
The overset mesh technique has two geometries: the background as the donor and the overset as the acceptor. The dimensions used in this study are shown in Figure 4, where L is the ship’s length, H is the ship’s height, and B is the ship’s width. Numerical simulations were carried out using a half hull to shorten the time consumption.
The mesh density is focused on the object and the water surface for accurate results. The mesh is locally applied using an anisotropic mesh shape at the x, y, and z ordinates. The concentration of mesh density on the strip profile can be seen in Figure 5. A mesh investigation is conducted in order to determine the optimal mesh for numerical replication of the steady planing problem. The verification of independency of the mesh resolution was conducted with five grid mesh, which has the cell numbers of 0.48 M, 0.89 M, 1.44 M, 2.33 M, and 2.99 M, respectively [24]. Mesh analysis was performed with a Froude number of 1.79. However, as the number of cells increases, all computed data converge. All of the parameters’ predicted values differ. Numerical simulation results show the number of cell 2.3 M and 2.99 M have stable results. Grid mesh 2.3 M requires more time to complete simulations than Grid mesh 2.99 M. As a result, grid mesh 2.3 M was used for the rest of the CFD simulations. This study showed quite good agreement between the numerical calculation and experiment is relatively small, which is about 11.2% of the resistance. The difference shows something similar to the study conducted by Wheeler et al. [25] and Mousaviraad et al. [9], who performed numerical simulations with the Fridsma hull form. Wheeler’s research has an error of 17.26%, and Mousaviraad’s research is 20.99% at Fr 1.79.
The wall function (y+) is used to reduce numerical simulation inaccuracies. Figure 6 shows that the value of y+ is at a value of 60–70. Meanwhile, Avci et al., in their research used the value of y+ between 45 and 60 to obtain accurate results [12]. According to ITTC, the calculation of the y+ value [26] is as follows:
y L = y + R e C f 2
The ITTC equation is used in the equation applied to the Star-CCM+ code [27], where y is the thickness of the first layer, L is the object’s length, Re is the Reynolds number, and Cf is the estimation of the friction coefficient of the object’s surface.
Time-step was used in unsteady flow simulation. The time-step is an interval period for each iterative calculation. The smaller the value, the more accurate the result obtained, and vice versa. The time-step determination of the CFD calculation depends on the ship’s speed. The faster the ship’s speed, the smaller the time-step used. The time-step determination recommended by ITTC [26] is found in Equation (5), where L is a ship’s length, and U is the ship’s speed.
t   ITTC = 0 . 005   ~   0 . 01 L U

3. Results

3.1. The Effect of the Number of Strips

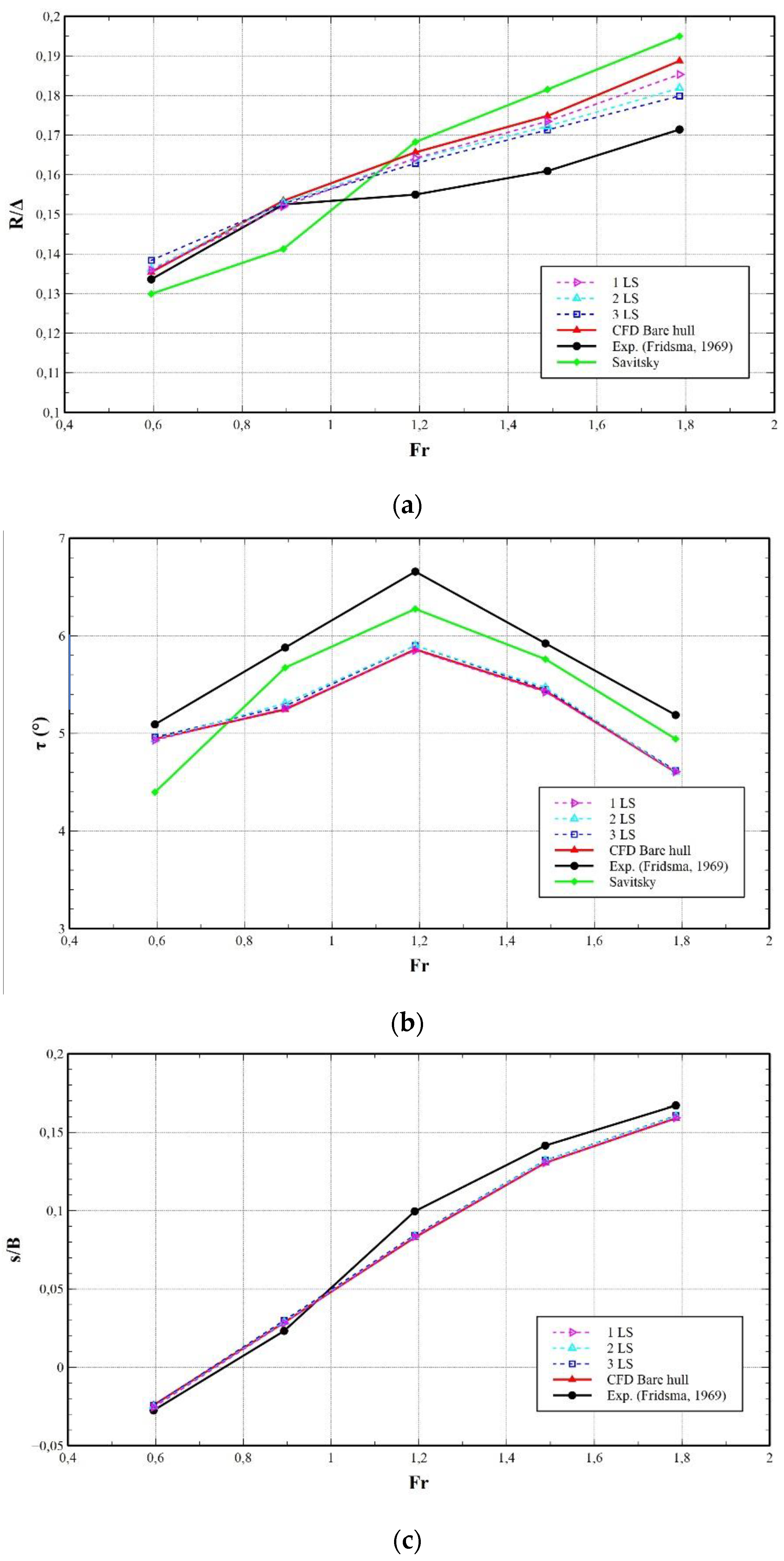
The verification of the numerical simulation results is compared with the data from the Fridsma experiment. The Froude number indicated that the ship’s speeds were the non-dimensional units. The Froude number was carried out with five speeds, namely 0.59, 0.89, 1.19, 1.49, and 1.78. Simulations were carried out with 2.3 million meshes concentrated on the water surface and hull, especially the spray strip.
The bare hull was the original Fridsma hull form without a spray strip. Models 2, 3, and 4 were modifications of the Fridsma hull form with a conventional profile (Figure 2a) with the number of profiles 1, 2, and 3, as shown in Figure 3a–c. This simulation aimed to predict the total resistance using a different number of strips.
Figure 7 shows the comparison of CFD and the experimental value of resistance, trim, and heave. The resistance is described by the non-dimensional unit R/Δ, where R is the resistance, and Δ is the displacement. The CFD bare hull showed some differences that might be caused by errors in the prediction of resistance. As it was seen, the prediction resistance was over-predicted compared to the experiment. However, in all cases, the numerical data correspond to the experimental results while being slightly smaller. Errors in the Fridsma model are seen to increase by as the speed increases. Errors in the computation of the resistance vary between Froude Number 1.2 and 1.8, which is below 9.18%. The comparison of the trim angle on the experimental and numerical bare hull shows a gap of less than 13.1%, similar to the resistance, the errors of the bare hull model increase by the increase in speed. The peak value of the trim angle occurs at Froude Number of 1.19. The comparison of heave in the experimental and numerical bare hull shows the intersection at the Froude Number 0.89 and 1.19. Compared to the experiment’s results, the prediction resistance was under predicted if the Froude number was less than 0.88 and over predicted if the Froude number is 1.19 or greater.
According to the present study, the total resistance reduction with three spray rails is about 4.9% compared to the bare hull resistance. As shown in Figure 7a, the resistance reduction is due to the reduction in the wetted surface area and the related reduction in the viscous drag, whereas the rest is due to the deflection of the spray afterwards. The spray deflection component is obtained by integrating projecting the force in the forward direction and the pressure over the spray rails.
In a high-speed planing vessel, trim is a key component because it affects the total resistance and determines the stagnation line’s location on the hull. Trim is produced by a combination of moments of propulsion, water pressure, drag, and lift. Figure 7b shows that spray rails can change the running trim angle, causing a reduction in overall resistance. This is due to a change in running position. However, there were no significant differences between the numbers of spray rails. It is also stated by [5] that the main key to designing a deflector is not changing the trim angle so that the effect of only spray deflection could be assessed.
Figure 7c shows a value of heave with non-dimensional units of s/B and s as the initial and final center of gravity on the axis of z and B as ship’s width. The increase in heave at each speed indicates an increase in the total lift caused by the hull. It can be seen that heave is not affected by the number of spray rails. The total lift on the different number of spray rails does not affect changing the heave.
Comparison of simulation results is reported using the CFD approach, Savitsky method, and experiments. The results of the simulation showed an acceptable trend. The difference in the gap between the CFD simulation results occurred at Fr > 0.89. Savitsky’s method calculation underestimated the prediction of the total resistance at the small Fr, and the large Fr was over predicted.
In the CFD simulation, the total resistance at low Fr showed a pattern close to the experiment. In contrast, a high Fr at bare hulls showed different predictions of the total resistance. This was demonstrated in the research of Wheeler et al. [25] and Mousaviraad et al. [9]. The CFD simulation results could be accepted to compare several variations of spray strips.
On the other hand, the trim angle prediction in the CFD simulation did not show good results compared to the approach of the Savitsky method. Overall, the shape of the CFD pattern in Figure 7b showed promising results, except at low speeds.
Figure 8 shows the results of the CFD simulation with the number of spray strip profiles. The experiments were carried out with different numbers of spray strips: one strip (1 LS), two strips (2 LS), and three strips (3 LS). The difference in strip number was reported to be sensitive to the ship’s speed. It showed the difference getting bigger at high Fr. The best prediction of spray strips used was shown in three strips. The most significant decreased resistance occurred in three spray strips at Fr 1.78 by reducing resistance by 4.9%, 3.8% (two spray strips), and 1.8% (one spray strip). At Fr 0.59, the spray strip application would increase the resistance value by 2.1% on the number of three strips. The addition of resistance showed a value of 0.4% on one spray strip. Figure 8 reported the visualization of the reduction in spray area due to the various numbers of profiles. It can be seen when there is a higher number of strips, the WSA in the spray area is lower.
Figure 9 shows a volume fraction that represents air and water fluids. The red color showed a value close to 1 as a representation of air, and the blue color was close to 0 as a representation of water. The problem occurs when the Volume of Fluid method is used to model a high-speed vessel with a bow that creates a trim angle on the free surface. The Numerical Ventilation in the high-speed vessel is the entrainment of air under the hull of a vessel. However, the mixture of water and air cannot distinguish between real ventilation and numerical ventilation in a simulation. As previously discussed [11], the strategy used to reduce Numerical Ventilation (NV) is High-Resolution Interface-Capturing (HRIC) Modification [28] and mesh refinement around the ship bow area [20].
Figure 10a represents one component of total resistance, namely frictional resistance revealed by the non-dimensional units of Rf/Δ. At the same time, Figure 10b was the WSA or a component related to frictional resistance. These figures can be concluded that the number of strips increased can reduce frictional resistance and WSA, due to the reduction in the wetted surface and the associated reduction in viscous resistance, while the rest is due to the backward deflection of the spray. The volume fraction approach was used to obtain WSA. The water-air flow is simulated by applying the volume of fraction scheme, which varies between 0 (air) and 1 (water). WSA is estimated using Volume friction of water, which is Volume friction of water value > 0.5 is considered a wetted surface area. Otherwise, the Volume friction of water < 0.5 is considered air. A high-speed planing craft will experience significant changes in wetted surface area with changes in speed. The accurate measurement of running wetted area and estimation of frictional resistance is the basis for resistance analysis. Figure 10a shows that as the speed of planing increases, the wetted length and, consequently, the wedge volume decreases rapidly, and the lift becomes mainly dynamic. The percentage reduction in WSA due to the addition of strips to the WSA bare hull was 6.4% for three strips, 5.2% for two strips, and 3.6% for one strip. The frictional resistance of the three rails shows the highest reduction in drag force. In general, the ship’s resistance components are divided into two parts, namely residual resistance and frictional resistance. In this study, the discussion will only be conducted on frictional resistance because frictional resistance is easier to predict than residual resistance. Frictional resistance is related to the hull’s wetted surface area. A planing hull vessel shows that the WSA is very high at low speeds and gradually decreases at high speeds. It shows that the hydrostatic force acting at the center of pressure on the hull is smaller than the pressure force over the wetted surface.

3.2. The Influence of Spray Strip Profile

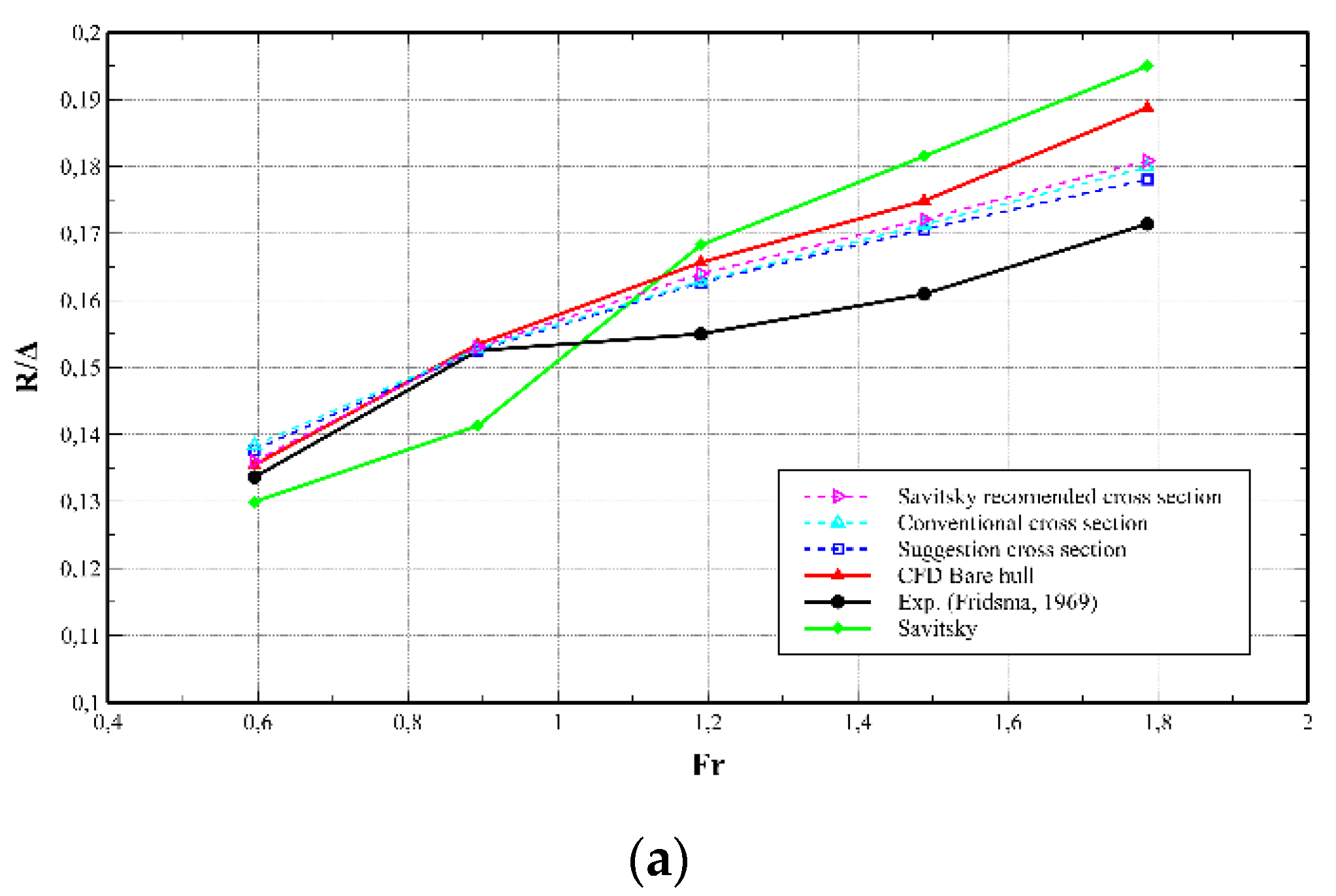
In this study, we would compare the shape of a geometric cross-section of the spray strip profile. Based on the number of strip parameters, three spray strips were installed for the spray strip profile test. The application of the spray strip profile shape followed the previous research and the suggestion in Figure 2.
The results of resistance, trim, and heave are shown in Figure 11. The geometric suggestion profile showed the best performance in reducing total resistance. The significant results were found at Fr 1.78 with a total resistance reduction of 6.0% (suggestion profile), 4.9% (conventional profile), and 4.4% (Savitsky profile). The shape of the spray rail determines its performance, the comparison of the three forms of the spray rail depends on the thickness (h) and width (bsr). It should be noted that the undersides should be sharp, the thickness of the rail sprail must be less than the width, which will provide deflection to reduce the wet surface area. The effective performance of the deflector is somewhat reduced by a small spray deflection direction. It is reported that all spray rail designs at low speeds show an increase in resistance, but at high speeds, it shows a reduction in resistance. The trim and heave results did not show significant changes compared to the bare hull. It showed an increase in the total drag of the ship at low speed (Fr 0.59). The percentage increased were 2.1% in the conventional profile, 1.6% in the suggestion profile, and 0.4% in the Savitsky profile. As shown in Figure 11, the change in resistance to the design of the sprail rail is followed by changes in trim and heave. It should be noted that the trim and heave changes are very small, so they will not change the ship’s behavior.
The most interesting observation was seen in the profile suggestion, and where there was a reduction in WSA, as shown in Figure 12b. The percentage reduction in WSA due to the addition of strips to the WSA bare hull, respectively, were 8.8% for the suggestion profile), 6.4% for the conventional profile, and 5.9% for the Savitsky profile. Figure 12 shows the spray area on the application of different spray strip profiles and the presence of incoming air near the stagnation line (Figure 12c) in applying the suggestion profile. It can be concluded that the decrease in WSA experienced was due to the sharp lower edge of the spray rail. This phenomenon would reduce the frictional force of the ship, such as the air lubrication method. In the study of Fotopoulos, it was shown that the application of the air lubrication method could reduce the skin friction coefficient by 0.0023 to 0.0020 [29].
The total resistance component consisted of frictional resistance and residual resistance. Figure 13 shows the relationship between frictional resistance and WSA. The decrease in WSA at high speed was not inversely proportional to the frictional resistance of the ship, which occurred since the residual resistance value had increased. An increase in residual resistance occurred at high-speed conditions, shown in the study of Kim et al. [30]. These results indicate that the suggestion profile can reduce the frictional resistance of the ship.

4. Conclusions

The numerical simulations show that the spray strip has a positive effect in reducing the total resistance at Fr 0.89–1.78. However, the total drag will increase at low speeds up to 2.1%. The spray rails were created to manage the flow direction and provide a hydrodynamic lift force on the hull bottom, reducing WSA, trim angle and increasing hull rise.
Adding the number of strips can reduce the total resistance because the water deflection on the stagnation line is getting higher. A comparison of the number of strips reported that the application of three spray strips could reduce 4.9% of the total bare hull resistance at Fr 1.78. Meanwhile, the trim and heave results do not have a significant effect on the spray rails design.
A comparison of the cross-sectional shape shows the suggested profile produces the best performance by reducing the total bare hull resistance by 6.0% at Fr 1.78. The cross-sectional shape difference does not have a significant effect on the characteristics of trim and heave. Our future work will aim to improve the efficiency of spray deflectors in high-speed hulls using a novel spray redirection technology inspired by spray rails.

Author Contributions

Conceptualization, S.; methodology, S.; software, S.; validation, S. and A.T.; formal analysis, D.C.; investigation, S. and A.T.; writing—original draft preparation, S., D.C., P.M. and A.T.; writing—review and editing, S., D.C., P.M. and A.T.; funding acquisition, S. and P.M. All authors have read and agreed to the published version of the manuscript.

Funding

This research was funded by Ministry of Education, Culture, Research and Technology of Indonesia, grant number 187-06/UN7.6.1/PP/2021.

Acknowledgments

The authors are sincerely gratitude to Dong-Joon Kim and The Pukyong National member laboratory for inspiring this research.

Conflicts of Interest

The authors declare no conflict of interest.

References

  1. Savitsky, D.; DeLorme, M.F. Datla Inclusion of whisker spray drag in performance prediction method for high-speed planing hulls. Mar. Technol. 2007, 44, 35–56. [Google Scholar]
  2. Larsson, L. Ship Resistance and Flow; The Society of Naval Architects and Marine Engineers, the Principles of Naval Architecture Series: Jersey City, NJ, USA, 2010; ISBN 978-0-939773-76-3. [Google Scholar]
  3. Clement, E.P. Reduction of Planing Boat Resistance by Deflection of The Whisker Spray; Report No.1929; DTMB: Washington, DC, USA, 1964.
  4. Lakatos, M.; Sahk, T.; Andreasson, H.; Tabri, K.; Kõrgesaar, M. Spray Rail Performance in Off-Design Conditions. Sh. Boat Int. 2018, 5, 68–72. [Google Scholar]
  5. Molchanov, B.; Lundmark, S.; Fürth, M.; Green, M. Experimental validation of spray deflectors for high speed craft. Ocean Eng. 2019, 191, 1–9. [Google Scholar] [CrossRef]
  6. Castaldi, L.; Osmak, F.; Green, M.; Fürth, M.; Bonoli, J. The effect of spray deflection on the performance of high speed craft in calm water. Ocean Eng. 2021, 229. [Google Scholar] [CrossRef]
  7. Fridsma, G. A Systematic Study of The Rough-water Performance of Planning Boat; Report 1275; Davidson Laboratory, Stevens Institue of Technology: Hoboken, NJ, USA, 1969. [Google Scholar]
  8. Fu, T.C.; Brucker, K.A.; Mousaviraad, S.M.; Ikeda, C.M.; Lee, E.J.; O’Shea, T.T.; Wang, Z.; Stern, F.; Judge, C.Q. An Assessment of Computational Fluid Dynamics Predictions of the Hydrodynamics of High-Speed Planing Craft in Calm Water and Waves. In 30th Symposium on Naval Hydrodynamics; Hobart: Tasmania, Australia, 2014. [Google Scholar]
  9. Mousaviraad, S.M.; Wang, Z.; Stern, F. URANS studies of hydrodynamic performance and slamming loads on high-speed planing hulls in calm water and waves for deep and shallow conditions. Appl. Ocean Res. 2015, 51, 222–240. [Google Scholar] [CrossRef] [Green Version]
  10. Sukas, O.F.; Kinaci, O.K.; Cakici, F.; Gokce, M.K. Hydrodynamic assessment of planing hulls using overset grids. Appl. Ocean Res. 2017, 65, 35–46. [Google Scholar] [CrossRef]
  11. Samuel; Kim, D.J.; Fathuddiin, A.; Zakki, A.F. A Numerical Ventilation Problem on Fridsma Hull Form Using an Overset Grid System. IOP Conf. Ser. Mater. Sci. Eng. 2021, 1096, 012041. [Google Scholar] [CrossRef]
  12. Avci, A.G.; Barlas, B. An experimental and numerical study of a high speed planing craft with full-scale validation. J. Mar. Sci. Technol. 2018, 26, 617–628. [Google Scholar] [CrossRef]
  13. Duan, X.; Sun, W.; Chen, C.; Wei, M.; Yang, Y. Numerical investigation of the porpoising motion of a seaplane planing on water with high speeds. Aerosp. Sci. Technol. 2019, 84, 980–994. [Google Scholar] [CrossRef]
  14. Savitsky, D. Hydrodynamic Design of Planing Hulls. Mar. Technolo SNAME 1964, 1, 71–95. [Google Scholar] [CrossRef]
  15. Savitsky, D.; Brown, P.W. Procedures for hydrodynamic evaluation of planing hulls in smooth and rough water. Mar. Technol. 1976, 13, 381–400. [Google Scholar] [CrossRef]
  16. Samuel; Iqbal, M.; Utama, I.K.A.P. An investigation into the resistance components of converting a traditional monohull fishing vessel into catamaran form. Int. J. Tech 2015, 6, 432–441. [Google Scholar] [CrossRef] [Green Version]
  17. Bilandi, R.N.; Dashtimanesh, A.; Tavakoli, S. Hydrodynamic study of heeled double-stepped planing hulls using CFD and 2D+T method. Ocean Eng. 2020, 196. [Google Scholar] [CrossRef]
  18. Tavakoli, S.; Niazmand Bilandi, R.; Mancini, S.; De Luca, F.; Dashtimanesh, A. Dynamic of a planing hull in regular waves: Comparison of experimental, numerical and mathematical methods. Ocean Eng. 2020, 217. [Google Scholar] [CrossRef]
  19. Bilandi, R.N.; Tavakoli, S.; Dashtimanesh, A. Seakeeping of double-stepped planing hulls. Ocean Eng. 2021, 236. [Google Scholar] [CrossRef]
  20. Olin, L.; Altimira, M.; Danielsson, J.; Rosén, A. Numerical modelling of spray sheet deflection on planing hulls. Proc. Inst. Mech. Eng. Part M J. Eng. Marit. Environ. 2017, 231, 811–817. [Google Scholar] [CrossRef]
  21. Roshan, F.; Dashtimanesh, A.; Tavakoli, S.; Niazmand, R.; Abyn, H. Hull–propeller interaction for planing boats: A numerical study. Ships Offshore Struct. 2020, 1–13. [Google Scholar] [CrossRef]
  22. Bardina, J.E.; Huang, P.G.; Coakley, T.J. Turbulence Modeling Validation, Testing, and Development; Ames Research Center: California, CA, USA, 1997.
  23. Hosseini, A.; Tavakoli, S.; Dashtimanesh, A.; Sahoo, P.K.; Kõrgesaar, M. Performance prediction of a hard-chine planing hull by employing different cfd models. J. Mar. Sci. Eng. 2021, 9, 481. [Google Scholar] [CrossRef]
  24. Samuel. Fathuddiin Meshing Strategi untuk Memprediksi Hambatan Total pada Kapal Planing Hull. Rekayasa Mesin 2021, 12, 381–390. [Google Scholar]
  25. Wheeler, M.P.; Matveev, K.I.; Xing, T. Validation Study of Compact Planing Hulls at Pre-Planing Speeds. In Proceedings of the ASME 2018 5th Joint US-European Fluids Engineering Summer Conference, Montreal, QC, Canada, 15–20 July 2018; pp. 1–8. [Google Scholar]
  26. ITTC Practical Guidelines for Ship CFD Applications; 2011. Available online: https://ittc.info/media/1357/75-03-02-03.pdf (accessed on 31 August 2021).
  27. Star-CCM+ User guide star-CCM+. Version 13.02 2018. Available online: http://www.ata-plmsoftware.com/wp-content/uploads/2018/03/STAR-CCM_New_Features_List_v13.02_EN_smaller.pdf (accessed on 31 August 2021).
  28. Gray-Stephens, A.; Tezdogan, T.; Day, S. Strategies to minimise numerical ventilation in CFD simulations of high-speed planing hulls. Proc. Int. Conf. Offshore Mech. Arct. Eng. OMAE 2019, 2, 1–10. [Google Scholar] [CrossRef]
  29. Fotopoulos, A.G.; Margaris, D.P. Computational analysis of air lubrication system for commercial shipping and impacts on fuel consumption. Computation 2020, 8, 38. [Google Scholar] [CrossRef]
  30. Kim, D.J.; Kim, S.Y.; You, Y.J.; Rhee, K.P.; Kim, S.H.; Kim, Y.G. Design of high-speed planing hulls for the improvement of resistance and seakeeping performance. Int. J. Nav. Archit. Ocean Eng. 2013, 5, 161–177. [Google Scholar] [CrossRef] [Green Version]
Figure 1. Fridsma hull form [7].
Figure 1. Fridsma hull form [7].
Fluids 06 00420 g001
Figure 2. Spray strip profile: (a) conventional profile; (b) Savitsky profile; (c) suggestion profile.
Figure 2. Spray strip profile: (a) conventional profile; (b) Savitsky profile; (c) suggestion profile.
Fluids 06 00420 g002
Figure 3. Configuration parameters of conventional profiles: (a) 1 strip; (b) 2 strips; (c) 3 strips.
Figure 3. Configuration parameters of conventional profiles: (a) 1 strip; (b) 2 strips; (c) 3 strips.
Fluids 06 00420 g003
Figure 4. Boundary condition and Fluid domain.
Figure 4. Boundary condition and Fluid domain.
Fluids 06 00420 g004
Figure 5. The concentration of mesh density on the strip profile.
Figure 5. The concentration of mesh density on the strip profile.
Fluids 06 00420 g005
Figure 6. Visualization of y+ bare hull at Fr 1.78.
Figure 6. Visualization of y+ bare hull at Fr 1.78.
Fluids 06 00420 g006
Figure 7. The effect of spray strips (a) resistance; (b) trim; (c) heave.
Figure 7. The effect of spray strips (a) resistance; (b) trim; (c) heave.
Fluids 06 00420 g007
Figure 8. The comparison spray areas: (a) bare hull; (b) 1 strip; (c) 2 strips; (d) 3 strips.
Figure 8. The comparison spray areas: (a) bare hull; (b) 1 strip; (c) 2 strips; (d) 3 strips.
Fluids 06 00420 g008aFluids 06 00420 g008b
Figure 9. Volume fraction at Fr 1.78 for (a) bare hull; (b) 1 strip; (c) 2 strips; (d) 3 strips.
Figure 9. Volume fraction at Fr 1.78 for (a) bare hull; (b) 1 strip; (c) 2 strips; (d) 3 strips.
Fluids 06 00420 g009
Figure 10. The relationship of resistance components (a) Frictional resistance; (b) WSA for the parameter numbers of spray strips.
Figure 10. The relationship of resistance components (a) Frictional resistance; (b) WSA for the parameter numbers of spray strips.
Fluids 06 00420 g010aFluids 06 00420 g010b
Figure 11. Comparison of the application of the cross-section shape (a) resistance; (b) trim; (c) heave.
Figure 11. Comparison of the application of the cross-section shape (a) resistance; (b) trim; (c) heave.
Fluids 06 00420 g011aFluids 06 00420 g011b
Figure 12. Comparison of spray area due to deflection by spray strip at Fr 1.78 for (a) conventional profile; (b) Savitsky profile; (c) suggestion profile.
Figure 12. Comparison of spray area due to deflection by spray strip at Fr 1.78 for (a) conventional profile; (b) Savitsky profile; (c) suggestion profile.
Fluids 06 00420 g012aFluids 06 00420 g012b
Figure 13. Relationship of resistance components (a) frictional resistance; (b) WSA for the variation of the cross-sectional shape.
Figure 13. Relationship of resistance components (a) frictional resistance; (b) WSA for the variation of the cross-sectional shape.
Fluids 06 00420 g013aFluids 06 00420 g013b
Table 1. Main Particulars of vessel [7].
Table 1. Main Particulars of vessel [7].
ParameterUnitValue
L/B-5
Lm1.143
Bm0.229
TAPm0.081
LCG from APm0.457
VCG from keelm0.067
τoDegree1.569
βDegree20
ΔKg10.890
Iyy = IzzKg·m20.235
Publisher’s Note: MDPI stays neutral with regard to jurisdictional claims in published maps and institutional affiliations.

Share and Cite

MDPI and ACS Style

Samuel; Trimulyono, A.; Manik, P.; Chrismianto, D. A Numerical Study of Spray Strips Analysis on Fridsma Hull Form. Fluids 2021, 6, 420. https://doi.org/10.3390/fluids6110420

AMA Style

Samuel, Trimulyono A, Manik P, Chrismianto D. A Numerical Study of Spray Strips Analysis on Fridsma Hull Form. Fluids. 2021; 6(11):420. https://doi.org/10.3390/fluids6110420

Chicago/Turabian Style

Samuel, Andi Trimulyono, Parlindungan Manik, and Deddy Chrismianto. 2021. "A Numerical Study of Spray Strips Analysis on Fridsma Hull Form" Fluids 6, no. 11: 420. https://doi.org/10.3390/fluids6110420

APA Style

Samuel, Trimulyono, A., Manik, P., & Chrismianto, D. (2021). A Numerical Study of Spray Strips Analysis on Fridsma Hull Form. Fluids, 6(11), 420. https://doi.org/10.3390/fluids6110420

Article Metrics

Back to TopTop