Journal Description
Fermentation
                    Fermentation 
                    is an international, peer-reviewed, open access journal on fermentation process and technology published monthly online by MDPI.
                - Open Access— free for readers, with article processing charges (APC) paid by authors or their institutions.
- High Visibility: indexed within Scopus, SCIE (Web of Science), PubAg, FSTA, Inspec, CAPlus / SciFinder, and other databases.
- Journal Rank: JCR - Q2 (Biotechnology and Applied Microbiology) / CiteScore - Q1 (Plant Science)
- Rapid Publication: manuscripts are peer-reviewed and a first decision is provided to authors approximately 15.5 days after submission; acceptance to publication is undertaken in 3.9 days (median values for papers published in this journal in the first half of 2025).
- Recognition of Reviewers: reviewers who provide timely, thorough peer-review reports receive vouchers entitling them to a discount on the APC of their next publication in any MDPI journal, in appreciation of the work done.
                                            Impact Factor: 
                        3.3 (2024);
                        5-Year Impact Factor: 
                        3.5 (2024)
                                    
                
                                
            Latest Articles
        
        
                    
    
        
    
    Production of Bio-Improved Butter with Lactic Acid Bacteria Isolated from Traditional Cheese Matrix and Eye Fluid
                        
    
                
            
                
        Fermentation 2025, 11(11), 620; https://doi.org/10.3390/fermentation11110620 (registering DOI) - 31 Oct 2025
    
                            
    
                    
        
                    Abstract 
            
            
                        
    
            This study aimed to investigate the effects of Levilactobacillus brevis, Lacticaseibacillus paracasei, and Lacticaseibacillus rhamnosus strains isolated from Mihalic cheese, also known as “weeping cheese”, on fermentation kinetics, microbial viability, and textural and aromatic properties of the butter matrix. The effects
             [...] Read more.
        
        
            This study aimed to investigate the effects of Levilactobacillus brevis, Lacticaseibacillus paracasei, and Lacticaseibacillus rhamnosus strains isolated from Mihalic cheese, also known as “weeping cheese”, on fermentation kinetics, microbial viability, and textural and aromatic properties of the butter matrix. The effects of the isolates were determined on acidification kinetics (Vmax, Tvmax, pHvmax), viability proportion index (VPI), textural parameters (firmness, work of shear, stickiness, work of adhesion), and volatile aroma compounds (GC-MS) formation. This study found that the BLR sample containing Lacticaseibacillus rhamnosus maintained its limited viability under acidic stress conditions despite its high fermentation rate and low pHvmax values. The BLP sample containing Lacticaseibacillus paracasei exhibited high viability due to its low acidification rate and limited pH change. Determining the chemical classes to which the aroma compounds in the BLP sample belonged revealed a composition rich in fatty acids. The BLB sample containing Levilactobacillus brevis produced a high ΔpH value and an aroma profile rich in aldehyde compounds. Examination of the macro-structural properties of the butter samples revealed that the sample containing Lacticaseibacillus rhamnosus, similar to the control sample (BMC), was more compact and rigid during storage. In contrast, samples containing Lacticaseibacillus paracasei and Levilactobacillus brevis had a softer/spreadable texture. These findings demonstrate the potential of lactic acid bacteria isolates from the traditional Mihalic cheese microbiota as biological catalysts for the development/improvement of texture, aroma, and sensory quality in high-fat dairy products and for the industrial production of products modified to meet consumer preferences.
            Full article
        
    
        
        
                    (This article belongs to the  Special Issue Fermented Dairy Products: From Artisanal Production to Functional Products and Beyond)
            
        
        
►
             Show Figures
         Open AccessArticle
    
    A Strategy for Sustainable Production of Isoflavones from Black Soybean Okara via Solid-State Co-Fermentation
                        
            by
                    Yi-Chung Lai, Bang-Yuan Chen, Jung-Feng Hsieh, Chien-Cheng Yeh, Cheng Huang, Meng-I Kuo and Chun-Ping Lu        
    
                
        
        Fermentation 2025, 11(11), 619; https://doi.org/10.3390/fermentation11110619 - 29 Oct 2025
    
                            
    
                    
        
                    Abstract 
            
            
                        
    
            Okara, the soybean residue generated during soymilk and tofu production, is nutrient-rich but underutilized due to its high moisture content and perishability. This study established a sustainable solid-state co-fermentation strategy using Rhizopus oligosporus (BCRC 31631) and Yarrowia lipolytica (BCRC 21252) to enhance the
             [...] Read more.
        
        
            Okara, the soybean residue generated during soymilk and tofu production, is nutrient-rich but underutilized due to its high moisture content and perishability. This study established a sustainable solid-state co-fermentation strategy using Rhizopus oligosporus (BCRC 31631) and Yarrowia lipolytica (BCRC 21252) to enhance the bioactive value of black soybean okara from two Taiwanese cultivars—Tainan No. 3 (TN.3) and Tainan No. 5 (TN.5). Co-fermentation markedly enhanced β-glucosidase activity, reaching 0.75 U/g DW at 30 °C after 48 h in TN.3 and 0.68 U/g DW after 24 h in TN.5, approximately 3.5-fold higher than single-strain fermentation. Near-complete (97–100%) hydrolysis of daidzin, glycitin, and genistin occurred within 24–48 h, producing 672.9 µg/g DM of total aglycone-type isoflavones—an ~11-fold increase compared with unfermented okara (61.5 µg/g DM), where most isoflavones (~740 µg/g DM) remained glycosylated. Varietal structure affected conversion efficiency: TN.3 exhibited stronger enzymatic responsiveness and higher aglycone yield, whereas TN.5 showed faster but less extensive transformation. The process also revealed a bioactive–pigment trade-off, as enhanced isoflavone activation coincided with anthocyanin degradation. These findings demonstrate that ambient-temperature solid-state co-fermentation effectively boosts β-glucosidase activity and isoflavone bioconversion, transforming low-value okara into a high-value functional ingredient consistent with circular bioeconomy and sustainable food system goals.
            Full article
        
    
        
        
                    (This article belongs to the  Special Issue Exploring Fermentation Strategies for the Valorization of Food By-Products and Their Bioactive Potential)
            
        
        
►▼
             Show Figures
         
Figure 1
Open AccessArticle
    
    Effects of Metschnikowia pulcherrima as a Substitute for SO2 in Pre-Fermentative Cold Maceration on Muscat Red Wine
                        
            by
                    Hejing Yan, Yinzhen Wang, Zhuoyuan Li, Yunkai Qian, Lisha Luo, Fei Li, Yang Yang, Qiaomin Yin, Xiqing Guo, Wenqi Shi, Jiefang Zhou and Pengbao Shi        
    
                
        
        Fermentation 2025, 11(11), 618; https://doi.org/10.3390/fermentation11110618 - 29 Oct 2025
    
                            
    
                    
        
                    Abstract 
            
            
                        
    
            In response to increasing safety concerns regarding the use of sulfur dioxide (SO2) in winemaking, this study investigates the efficacy of Metschnikowia pulcherrima-mediated cold maceration (Mp-CM) as a potential alternative to SO2 at industrial temperatures (10–15 °C). The analysis
             [...] Read more.
        
        
            In response to increasing safety concerns regarding the use of sulfur dioxide (SO2) in winemaking, this study investigates the efficacy of Metschnikowia pulcherrima-mediated cold maceration (Mp-CM) as a potential alternative to SO2 at industrial temperatures (10–15 °C). The analysis focused on the content of different phenolics, as well as wine color properties and aroma compounds. These parameters were compared against those obtained from CM with SO2 (SO2-CM). This study introduces and compares the phenolics, wine color properties, and volatile compounds produced by three Metschnikowia pulcherrima strains (Mp0519, Mp0516, and Mp0520 were previously isolated from Muscat Hamburg grapes in the Jieshi mountain region), revealing that the effectiveness of the treatments varied depending on the temperature and strain. At 10 °C, Mp-CM showed significantly lower phenolic (−19.23%) and flavonoid (−41.13%) content compared to SO2-CM but exhibited markedly higher anthocyanin and terpene content (+133.11% and +12.61%, respectively), with similar tannin levels. Conversely, at 15 °C, Mp-CM outperformed SO2-CM in several key metrics, including total phenolics (+17.32%), flavonoids (+83.45%), tannins (+17.05%), and anthocyanins (+54.08%), and demonstrated a significantly enhanced floral/fruity aroma intensity (+160.72%). Furthermore, Mp0520 exhibited peak levels of phenolics and esters at 10 °C, while Mp0519 reached its highest terpene level at 10 °C and total volatile at 15 °C. Notably, Mp-CM consistently displayed specific characteristics regardless of the maceration temperature, including a reduction in total volatile compounds, a suppression of ester formation, an enhancement of anthocyanin content, and an improvement of the wine’s floral aroma, with strain-specific variations observed across all evaluated parameters. This study illustrates that the Mp-CM provides distinct advantages in extracting key components from grape skins, and it has the potential to enhance wine color attributes. This positions Mp as a promising SO2 alternative for CM, contingent on strain selection and process optimization.
            Full article
        
    
        
        
                    (This article belongs to the  Section Fermentation for Food and Beverages)
            
        
        
►▼
             Show Figures
         
Figure 1
Open AccessArticle
    
    Combined Microbiological Tools to Assess the Suitability of Lactic Acid Bacteria Cell-Free Supernatant as a Bio-Preservative in Ready-to-Eat Orange Against Wild Staphylococcus aureus and Bacillus cereus Isolates
                        
            by
                    Nunziatina Russo, Paola Foti, Irene M. Zingale, Cinzia Caggia, Cinzia L. Randazzo and Flora V. Romeo        
    
                
        
        Fermentation 2025, 11(11), 617; https://doi.org/10.3390/fermentation11110617 - 29 Oct 2025
    
                            
    
                    
        
                    Abstract 
            
            
                        
    
            The increased consumption of ready-to-eat fruits highlights the need for better control of microbial growth during their shelf life. Among bacteria, Staphylococcus aureus and Bacillus cereus are proposed as target species for testing alternative preservative methods. This study aimed to evaluate the antimicrobial
             [...] Read more.
        
        
            The increased consumption of ready-to-eat fruits highlights the need for better control of microbial growth during their shelf life. Among bacteria, Staphylococcus aureus and Bacillus cereus are proposed as target species for testing alternative preservative methods. This study aimed to evaluate the antimicrobial effect of the cell-free supernatant (CFS) from LAB strains previously isolated from ready-to-eat fruits, used as a mixed solution, against both reference and native S. aureus and B. cereus, which were isolated from commercial ready-to-eat fruits. A specific challenge test was conducted on minimally processed orange slices, assessing the effect of CFS on the intentionally inoculated target bacteria using a culturing and quantitative PCR (qPCR) approach. Microbiological counts varied widely among samples, indicating an initial microbiota below legislative limits, mainly comprising total mesophilic and psychrophilic bacteria, which increased significantly after 8 days of storage. Additionally, our results demonstrated the food matrix’s capacity to support the growth of both target species, with the tested CFS mainly effective in reducing the growth of reference strains. The results of the physicochemical analyses showed that during refrigerated storage, the orange slices underwent changes in pH, color, and texture, mostly in S. aureus strain-inoculated samples, negatively affecting texture at mid-storage time. The study also underscored the importance of combining plate counting with qPCR methods to detect B. cereus, as it can be risky even at low levels.
            Full article
        
    
        
        
                    (This article belongs to the  Section Fermentation for Food and Beverages)
            
        
        
►▼
             Show Figures
         
Graphical abstract
Open AccessArticle
    
    Synergistic Evaluation of Lactobacilli on Probiotic Viability and Antioxidant Properties in Almond and Cow Milk
                        
            by
                    Ashwag Jaman Al Zahrani, Amal Bakr Shori and Khadijah A. Altammar        
    
                
        
        Fermentation 2025, 11(11), 616; https://doi.org/10.3390/fermentation11110616 - 29 Oct 2025
    
                            
    
                    
        
                    Abstract 
            
            
                        
    
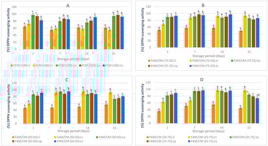
            Lactobacilli are important probiotic groups recognized for their numerous health-promoting properties. This study investigated how four probiotic strains, Lacticaseibacillus rhamnosus (Lr), Lactobacillus acidophilus (La), Lactiplantibacillus plantarum (Lp), or Lacticaseibacillus casei (Lc), affected post-acidification, viable cell counts (VCCs), total phenolic and flavonoid contents (TPCs
             [...] Read more.
        
        
            Lactobacilli are important probiotic groups recognized for their numerous health-promoting properties. This study investigated how four probiotic strains, Lacticaseibacillus rhamnosus (Lr), Lactobacillus acidophilus (La), Lactiplantibacillus plantarum (Lp), or Lacticaseibacillus casei (Lc), affected post-acidification, viable cell counts (VCCs), total phenolic and flavonoid contents (TPCs and TFCs, respectively), and antioxidant activity of fermented almond milk (FAM) and its combination with cow’s milk (CM) at different concentrations (75:25, 50:50, and 25:75) during 1, 7, 14, and 21 days of storage. All FAM and its mixture with CM showed significantly greater (p < 0.05) post-acidification than their respective controls throughout storage. Viable cell counts in all samples ranged from 5.9 to 6.8 log cfu/mL, which were higher than those of the controls (3–4 log cfu/mL; p < 0.05). Total phenolic contents in FAM/CM (75:25 and 50:50 and 25:75)-Lc increased more than twofold (95.82 ± 0.003 and 105.71 ± 0.008 and 101.02 ± 0.071 μg GAE/mL; p < 0.05) compared to the controls (19–40 μg GAE/mL) by the end of the third week. Lbs. rhamnosus enhanced (p < 0.05) TFCs in FAM/CM (25:75) after the first day of storage. All lactobacilli strains improved the antioxidant activity in all treated samples during storage. In conclusion, the combination of fermented almond milk with cow’s milk may serve as an excellent carrier for Lbs. rhamnosus, Lab. acidophilus, Lpb. plantarum, and Lbs. casei, which exhibit antioxidant activity.
            Full article
        
    
        
        
                    (This article belongs to the  Section Probiotic Strains and Fermentation)
            
        
        
►▼
             Show Figures
         
Figure 1
Open AccessArticle
    
    Safety Assessment and the Potential of a Postbiotic Powder Formulated from a Three-Strain Fermentation of Lactobacillus salivarius AP-32, Lactobacillus paracasei ET-66, and Lactobacillus plantarum LPL28
                        
            by
                    Ching-Min Li, Yen-Yu Huang, Chi-Huei Lin, Jia-Hung Lin, Yi-Wei Kuo, Ko-Chiang Hsia, Shin-Yu Tsai, Yu-Fen Huang, Ching-Wei Chen and Hsieh-Hsun Ho        
    
                
        
        Fermentation 2025, 11(11), 615; https://doi.org/10.3390/fermentation11110615 - 28 Oct 2025
    
                            
    
                    
        
                    Abstract 
            
            
                        
    
            This study evaluated the safety, antimicrobial activity, and upper gastrointestinal gastroprotection of a postbiotic powder derived from Lactobacillus salivarius AP-32, Lactobacillus paracasei ET-66, and Lactobacillus plantarum LPL28. Safety assessments were performed in rodent models through acute and subchronic oral toxicity tests, genotoxicity assays,
             [...] Read more.
        
        
            This study evaluated the safety, antimicrobial activity, and upper gastrointestinal gastroprotection of a postbiotic powder derived from Lactobacillus salivarius AP-32, Lactobacillus paracasei ET-66, and Lactobacillus plantarum LPL28. Safety assessments were performed in rodent models through acute and subchronic oral toxicity tests, genotoxicity assays, and biogenic amine analysis. No signs of toxicity were observed in either the acute (20 g/kg body weight, BW) or subchronic (3 g/kg BW) toxicity tests. Genotoxicity evaluations indicated no mutagenic activity in the Ames test (≤5000 µg/plate) and no chromosomal or micronuclear abnormalities in the spermatocyte or the peripheral blood assays (≤10 g/kg BW). Biogenic amines were undetectable in the postbiotic powder, further reinforcing its safety. The postbiotic powder showed significant direct antimicrobial activity. Additionally, it enhanced the inhibitory effects of probiotics against key upper gastrointestinal pathobionts including Streptococcus mutans, Porphyromonas gingivalis, Fusobacterium nucleatum subsp. polymorphum, and Actinobacillus actinomycetemcomitans, Helicobacter pylori. Moreover, the postbiotic powder demonstrated gastroprotective effects by promoting recovery in a hydrogen peroxide-induced gastric injury model. Based on these findings, the postbiotic powder is safe, non-toxic, and suitable for oral consumption at the tested doses, with promising antimicrobial and gastroprotective potential. Future research should explore its potential applications in health promotion and food safety.
            Full article
        
    
        
        
                    (This article belongs to the  Section Probiotic Strains and Fermentation)
            
        
        
►▼
             Show Figures
         
Figure 1
Open AccessArticle
    
    Coupling Granular Activated Carbon with Waste Iron Scraps Enhances Anaerobic Digestion of PBAT Wastewater: Performance Improvement and Mechanistic Insights
                        
            by
                    Chunhua He, Jingjing Wen, Zhiqiang Huang, Qilong Jin, Ziyao Li, Hua Zhang, Houyun Yang, Jian Huang, Wei Wang and Hao Hu        
    
                
        
        Fermentation 2025, 11(11), 614; https://doi.org/10.3390/fermentation11110614 - 28 Oct 2025
    
                            
    
                    
        
                    Abstract 
            
            
                        
    
            Poly(butylene adipate-co-terephthalate) (PBAT) wastewater, characterized by high chemical oxygen demand (COD) and acidity, poses significant challenges to anaerobic digestion (AD) due to toxicity and volatile fatty acids (VFAs) accumulation. This study coupled granular activated carbon (GAC) and waste iron scraps (WISs) to synergistically
             [...] Read more.
        
        
            Poly(butylene adipate-co-terephthalate) (PBAT) wastewater, characterized by high chemical oxygen demand (COD) and acidity, poses significant challenges to anaerobic digestion (AD) due to toxicity and volatile fatty acids (VFAs) accumulation. This study coupled granular activated carbon (GAC) and waste iron scraps (WISs) to synergistically enhance AD performance. Batch experiments demonstrated that, compared with the control, the GAC/WISs group achieved a COD removal efficiency of 53.18% and a methane production of 207.53 ± 5.80 mL/g COD, which were 5.48- and 12.14-fold increases, respectively, while reducing the accumulation of total VFAs by 98.48% (to 15.09 mg/L). Mechanistic analysis revealed that GAC adsorbed inhibitors and enriched methanogens, while WISs buffered pH and promoted direct interspecies electron transfer (DIET) through hydrogenotrophic methanogenesis. Metagenomic sequencing showed shifts in microbial communities, with enrichment of syntrophic bacteria (Syntrophobacter) and functional genes (pta, bcd, and pccA), indicating metabolic reprogramming. This study provided a theoretical foundation and engineering strategy for the anaerobic treatment of PBAT wastewater.
            Full article
        
    
        
        
                    (This article belongs to the  Special Issue Fermentation of Organic Waste for High-Value-Added Product Production—2nd Edition)
            
        
        
►▼
             Show Figures
         
Figure 1
Open AccessReview
    
    Emerging Technologies in Pretreatment and Hydrolysis for High-Solid-Loading Bioethanol Production from Lignocellulosic Biomass
                        
            by
                    Nida Arshad, Elizabeth Jayex Panakkal, Palani Bharathy Kalivarathan, Atthasit Tawai, Santi Chuetor, Wanwitoo Wanmolee, Suchata Kirdponpattara, Aiya Chantarasiri, Suchitra Rakesh, Athanasia Amanda Septevani, Ponnusami Venkatachalam and Malinee Sriariyanun        
    
                
        
        Fermentation 2025, 11(11), 613; https://doi.org/10.3390/fermentation11110613 - 28 Oct 2025
    
                            
    
                    
        
                    Abstract 
            
            
                        
    
            The global reliance on fossil fuels has caused severe environmental challenges, emphasizing the urgent need for sustainable and renewable energy sources. Bioethanol production from lignocellulosic biomass has emerged as a promising alternative due to its abundance, renewability, and carbon-neutral footprint. However, its economic
             [...] Read more.
        
        
            The global reliance on fossil fuels has caused severe environmental challenges, emphasizing the urgent need for sustainable and renewable energy sources. Bioethanol production from lignocellulosic biomass has emerged as a promising alternative due to its abundance, renewability, and carbon-neutral footprint. However, its economic feasibility remains a major obstacle owing to high production costs, particularly those associated with low ethanol titers and the energy-intensive distillation process costs for low titers. High-solid loading processes (≥15% w/w or w/v) have demonstrated potential to overcome these limitations by minimizing water and solvent consumption, enhancing sugar concentrations, increasing ethanol titers, and lowering downstream processing cost. Nevertheless, high-solid loading also introduces operational bottlenecks, such as elevated viscosity, poor mixing, and limited mass and heat transfer, which hinder enzymatic hydrolysis efficiency. This review critically examines emerging pretreatment and enzymatic hydrolysis strategies tailored for high-solid loading conditions. It also explores techniques that improve sugar yields and conversion efficiency while addressing key technical barriers, including enzyme engineering, process integration, and optimization. By evaluating these challenges and potential mitigation strategies, this review provides actionable insights to intensify lignocellulosic ethanol production and advance the development of scalable, cost-effective biorefinery platforms.
            Full article
        
    
        
        
                    (This article belongs to the  Special Issue Lignocellulosic Biomass in Biorefinery Processes)
            
        
        
►▼
             Show Figures
         
Figure 1
Open AccessArticle
    
    In Vitro Characterization of Veillonella atypica ATCC 17744 Regarding Its Functional Properties
                        
            by
                    Julia Cristina Fernandes, Fernanda Weber Bordini, Anuj Kumar Chandel and Ismael Maciel de Mancilha        
    
                
        
        Fermentation 2025, 11(11), 612; https://doi.org/10.3390/fermentation11110612 - 28 Oct 2025
    
                            
    
                    
        
                    Abstract 
            
            
                        
    
            The growing demand for functional foods has stimulated the search for novel microbial strains with probiotic potential, such as Veillonella atypica ATCC 17744, which has been emerging as a promising strain. Therefore, the present study aimed to perform an in vitro characterization of
             [...] Read more.
        
        
            The growing demand for functional foods has stimulated the search for novel microbial strains with probiotic potential, such as Veillonella atypica ATCC 17744, which has been emerging as a promising strain. Therefore, the present study aimed to perform an in vitro characterization of this strain, focusing on safety aspects and functional properties such as stress tolerance (pH, bile salts, and simulated gastrointestinal conditions), adhesion capacity (hydrophobicity, auto-aggregation, and biofilm formation), anti-pathogenic activity, antioxidant activity, antibiotic susceptibility, and enzymatic synthesis ability (gelatinase, lipase, catalase, and hemolytic activity). Stress tolerance assays revealed that this strain is sensitive to pH values below 4.00; however, no reduction in cell viability was observed at pH 3.00 in the presence of pepsin or 0.3% and 0.6% bile salts. Hydrophobicity testing showed moderate tolerance to toluene and low tolerance to xylene. Regarding biofilm synthesis, this strain formed a weak biofilm after 48 h of incubation. No anti-pathogenic activity was observed against Streptococcus aureus or Escherichia coli, and it exhibited low antioxidant activity in the DPPH assay. Regarding its safety properties, this strain was sensitive to all tested antibiotics and did not synthesize gelatinase, lipase, catalase, or exhibit β-hemolytic activity. Therefore, Veillonella atypica ATCC 17744 presents promising characteristics supporting its potential application in the development of functional food formulations, although further studies are required to ensure its safety for human consumption.
            Full article
        
    
        
        
                    (This article belongs to the  Special Issue Microbial Metabolism Focusing on Bioactive Molecules)
            
        
        
►▼
             Show Figures
         
Figure 1
Open AccessArticle
    
    Sustainable 2-Phenylethanol Production: Co-Cultivation of Yarrowia lipolytica Strains in Mixed Agro-Industrial By-Products
                        
            by
                    Sara Mitri, Nicolas Louka, Tristan Rossignol, Richard G. Maroun and Mohamed Koubaa        
    
                
        
        Fermentation 2025, 11(11), 611; https://doi.org/10.3390/fermentation11110611 - 28 Oct 2025
    
                            
    
                    
        
                    Abstract 
            
            
                        
    
            The bioproduction of 2-phenylethanol (2-PE), a high-value aromatic compound widely used in the fragrance, cosmetic, food and beverage, and pharmaceutical industries, through yeast fermentation offers a sustainable alternative to chemical synthesis and rose extraction. This study explores the fermentation of Yarrowia lipolytica strains
             [...] Read more.
        
        
            The bioproduction of 2-phenylethanol (2-PE), a high-value aromatic compound widely used in the fragrance, cosmetic, food and beverage, and pharmaceutical industries, through yeast fermentation offers a sustainable alternative to chemical synthesis and rose extraction. This study explores the fermentation of Yarrowia lipolytica strains using mixed agro-industrial by-products as substrates to produce 2-PE via de novo synthesis, without supplementation with the costly precursor L-phenylalanine. Y. lipolytica strains were genetically engineered to enhance flux through the shikimate pathway and enable the hydrolysis of a broader range of substrates. The culture media consisted solely of a mixture of agro-industrial by-products: sugar beet molasses (SBM), brewer’s spent grain (BSG) pressing extract, and chicory root (CR) pressing extract, serving as the primary carbon and nitrogen sources without the addition of nutrients, minerals, synthetic, complex ingredients, or costly additives. The co-culture approach enhanced substrate utilization, leading to an increase in 2-PE titers, reaching approximately 2.5 g/L 2-PE production after 240 h of fermentation. This study demonstrates the feasibility of integrating co-culture fermentation and agro-industrial waste valorization for sustainable 2-PE production, offering a scalable bioprocess for industrial applications.
            Full article
        
    
        
        
                    (This article belongs to the  Special Issue Yarrowia lipolytica: A Beneficial Yeast as a Biofactory for Biotechnological Applications: 3rd Edition)
            
        
        
►▼
             Show Figures
         
Figure 1
Open AccessReview
    
    Harnessing Bioelectrochemical and Anaerobic Systems for the Degradation of Bioplastics: Application Potential and Future Directions
                        
            by
                    Shuyao Wang, Abid Hussain, Xunchang Fei, Kaushik Venkiteshwaran and Vijaya Raghavan        
    
                
        
        Fermentation 2025, 11(11), 610; https://doi.org/10.3390/fermentation11110610 - 27 Oct 2025
    
                            
    
                    
        
                    Abstract 
            
            
                        
    
            As the environmental burden of traditional plastics continues to grow, bioplastics (BPs) have emerged as a promising alternative due to their renewable origins and potential for biodegradability. However, the most popular anaerobic systems (ASs)—anaerobic digestion (AD), acidogenic fermentation (AF), and enzyme hydrolysis (EH)—for
             [...] Read more.
        
        
            As the environmental burden of traditional plastics continues to grow, bioplastics (BPs) have emerged as a promising alternative due to their renewable origins and potential for biodegradability. However, the most popular anaerobic systems (ASs)—anaerobic digestion (AD), acidogenic fermentation (AF), and enzyme hydrolysis (EH)—for BPs degradation still face many challenges, e.g., low degradation efficiency, process instability, etc. As a sustainable clean energy technology, bioelectrochemical systems (BESs) have demonstrated strong potential in the treatment of complex organic waste when integrated with ASs. Nevertheless, research on the synergistic degradation of BPs using BES-ASs remains relatively limited. This review systematically summarizes commonly used anaerobic degradation methods for BPs, along with their advantages and limitations, and highlights the BES-AS as an innovative strategy to enhance BPs degradation efficiency. BESs can accelerate the decomposition of complex polymer structures through the activity of electroactive microorganisms, while also offering benefits such as energy recovery and real-time process monitoring. When coupled with anaerobic digestion, the BES-AS demonstrates significant synergistic effects, improving degradation efficiency and promoting the production of high-value-added products such as volatile fatty acids (VFAs) and biogas, thereby showing great application potential. This review outlines current research progress, identifies key knowledge gaps in mechanism elucidation, system design, source recovery, etc., and proposes future research directions. These include system optimization, microbial community engineering, development of advanced electrode materials, and omics-based mechanistic studies. Advancing multidisciplinary integration is expected to accelerate the practical application of BES-ASs in BP waste management and contribute to achieving the goals of sustainability, efficiency, and circular utilization.
            Full article
        
    
        
        
                    (This article belongs to the  Special Issue Application of Fermentation Technology in Biomass Utilization and Biofuels Production, 2nd Edition)
            
        
        
►▼
             Show Figures
         
Figure 1
Open AccessArticle
    
    Retention of Original Flavor Characteristics in Defluorinated Instant Qingzhuan Brick Tea Prepared Using Membrane Separation Technology
                        
            by
                    Run Huang, Ying-Ying Xie, Xin-Yu Liu, Huai-Hui Yi, Hao-Jie Xu, Liang Zhang, Hui-Mei Cai, Zheng-Quan Liu, Da-Xiang Li, Yun-Qiu Yang, Xiao-Chun Wan and Chuan-Yi Peng        
    
                
        
        Fermentation 2025, 11(11), 609; https://doi.org/10.3390/fermentation11110609 - 26 Oct 2025
    
                            
    
                    
        
                    Abstract 
            
            
                        
    
            Brick tea is a type of post-fermented food that involves microorganisms. Long-term consumption of brick tea exposes consumers to high fluoride levels, which can adversely affect their health. This study explored the feasibility of selective defluorination of Qingzhuan brick tea through membrane separation
             [...] Read more.
        
        
            Brick tea is a type of post-fermented food that involves microorganisms. Long-term consumption of brick tea exposes consumers to high fluoride levels, which can adversely affect their health. This study explored the feasibility of selective defluorination of Qingzhuan brick tea through membrane separation technology, and pilot production was conducted to produce defluorinated instant brick tea. The concentration of tea polyphenols increased by more than 10 times after nanofiltration, demonstrating the high selectivity of nanofiltration membranes toward fluoride. Defluorination trends were studied at different initial material concentrations (0.5–4%) and operating pressures (0.1–0.5 MPa) under cyclic defluorination. Defluorinated instant brick tea products were also industrially prepared using 300- (DF-300) and 1000-Da (DF-1000) membranes, followed by vacuum freeze-drying. The DF-1000 and DF-300 products exhibited a defluorination rate of 51.46% and 67.96%, respectively. The products have excellent characteristics in terms of color, aroma, and flavor quality, as well as solubility. Gas chromatography–mass spectrometry indicated that the volatile components in the defluorinated instant brick tea were slightly different from those in the original tea, but the key aroma and flavor characteristics of the defluorinated brick tea remained unchanged. Membrane separation provides technical support for the large-scale production of low-fluoride post-fermented tea.
            Full article
        
    
        
        
                    (This article belongs to the  Special Issue Nutrition and Health of Fermented Foods—4th Edition)
            
        
        
►▼
             Show Figures
         
Figure 1
Open AccessArticle
    
    Juglone and Other Biogenic Quinones Differentially Inhibit Cyanobacterial Growth and Could Be Used to Help Maintain Monospecificity of Microalgae Cultures
                        
            by
                    Giuseppe Forlani        
    
                
        
        Fermentation 2025, 11(11), 608; https://doi.org/10.3390/fermentation11110608 - 25 Oct 2025
    
                            
    
                    
        
                    Abstract 
            
            
                        
    
            Raceway ponds would allow the sustainable production of algal biomass because of their lower cost. However, for successful cultivation, the target organism needs to prevail despite unavoidable contamination by environmental strains. The development of efficient methods to control cyanobacterial proliferation is thus highly
             [...] Read more.
        
        
            Raceway ponds would allow the sustainable production of algal biomass because of their lower cost. However, for successful cultivation, the target organism needs to prevail despite unavoidable contamination by environmental strains. The development of efficient methods to control cyanobacterial proliferation is thus highly desirable. With the aim to identify new cyanobactericidal substances, a set of natural compounds was screened for the ability to inhibit the growth of a model cyanobacterial strain, Synechococcus elongatus PCC 6301. Three compounds, namely hydroquinone, juglone and plumbagin, were found to be active in the 10−6 to 10−4 M range. Activity was confirmed on a panel of 10 other cyanobacteria that showed different sensitivity, with concentrations causing 50% growth inhibition varying up to 2 orders of magnitude. Co-cultivation experiments showed that the growth of Microcystis aeruginosa PCC 7941 was almost completely suppressed at quinone concentrations at which that of Tolypothrix PCC 7601 was substantially unaffected. Juglone and plumbagin in the micromolar range also exerted toxic effects on eukaryotic microalgae, bacteria and yeast, whereas the growth of higher plants was affected only at higher concentrations. In the case of juglone, activity was lost with time after being dissolved, allowing water discharge/recycling. The results point at the aromatic 1.4-quinone/diol ring as a lead moiety for the development of chemicals to help maintaining monospecificity of microalgae cultures.
            Full article
        
    
        
        
                    (This article belongs to the  Special Issue Cyanobacteria and Eukaryotic Microalgae (2nd Edition))
            
        
        
►▼
             Show Figures
         
Figure 1
Open AccessArticle
    
    Enhanced Enzyme Production and Probiotic Viability in Oilseed Cakes Fermented with Bacillus subtilis for Piglet Nutrition
                        
            by
                    Mihaela Dumitru, Dan-Traian Râmbu, Georgeta Ciurescu, Gabriela Maria Cornescu and Tatiana Dumitra Panaite        
    
                
        
        Fermentation 2025, 11(11), 607; https://doi.org/10.3390/fermentation11110607 - 24 Oct 2025
    
                            
    
                    
        
                    Abstract 
            
            
                        
    
            The growing consumption of oilseed-pressed cakes (OSCs), a largely underutilized feedstock, plays a significant role in animal feed. The study evaluates the use of three OSCs—flax (FSC), pumpkin (PSC), and hemp (HSC)—as substrates for Bacillus subtilis ATCC 6051a (BS) in a solid-state fermentation
             [...] Read more.
        
        
            The growing consumption of oilseed-pressed cakes (OSCs), a largely underutilized feedstock, plays a significant role in animal feed. The study evaluates the use of three OSCs—flax (FSC), pumpkin (PSC), and hemp (HSC)—as substrates for Bacillus subtilis ATCC 6051a (BS) in a solid-state fermentation (SSF) to enhance enzyme production and probiotic viability. The SSF process was assessed to evaluate the microbial growth, sporulation efficiency, enzymatic activity (protease, cellulase, xylanase, and phytase), and in vitro digestibility of fermented substrates. The results indicate that bacterial growth and sporulation varied significantly among substrates (p < 0.05). FSC presents the highest spore resistance (86.52%), followed by PSC (82.87%) and HSC (81.29%). Notably, protease was highest in HSC (184.67 U/g), while FSC supported maximum cellulase activity. HSC exhibited superior xylanase (1.86 ± 0.043 U/g DW, p < 0.05) and phytase production, while pH analysis indicated a shift toward alkalinity in PSC and HSC due to proteolytic activity. FSC maintained the most stable bacterial population during digestion, suggesting its potential as a probiotic carrier. These findings highlight that fermentation of OSCs with BS improved their nutritional value and can be used as a sustainable solution in feeding programs for piglets.
            Full article
        
    
        
        
                    (This article belongs to the  Special Issue 10th Anniversary of Fermentation: Feature Papers in Section "Probiotic Strains and Fermentation")
            
        
        
►▼
             Show Figures
         
Figure 1
Open AccessArticle
    
    Biocontrol Potential of Selected Phyllospheric Yeasts Against Botrytis cinerea and Fusarium fujikuroi
                        
            by
                    Sibusisiwe Nobuhle Nkomonde, Heinrich Wilbur du Plessis, Prashant Bhagwat, Ayodeji Amobonye, Zukisani Gomomo, Maxwell Mewa-Ngongang, Justin Wallace Hoff and Santhosh Pillai        
    
                
        
        Fermentation 2025, 11(11), 606; https://doi.org/10.3390/fermentation11110606 - 23 Oct 2025
    
                            
    
                    
        
                    Abstract 
            
            
                        
    
            Ten phyllospheric yeast strains were studied for their potential as biocontrol agents against fruit spoilage mould. The efficacy of these yeasts against Botrytis cinerea and Fusarium fujikuroi was assessed using dual-culture, mouth-to-mouth, radial growth inhibition and post-harvest fruit assays. Additionally, their capacity for
             [...] Read more.
        
        
            Ten phyllospheric yeast strains were studied for their potential as biocontrol agents against fruit spoilage mould. The efficacy of these yeasts against Botrytis cinerea and Fusarium fujikuroi was assessed using dual-culture, mouth-to-mouth, radial growth inhibition and post-harvest fruit assays. Additionally, their capacity for producing hydrolytic enzymes was examined. Results from the ten yeasts revealed dual culture antagonism ranging from 41% to 63% against B. cinerea and 23% to 48% against F. fujikuroi, along with radial inhibition ranging from 70% to 100% and 47% to 100%, respectively. Additionally, in vitro inhibition through the production of volatile organic compounds (VOCs) varied from 2% to 46% against B. cinerea and 6% to 64% against F. fujikuroi. Overall, Aureobasidium melanogenum J7, Suhomyces pyralidae Y1117, Dekkera anomala V38, and Rhodotorula diarenensis J43 emerged as the best-performing biocontrol yeasts. Volatile organic compounds produced by the four yeasts were also identified and included in fruit bioassays using pears and tomatoes. Various VOCs, including 1-butanol, 3-methylbutanol, and butyric acid, were linked to the antagonistic properties of the selected yeasts. Lastly, the four chosen yeast strains significantly mitigated post-harvest spoilage caused by B. cinerea and F. fujikuroi in pear and tomato fruits, with D. anomala V38 exhibiting the greatest inhibitory activity. These findings underscore a potential sustainable and efficient approach to reducing mould-induced post-harvest spoilage while reducing reliance on synthetic fungicides.
            Full article
        
    
        
        
                    (This article belongs to the Collection Yeast Biotechnology)
            
        
        
►▼
             Show Figures
         
Figure 1
Open AccessArticle
    
    Enzymatic Hydroesterification of Soybean Oil Deodorizer Distillate: Sustainable Synthesis of Ethyl and Xylose Fatty Acid Esters
                        
            by
                    Ana Carolina Vieira, José Renato Guimarães, Ana Barbara Moulin Cansian, Maria Carolina Pereira Gonçalves, Roberto Fernandez-Lafuente, Angelica Marquettotti Salcedo Vieira and Paulo Waldir Tardioli        
    
                
        
        Fermentation 2025, 11(11), 605; https://doi.org/10.3390/fermentation11110605 - 22 Oct 2025
    
                            
    
                    
        
                    Abstract 
            
            
                        
    
            The enzymatic production of fatty acid ethyl esters (FAEEs) and xylose fatty acid esters (XFAEs) from soybean oil deodorizer distillate (SODD) was investigated using a hydroesterification strategy. SODD was enzymatically hydrolyzed, and the glycerol-free fraction was esterified with either xylose or ethanol. Free
             [...] Read more.
        
        
            The enzymatic production of fatty acid ethyl esters (FAEEs) and xylose fatty acid esters (XFAEs) from soybean oil deodorizer distillate (SODD) was investigated using a hydroesterification strategy. SODD was enzymatically hydrolyzed, and the glycerol-free fraction was esterified with either xylose or ethanol. Free lipase from Pseudomonas fluorescens (PFL) yielded 84 wt% of free fatty acids (FFAs) production (with approximately 15% FFAs remaining as glycerides) after 48 h, using a SODD-to-water mass ratio of 1:4 and an enzyme loading of 5 wt% (based on oil mass). In the synthesis of FAEEs, free Eversa Transform converted approximately 82% of the FFAs into FAEEs after 48 h, using an ethanol-to-FFA molar ratio of 3.64:1 and an enzyme loading of 8.36% (w/v). For the synthesis of XFAEs, commercially immobilized lipases from Thermomyces lanuginosus (TLL-T2-150) and Pseudomonas fluorescens (IMMAPF-T2-150) were employed. These commercial lipase preparations are available in their immobilized form on Immobead T2-150. TLL-T2-150 resulted in a lower degree of xylose ester formation (80.20%) compared to IMMAPF-T2-150 (89.20%) after 24 h, using an FFA-to-xylose molar ratio of 5 in ethyl-methyl-ketone (xylose concentration of 7 mmol L−1) and an enzyme loading of 0.5% (w/v). However, TLL-T2-150 consumed more FFAs, suggesting a higher degree of xylose esterification. The final reaction mixture containing XFAEs obtained with this biocatalyst exhibited suitable emulsifying properties. A Life Cycle Assessment (LCA) revealed that the enzymatic hydroesterification process offers a sustainable route for FAEEs and XFAEs production, with configurations using free PFL in hydrolysis and IMMAPF-T2-150 in esterification showing the lowest environmental impacts due to higher catalytic efficiency. The findings point to a clear environmental edge in using SODD for ester production, offering a cleaner alternative to standard methods and making better use of a renewable resource.
            Full article
        
    
        
        
                    (This article belongs to the  Special Issue Bioprocesses for Biomass Valorization in Biorefineries)
            
        
        
►▼
             Show Figures
         
Figure 1
Open AccessArticle
    
    Correlations Between Flavor Profile and Microbial Community Succession in Probiotic-Fermented Burdock Root
                        
            by
                    Chunzhi Xie, Heng Yuan, Shuxin Shi, Mengying Xu, Wenting Shi, Nannan Yu, Jinhui Hou and Yu Wang        
    
                
        
        Fermentation 2025, 11(11), 604; https://doi.org/10.3390/fermentation11110604 - 22 Oct 2025
    
                            
    
                    
        
                    Abstract 
            
            
                        
    
            Fresh burdock (Arctium lappa L.) roots were fermented with probiotic lactic acid bacteria, including Lactobacillus paracasei (L. paracasei), Lactobacillus plantarum (L. plantarum), and Lactobacillus casei (L.casei). The dynamic changes in volatile flavor compounds (VFCs) and microbial
             [...] Read more.
        
        
            Fresh burdock (Arctium lappa L.) roots were fermented with probiotic lactic acid bacteria, including Lactobacillus paracasei (L. paracasei), Lactobacillus plantarum (L. plantarum), and Lactobacillus casei (L.casei). The dynamic changes in volatile flavor compounds (VFCs) and microbial community succession were compared during fermentation. Subsequently, correlations between bacteria and characteristic VFCs were analyzed, and potential functions were predicted. The results show that the types of VFCs increased from 25 to 54, and the total content increased from 7.852 ± 1.025 to 48.325 ± 0.624 mg/kg after fermentation for 7 days. Notably, esters and alcohols increased significantly. A total of 42 VFCs were identified as contributors to the overall flavor profile of the fermented burdock root. Among these, ethyl caproate, acetaldehyde, isoamyl acetate, hexaldehyde, phenylacetaldehyde, linalool, and 3-methylbutanol were regarded as the primary characteristic VFCs. Microbial composition analysis revealed three dominant phyla, two dominant genera, and three dominant species. Among them, L. paracasei and L. plantarum were the dominant species during fermentation. L. paracasei was positively correlated with multiple characteristic VFCs and was considered the core functional species in terms of flavor formation. Notably, L. paracasei exhibited a very strong correlation with acetaldehyde (ρ = 0.99). PICRUST2 function prediction further revealed that carbohydrate metabolism and amino acid metabolism were the core pathways of microbial metabolism and important sources of flavor precursors. This study demonstrates that lactic acid bacteria fermentation could markedly improve the flavor quality of burdock roots. Moreover, the formation of VFCs was closely correlated with complex microbial metabolism during fermentation.
            Full article
        
    
        
        
                    (This article belongs to the  Special Issue Perspectives on Microbiota of Fermented Foods, 2nd Edition)
            
        
        
►▼
             Show Figures
         
Figure 1
Open AccessReview
    
    Multi-Dimensional Analysis of Key Points in the Biological Activity, Chemical Synthesis and Biotransformation of Urolithin A
                        
            by
                    Zhimei Sun, Lili Gao, Zhibo Ju and Lihua Zhang        
    
                
        
        Fermentation 2025, 11(11), 603; https://doi.org/10.3390/fermentation11110603 - 22 Oct 2025
    
                            
    
                    
        
                    Abstract 
            
            
                        
    
            Urolithin A (Uro-A) is a natural metabolite generated via the gut microbiota-mediated transformation of plant polyphenols. This review systematically summarizes the notable biological activities, preparation methods, metabolic characteristics, and prospects for product development and application of Uro-A. In the Conclusions and Perspectives section,
             [...] Read more.
        
        
            Urolithin A (Uro-A) is a natural metabolite generated via the gut microbiota-mediated transformation of plant polyphenols. This review systematically summarizes the notable biological activities, preparation methods, metabolic characteristics, and prospects for product development and application of Uro-A. In the Conclusions and Perspectives section, it not only analyzes the technical and economic feasibility related to Uro-A, but also focuses on the critical analysis of its clinical research limitations, safety controversies, and industrial large-scale production challenges. Finally, specific suggestions and prospects are put forward for the future research directions of Uro-A. In summary, this review systematically organizes the current research progress on Uro-A, clearly identifies future development directions, and provides strong support for in-depth research in this field.
            Full article
        
    
        
        
                    (This article belongs to the  Special Issue New Research on Strains Improvement and Microbial Biosynthesis, 2nd Edition)
            
        
        
►▼
             Show Figures
         
Figure 1
Open AccessArticle
    
    Optimization of Tiliacora triandra Leaf Extraction and Probiotic Fermentation for Developing a Functional Freeze-Dried Feed Supplements
                        
            by
                    Manatsanun Nopparatmaitree, Tossaporn Incharoen, Watcharapong Mitsuwan, Atichat Thongnum, Juan J. Loor and Noraphat Hwanhlem        
    
                
        
        Fermentation 2025, 11(10), 602; https://doi.org/10.3390/fermentation11100602 - 21 Oct 2025
    
                            
    
                    
        
                    Abstract 
            
            
                        
    
            Tiliacora triandra (Yanang) leaf contains polyphenols, flavonoids, and mucilage polysaccharides with antioxidant and prebiotic functions, making it a promising substrate for probiotic fermentation. This study aimed to optimize Yanang extraction and sterilization to preserve bioactive mucilage and support probiotic survivability during freeze-drying–based encapsulation,
             [...] Read more.
        
        
            Tiliacora triandra (Yanang) leaf contains polyphenols, flavonoids, and mucilage polysaccharides with antioxidant and prebiotic functions, making it a promising substrate for probiotic fermentation. This study aimed to optimize Yanang extraction and sterilization to preserve bioactive mucilage and support probiotic survivability during freeze-drying–based encapsulation, and evaluate antimicrobial activity against poultry pathogens. Yanang extract was prepared under different leaf processing conditions and used as a substrate for Pediococcus acidilactici V202, Lactiplantibacillus plantarum TISTR 926, Streptococcus thermophilus TISTR 894, Bacillus subtilis RP4-18, and Bacillus licheniformis 46-2. Fermentation at 37 °C for 24 h revealed that lactic acid bacteria (P. acidilactici V202, L. plantarum TISTR 926, S. thermophilus TISTR 894) reduced pH (<4.10, p < 0.001) while maintaining high viable counts (>8.67 log CFU/mL, p < 0.01), whereas Bacillus strains (B. subtilis RP4-18, B. licheniformis 46-2) retained a higher pH (>5.00) and lower viability (<8.50 log CFU/mL). Total soluble solids decreased across treatments, with the lowest observed for B. subtilis RP4-18 (1.97 °Brix, p = 0.007). Freeze-dried probiotics encapsulated in enzyme-extracted rice bran carriers had comparable physicochemical properties (p > 0.05), while compared with Bacillus strains (p < 0.01), lactic acid bacteria had superior tolerance to simulated gastrointestinal and thermal stress. Supernatant from Yanang extract inhibited B. cereus WU22001, S. aureus ATCC25923, Escherichia coli ATCC25922, and Salmonella typhimurium WU241001 (MIC/MBC 25–50% v/v). These results indicate that Yanang extract supports effective probiotic fermentation, and rice bran encapsulation enhances survivability and antimicrobial functionality for potential functional feed applications.
            Full article
        
    
        
        
                    (This article belongs to the  Special Issue Fermentation Technology for Animals in Thailand: From Feed to Metabolites)
            
        
        
►▼
             Show Figures
         
Figure 1
Open AccessArticle
    
    Novel Nonlinear Control in a Chaotic Continuous Flow Enzymatic–Fermentative Bioreactor
                        
            by
                    Juan Luis Mata-Machuca, Pablo Antonio López-Pérez and Ricardo Aguilar-López        
    
                
        
        Fermentation 2025, 11(10), 601; https://doi.org/10.3390/fermentation11100601 - 21 Oct 2025
    
                            
    
                    
        
                    Abstract 
            
            
                        
    
            Fermentative processes are considered one of the most important technological developments in the modern transforming industry, due to this, the applied research to reach high performance standards with a crucial focus on system intensification, which is the the analysis, optimization, and control issues,
             [...] Read more.
        
        
            Fermentative processes are considered one of the most important technological developments in the modern transforming industry, due to this, the applied research to reach high performance standards with a crucial focus on system intensification, which is the the analysis, optimization, and control issues, are a cornerstone. The goal of this proposal is to show a novel nonlinear feedback control structure to assure a stable closed-loop operation in a continuous flow enzymatic–fermentative bioreactor with chaotic dynamic behavior. The proposed structure contains an adaptive-type gain, which, coupled with a proportional term of the named control error, can lead the feedback control trajectories of the bioreactor to the required reference point or trajectory. The Lyapunov method is used to present the stability analysis of the system within a closed loop, where an adequate choice of the controller gains assures asymptotic stability. Moreover, analyzing the dynamic equation of the control error, under some properties of boundedness of the system, shows that the control error can be diminished to close to zero. Numerical experiments are carried out, where a well-tuned standard proportional–integral (PI) controller is also implemented for comparison purposes, the satisfactory performance of the proposed control scheme is observed, including the diminishing offsets, overshoots, and settling times in comparison with the PI controller.
            Full article
        
    
        
        
                    (This article belongs to the  Special Issue Fermentation Processes: Modeling, Optimization and Control: 3rd Edition)
            
        
        
►▼
             Show Figures
         
Figure 1
 
            
            
            Journal Menu
► ▼ Journal Menu- 
                        - Fermentation Home
- Aims & Scope
- Editorial Board
- Topical Advisory Panel
- Instructions for Authors
- Special Issues
- Topics
- Sections & Collections
- Article Processing Charge
- Indexing & Archiving
- Editor’s Choice Articles
- Most Cited & Viewed
- Journal Statistics
- Journal History
- Journal Awards
- Conferences
- Editorial Office
- 10th Anniversary
 
Journal Browser
► ▼ Journal BrowserHighly Accessed Articles
Latest Books
E-Mail Alert
News
Topics
            Topic in 
            Biomass, Microorganisms, Sustainability, Water, Fermentation, Energies, Materials, Applied Biosciences
        Recovery and Use of Bioactive Materials and Biomass
    Topic Editors: Xiang Li, Tianfeng Wang, Xianbao XuDeadline: 25 November 2025
            Topic in 
            Applied Microbiology, Fermentation, Foods, Microbiology Research, Microorganisms
        Fermented Food: Health and Benefit
    Topic Editors: Niel Van Wyk, Alice VilelaDeadline: 31 December 2025
            Topic in 
            Applied Biosciences, Applied Sciences, Fermentation, Marine Drugs, Microorganisms, Phycology
        Microalgae: Current Trends in Basic Research and Applications
    Topic Editors: Nhuan Nghiem, Tae Hyun KimDeadline: 31 March 2026
            Topic in 
            Applied Biosciences, Applied Microbiology, Fermentation, Marine Drugs, Microorganisms
        Microbial Cell Factories for Natural Products
    Topic Editors: Carlos Barreiro, Ana Ibáñez, José L. BarredoDeadline: 31 May 2026
 
                    Conferences
Special Issues
                            Special Issue in 
                    Fermentation
        Applications of Lactic Acid Bacteria in Fermented Foods and Beverages: Second Edition
    Guest Editor: Alessandra PinoDeadline: 31 October 2025
                            Special Issue in 
                    Fermentation
        Cyanobacteria and Eukaryotic Microalgae (2nd Edition)
    Guest Editors: Hristo Najdenski, Yana E. IlievaDeadline: 31 October 2025
                            Special Issue in 
                    Fermentation
        Ruminal Fermentation: 2nd Edition
    Guest Editor: Cláudia Braga Pereira BentoDeadline: 31 October 2025
                            Special Issue in 
                    Fermentation
        Biotechnological and Functional/Probiotic Characteristics of Non-Conventional Yeasts in Fermented Beverages
    Guest Editors: Maurizio Ciani, Laura Canonico, Vanesa PostigoDeadline: 31 October 2025
Topical Collections
                            Topical Collection in 
                    Fermentation
        Bioconversion of Lignocellulosic Materials to Value-Added Products
    Collection Editors: Alexander Rapoport, Pietro Buzzini



