Abstract
This study proposes a computational model to define the wind velocity of the environment on the photovoltaic (PV) module via heat transfer concepts. The effect of the wind velocity and PV module is mostly considered a cooling effect. However, cooling and controlling the PV module temperature leads to the capability to optimize the PV module efficiency. The present study applied a nominal operating cell temperature (NOCT) condition of the PV module as a reference condition to determine the wind velocity and PV module temperature. The obtained model has been examined in contrast to the experimental heat transfer equation and outdoor PV module performance. The results display a remarkable matching of the model with experiments. The model’s novelty defines the PV module temperature in relation to the wind speed, PV module size, and various ambient temperatures that were not included in previous studies. The suggested model could be used in PV module test specification and provide analytical evaluation.
1. Introduction
The conversion of solar energy into electricity within a photovoltaic (PV) panel depends on various factors related to the module’s properties and its surrounding environment [1,2]. A significant portion of the incoming solar energy is dissipated within the panel as heat. This heat results from the release of photons within the semiconductor materials during internal processes. Consequently, traditional heat transfer mechanisms, such as convection and radiation, must be considered when assessing the energy balance of solar panels.
In a specific scenario involving the installation of photovoltaic panels, effective heat transfer mechanisms to the environment play a crucial role and contribute to enhancing the overall efficiency of the photovoltaic module. In a stable operating state, the primary means of heat dissipation from the panel’s surface to the surrounding environment are radiation and convection [3,4]. To accurately determine the surface temperature of a photovoltaic module in a steady-state energy balance [1,5], the following essential data must be considered:
- Physical and thermal properties of photovoltaic cells: Detailed information regarding the physical and thermal characteristics of the photovoltaic cells themselves is crucial. This includes properties like material composition, thermal conductivity, and heat capacity.
- Solar radiation and meteorological information: Accurate data on solar radiation levels and meteorological conditions are indispensable. These factors include solar irradiance, ambient temperature, wind speed, and humidity.
- Heat transfer coefficients for convection and radiation: Understanding the heat transfer coefficients for both convection and radiation is essential. These coefficients determine how heat is exchanged between the photovoltaic module’s surface and its surroundings.
Gathering and appropriately utilizing these data points are vital steps in predicting the surface temperature of a photovoltaic module in a state of steady energy equilibrium. In the realm of heat transfer coefficients, various empirical relationships have been suggested to characterize heat transfer due to wind, offering satisfactory outcomes under specific circumstances [1,6]. In this context, represents the temperature utilized for forecasting the electrical performance of the module. However, it is worth noting that this may exceed the surface temperature behind the module, denoted as .
The temperature of PV modules is significantly influenced by environmental factors, and wind speed plays a crucial role in heat transfer through convection [1,3,6]. Typically, wind speed is assumed to have a cooling effect [1]. Bayrak et al. explored the impact of different fin parameters on the temperature of photovoltaic panels and the convection induced by wind speed [7]. In an experimental investigation, Mehdi et al. found that wind speed acts as a natural cooling system, substantially improving efficiency and controlling PV module temperature [8]. The study conducted by Hudisteanu et al. delved into the examination of wind direction and velocity effects on both PV module temperature and efficiency [9].
Numerical modeling was employed by Aly et al. to study the heat transfer of PV modules under various boundary conditions [10]. Utilizing a finite difference model, the calculation of PV module temperature was performed based on a heat transfer model with specified boundary conditions [11]. Bevilacqua et al. proposed a thermal model to simulate temperature distribution across the thickness of PV modules [12]. Another thermal model, examining the heat transfer effects and estimating power and temperature profiles across PV module thickness, was proposed and investigated [13]. The wind exhibits a turbulent nature [14] with considerable variations [15], especially during daytime. Some of the literature suggests employing deep learning approaches for simulating and predicting wind speed [16,17,18]. This capability opens up the opportunity to investigate the impact of wind on PV modules in diverse scenarios.
While it is well established in the literature that controlling PV module temperature enhances efficiency [1,3], there is currently no universally accepted mathematical model that precisely defines the influence of wind speed on PV module temperature [1,3].
The temperature difference between the front and back sides of the module hinges on the material composition of the module itself and the intensity of the incoming solar radiation. This relationship between these two temperatures is precisely defined by the following Equation [3]:
In the equation provided, several key variables are defined as follows:
: The reference solar flux with a standardized value of 1000 W/m. : The actual simultaneous solar flux measured in W/m. : Represents the temperature of the backside of the module in degrees Celsius (°C). : Denotes the PV surface temperature in degrees Celsius (°C). : Signifies the temperature difference between the front and back sides of the module under reference conditions, measured in degrees Celsius (°C) [3,4]. In the context of this study, the method used to determine relies on an energy balance within the solar cell or module. this approach necessitates the utilization of the nominal operating cell temperature (NOCT), which sets the device’s temperature under specific nominal conditions. These conditions include solar radiation of 800 W/m, an ambient temperature of 20°, an average wind speed of 1 m/s, an open circuit, and the module’s title angle of 45 degrees and assumed gain perpendicular irradiance [3,19].
The NOCT method assumes that the ambient temperature () remains consistent on both sides of the module. The temperature difference is specifically influenced by and demonstrates a linear relationship with the solar radiation flux [3,20]. It is important to note that the overall heat loss coefficient () is treated as approximately constant in the NOCT method, determined through empirical testing under specific conditions [3]. However, this approximation does not account for the potential impacts of variables like wind speed, humidity, and temperature on , which can indeed have a substantial effect on it. The energy balance in stable conditions can be expressed as follows: Electric power generated by the photovoltaic panel equals lost power minus absorbed solar power. In mathematical terms, this relationship can be presented as:
In the provided equations: represents the module’s efficiency in converting solar radiation into electrical energy. It ranges from zero to the maximum module efficiency, depending on how closely the module operates to its optimal point. signifies the transmittance-absorption multiplier, indicating the absorbed energy multiplied by the solar radiation. The efficiency can vary within the range mentioned based on the module’s operating point. Notably, the loss coefficient encompasses losses due to convection and radiation from both upper and lower surfaces, as well as losses through conduction. All these losses occur at the ambient temperature .
When applying the nominal operating cell temperature (NOCT) condition to the PV cell, the efficiency equals zero. It is essential to recognize that the method of installation significantly affects the NOCT. If the cells are not installed in a manner consistent with the defined conditions, caution is advised when utilizing the NOCT.
By simplifying the equations mathematically and substituting Equation (3) into Equation (1) [3,4], we can derive further insights.
Equation (4) lacks consideration of variations in PV cell temperature due to changes in wind speed unless the ratio between the two loss coefficients is known. The objective of this study is to use wind-induced convective heat transfer to update the NOCT equation, considering wind speed’s impact. Most existing models are limited to specific conditions and assume a constant ambient temperature. The novelty of the present study model is the definition of the PV module temperature in relation to wind speed, ambient temperature, and PV module length. The suggested model was examined and compared to outdoor measured data and experimental equation. The achieved model displays a considerable match to the measurements and provides the capability to examine the wind speed effect on the PV module temperature analytically. The structure of the work is outlined as follows: it delves into the theory in Section 2, presents the results in Section 3, and concludes in Section 4.
2. Theory
This section presents an available model of the PV model temperature and follows with a novel proposed model based on the heat transfer concepts to have a comparison.
2.1. PV Module Temperature and Wind Speed
In order to determine the wind speed effect on the PV module temperature, Skoplaki et al. [21] suggested a linear model based on the thermal loss coefficient, describing the wind effect. Hasan et al. [22] developed a model based on the work of Skoplaki et al. [21], which led to:
where is the wind speed.
Indeed, Hasan et al. [22] discussed how to choose the melting point of a solar panel combined with a phase change material (PCM) which is called PV-PCM. They based this decision on the average summer nighttime temperature and the solar panel’s average temperature during winter days [22,23]. Equation (5) derived the following with certain assumptions:
- Assuming steady-state conditions [22];
- Assuming a linear relationship between the PV module temperature and ambient temperature and solar irradiance without any load, with the introduction of the Ross coefficient K (its definition: [21]) that is usually falling between 0.02 and 0.04 °C m/W [3,24,25];
- Demonstrating that Equation (5) shows a linear connection between and , although with a minor error of about 2 to 3 °C when estimating the temperature of the solar panel. This error becomes noticeable when the sunlight intensity is at 600 W/m, is 0.9, and is assumed to be zero due to the absence of a load condition [3,6].
The above-mentioned items specify the limit of the equations, and it is essential to have a model with much more detail of the environmentally effective parameters and the heat transfer concept. One of the major issues is the convective heat transfer coefficient, which explains the relation between wind speed and heat transfer because of the forced convection [3,26,27].
2.2. Convection Because of Wind Speed
The convection heat transfer on the PV module can be assumed to be the same as the studies on the flat plate [1]. The heat transfer via convection is composed of natural and forced categories [28]. The wind speed is falling into the forced convection [29]. Since the PV module is mounted in different sets, the tilt angle and buoyancy have a relation to natural convection. In the literature, there were efforts to examine and suggest a convection heat transfer related to wind speed. McAdams has reported a convective heat transfer coefficient equation for wind speed for a 0.5 m as follows [3,30]:
where is the convective heat transfer coefficient because of the wind speed and first time proposed by Jurges [31]. It seems the effects of the free convection and radiation have been included in Equation (6) [3]. For this reason, Watmuff et al. reported Equation (7) [32]:
Equations (6) and (7) yield to is 16 W/m K and 18 W/m K, respectively, for ambient temperature 25 °C and wind speed 5 m/s. This calculation is based on a plate with a length of 0.5 m, and it is not reasonable that this equation covers other sizes of flat plates [3]. The forced convection heat transfer due to wind flow over a flat solar panel involves considering many variables such as wind speed, wind direction, tilt angle, module surface characteristics, time-dependent fluctuation, and wind interference from terrain and structures [33]. Generally, figuring out how these factors connect is a complex task. For a consistent airflow over a flat surface, a relatively correlated formula has been reported that matches well with what has been observed in experiments [33]:
2.3. NOCT Condition and Convection Model of Wind Speed
In order to dictate a broad model of PV module temperature and its relation to environmental characteristics, it is essential to investigate an implicit equation that shows these dependencies. For PV modules, the nominal operating cell temperature (NOCT) is defined as the temperature reached by open-circuited cells in a module under the conditions as follows: irradiance on the cell surface is 800 W/m, ambient temperature is 20 °C and wind velocity is 1 m/s. Hassanian et al. [1] proposed an implicit equation that explored the dependency of the environment parameters, efficiency, and PV module temperature. It investigated the PV module in horizontal and various tilt angles without considering the cooling of the wind velocity defined as below [1]:
where A is the PV module surface in m, is PV solar absorptivity, is the complement angle of the solar radiation ray angle with vertical axis, is tilt angle, is Stefan–Boltzmann constant W/m K, is PV surface emissivity, is ambient emissivity (includes ground and sky emissivity [34]) and it could be assumed equal as as emissivity [27], is solar irradiance in W/m, is the PV module efficiency, is PV module temperature, is that ambient temperature, is air effective thermal conductivity in W/m K, L is the PV module length in m, g is the gravity acceleration which is 9.8 m/s, is volumetric thermal expansion coefficient in K, is air thermal diffusivity in m/s, is air kinematic viscosity in m/s and is air Prandtl number. The current study employs Equation (9) and adds the forced convection of the wind speed into it, which turns to Equation (10)
As it can be seen, Equation (10) determines the environmental characteristics and the PV module geometries and its temperature and efficiency. Since the convection heat transfer of the wind speed is added to this equation, it provides transparent insight to observe the wind speed effect. In Equation (10), the term represents heat transfer loss due to the reflection of radiation from the surface of the PV module [3]. When the glass surface is untreated, the reflectance is 8% of the absorbed solar irradiation [3]. However, a surface treatment to reduce , such as dipping the glass in a silica-saturated fluosilic acid solution, can reduce the reflection losses to 2%. A double-layer coating can further decrease it to 1%, as demonstrated by Mar et al. [35]. Since this term causes only 1–2% heat transfer losses of the entire absorbed solar irradiance, its impact is deemed negligible in the current study compared to other terms. Therefore, the proposed model excludes this nonlinear term for simplicity and is able to investigate other effective heat transfer terms on the PV module.
Moreover, the present study aims to propose a model that includes a demonstration of the environmental and physical properties of the PV module in relation to . In Equation (10) term is causing nonlinearity to calculate the . Therefore, first-order Taylor series expansion has been applied for this term to replace it with a linear term. Hence, Equation (11) defined as follows:
Moreover, this study investigates the NOCT condition, which is an inclined PV module with = 45° and perpendicular irradiance which in this study assumed an average of 90° 120°. NOCT condition assumed the ambient temperature is 20 °C and the air properties inserted to Equation (11) based on this condition included = 1, = 0.026 W/mK, = 3.35 × 10 K, = 0.855, = 22.4 × 10 m/s, = 15.7 × 10 m/s and = 0.7 [1]. Under NOCT conditions, the wind speed is 1 m/s, and Equation (8) is used to affect the wind speed in the model. The efficiency for a silicon PV module is 12% [3,25]. Thus, the NOCT condition inserted into the equation led to:
Equation (12) determines PV module temperature for NOCT condition. The superiority of this equation is displaying how PV module efficiency, irradiance, PV module length, wind velocity, and ambient temperature are related to the PV module temperature. In contrast to previous studies, the current proposed equation provides a broader application. Furthermore, the term of in the proposed model, include the total heat transfer convection included the free and forced terms. For a wind speed of 5 m/s with a length of 0.5 m and ambient temperature 25 °C, the suggested model yields 23 W/m K in contrast to available convective heat transfer coefficient of Equations (6) and (7) that where led to 24 W/m K and 18 W/m K, respectively. Calculating the NOCT temperature according to Equations (2) and (12) with an assumption of L = 1 m display = 28.53 + 20 = 48.53 °C which remarkably matches the experimental report for NOCT Tempearure with 45 ± 5 [19,36].
2.4. Ambient Temperature Variation in PV Module Condition
The ambient temperature is a variable that directly affects the PV module temperature, and many scenarios could be investigated. In one assumption that only looks at the irradiance and ambient temperature and hides other players, fundamentally, when the solar radiation increases, it is expected to increase the ambient temperature. However, other players, such as weather, humidity, clouds, and wind speed, may change this impact. In another scenario that assumes the irradiance is constant, the wind speed could make heat transfer between the PV module surface and ambient temperature depend on is larger than or not. It is clear that weather conditions, including wind speed, cloud, humidity, and solar radiation, vary during the day and also depend on the zone area. All of the items mentioned above make a complex parameter to show the changes in the heat transfer model with the equation. Thus, assumes constant in PV module studies. However, it does not.
3. Results and Discussion
The current study proposes a model that explains the wind velocity effects on the solar PV module temperature, with the application of NOCT conditions, which in specification to measure the PV module performance. The PV module temperature is a key player in controlling the PV module’s efficiency [1]. In this section, a result and contrast to experimental studies are displayed to assess the suggested model.
3.1. PV Module Heat Transfer Coefficient and Wind Velocity
Some implicit equations were extracted based on experiment measurement and defined the heat transfer coefficient on the PV module. Those equations are limited for a specific size of PV module with length 0.5 m and proposed by McAdams [30,31] and Watmuff et al. [32] with wind velocity range 1–5 m/s and 1–7 m/s, respectively. In order to observe the range of the current study model, the geometry of length 0.5 m and boundary conditions of the McAdams and Wutmuff et al. have been calculated in the model. Figure 1 compares the proposed model to the experimental equations, and it is placed between the two equations mentioned above. Figure 1 shows the model remarkably matches the experimental heat transfer coefficients. The proposed model’s superiority over matching the experimental equation is that it includes the effects of ambient temperature and PV module length, in addition to the wind velocity, which has not been defined in the available experimental equations. Moreover, in the experimental equations, the ambient temperature assumed fixed = 25 °C [3,30,32], and they do not cover other ambient temperatures. Since the ambient temperature is not a constant variable, defining its impact on the heat transfer coefficient is essential, and it is covered in the present study model.
Figure 1.
Illustrates the proposed model’s heat transfer coefficient compared to the available experimental equations with limited PV module size [30,32]. The proposed model includes calculating ambient temperature and the PV module size.
Moreover, it is well known that PV module temperature impacts efficiency, and the capability to control its temperature will lead to optimized efficiency [1,3]. Figure 2 shows the evaluation of the proposed model with various wind velocities. Based on Equation (12) and Figure 1, the higher wind speed causes greater heat transfer and cools the PV module. This performance leads to better PV module efficiency, which is displayed in Figure 2. At a particular wind velocity, a PV module with higher efficiency is located in the lower [3]. Moreover, for a PV module with specific efficiency, the increase in the wind velocity that makes more heat transfer leads to lower [3].
Figure 2.
A presentation of the PV module temperature difference with ambient temperature with various wind speeds for distinct PV module efficiencies.
3.2. NOCT Model with Various Irradiance and Wind-Heat Transfer
The current study model of wind velocity and PV module temperature determines the relation between the environment and PV module performance. Kurnik et al. [34] have reported a measurement of the PV module via experiment with different module models. an a-Si VHF module (Sunslick 7 W, = 6.75 W) and Sanyo HIT module (HIP-210NHE1, = 210 W) [34]. Applying the technical properties of the measured module in this study model presented the results of Figure 3. Figure 3 shows a linear relation between the irradiance and [3,6]. The increase in the irradiance causes higher . However, the data have different slopes and behaviors since two different PV module models have been investigated in Kurnik et al. [34]. The evaluation of the current study model displays a highlighted pattern that matches the experimental report. However, it must be noted the ambient temperature is not constant, as was discussed in the theory section. Therefore, the difference between the model curve and experimental data could be related to the ambient temperature that was assumed constant in the calculation and was not reported in the experiment measurement [34].
Figure 3.
The suggested model evaluation compared to the outdoor experiment measurement of two different PV module models [34] on the irradiance and relation.
In another aspect, the wind velocity relation to the has been compared to Kurnik et al. [34]. Figure 4 represents the proposed model capability to determine the wind speed effects and its relation to . The results show that for two different models, higher wind speed caused a decrease in the , which could be related to the cooling effect. In contrast to the measurement of Kurnik et al. [34], the model presents an analog trend, however, it must be noted the , also related to , which is not constant and in the model calculation assumed fixed value based on the NOCT conditions. Moreover, Figure 4 depicts the variation in for two distinct types of PV modules, namely HIT and VHF, in response to changes in wind speed. Remarkably, these trends closely resemble those shown in Figure 2 indicating that as wind speed increases, the of modules with varying efficiency tends to converge. This convergence is observable in both the proposed model and the experimental results.
Figure 4.
The suggested model evaluation compared to the outdoor experiment measurement of two different PV module models [34] on the wind velocity and relation.
3.3. Ambient Temperature Effectiveness in Heat Transfer of PV Module
The ambient temperature causes a direct impact on the PV module temperature [1]. Ambient temperature is commonly perceived as a fixed value, yet it fluctuates significantly throughout the day and is influenced by geographical location. Multiple equations have been developed to address these variations in ambient temperature, considering factors such as apparent sky temperature, cloudy sky temperature, water vapor pressure, dew point temperature, dry bulb temperature, and the time elapsed since midnight [5]. Additionally, the humidity, wind speed, and solar radiation cause an increase or reduction in ambient heat transfer to the PV module [1,3]. Since there is no known determination to put the ambient temperature variation in the available heat transfer module, it is mostly assumed constant, leading to the difference between the model calculation and experiment of value.
Figure 5 displays a linear estimation of the ambient temperature and wind velocity relation from previous studies of the meteorological data [37]. The linear estimation displays the ambient temperature increase because of the higher wind velocity; however, different ambient temperatures can be seen in the experimental measurements for a particular wind velocity. This behavior uncovered that other parameters such as irradiance, humidity, and cloud could change the ambient temperature. Thus, there is no certain equation that only determines the wind velocity and ambient temperature.
Figure 5.
Linear estimation of ambient temperature and wind speed based on the meteorological data [37].
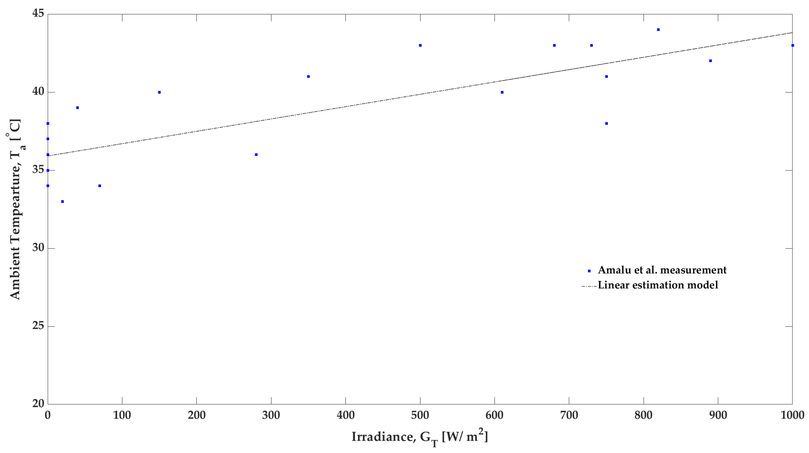
Figure 6 shows a linear estimation of the ambient temperature and irradiance based on the meteorological data [37]. The linear estimation represents an increased ambient temperature with severe irradiance, which could be expected. Nevertheless, the experimental measurement illustrates a recording with similar irradiance and different ambient temperatures.
Figure 6.
Linear estimation of ambient temperature and irradiance based on the meteorological data [37].
This observation uncover other influential variables, as mentioned above. Figure 5 and Figure 6 display partial effects of the wind velocity and irradiance on the ambient temperature, and they do not cover all effective parameters on the ambient temperature. As was discussed in the theory section, because the ambient temperature is a variable that varies during the daytime because of many weather parameters, it is not constant. Assuming its fixed value in the calculation leads to differences between the experimental values and the proposed model of this study that can be seen for Figure 3 and Figure 4; however, the trend and behavior are a remarkable match.
4. Conclusions
The current study proposes a model of heat transfer caused by the wind velocity over a photovoltaic module in solar energy applications to determine its effects on the PV temperature. In the literature, the wind velocity effect on the PV module has no known universal implicit model. In most works, the equations are suggested based on the experiment to define the wind velocity on the convective heat transfer coefficients for specific PV module size, limited range of wind speed, and without ambient temperature variation. Moreover, the wind velocity effects in solar energy are mostly considered as a cooling system to increase the module efficiency [1,3].
The model of this study employs an implicit equation of the heat transfer model from previous authors’ work [1] that defined environment parameter relation to the PV module performance without considering the wind velocity effects. In order to evaluate the model, NOCT conditions are assumed as a reference condition with an irradiance of 800 W/m, wind speed 1 m/s, and ambient temperature 20 °C. The model assumed negligible radiation heat transfer items in contrast to other items in the implicate equation. The first-order Taylor series expansion has been applied to convert the nonlinearity of the equation to a linear term. The achieved equation represents the relation of the PV module temperature, ambient temperature, irradiance, PV module efficiency, PV module length, and wind velocity. Furthermore, the obtained model includes a term that defines the heat transfer coefficient as a function of the wind speed, PV module length, and ambient temperature.
The equation is assessed in contrast to experimental equations. Heat transfer coefficients of the proposed model considerably match McAdams [30] and Watmuff et al. [32] with a specific range of the velocity and ambient temperature. Additionally, the model covers the ambient temperature variation and PV module size that were not included in the previous experimental equations. The current study model displays an appropriate relationship between PV module temperature and its efficiency.
In order to examine the proposed model in constant to outdoor measured data, the relation of the PV module temperature irradiance and wind speed has been investigated. The assessment displays highlighted achievements that match the pattern of experiment data. Furthermore, it has been observed that because the ambient temperature is a variable that is not constant during the daytime, and because the weather parameters have no known arithmetic definition, the model calculation assumed a variable with a fixed value, and this assumption causes a tiny distinction to the experiment measurement. The proposed heat transfer model for a PV module in relation to wind speed in the present study provides a considerable ability to measure and observe the wind speed effects on the PV module performance and could be applied in the PV module production and test specification. The authors have planned future studies to develop the model and investigate its limits and required corrections based on broader experiment data.
Author Contributions
R.H. Conceptualization, methodology, software, validation, formal analysis and writing—original draft. N.Y. methodology, software, validation and writing—review and editing. M.R. methodology, writing—review and editing and supervision. All authors have read and agreed to the published version of the manuscript.
Funding
This work was performed in the Center of Excellence (CoE) Research on AI and Simulation-Based Engineering at Exascale (RAISE) and the EuroCC 2 projects receiving funding from EU’s Horizon 2020 Research and Innovation Framework Programme and European Digital Innovation Hub Iceland (EDIH-IS) under grant agreement no. 951733, no. 101101903 and 101083762, respectively.
Data Availability Statement
Data are contained within the article.
Acknowledgments
The authors thank the technical support of the FreaEnergy team (Energy, AI, and CFD solutions), a startup at Mýrin located in Gróska -innovation and business growth center- in Reykjavik.
Conflicts of Interest
The authors declare no conflicts of interest.
References
- Hassanian, R.; Riedel, M.; Helgadottir, A.; Yeganeh, N.; Unnthorsson, R. Implicit Equation for Photovoltaic Module Temperature and Efficiency via Heat Transfer Computational Model. Thermo 2022, 2, 39–55. [Google Scholar] [CrossRef]
- Hassanian, R.; Riedel, M.; Yeganeh, N.; Helgadóttir, A. A Novel Implicit Model Determines the Photovoltaic Panel Temperature and Environmental Effects. In Proceedings of the APS March Meeting 2023, Bulletin of the American Physical Society, Las Vegas, NV, USA, 5–10 March 2023; p. D45.00013. Available online: https://meetings.aps.org/Meeting/MAR23/Session/D45.13 (accessed on 22 October 2023).
- Duffie, J.A.; Beckman, W.A.; Blair, N. Solar Engineering of Thermal Processes, 4th ed.; Wiley: New York, NY, USA, 2020. [Google Scholar]
- Luque, A. Solar Cells and Optics for Photovoltaic Concentration; CRC Press: New York, NY, USA, 1989. [Google Scholar]
- Hassanian, R.; Riedel, M.; Yeganeh, N.; Unnthorsson, R. A Practical Approach for Estimating the Optimum Tilt Angle of a Photovoltaic Panel for a Long Period—Experimental Recorded Data. Solar 2021, 1, 41–51. [Google Scholar] [CrossRef]
- Palyvos, J. A survey of wind convection coefficient correlations for building envelope energy systems’ modeling. Appl. Therm. Eng. 2008, 28, 801–808. [Google Scholar] [CrossRef]
- Bayrak, F.; Oztop, H.F.; Selimefendigil, F. Effects of different fin parameters on temperature and efficiency for cooling of photovoltaic panels under natural convection. Sol. Energy 2019, 188, 484–494. [Google Scholar] [CrossRef]
- Mehdi, M.; Ammari, N.; Alami Merrouni, A.; Benazzouz, A.; Dahmani, M. Experimental investigation on the effect of wind as a natural cooling agent for photovoltaic power plants in desert locations. Case Stud. Therm. Eng. 2023, 47, 103038. [Google Scholar] [CrossRef]
- Hudișteanu, S.V.; Țurcanu, F.E.; Cherecheș, N.C.; Popovici, C.G.; Verdeș, M.; Ancaș, D.A.; Hudișteanu, I. Effect of Wind Direction and Velocity on PV Panels Cooling with Perforated Heat Sinks. Appl. Sci. 2022, 12, 9665. [Google Scholar] [CrossRef]
- Aly, S.P.; Ahzi, S.; Barth, N.; Abdallah, A. Using energy balance method to study the thermal behavior of PV panels under time-varying field conditions. Energy Convers. Manag. 2018, 175, 246–262. [Google Scholar] [CrossRef]
- Notton, G.; Cristofari, C.; Mattei, M.; Poggi, P. Modelling of a double-glass photovoltaic module using finite differences. Appl. Therm. Eng. 2005, 25, 2854–2877. [Google Scholar] [CrossRef]
- Bevilacqua, P.; Perrella, S.; Bruno, R.; Arcuri, N. An accurate thermal model for the PV electric generation prediction: Long-term validation in different climatic conditions. Renew. Energy 2021, 163, 1092–1112. [Google Scholar] [CrossRef]
- Nicoletti, F.; Cucumo, M.A.; Ferraro, V.; Kaliakatsos, D.; Gigliotti, A. A Thermal Model to Estimate PV Electrical Power and Temperature Profile along Panel Thickness. Energies 2022, 15, 7577. [Google Scholar] [CrossRef]
- Hassanian, R.; Helgadóttir, A.; Bouhlali, L.; Riedel, M. An experiment generates a specified mean strained rate turbulent flow: Dynamics of particles. Phys. Fluids 2023, 35, 015124. [Google Scholar] [CrossRef]
- Hassanian, R.; Helgadóttir, A.; Aach, M.; Lintermann, A.; Riedel, M. A proposed hybrid two-stage DL-HPC method for wind speed forecasting: Using the first average forecast output for long-term forecasting. In Proceedings of the IACM Computational Fluids Conference, CFC 2023, Cannes, France, 25–28 April 2023. [Google Scholar]
- Hassanian, R.; Riedel, M.; Bouhlali, L. The Capability of Recurrent Neural Networks to Predict Turbulence Flow via Spatiotemporal Features. In Proceedings of the 2022 IEEE 10th Jubilee International Conference on Computational Cybernetics and Cyber-Medical Systems (ICCC), Reykjavik, Iceland, 6–9 July 2022; pp. 000335–000338. [Google Scholar]
- Hassanian, R.; Helgadóttir, A.; Riedel, M. Deep Learning Forecasts a Strained Turbulent Flow Velocity Field in Temporal Lagrangian Framework: Comparison of LSTM and GRU. Fluids 2022, 7, 344. [Google Scholar] [CrossRef]
- Hassanian, R.; Myneni, H.; Helgadóttir, A.; Riedel, M. Deciphering the dynamics of distorted turbulent flows: Lagrangian particle tracking and chaos prediction through transformer-based deep learning models. Phys. Fluids 2023, 35, 075118. [Google Scholar] [CrossRef]
- Muller, M.; Marion, B.; Rodriguez, J. Evaluating the IEC 61215 Ed.3 NMOT procedure against the existing NOCT procedure with PV modules in a side-by-side configuration. In Proceedings of the 2012 38th IEEE Photovoltaic Specialists Conference, Austin, TX, USA, 3–8 June 2012; pp. 000697–000702. [Google Scholar] [CrossRef]
- Ross, R.G., Jr. Flat-plate photovoltaic array design optimization. In Proceedings of the 14th IEEE Photovoltaic Specialists Conference, San Diego, CA, USA, 7–10 January 1980; pp. 1126–1132. [Google Scholar]
- Skoplaki, E.; Palyvos, J. Operating temperature of photovoltaic modules: A survey of pertinent correlations. Renew. Energy 2009, 34, 23–29. [Google Scholar] [CrossRef]
- Hasan, A.; Sarwar, J.; Alnoman, H.; Abdelbaqi, S. Yearly energy performance of a photovoltaic-phase change material (PV-PCM) system in hot climate. Sol. Energy 2017, 146, 417–429. [Google Scholar] [CrossRef]
- Waqas, A.; Ji, J.; Xu, L.; Ali, M.; Zeashan; Alvi, J. Thermal and electrical management of photovoltaic panels using phase change materials—A review. Renew. Sustain. Energy Rev. 2018, 92, 254–271. [Google Scholar] [CrossRef]
- Negash, T.; Tadiwose, T. Experimental Investigation of the Effect of Tilt Angle on the Dust Photovoltaic Module. Int. J. Energy Power Eng. 2015, 4, 227–231. [Google Scholar] [CrossRef]
- Mamun, M.; Islam, M.; Hasanuzzaman, M.; Selvaraj, J. Effect of tilt angle on the performance and electrical parameters of a PV module: Comparative indoor and outdoor experimental investigation. Energy Built Environ. 2022, 3, 278–290. [Google Scholar] [CrossRef]
- Cengel, Y.; Ghajar, A. Heat and Mass Transfer: Fundamentals and Applications, 6th ed.; McGraw Hill: New York, NY, USA, 2019. [Google Scholar]
- Incropera, F.P.; DeWitt, D.P.; Bergman, T.L.; Lavine, A.S. Fundamentals of Heat and Mass Transfer, 6th ed.; John Wiley & Sons: New York, NY, USA, 2006. [Google Scholar]
- Holman, J. Heat Transfer; McGraw-Hill Education: New York, NY, USA, 2009. [Google Scholar]
- Ozisik, M.N. Heat Transfer: A Basic Approach; McGraw-Hill: New York, NY, USA, 1984. [Google Scholar]
- McAdams, W.H. Heat Transmission, 3rd ed.; McGraw-Hill Book Co.: New York, NY, USA, 1954. [Google Scholar]
- W, J. Gesundheits-Ingenieur; Verlag: Berlin, Germany, 1924; Volume 1. [Google Scholar]
- Watmuff, J.; Charters, W.; Proctor, D. Solar and Wind Induced External Coefficients-Solar Collectors; Cooperation Mediterraneenne pour l’Energie Solaire: Marseille, France, 1977; p. 56. [Google Scholar]
- Wen, L. An Investigation of the Effect of Wind Cooling on Photovoltaic Arrays; Jet Propulsion Laboratory: Pasadena, CA, USA, 1982. [Google Scholar]
- Kurnik, J.; Jankovec, M.; Brecl, K.; Topic, M. Outdoor testing of PV module temperature and performance under different mounting and operational conditions. Sol. Energy Mater. Sol. Cells 2011, 95, 373–376. [Google Scholar] [CrossRef]
- Jurisson, J.; Peterson, R.E.; Mar, H.Y.B. Principles and applications of selective solar coatings. J. Vac. Sci. Technol. 1975, 12, 1010–1015. [Google Scholar] [CrossRef]
- Bae, J.H.; Kim, D.Y.; Shin, J.W.; Lee, S.E.; Kim, K.C. Analysis on the Features of NOCT and NMOT Tests with Photovoltaic Module. IEEE Access 2020, 8, 151546–151554. [Google Scholar] [CrossRef]
- Amalu, E.H.; Fabunmi, O.A. Thermal control of crystalline silicon photovoltaic (c-Si PV) module using Docosane phase change material (PCM) for improved performance. Sol. Energy 2022, 234, 203–221. [Google Scholar] [CrossRef]
Disclaimer/Publisher’s Note: The statements, opinions and data contained in all publications are solely those of the individual author(s) and contributor(s) and not of MDPI and/or the editor(s). MDPI and/or the editor(s) disclaim responsibility for any injury to people or property resulting from any ideas, methods, instructions or products referred to in the content. |
© 2024 by the authors. Licensee MDPI, Basel, Switzerland. This article is an open access article distributed under the terms and conditions of the Creative Commons Attribution (CC BY) license (https://creativecommons.org/licenses/by/4.0/).





