A Numerical Study on Distant Tsunami Propagation Considering the Strong Nonlinearity and Strong Dispersion of Waves, or the Plate Elasticity and Mantle Fluidity of Earth
Abstract
1. Introduction
2. Numerical Calculation Method
2.1. Governing Equations
2.2. Numerical Method
3. Estimate Formulae for the Time Variations of Tsunami Height and Wavelength in Distant Tsunami Propagation
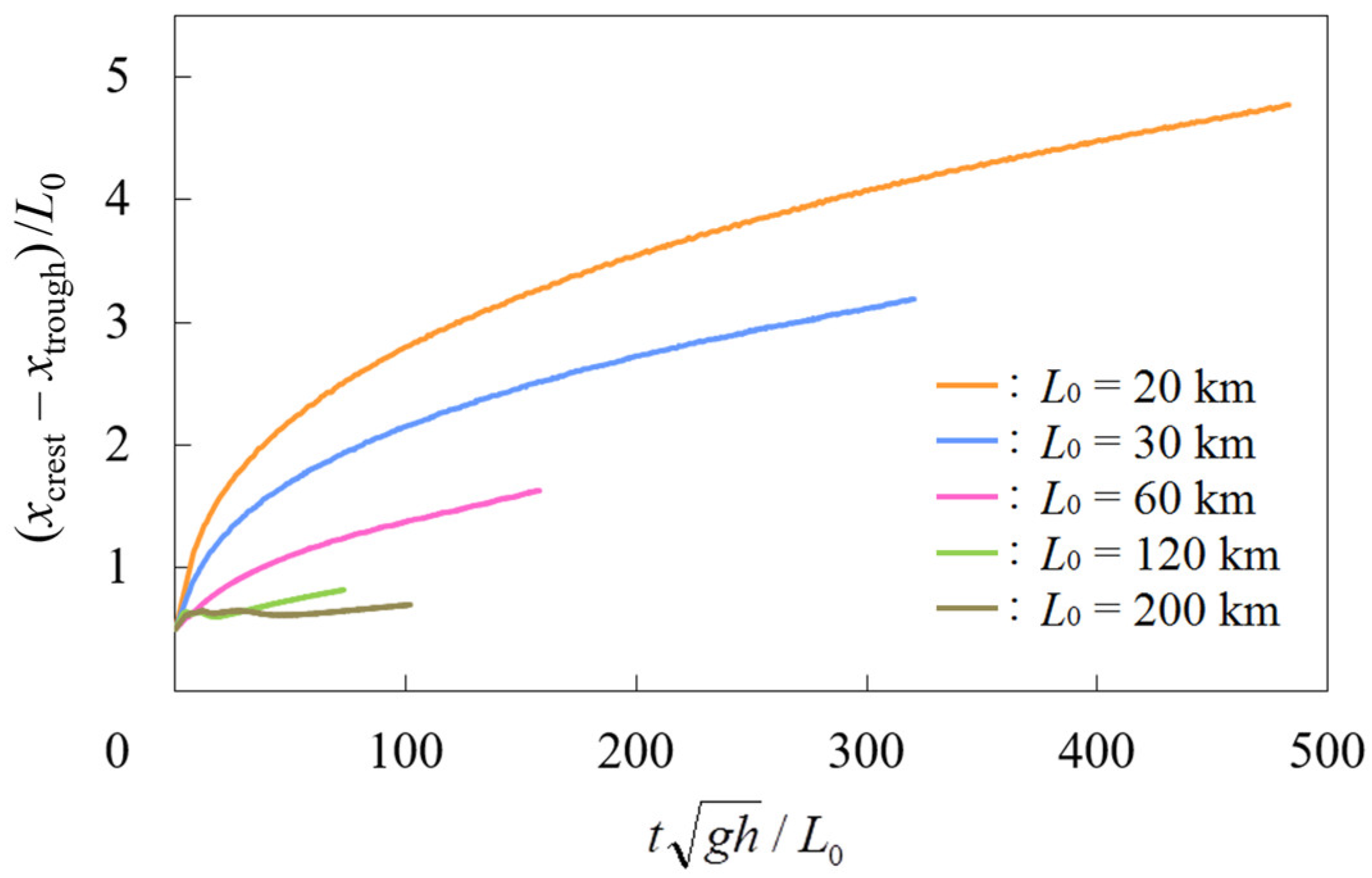
3.1. Estimate Formula for the Time Variation of Tsunami Height in Distant Tsunami Propagation
3.2. Estimate Formula for the Time Variation of Wavelength in Distant Tsunami Propagation
4. Effects of the Upper-Mantle and Plate Motion on Distant Tsunami Propagation
4.1. Structural Model of Earth
- (1)
- The plate is an elastic body with a large horizontal scale, so the plate movement is considered at the neutral plane, regardless of the plate thickness. In the present computation, the discontinuity between multiple plates was ignored, and the flexural rigidity of the plate, B, was uniform.
- (2)
- The upper mantle under the plate behaves like a fluid, although it is a substantial idealization in the modeling. We have not proved that the upper mantle has fluid properties on the tsunami time scale, but there is no proof that it does not, because seismic-wave data on the surface of Earth alone do not clarify both the mechanism and accurate paths of seismic-wave propagation in the deeper part of Earth, and the internal structure of Earth has not been revealed. Although it is unclear whether molten mantle is under the entire plate, we consider that the areas of fluid mantle are connected under the paths of tsunamis in the present study.
- (3)
- The part below the upper mantle is less likely to affect tsunami propagation, and the upper-mantle bottom in a very deep position is a fixed horizontal plane.
4.2. Effects of the Upper-Mantle and Plate Motion on Distant Tsunami Propagation
5. Conclusions
Funding
Acknowledgments
Conflicts of Interest
References
- Kakinuma, T.; Tsujimoto, G.; Yasuda, T.; Tamada, T. Trace survey of the 2011 Tohoku tsunami in the north of Miyagi Prefecture and numerical simulation of bidirectional tsunamis in Utatsusaki Peninsula. Coast. Eng. J. 2012, 54, 1250007-1–1250007-28. [Google Scholar] [CrossRef]
- Hammack, J.L. A note on tsunamis: Their generation and propagation in an ocean of uniform depth. J. Fluid Mech. 1973, 60, 769–799. [Google Scholar] [CrossRef]
- Shuto, N. The Nihonkai-Chubu earthquake tsunami on the north Akita coast. Coast. Eng. Jpn. 1985, 28, 255–264. [Google Scholar] [CrossRef]
- Imamura, F.; Shuto, N.; Goto, C. Study on numerical simulation of the transoceanic propagation of tsunami. J. Seismol. Soc. Jpn. 2nd Ser. 1990, 43, 389–402. (In Japanese) [Google Scholar] [CrossRef]
- Iwase, H.; Goto, C.; Fujima, K.; Iida, K. The dispersion effect on the propagation of tsunami in deep sea region. J. JSCE 2002, 705/II-59, 101–114. (In Japanese) [Google Scholar] [CrossRef]
- Kirby, J.T.; Shi, F.; Tehranirad, B.; Harris, J.C.; Grilli, S.T. Dispersive tsunami waves in the ocean: Model equations and sensitivity to dispersion and Coriolis effects. Ocean Model. 2013, 62, 39–55. [Google Scholar] [CrossRef]
- Saito, T.; Inazu, D.; Miyoshi, T.; Hino, R. Dispersion and nonlinear effects in the 2011 Tohoku-Oki earthquake tsunami. J. Geophys. Res. Oceans 2014, 119, 5160–5180. [Google Scholar] [CrossRef]
- Japan Meteorological Agency. Analysis of the tsunami simulation results. In Document 2 of the 6th Study Meeting on Tsunami Prediction Technology; Japan Meteorological Agency: Tokyo, Japan, 2010; 22p, (In Japanese). Available online: https://www.data.jma.go.jp/eqev/data/study-panel/tsunami/benkyokai6/siryou2.pdf (accessed on 20 April 2022).
- Kakinuma, T.; Yamashita, K.; Nakayama, K. Influence of velocity distribution and density stratification on generation or propagation of tsunamis. In Advances in Geosciences—Volume 28: Atmospheric Science and Ocean Science; Wu, C.-C., Gan, J., Eds.; World Scientific Publishing Co. Pte. Ltd.: Singapore, 2012; pp. 67–78. ISBN 9789814405676. [Google Scholar]
- Watada, S.; Satake, K.; Fujii, Y. Origin of Remote Tsunami Travel Anomaly. In Proceedings of the Seismological Society of Japan Autumn Meeting, Shizuoka, Japan, 12–14 October 2011; p. 137. [Google Scholar]
- Tsai, V.C.; Ampuero, J.-P.; Kanamori, H.; Stevenson, D.J. Estimating the effect of Earth elasticity and variable water density on tsunami speeds. Geophys. Res. Lett. 2013, 40, 492–496. [Google Scholar] [CrossRef]
- Inazu, D.; Saito, T. Simulation of distant tsunami propagation with a radial loading deformation effect. Earth Planets Space 2013, 65, 835–842. [Google Scholar] [CrossRef][Green Version]
- Takagawa, T. Dispersion analysis of tsunami propagation with the consideration of water compressibility and earth elasticity for the improvement of prediction accuracy of far-field tsunamis. J. JSCE Ser. B2 (Coast. Eng.) 2013, 69, I_426–I_430. (In Japanese) [Google Scholar] [CrossRef]
- Watada, S.; Kusumoto, S.; Satake, K. Traveltime delay and initial phase reversal of distant tsunamis coupled with the self-gravitating elastic Earth. J. Geophys. Res. Solid Earth 2014, 119, 4287–4310. [Google Scholar] [CrossRef]
- Sandanbata, O.; Watada, S.; Ho, T.-C.; Satake, K. Phase delay of short-period tsunamis in the density-stratified compressible ocean over the elastic Earth. Geophys. J. Int. 2021, 226, 1975–1985. [Google Scholar] [CrossRef]
- Baba, T.; Allgeyer, S.; Hossen, J.; Cummins, P.R.; Tsushima, H.; Imai, K.; Yamashita, K.; Kato, T. Accurate numerical simulation of the far-field tsunami caused by the 2011 Tohoku earthquake, including the effects of Boussinesq dispersion, seawater density stratification, elastic loading, and gravitational potential change. Ocean Model. 2017, 111, 46–54. [Google Scholar] [CrossRef]
- Yamashita, K.; Sugawara, D.; Arikawa, T.; Shigihara, Y.; Takahashi, T.; Imamura, F. Improvement of tsunami-induced sediment transport model by considering saturated concentration in suspension with strong unsteady flows. J. JSCE Ser. B2 (Coast. Eng.) 2018, 74, I_325–I_330. (In Japanese) [Google Scholar] [CrossRef]
- Tinh, N.X.; Tanaka, H. Study on boundary layer development and bottom shear stress beneath a tsunami. Coast. Eng. J. 2019, 61, 574–589. [Google Scholar] [CrossRef]
- Esteban, M.; Roubos, J.J.; Iimura, K.; Salet, J.T.; Hofland, B.; Bricker, J.; Ishii, H.; Hamano, G.; Takabatake, T.; Shibayama, T. Effect of bed roughness on tsunami bore propagation and overtopping. Coast. Eng. 2020, 157, 103539. [Google Scholar] [CrossRef]
- Kakinuma, T. Nonlinear interaction of surface and internal waves with very large floating or submerged structures. In Fluid Structure Interaction II; Chakrabarti, S.K., Brebbia, C.A., Almorza, D., Gonzalez-Palma, R., Eds.; WIT Press: Hampshire, UK, 2003; pp. 117–126. Available online: https://www.witpress.com/Secure/elibrary/papers/FSI03/FSI03012FU.pdf (accessed on 20 April 2022).
- Luke, J.C. A variational principle for a fluid with a free surface. J. Fluid Mech. 1967, 27, 395–397. [Google Scholar] [CrossRef]
- Isobe, M. Time-dependent mild-slope equations for random waves. In Coastal Engineering 1994; Edge, B.L., Ed.; American Society of Civil Engineers: Reston, VA, USA, 1995; pp. 285–299. [Google Scholar] [CrossRef]
- Iguchi, T. A mathematical justification of the Isobe-Kakinuma model for water waves with and without bottom topography. J. Math. Fluid Mech. 2018, 20, 1985–2018. [Google Scholar] [CrossRef]
- Matsuno, Y. Hamiltonian formulation of the extended Green-Naghdi equations. Phys. D Nonlinear Phenom. 2015, 301–302, 1–7. [Google Scholar] [CrossRef]
- Takagi, K. Interaction between solitary wave and floating elastic plate. J. Waterw. Port Coast. Ocean Eng. 1997, 123, 57–62. [Google Scholar] [CrossRef]
- Nakayama, K.; Kakinuma, T. Internal waves in a two-layer system using fully nonlinear internal-wave equations. Int. J. Numer. Meth. Fluids 2010, 62, 574–590. [Google Scholar] [CrossRef]
- Kakinuma, T.; Yamashita, K.; Nakayama, K. Surface and internal waves due to a moving load on a very large floating structure. J. Appl. Math. 2012, 2012, 830530. [Google Scholar] [CrossRef]
- Sakai, S.; Liu, X.; Sasamoto, M.; Kagesa, T. Experimental and numerical study on the hydroelastic behavior of VLFS under tsunami. In Hydroelasticity in Marine Technology; Kashiwagi, M., Koterayama, W., Ohkusu, M., Eds.; Yomei Printing Cooperative Society: Fukuoka, Japan, 1998; pp. 385–392. ISBN 4-87780-001-8. [Google Scholar]
- Nakamura, K. Velocity of long gravity waves in the ocean. Sci. Rep. Tohoku Univ. Ser. 5 Geophys. 1961, 13, 164–173. Available online: http://hdl.handle.net/10097/44634 (accessed on 20 April 2022).
- Ward, S.N. Relationships of tsunami generation and an earthquake source. J. Phys. Earth 1980, 28, 441–474. [Google Scholar] [CrossRef]
- Comer, R.P. The tsunami mode of a flat earth and its excitation by earthquake sources. Geophys. J. Int. 1984, 77, 1–27. [Google Scholar] [CrossRef]
- Dziewonski, A.M.; Anderson, D.L. Preliminary reference earth model. Phys. Earth Planet. Inter. 1981, 25, 297–356. [Google Scholar] [CrossRef]
















| Upper-Mantle Initial Depth hm (m) | Upper-Mantle Density ρm (kg/m3) | Plate Flexural Rigidity B (Nm2) | Tsunami Height Ratio (ηI)max/(ηS)max | Arrival-Time Delay ΔtChile | Figure | Category * |
|---|---|---|---|---|---|---|
| 1000 | 3300 | 0 | - | - | Figure 10 | xx |
| 3.43 × 1018 | - | - | - | xx | ||
| 6000 | 3300 | 0 | 0.54 | 8 h 57 min | Figure 10 | x |
| 3.43 × 1020 | 0.58 | 8 h 57 min | - | x | ||
| 33,000 | 0 | 4.9 | 1 h 16 min | - | S | |
| 3.43 × 1016 | 3.9 | 45 min | - | S | ||
| 3.43 × 1020 | 4.0 | 45 min | - | S | ||
| 330,000 | 0 | - | 15 min | - | x | |
| 3.43 × 1010 | - | 15 min | - | x | ||
| 196,000 | 3300 | 0 | 3.2 | 4 h 57 min | Figure 10 | x |
| 3.43 × 1010 | 3.2 | 4 h 57 min | Figure 11 | x | ||
| 3.43 × 1020 | 3.2 | 4 h 57 min | Figure 12 | x | ||
| 9900 | 0 | 12.3 | 1 h 49 min | - | x | |
| 3.43 × 1010 | 12.3 | 1 h 49 min | - | x | ||
| 13,200 | 0 | 16.9 | 1 h 16 min | - | SI | |
| 3.43 × 1010 | 18.2 | 1 h 16 min | - | SI | ||
| 33,000 | 0 | 43.5 | 45 min | - | I | |
| 3.43 × 1010 | 48.0 | 45 min | Figure 13 | I | ||
| 3.43 × 1020 | 48.0 | 45 min | - | I | ||
| 330,000 | 0 | 450 | 15 min | - | x | |
| 3.43 × 1020 | 450 | 15 min | - | x |
Publisher’s Note: MDPI stays neutral with regard to jurisdictional claims in published maps and institutional affiliations. |
© 2022 by the author. Licensee MDPI, Basel, Switzerland. This article is an open access article distributed under the terms and conditions of the Creative Commons Attribution (CC BY) license (https://creativecommons.org/licenses/by/4.0/).
Share and Cite
Kakinuma, T. A Numerical Study on Distant Tsunami Propagation Considering the Strong Nonlinearity and Strong Dispersion of Waves, or the Plate Elasticity and Mantle Fluidity of Earth. Fluids 2022, 7, 150. https://doi.org/10.3390/fluids7050150
Kakinuma T. A Numerical Study on Distant Tsunami Propagation Considering the Strong Nonlinearity and Strong Dispersion of Waves, or the Plate Elasticity and Mantle Fluidity of Earth. Fluids. 2022; 7(5):150. https://doi.org/10.3390/fluids7050150
Chicago/Turabian StyleKakinuma, Taro. 2022. "A Numerical Study on Distant Tsunami Propagation Considering the Strong Nonlinearity and Strong Dispersion of Waves, or the Plate Elasticity and Mantle Fluidity of Earth" Fluids 7, no. 5: 150. https://doi.org/10.3390/fluids7050150
APA StyleKakinuma, T. (2022). A Numerical Study on Distant Tsunami Propagation Considering the Strong Nonlinearity and Strong Dispersion of Waves, or the Plate Elasticity and Mantle Fluidity of Earth. Fluids, 7(5), 150. https://doi.org/10.3390/fluids7050150
