Wine Yeast Strains Under Ethanol-Induced Stress: Morphological and Physiological Responses
Abstract
1. Introduction
2. Materials and Methods
2.1. Yeast Strains and Culture Conditions
2.2. Microvinification Assay in Grape Juice
- -
- tR1/2: the time (in days) required to release half of the total CO2 produced by the best fermenter;
- -
- tF1/2: the time (in days) required to release half of the total CO2 at the end of fermentation for each strain.
Analytical Methods
2.3. Phenotypic Growth Test
2.3.1. Assay in Culture Media at Different Ethanol Concentrations
2.3.2. Assay in Broth at Different Ethanol Concentrations
2.4. Laurdan Membrane Fluidity Assay
- -
- I440: Emission intensity at 440 nm;
- -
- I490: Emission intensity at 490 nm.
2.5. Atomic Force Microscopy
2.6. Statistical Analyses
3. Results and Discussion
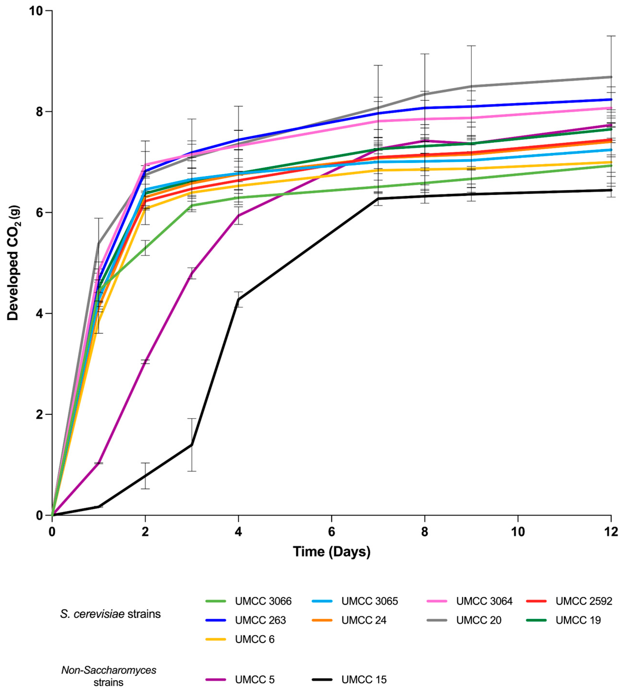
3.1. Evaluation of the Fermentative Performance of Yeast Strains
3.2. Growth at Different Ethanol Concentrations in Solid Media
3.3. Growth at Different Ethanol Concentrations in Liquid Media
3.4. Evaluation of Membrane Fluidity
3.5. Evaluation of Cell Surface Morphology Under Ethanol Stress
4. Conclusions
Author Contributions
Funding
Institutional Review Board Statement
Informed Consent Statement
Data Availability Statement
Acknowledgments
Conflicts of Interest
References
- Dinh, T.N.; Nagahisa, K.; Hirasawa, T.; Furusawa, C.; Shimizu, H. Adaptation of Saccharomyces cerevisiae cells to high ethanol concentration and changes in fatty acid composition of membrane and cell size. PLoS ONE 2008, 3, e2623. [Google Scholar] [CrossRef] [PubMed]
- Learmonth, R.P.; Gratton, E. Assessment of membrane fluidity in individual yeast cells by Laurdan generalised polarisation and multi-photon scanning fluorescence microscopy. In Fluorescence Spectroscopy, Imaging and Probes: New Tools in Chemical, Physical and Life Sciences; Kraayenhof, R., Visser, A.J.W.G., Gerritsen, H.C., Eds.; Springer: Berlin/Heidelberg, Germany, 2002; pp. 241–252. ISBN 978-3-642-56067-5. [Google Scholar]
- Learmonth, R.P. Membrane fluidity in yeast adaptation: Insights from fluorescence spectroscopy and microscopy. In Reviews in Fluorescence 2010; Geddes, C.D., Ed.; Springer: New York, NY, USA, 2012; pp. 67–93. ISBN 978-1-4419-9828-6. [Google Scholar]
- Sunyer-Figueres, M.; Mas, A.; Beltran, G.; Torija, M.-J. Protective effects of melatonin on Saccharomyces cerevisiae under ethanol stress. Antioxidants 2021, 10, 1735. [Google Scholar] [CrossRef] [PubMed]
- Li, X.; Cen, N.; Liu, L.; Chen, Y.; Yang, X.; Yu, K.; Guo, J.; Liao, X.; Shi, B. Collagen peptide provides Saccharomyces cerevisiae with robust stress tolerance for enhanced bioethanol production. ACS Appl. Mater. Interfaces 2020, 12, 53879–53890. [Google Scholar] [CrossRef] [PubMed]
- Charoenbhakdi, S.; Dokpikul, T.; Burphan, T.; Techo, T.; Auesukaree, C. Vacuolar H+-ATPase protects Saccharomyces cerevisiae cells against ethanol-induced oxidative and cell wall stresses. Appl. Environ. Microbiol. 2016, 82, 3121–3130. [Google Scholar] [CrossRef] [PubMed]
- Yang, Y.; Xia, Y.; Hu, W.; Tao, L.; Ni, L.; Yu, J.; Ai, L. Membrane fluidity of Saccharomyces cerevisiae from Huangjiu (Chinese rice wine) is variably regulated by OLE1 to offset the disruptive effect of ethanol. Appl. Environ. Microbiol. 2019, 85, e01620-19. [Google Scholar] [CrossRef]
- Alexandre, H.; Ansanay-Galeote, V.; Dequin, S.; Blondin, B. Global gene expression during short-term ethanol stress in Saccharomyces cerevisiae. FEBS Lett. 2001, 498, 98–103. [Google Scholar] [CrossRef]
- Yang, K.-M.; Lee, N.-R.; Woo, J.-M.; Choi, W.; Zimmermann, M.; Blank, L.M.; Park, J.-B. Ethanol reduces mitochondrial membrane integrity and thereby impacts carbon metabolism of Saccharomyces cerevisiae. FEMS Yeast Res. 2012, 12, 675–684. [Google Scholar] [CrossRef]
- Bagnat, M.; Keränen, S.; Shevchenko, A.; Shevchenko, A.; Simons, K. Lipid rafts function in biosynthetic delivery of proteins to the cell surface in yeast. Proc. Natl. Acad. Sci. USA 2000, 97, 3254–3259. [Google Scholar] [CrossRef]
- Deguil, J.; Pineau, L.; Rowland Snyder, E.C.; Dupont, S.; Beney, L.; Gil, A.; Frapper, G.; Ferreira, T. Modulation of lipid-induced ER stress by fatty acid shape. Traffic 2011, 12, 349–362. [Google Scholar] [CrossRef]
- Surma, M.A.; Klose, C.; Peng, D.; Shales, M.; Mrejen, C.; Stefanko, A.; Braberg, H.; Gordon, D.E.; Vorkel, D.; Ejsing, C.S.; et al. A lipid E-MAP identifies Ubx2 as a critical regulator of lipid saturation and lipid bilayer stress. Mol. Cell 2013, 51, 519–530. [Google Scholar] [CrossRef]
- Hoppe, T.; Rape, M.; Jentsch, S. Membrane-bound transcription factors: Regulated release by RIP or RUP. Curr. Opin. Cell Biol. 2001, 13, 344–348. [Google Scholar] [CrossRef] [PubMed]
- Zhang, S.; Burkett, T.J.; Yamashita, I.; Garfinkel, D.J. Genetic redundancy between SPT23 and MGA2: Regulators of Ty-induced mutations and Ty1 transcription in Saccharomyces cerevisiae. Mol. Cell. Biol. 1997, 17, 4718. [Google Scholar] [CrossRef] [PubMed][Green Version]
- Zhang, S.; Skalsky, Y.; Garfinkel, D.J. MGA2 or SPT23 is required for transcription of the Δ9 fatty acid desaturase gene, OLE1, and nuclear membrane integrity in Saccharomyces cerevisiae. Genetics 1999, 151, 473–483. [Google Scholar] [CrossRef] [PubMed]
- Ballweg, S.; Ernst, R. Control of membrane fluidity: The OLE pathway in focus. Biol. Chem. 2017, 398, 215–228. [Google Scholar] [CrossRef]
- Fleet, G.H. Yeast interactions and wine flavour. Int. J. Food Microbiol. 2003, 86, 11–22. [Google Scholar] [CrossRef]
- Fleet, G.H. Wine yeasts for the future. FEMS Yeast Res. 2008, 8, 979–995. [Google Scholar] [CrossRef]
- Padilla, B.; Gil, J.V.; Manzanares, P. Past and future of non-Saccharomyces yeasts: From spoilage microorganisms to biotechnological tools for improving wine aroma complexity. Front. Microbiol. 2016, 7, 411. [Google Scholar] [CrossRef]
- Varela, C. The impact of non-Saccharomyces yeasts in the production of alcoholic beverages. Appl. Microbiol. Biotechnol. 2016, 100, 9861–9874. [Google Scholar] [CrossRef]
- Benito, Á.; Calderón, F.; Benito, S. The influence of non-Saccharomyces species on wine fermentation quality parameters. Fermentation 2019, 5, 54. [Google Scholar] [CrossRef]
- Pulvirenti, A.; De Vero, L.; Blaiotta, G.; Sidari, R.; Iosca, G.; Gullo, M.; Caridi, A. Selection of wine Saccharomyces cerevisiae strains and their screening for the adsorption activity of pigments, phenolics and ochratoxin A. Fermentation 2020, 6, 80. [Google Scholar] [CrossRef]
- Jolly, N.P.; Varela, C.; Pretorius, I.S. Not your ordinary yeast: Non-Saccharomyces yeasts in wine production uncovered. FEMS Yeast Res. 2014, 14, 215–237. [Google Scholar] [CrossRef] [PubMed]
- Romano, P.; Fiore, C.; Paraggio, M.; Caruso, M.; Capece, A. Function of yeast species and strains in wine flavour. Int. J. Food Microbiol. 2003, 86, 169–180. [Google Scholar] [CrossRef]
- Amerine, M.A. The Technology of Wine Making, 4th ed.; Avi Publishing Company: Westport, CT, USA, 1980; ISBN 978-0-87055-333-2. [Google Scholar]
- Rojas, V.; Gil, J.V.; Piñaga, F.; Manzanares, P. Acetate ester formation in wine by mixed cultures in laboratory fermentations. Int. J. Food Microbiol. 2003, 86, 181–188. [Google Scholar] [CrossRef] [PubMed]
- Sadineni, V.; Kondapalli, N.; Obulam, V.S.R. Effect of co-fermentation with Saccharomyces cerevisiae and Torulaspora delbrueckii or Metschnikowia pulcherrima on the aroma and sensory properties of mango wine. Ann. Microbiol. 2012, 62, 1353–1360. [Google Scholar] [CrossRef]
- Contreras, A.; Hidalgo, C.; Henschke, P.A.; Chambers, P.J.; Curtin, C.; Varela, C. Evaluation of non-Saccharomyces yeasts for the reduction of alcohol content in wine. Appl. Environ. Microbiol. 2014, 80, 1670. [Google Scholar] [CrossRef] [PubMed]
- Giovani, G.; Rosi, I.; Bertuccioli, M. Quantification and characterization of cell wall polysaccharides released by non-Saccharomyces yeast strains during alcoholic fermentation. Int. J. Food Microbiol. 2012, 160, 113–118. [Google Scholar] [CrossRef]
- Azzolini, M.; Fedrizzi, B.; Tosi, E.; Finato, F.; Vagnoli, P.; Scrinzi, C.; Zapparoli, G. Effects of Torulaspora delbrueckii and Saccharomyces cerevisiae mixed cultures on fermentation and aroma of Amarone wine. Eur. Food Res. Technol. 2012, 235, 303–313. [Google Scholar] [CrossRef]
- Roca-Mesa, H.; Delgado-Yuste, E.; Mas, A.; Torija, M.-J.; Beltran, G. Importance of micronutrients and organic nitrogen in fermentations with Torulaspora delbrueckii and Saccharomyces cerevisiae. Int. J. Food Microbiol. 2022, 381, 109915. [Google Scholar] [CrossRef]
- Bely, M.; Stoeckle, P.; Masneuf-Pomarède, I.; Dubourdieu, D. Impact of mixed Torulaspora delbrueckii—Saccharomyces cerevisiae culture on high-sugar fermentation. Int. J. Food Microbiol. 2008, 122, 312–320. [Google Scholar] [CrossRef]
- Rodríguez, M.E.; Lopes, C.A.; Barbagelata, R.J.; Barda, N.B.; Caballero, A.C. Influence of Candida pulcherrima Patagonian strain on alcoholic fermentation behaviour and wine aroma. Int. J. Food Microbiol. 2010, 138, 19–25. [Google Scholar] [CrossRef]
- Comitini, F.; Gobbi, M.; Domizio, P.; Romani, C.; Lencioni, L.; Mannazzu, I.; Ciani, M. Selected non-Saccharomyces wine yeasts in controlled multistarter fermentations with Saccharomyces cerevisiae. Food Microbiol. 2011, 28, 873–882. [Google Scholar] [CrossRef] [PubMed]
- Bonciani, T.; De Vero, L.; Mezzetti, F.; Fay, J.C.; Giudici, P. A multi-phase approach to select new wine yeast strains with enhanced fermentative fitness and glutathione production. Appl. Microbiol. Biotechnol. 2018, 102, 2269–2278. [Google Scholar] [CrossRef] [PubMed]
- Canetta, E.; Adya, A.K.; Walker, G.M. Atomic force microscopic study of the effects of ethanol on yeast cell surface morphology. FEMS Microbiol. Lett. 2006, 255, 308–315. [Google Scholar] [CrossRef] [PubMed]
- Laguna, L.; Bartolomé, B.; Moreno-Arribas, M.V. Mouthfeel perception of wine: Oral physiology, components and instrumental characterization. Trends Food Sci. Technol. 2017, 59, 49–59. [Google Scholar] [CrossRef]
- Oura, E. Reaction products of yeast fermentations. Process Biochem. 1977, 12, 19–21. [Google Scholar]
- Bruinenberg, P.; Dijken, J.; Scheffers, W. A theoretical analysis of NADPH production and consumption in yeasts. J. Gen. Microbiol. 1983, 129, 953–964. [Google Scholar] [CrossRef][Green Version]
- Cortassa, S.; Aon, J.C.; Aon, M.A. Fluxes of carbon, phosphorylation, and redox intermediates during growth of Saccharomyces cerevisiae on different carbon sources. Biotechnol. Bioeng. 1995, 47, 193–208. [Google Scholar] [CrossRef]
- van Dijken, J.P.; Scheffers, W.A. Redox balances in the metabolism of sugars by yeasts. FEMS Microbiol. Rev. 1986, 1, 199–224. [Google Scholar] [CrossRef]
- Gonzalez, R.; Quirós, M.; Morales, P. Yeast respiration of sugars by non-Saccharomyces yeast species: A promising and barely explored approach to lowering alcohol content of wines. Trends Food Sci. Technol. 2013, 29, 55–61. [Google Scholar] [CrossRef]
- Pettersen, J.P.; Castillo, S.; Jouhten, P.; Almaas, E. Genome-scale metabolic models reveal determinants of phenotypic differences in non-Saccharomyces yeasts. BMC Bioinform. 2023, 24, 438. [Google Scholar] [CrossRef]
- Flores, C.L.; Rodríguez, C.; Petit, T.; Gancedo, C. Carbohydrate and energy-yielding metabolism in non-conventional yeasts. FEMS Microbiol. Rev. 2000, 24, 507–529. [Google Scholar] [CrossRef] [PubMed]
- Tyibilika, V.; Setati, M.E.; Bloem, A.; Divol, B.; Camarasa, C. Differences in the management of intracellular redox state between wine yeast species dictate their fermentation performances and metabolite production. Int. J. Food Microbiol. 2024, 411, 110537. [Google Scholar] [CrossRef] [PubMed]
- Nikolić, S.; Mojović, L.; Pejin, D.; Rakin, M.; Vukašinović, M. Production of bioethanol from corn meal hydrolyzates by free and immobilized cells of Saccharomyces cerevisiae var. Ellipsoideus. Biomass Bioenergy 2010, 34, 1449–1456. [Google Scholar] [CrossRef]
- Quevedo-Hidalgo, B.; Monsalve-Marín, F.; Narváez-Rincón, P.C.; Pedroza-Rodríguez, A.M.; Velásquez-Lozano, M.E. Ethanol production by Saccharomyces cerevisiae using lignocellulosic hydrolysate from Chrysanthemum waste degradation. World J. Microbiol. Biotechnol. 2013, 29, 459–466. [Google Scholar] [CrossRef]
- Behera, S.; Kar, S.; Mohanty, R.C.; Ray, R.C. Comparative study of bio-ethanol production from Mahula (Madhuca latifolia L.) flowers by Saccharomyces cerevisiae cells immobilized in agar agar and Ca-alginate matrices. Appl. Energy 2010, 87, 96–100. [Google Scholar] [CrossRef]
- Razmovski, R.; Vučurović, V. Ethanol production from sugar beet molasses by S. cerevisiae entrapped in an alginate-maize stem ground tissue matrix. Enzyme Microb. Technol. 2011, 48, 378–385. [Google Scholar] [CrossRef]
- Beaven, M.J.; Charpentier, C.; Rose, A.H. Production and tolerance of ethanol in relation to phospholipid fatty-acyl composition in Saccharomyces cerevisiae NCYC 431. Microbiology 1982, 128, 1447–1455. [Google Scholar] [CrossRef]
- Ghareib, M.; Youssef, K.A.; Khalil, A.A. Ethanol tolerance of Saccharomyces cerevisiae and its relationship to lipid content and composition. Folia Microbiol. 1988, 33, 447–452. [Google Scholar] [CrossRef]
- Mishra, P.; Prasad, R. Relationship between ethanol tolerance and fatty acyl composition of Saccharomyces cerevisiae. Appl. Microbiol. Biotechnol. 1989, 30, 294–298. [Google Scholar] [CrossRef]
- Mishra, P.; Kaur, S. Lipids as modulators of ethanol tolerance in yeast. Appl. Microbiol. Biotechnol. 1991, 34, 697–702. [Google Scholar] [CrossRef]
- Šajbidor, J.; Grego, J. Fatty acid alterations in Saccharomyces cerevisiae exposed to ethanol stress. FEMS Microbiol. Lett. 1992, 93, 13–16. [Google Scholar] [CrossRef]
- Alexandre, H.; Rousseaux, I.; Charpentier, C. Relationship between ethanol tolerance, lipid composition and plasma membrane fluidity in Saccharomyces cerevisiae and Kloeckera apiculata. FEMS Microbiol. Lett. 1994, 124, 17–22. [Google Scholar] [CrossRef] [PubMed]
- You, K.M.; Rosenfield, C.-L.; Knipple, D.C. Ethanol tolerance in the yeast Saccharomyces cerevisiae is dependent on cellular oleic acid content. Appl. Environ. Microbiol. 2003, 69, 1499–1503. [Google Scholar] [CrossRef] [PubMed]
- Aguilera, F.; Peinado, R.A.; Millán, C.; Ortega, J.M.; Mauricio, J.C. Relationship between ethanol tolerance, H+-ATPase activity and the lipid composition of the plasma membrane in different wine yeast strains. Int. J. Food Microbiol. 2006, 110, 34–42. [Google Scholar] [CrossRef]
- Ishmayana, S.; Kennedy, U.J.; Learmonth, R.P. Further investigation of relationships between membrane fluidity and ethanol tolerance in Saccharomyces cerevisiae. World J. Microbiol. Biotechnol. 2017, 33, 218. [Google Scholar] [CrossRef]
- Lairón-Peris, M.; Routledge, S.J.; Linney, J.A.; Alonso-del-Real, J.; Spickett, C.M.; Pitt, A.R.; Guillamón, J.M.; Barrio, E.; Goddard, A.D.; Querol, A. Lipid composition analysis reveals mechanisms of ethanol tolerance in the model yeast Saccharomyces cerevisiae. Appl. Environ. Microbiol. 2021, 87, e00440-21. [Google Scholar] [CrossRef]
- Jones, R.P.; Greenfield, P.F. Ethanol and the fluidity of the yeast plasma membrane. Yeast 1987, 3, 223–232. [Google Scholar] [CrossRef]
- Francois, J.M.; Formosa, C.; Schiavone, M.; Pillet, F.; Martin-Yken, H.; Dague, E. Use of Atomic Force Microscopy (AFM) to explore cell wall properties and response to stress in the yeast Saccharomyces cerevisiae. Curr. Genet. 2013, 59, 187–196. [Google Scholar] [CrossRef]
- Adya, A.K.; Canetta, E.; Walker, G.M. Atomic force microscopic study of the influence of physical stresses on Saccharomyces cerevisiae and Schizosaccharomyces pombe. FEMS Yeast Res. 2006, 6, 120–128. [Google Scholar] [CrossRef]






| Original Code | UMCC Code | Species | Commercial Name |
|---|---|---|---|
| PB2171 | UMCC 3066 | Saccharomyces cerevisiae | Fermol Fleur |
| PB2151 | UMCC 3065 | Saccharomyces cerevisiae | Fermol Tropical |
| PB2101 | UMCC 3064 | Saccharomyces cerevisiae | Fermol Lime |
| PB2018 | UMCC 2592 | Saccharomyces cerevisiae | Fermol Red Fruit |
| PB2530 | UMCC 263 | Saccharomyces cerevisiae | Fermol Sauvignon |
| PB2010 | UMCC 24 | Saccharomyces cerevisiae | Fermol Arome Plus |
| PB2023 | UMCC 20 | Saccharomyces cerevisiae | Fermol Rouge |
| PB2019 | UMCC 19 | Saccharomyces cerevisiae | Fermol Blanc |
| PB2590 | UMCC 6 | Saccharomyces cerevisiae | Fermol Mediterranèe |
| BBMV3FA5 | UMCC 5 | Torulaspora delbrueckii | Levulia Torula |
| MCR 24 | UMCC 15 | Metschnikowia pulcherrima | Levulia Pulcherrima |
| Sample | FR | FV (g) |
|---|---|---|
| UMCC 3066 | 0.90 | 5.30 b |
| UMCC 3065 | 0.92 | 6.46 a |
| UMCC 3064 | 0.95 | 6.95 a |
| UMCC 2592 | 0.89 | 6.23 ab |
| UMCC 263 | 0.67 | 6.82 a |
| UMCC 24 | 0.85 | 6.31 a |
| UMCC 20 | 1 | 7.11 a |
| UMCC 19 | 0.91 | 6.38 ab |
| UMCC 6 | 0.84 | 6.08 ab |
| UMCC 5 | 0.29 | 3.04 c |
| UMCC 15 | 0.19 | 0.78 d |
| Sample | Glucose (g/L) | Fructose (g/L) | Residual Sugars (g/L) | EtOH g/100 g Consumed Sugar | Gly g/100 g Consumed Sugar | Tartaric Acid (g/L) | Succinic Acid g/100 g Consumed Sugar | Acetic Acid g/100 g Consumed Sugar | Citric Acid g/100 g Consumed Sugar | TA (g/L) |
|---|---|---|---|---|---|---|---|---|---|---|
| UMCC 3066 | 2.47 ab | 3.00 cde | 5.47 abc | 50.66 a | 3.17 ab | 1.31 ab | 1.60 a | 0.22 b | 0.35 ab | 7.37 ab |
| UMCC 3065 | 2.46 ab | 3.27 bc | 5.73 abc | 51.39 a | 2.83 bc | 1.31 de | 1.25 ab | 0.16 e | 0.29 j | 7.63 a |
| UMCC 3064 | 2.53 ab | 3.11 cd | 5.64 abc | 51.62 a | 2.50 c | 1.25 abc | 1.22 ab | 0.09 d | 0.29 cd | 7.47 ab |
| UMCC 2592 | 2.55 ab | 2.76 e | 5.31 c | 50.80 a | 3.00 bc | 1.11 de | 1.21 b | 0.21 b | 0.21 ef | 7.40 ab |
| UMCC 263 | 2.48 ab | 2.87 de | 5.35c | 47.68 a | 3.10 ab | 1.15 bcd | 1.16 b | 0.18 c | 0.15 hi | 7.67 a |
| UMCC 24 | 2.34 bc | 3.12 cd | 5.46 abc | 47.07 a | 2.73 bc | 1.17 bcd | 1.13 b | 0.21 b | 0.24 de | 7.40 ab |
| UMCC 20 | 2.41 bc | 2.35 f | 4.76 d | 46.50 a | 2.93 bc | 0.87 d | 1.60 a | 0.31 a | 0.30 bc | 7.83 a |
| UMCC 19 | 2.00 c | 3.44 ab | 5.44 abc | 50.80 a | 2.70 bc | 1.23 abc | 1.19 b | 0.30 a | 0.18 fg | 7.43 ab |
| UMCC 6 | 2.31 bc | 3.62 a | 5.93 a | 50.47 a | 3.00 bc | 1.30 de | 1.38 ab | 0.26 e | 0.21 ef | 7.73 a |
| UMCC 5 | 2.29 bc | 3.51 ab | 5.80 abc | 50.63 a | 2.90 bc | 1.39 a | 1.11 b | 0.21 b | 0.12 h | 7.40 ab |
| UMCC 15 | 2.85 a | 3.01 cde | 5.86 ab | 51.48 a | 3.63 a | 1.26 abc | 1.23 ab | 0.10 d | 0.39 a | 6.53 b |
Disclaimer/Publisher’s Note: The statements, opinions and data contained in all publications are solely those of the individual author(s) and contributor(s) and not of MDPI and/or the editor(s). MDPI and/or the editor(s) disclaim responsibility for any injury to people or property resulting from any ideas, methods, instructions or products referred to in the content. |
© 2024 by the authors. Licensee MDPI, Basel, Switzerland. This article is an open access article distributed under the terms and conditions of the Creative Commons Attribution (CC BY) license (https://creativecommons.org/licenses/by/4.0/).
Share and Cite
Aiello, E.; Arena, M.P.; De Vero, L.; Montanini, C.; Bianchi, M.; Mescola, A.; Alessandrini, A.; Pulvirenti, A.; Gullo, M. Wine Yeast Strains Under Ethanol-Induced Stress: Morphological and Physiological Responses. Fermentation 2024, 10, 631. https://doi.org/10.3390/fermentation10120631
Aiello E, Arena MP, De Vero L, Montanini C, Bianchi M, Mescola A, Alessandrini A, Pulvirenti A, Gullo M. Wine Yeast Strains Under Ethanol-Induced Stress: Morphological and Physiological Responses. Fermentation. 2024; 10(12):631. https://doi.org/10.3390/fermentation10120631
Chicago/Turabian StyleAiello, Elisa, Mattia Pia Arena, Luciana De Vero, Carlo Montanini, Michele Bianchi, Andrea Mescola, Andrea Alessandrini, Andrea Pulvirenti, and Maria Gullo. 2024. "Wine Yeast Strains Under Ethanol-Induced Stress: Morphological and Physiological Responses" Fermentation 10, no. 12: 631. https://doi.org/10.3390/fermentation10120631
APA StyleAiello, E., Arena, M. P., De Vero, L., Montanini, C., Bianchi, M., Mescola, A., Alessandrini, A., Pulvirenti, A., & Gullo, M. (2024). Wine Yeast Strains Under Ethanol-Induced Stress: Morphological and Physiological Responses. Fermentation, 10(12), 631. https://doi.org/10.3390/fermentation10120631

