Abstract
Microalgal biomass is an excellent platform for producing food, feed, nutraceuticals, pharmaceuticals, and biofuels. This study aimed to investigate the effect of the trophic mode of cultivation (phototrophic, heterotrophic, and mixotrophic) on the growth and biomass composition of Chlorella vulgaris S2. The contents of lipids and carbohydrates, as well as the fatty acid composition of total lipids, were studied. The effects of the carbon-to-nitrogen ratio (C:N) and the organic carbon concentration of the growth media under mixotrophic and heterotrophic conditions were also investigated. The C:N ratio of 30 mol mol−1 favoured lipid synthesis, and the C:N ratio of 10 mol mol−1 favoured carbohydrate synthesis. Maximal lipid and biomass productivities (2.238 and 0.458 g L−1 d−1, respectively) were obtained under mixotrophic conditions at the C:N ratio of 50 mol mol−1 and glucose concentration of 50 g L−1. Fed-batch cultivation conducted in a stirrer tank bioreactor under heterotrophic growth conditions increased biomass (2.385 g L−1 d−1, respectively) and lipid (0.339 L−1 d−1) productivities ~50 and ~60 times compared to the fed-batch phototrophic cultivation, respectively. The trophic mode, growth phase, and growth medium composition significantly influenced the fatty acid composition. Under mixotrophic and heterotrophic growth conditions, lipid accumulation is associated with an increase in oleic acid (C18:1) content. Mixotrophically grown biomass of Chlorella vulgaris S2 under optimised conditions is a suitable source of lipids for biodiesel production.
1. Introduction
Microalgae are photosynthetic organisms belonging to diverse and polyphyletic groups of unicellular eukaryotes. They are present in diverse environments, from marine and freshwater to extreme environments, such as desert sands, hot springs, snow, ice, and higher saline lakes, owing to their ability to adapt physiological mechanisms to grow, reproduce, and maintain metabolic activity [1,2,3].
Microalgae are renewable and sustainable sources of lipids, proteins, carbohydrates, and diverse bioactive components, such as pigments (chlorophylls, carotenes, and phycobiliproteins), vitamins (A, B1, B2, B6, B12, C, and E), omega-3 and 6 long-chain polyunsaturated fatty acids, sterols, and phenolic compounds and flavonoids [4,5]. Microalgal biomass is used as a food supplement, for food colouring, and as a source of nutrients with multiple health benefits. Diverse novel compounds showing antioxidant, anticarcinogenic, anti-inflammatory, antiviral, and antimicrobial properties isolated from microalgal biomass have been intensively studied as potential drugs and anti-ageing substances, with applications in the pharmaceutical and cosmetic industry. Lipids derived from microalgal biomass are considered as a substitute for fish oil for several reasons. They contain essential long-chain polyunsaturated fatty acids, their production is sustainable and conducted under controlled conditions, ensuring the high quality of the product free from toxic substances (heavy metals), and they are appropriate for vegans [6]. Neutral lipids (triacylglycerols), which microalgae accumulate under specific growth conditions, can be used as a sustainable feedstock for biodiesel production. The primary carbon sink in green microalgae (Chlorophyta), starch, can also be used as feedstock to produce biofuels and bio-based chemicals [7].
Generally, all microalgae are photoautotrophs, although some microalgal species may also rely on organic carbon as a source of energy and carbon for growth. Heterotrophic microalgae use organic carbon as a source of energy and carbon (e.g., glucose, glycerol, and acetate), while mixotrophic microalgae use light and organic carbon as the energy sources and CO2 and organic carbon as the carbon sources. Photoheterotrophs require light as a source of energy and organic carbon to build up cell biomass. Compared to phototrophic cultivation, growth on organic carbon provides higher specific growth rates, biomass, product yields, and productivity. Mixotrophic growth combines the advantages of heterotrophic and phototrophic growth, increasing productivity due to the heterotrophic metabolism and CO2 sequestration during photosynthesis, resulting, most often, in a higher biomass yield compared to other tropic modes of cultivation [8,9]. Very often, biomass and lipid yield obtained under mixotrophic growth conditions exceeds the sum of that obtained under heterotrophic and phototrophic growth conditions, indicating favourable effects of mixotrophic cultivation on microalgal growth [9].
Microalgae have minimal nutritional demand for their growth, requiring light as a source of energy, water, and inorganic nutrients, including inorganic carbon (e.g., CO2 and bicarbonate) and minerals. Despite the great potential, the major constraints in the large-scale exploitation of microalgal biomass are the high costs of biomass cultivation and product isolation (downstream processing). Phototrophic cultivation suffers from several issues, including low biomass productivity, risk of contamination, management of CO2, technical barriers in constructing photobioreactors, and high construction costs. Cultivation of microalgae using organic carbon under heterotrophic or mixotrophic conditions enhances the yield and productivity of biomass [9]. However, growth on organic carbon is limited to a few microalgae strains belonging to the major classes, including Chlorophyceae (green microalgae; Chlorella vulgaris, Chlorella zofigiensis, Chlamydomons sp., Dunaliella salina, Nannochloropsis gaditana, and Botryococcus braunii), Bacillariophyceae (including diatoms; Phaeodactylum tricornutum, Skeletonema costatum, Navicula saprophila, and Nitzschia sp.), and Porphyridiophyceae (red microalgae; Porphyridium purpureum) [10,11,12].
Along with a few other microalgae, Chlorella vulgaris has been designated as Generally Recognised as Safe (GRAS) by the Food and Drug Administration (FDA). Since the 1960s, it has been commercially produced and used as a food and feed supplement, a nutraceutical and functional food. Proteins are the most abundant macromolecule in biomass of this microalga, with 50–70% (w w−1) in dry biomass, followed by lipids (14–22%, w w−1) and carbohydrates (12–17%, w w−1) [4,5,13]. The composition of biomass depends on the trophic mode (photoautotrophic, mixotrophic, and heterotrophic), stress conditions (nitrogen limitation, light intensity and wavelength, and pH), growth media composition, and cultivation mode (batch, semi-batch, and continuous) [13,14,15]. Chlorella vulgaris is a versatile microorganism capable of growth under phototrophic as well as mixotrophic and heterotrophic conditions using diverse substrates, including monosaccharides (glucose and galactose), disaccharides (lactose, sucrose, and maltose), and various low-cost substrates [1,16]. Crude glycerol is the main by-product of lipid transesterification in biodiesel production, representing approximately 10% of total biodiesel [17]. The increase in biodiesel production dropped its price to less than 100 US dollars (USD) per tonne [18]. VFAs include short-chain fatty acids of 2–6 carbon atoms, mainly acetic, propionic, butyric, caproic, and valeric acids, and they can be produced by anaerobic digestion of organic matter [19]. Lignocellulosic biomass, such as industrial energy crops, agricultural and forestry residues, and carbon-based municipal solid residues, is a source of hexoses, mainly glucose, and pentoses (xylose and arabinose), which could be obtained by chemical or biochemical hydrolysis [20,21]. Different Chlorella strains were successfully cultivated on growth media containing VFAs [22,23], glycerol [16], cheese whey, lignocellulose hydrolysate (e.g., sweet sorghum bagasse hydrolysate) [24], and landfill leachate [25].
In this study, the growth of Chlorella vulgaris S2 on monosaccharides and disaccharides (glucose, galactose, xylose, arabinose, sucrose, and maltose), acetic acid, glycerol, and complex growth media (molasses) was evaluated under mixotrophic and heterotrophic conditions. Furthermore, the effect of different trophic modes of cultivation on biomass growth and lipid and carbohydrate synthesis was also investigated. Under heterotrophic and mixotrophic conditions, the effect of different C:N ratios on biomass and lipid yield was also studied.
2. Materials and Methods
2.1. Microalga Isolation and Identification
The strain Chlorella vulgaris S2 was obtained from the Culture Collection of the Laboratory for Biochemical Engineering, Industrial Microbiology and Malting and Brewing Technology of the Faculty of Food Technology and Biotechnology, University of Zagreb, Croatia [26]. The microalga was isolated from the river Gacka near Otočac, Croatia (latitude 44°51′59.99′′ N; longitude 15°13′60.00′′ E). The microorganism was identified by genetic barcoding analysis. First, genomic DNA was isolated using the NucleoSpin Tissue Kit (Macherey Nalgel; Hoerdt, Cedex, France). The 18S rRNA gene was amplified by PCR from the genomic DNA. The PCR program was as follows: 5 min at 95 °C, 30 s at 94 °C, 30 s at 56 °C, 1 min at 72 °C, and 10 min at 72 °C for 35 cycles, and then cooled at 4 °C. The following PCR primers were used for amplification of 18S rRNA: SA (5′-AACCTGGTT-GATCCTGCCAGT-3′), SB (5′-TGATCCTTCTGCAGGTTCACCTAC-3′), 63F (5′-ATG-CTT-GTC-TCA-AAGATTA-3′), 1818R (5′-ACGGAAACCTTGTTACGA-3′), S69 (5′-ACCAGACTGCCCTCC-3′), and S30 (5′-CGCGGTAATTGGAGCTCCA-3′) [26,27]. Amplified DNA fragments were sequenced and used to identify the microalgal strain through the NCBI BLAST. The results are presented in the Supplementary Materials (Figures S1 and S2).
The culture was maintained on Bold’s Basal agar slants [28] supplemented with vitamin solution. Bold’s Basal Medium contained 2.94 × 10−3 M NaNO3·7·H2O (Kemika; Zagreb, Croatia), 3.04 × 10−4 M MgSO4 (Kemika; Zagreb, Croatia), 4.28 × 10−4 M NaCl (Sigma Aldrich; St. Louis, MO, USA), 4.31 × 10−4 M K2HPO4 (Kemika; Zagreb, Croatia), 1.29 × 10−3 M KH2PO4 (Kemika; Zagreb, Croatia), 1.70 × 10−4 M CaCl2·2 H2O (Sigma Aldrich; St. Louis, MO, USA), 3.07 × 10−5 M ZnSO4·7 H2O (Kemika; Zagreb, Croatia), 7.28 × 10−6 M MnCl2·4 H2O (Kemika; Zagreb, Croatia), 4.93 × 10−6 M MoO3 (Kemika; Zagreb, Croatia), 6.29 × 10−6 M CuSO4·5 H2O (Kemika; Zagreb, Croatia), 1.68 × 10−6 M Co(NO3)2·6H2O (Kemika; Zagreb, Croatia), 1.85 × 10−4 M H3BO3 (Sigma Aldrich; St. Louis, MO, USA), 1.71 × 10−4 M Na2EDTA·2 H2O (Titriplex III) (Sigma Aldrich; St. Louis, MO, USA), 5.53 × 10−4 M KOH (Kemika; Zagreb, Croatia), and 1.79 × 10−5 M FeSO4·7 H2O (Sigma Aldrich; St. Louis, MO, USA. The pH was adjusted to 6.4–6.6 using concentrated H2SO4 (Kemika; Zagreb, Croatia). After sterilisation of BBM, half of the millilitre of filter-sterilised vitamin solution containing 2.96∙10−7 M thiamine (Acros Organics; Geel, Belgium), 2.05 × 10−9 M biotin (Sigma Aldrich; St. Louis, MO, USA), and 3.69 × 10−10 M cyanocobalamin (Sigma Aldrich; St. Louis, MO, USA) was added per litre of growth medium [29,30]. The culture was grown under warm white light and a light-to-dark photoperiod of 12:12 h h−1 for seven days.
2.2. Inoculum Cultivation
The cultivation procedure and growth medium composition of Chlorella vulgaris S2 inoculum depended on the cultivation mode. In the first experiment, we investigated the ability of Chlorella vulgaris S2 to assimilate different carbon sources and, afterwards, the effect of selected carbon source concentrations on biomass yield. Inoculum was cultivated in BBM phototrophically. Fifty mL of sterile BBM was inoculated with Chlorella vulgaris S2 grown on BBM agar slants and cultivated on a rotary shaker at 200 rpm and 28 °C for seven days. The culture was incubated under warm white light and a light-to-dark photoperiod of 12:12 h h−1. Likewise, the inoculum for fed-batch phototrophic cultivation in a bioreactor was cultivated. The inoculum was prepared by a gradual increase in the culture volume. First, 50 mL of BBM was inoculated with microalgae grown on agar slants and cultivated under previously described conditions. Next, 200 mL of BBM was inoculated with a 20 mL grown microalgal culture. The inoculum for cultivations under mixotrophic and heterotrophic conditions was grown under warm white light (mixotrophically). BBM was supplemented with 20 g L−1 of glucose and 2 g L−1 of yeast extract. The culture was cultivated under the same conditions as the phototrophically grown inoculum.
2.3. Growth of Chlorella Vulgaris S2 on Different Organic Carbon Sources
Microalga Chlorella vulgaris S2 was cultivated in 96-well microplates under mixotrophic and heterotrophic conditions. Each well contained 180 μL of sterile BBM supplemented with 5 g L−1 of a carbon source, including glucose, fructose, sucrose, sugar beet molasses (50% w w−1 sucrose), glycerol, xylose, maltose, arabinose, galactose, lactose, cellobiose, and acetic acid. The control culture did not contain a carbon source. For optimal growth, BBM was modified by the addition of a vitamin solution (0.5 mL L−1 per BBM). The vitamin solution contained thiamine 2.96 × 10−7 M, biotin 2.05 × 10−9 M, and cyanocobalamin 3.69 × 10−10 M. The initial pH of the growth medium was 6.6. The growth medium was inoculated with 20 μL of inoculum (10%, vol vol−1). Microalga was cultivated on a microplate shaker at 150 rpm and 23 °C for three days. The culture was grown under warm white light and a light-to-dark photoperiod of 12:12 h h−1 (mixotrophic growth). Culture growth was determined by measurement of optical density at 540 nm.
2.4. Effect of Concentration of Carbon Source on Biomass Yield
The effect of glucose, galactose, and acetic acid concentrations on the growth of Chlorella vulgaris S2 was studied using the same cultivation method, growth medium, and cultivation conditions as in the previous experiment. The carbon source was added to BBM at the following concentrations: 10, 35, 50, and 70 g L−1. Half of the millilitre of sterilised vitamin solution (thiamine 2.96 × 10−7 M, biotin 2.05 × 10−9 M, and cyanocobalamin 3.69 × 10−10 M) was added per litre of BBM before inoculation.
2.5. Phototrophic Cultivation
Phototrophic fed-batch cultivation of Chlorella vulgaris S2 was conducted in a 2 L glass-stirred tank bioreactor agitated by two Rushton turbines (Biostat MD, B. Braun, Germany). Two hundred millilitres of inoculum were added to 1.7 L of sterile BBM. Half a millilitre of the sterilised vitamin solution (thiamine 2.96 × 10−7 M, biotin 2.05 × 10−9 M, and cyanocobalamin 3.69 × 10−10 M) was added per litre of BBM before inoculation. The pH was maintained at 7 by adding 0.5 M H2SO4 and 0.5 M NaOH. The temperature was 25 °C, the stirrer speed was 400 rpm, and the aeration rate was 0.5 L min−1. Biomass (cell number concentration and optical density) and nitrogen concentrations were regularly analysed during cultivation. Due to the low biomass concentration, additional analyses of cell biomass (lipid, protein, and carbohydrate contents) were performed only on the 8th, 15th, 22nd, and 26th days of cultivation when 250 mL of culture was withdrawn from the bioreactor. After withdrawing the sample, the culture was fed with concentrated BBM on the 8th and 15th days of cultivation. The concentration of nutrients in culture broth after dissolving the concentrated BBM was equal to that in the original BBM. The volume of the culture was corrected to the initial volume by adding sterile water. On the 22nd day, after withdrawing 250 mL of culture broth, the same volume of sterile water was added to the bioreactor.
2.6. Effect of C:N Ratio on Growth and Lipid Content
The effect of C:N molar ratios on growth kinetics and biomass composition was studied under mixotrophic and heterotrophic conditions. Microalga was cultivated in BBM with 30 g L−1 of glucose and 2 g L−1 of yeast extract (containing 7% w w−1 of nitrogen). The initial C:N ratio of 10 and 30 mol mol−1 was obtained by adjusting the initial nitrate concentration considering the nitrogen in the yeast extract. During the cultivation, the optical density of the culture was measured at 540 nm. Glucose concentration was determined using the UPLC method. The lipid and dry cell weight concentrations were determined at the end of the cultivation.
In order to further enhance lipid accumulation under mixotrophic conditions, experiments were performed at the C:N ratios of 30, 50, and 75 mol mol−1 and glucose concentrations of 30 and 50 g L−1. Cultivation conditions and analysis methods were the same as in the previous experiment.
2.7. Heterotrophic Fed-Batch Cultivation
Cultivation was conducted in a glass stirred tank bioreactor, previously used for phototrophic cultivation (Section 2.5). The bioreactor was covered with aluminium foil to prevent the culture from being exposed to light. Cultivation was performed in BBM with the doubled concentration of inorganic compounds, 30 g L−1 of glucose, and 4 g L−1 of yeast extract. The initial C:N ratio of 10 mol mol−1 was adjusted by adding sodium nitrate. The content of nitrogen added by the yeast extract was considered when calculating the nitrate concentration. The pH was maintained at 6.6 by adding 1 M H2SO4 and 1 M NaOH. Temperature was 25 °C, and the dissolved oxygen tension (pO2) was set at 30% of air saturation by adjusting the stirrer speed from 150 to 180 rpm and the aeration rate between 2 and 3 L min−1. One and a half litres of sterile BBM was inoculated with 200 mL of mixotrophically grown culture, which contained 2.7 × 108 cells per mL. The culture was analysed daily for the biomass concentration (dry biomass concentration, cell number concentration, and optical density) and carbon source concentration by ultraperformance liquid chromatography. Biomass was also analysed for the lipid and carbohydrate contents. The culture was first fed on the 7th day of cultivation with a total of 180 mL of concentrated solutions of glucose, yeast extract sodium nitrate, and inorganic compounds (BBM). The concentrations of nutrients in the culture broth after dissolving the concentrated solutions were equal to those in the growth medium at the beginning of cultivation. The second feeding with only 100 mL of concentrated glucose solution was on the 8th day of cultivation. The following feeding solutions were used: concentrated glucose (700 g L−1), sodium nitrate (340 g L−1), yeast extract (130 g L−1), and concentrated inorganic compound constituents of BBM (concentrated between 20 and 200 times, depending on the salt solubility in water).
2.8. Analytical Methods
2.8.1. Determination of Monosaccharide Concentration by Ultra-Performance Liquid Chromatography (UPLC)
Monosaccharide concentrations were determined using an ultra-performance liquid chromatograph (Agilent. 1290 Infinity II; Santa Clara, CA, USA) equipped with a refractive index detector (Agilent, Infinity II 1260; Santa Clara, CA, USA) and an ion-exclusion HPLC column Rezex ROA, Organic Acid H+ (8%) (Phenomenex, Torrance, CA, USA), according to Grubišić et al. [31].
2.8.2. Determination of Nitrate Concentration
The concentration of nitrogen in culture supernatants was determined using the Spectroquant® Merck Nitrate Test kit (Ca. No. 109713). Concentrations were calculated using a calibration line ranging from 1 to 25 mg N-NO3 L−1 of sodium nitrate.
2.8.3. Biomass Composition
Lyophilised microalgal biomass was analysed for lipids and carbohydrates. All analyses were carried out in triplicates.
Carbohydrate Content
The content of total carbohydrates in microalgal biomass was determined by two-step acid hydrolysis of biomass using the method developed by the National Renewable Energy Laboratory [32]. The concentration of monosaccharides in hydrolysates was quantified using ultra-performance liquid chromatography.
Protein Content
The total protein content in the cell biomass was determined using the Lowry method [33]. Dry cell biomass (1–1.3 mg) was resuspended in 1 mL of 1 M NaOH (Merck, Darmstadt, Germany) and incubated in a Thermo-shaker (BioSan TS-100; Riga, Latvia) for 20 min at 100 °C and 3000 rpm. The biomass hydrolysate was cooled down to room temperature, and total proteins were determined according to the Lowry method.
Lipid Content and Fatty Acid Composition
Total lipids in the cell biomass were determined according to the modified Schneiter and Daum protocol [34,35]. The fatty acid composition of cell biomass was determined according to the National Renewable Energy Laboratory protocol using gas chromatography (Shimadzu GC-2010 Plus Capillary Gas Chromatograph; Kyoto, Japan) equipped with a flame ionisation detector (FID) and a high-cyanopropyl capillary column (ZB-FAME; 30 m × 0.25 mm × 0.2 µm; Phenomenex, Torrance, CA, USA), according to the method developed by Grubišić et al. [34,36].
3. Results and Discussion
3.1. Utilisation of Different Carbon Sources and Effect of Carbon Concentration on Growth of Chlorella vulgaris S2
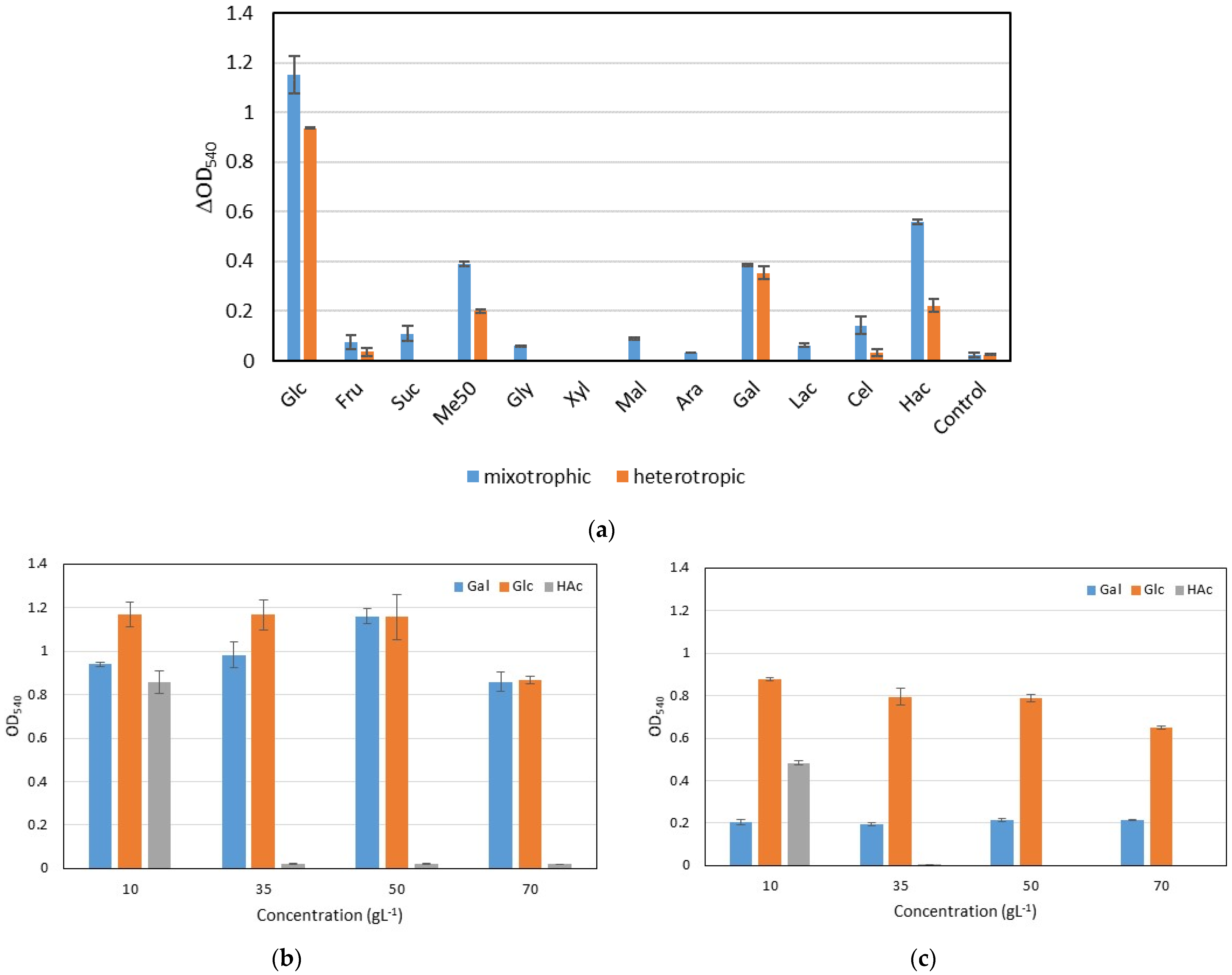
Several organic carbon sources, including glucose, fructose, molasses (sucrose), glycerol, xylose, maltose, arabinose, galactose, lactose, cellobiose, and acetic acid, were used for the cultivation of a novel strain of microalga Chlorella vulgaris S2 under heterotrophic and mixotrophic growth (Figure 1a). Microalga grew fast on glucose and moderately on molasses, galactose, and acetic acid under mixotrophic and heterotrophic growth conditions. Generally, for microalgae belonging to the genus Chlorella, monosaccharides are more effective carbon sources than disaccharides and polysaccharides, while glucose provides the highest growth compared to other monosaccharides [1]. Generally, higher optical densities were obtained under mixotrophic conditions compared to heterotrophic conditions. The intensive green colour of the culture grown under mixotrophic conditions indicated synthesis of chlorophylls and, to a weaker extent, in the absence of light (heterotrophic conditions), as observed for several Chlorella vulgaris strains [8,15,37]. However, the intensity of the green colour of the control culture (phototrophic culture) was significantly stronger compared to the mixotrophically grown culture, suggesting that photosynthesis was inhibited by the organic carbon source, which is already confirmed in Chlorella strains [16]. Weak growth or absence of growth was observed in a growth medium containing fructose, sucrose, glycerol, maltose, arabinose, lactose, and cellobiose under both trophic modes. Biomass yield on xylose under heterotrophic and mixotrophic conditions was lower than in the control culture (phototrophic growth), suggesting that cells could not transport the substrate into the cell. Similar results were reported by Kong et al., who cultivated Chlorella vulgaris 31 on a growth medium containing 2 and 10 g L−1 of xylose [16]. Without light, growth on xylose, sucrose, and glycerol was lower than in the control culture, indicating that the microalgae could not assimilate these carbon sources under heterotrophic conditions [16,38]. In several published studies, Chlorella strains were grown under heterotrophic and mixotrophic conditions at glucose concentrations below 2% (vol vol−1) due to cell growth inhibition. Compared to glucose, the biomass yield of Chlorella vulgaris S2 on glycerol was significantly lower in this study. Chlorella vulgaris strains isolated from freshwater generally tolerate glycerol up to 2% (vol vol−1) [37]. The weak growth of Chlorella vulgaris S2 in this study may be due to the cell’s susceptibility to the inhibition by glycerol. Most of the studies agree that the effectiveness of specific organic carbon in supporting the growth is species- and, in some cases, strain-specific [1,15]. The results of this study agree with this observation.
Figure 1.
Growth of Chlorella vulgaris S2 on different carbon sources under mixotrophic and heterotrophic growth conditions, (a) 5 g L−1 of carbon source in BBM: Glc—glucose, Fru—fructose, Suc—sucrose, Me50—molasses, Gly—glycerol, Xyl—xylose, Mal—maltose, Ara—arabinose, Gal—galactose, Lac—lactose, Cel—cellobiose, and Hac—acetic acid. Effect of glucose, galactose, and acetic acid concentrations (10, 35, 50, and 70 g L−1) on growth under mixotrophic (b) and heterotrophic (c) growth conditions. Growth is evaluated as the difference between the optical density after three days of cultivation and the initial value. The control culture was grown on BBM without an organic carbon source.
The effect of the carbon source concentration on the growth of the microalga was also investigated (Figure 1b,c). Three carbon sources, glucose, galactose, and acetic acid, which provided the highest biomass yield in the previous experiment, were used in further research. Diverse low-cost substrates can be used as carbon sources for the growth of microalgae and the synthesis of specific products instead of pure substances. Lignocellulosic biomass is the source of carbohydrates, including galactose and glucose, while alkaline residue from biodiesel production contains glycerol [17,20,21]. Although the molasses provided a similar biomass yield comparable to galactose and acetic acid, it was excluded from further research due to its price and limited regional availability. The highest biomass yields were obtained on glucose at a concentration range from 10 to 50 g L−1 under mixotrophic conditions. At the same substrate concentration range, maximal biomass yield was also observed under heterotrophic conditions, although biomass yield was approximately 30% lower compared to the mixotrophic conditions. At the highest concentration (70 g L−1), biomass yield decreased, probably due to the inhibition by the carbon source. Different studies on the growth of Chlorella vulgaris showed that the optimal glucose concentration for growth ranges between 15 and 70 g L−1, depending on the strain [24,37,39]. A similar growth effect of the carbon source concentration on growth under mixotrophic conditions was also observed during the growth on galactose. However, biomass yield during the growth on this carbon source under heterotrophic conditions was significantly lower in the whole concentration range. Zhang et al. reported a similar effect of glucose and galactose on the growth of Chlorella pyrenoidosa [40]. The transport of the glucose and galactose in the Chlorella genus is carried out by H+/hexose co-transporters (proteins HUP1, HUP2, and HUP3) displaying different affinities towards glucose and galactose, which could explain the lower biomass yield on galactose obtained in this study [24,41].
Moderate growth of Chlorella vulgaris S2 on acetate was observed only at the lowest concentration (10 g L−1) under both trophic conditions, probably due to substrate inhibition. Again, growth under light resulted in higher biomass concentrations. Acetate consumption under heterotrophic or mixotrophic conditions (5–30 g L−1) has been studied in several Chlorella strains [8,42]. Lacroux et al. found that Chlorella sorokiniana tolerates acetate concentrations up to 5 g L−1 and that tolerance towards acetate increases with the pH value. The carboxylic group of acetic acid exists in two forms, undissociated (-COOH) and dissociated (-COO−), depending on the pH of the environment. At acidic pH, the undissociated form dominates over the dissociated form due to the pKa value of the carboxylic group (4.76). Since the undissociated acetic acid is liposoluble, it can freely diffuse into the cells through the cell membrane (passive transport). Dissociated acetic acid, which prevails at pH above pKa, is actively transported via a monocarboxylate/proton transporter at the expense of metabolic energy, similar to other eukaryotes [43]. Once the acetate enters the cytoplasm, it is converted to acetyl-CoA and enters major metabolic pathways: glyoxylate and Krebs cycles. Several theories explaining the inhibition of microbial growth by acetate and other organic acids have been presented in the literature. When protonated acetic acid is transported into the cell, it dissociates due to intracellular pH. The cell maintains potential across the membrane by transporting excess protons from the cell. Energy expenditure (ATP hydrolysis) for cell maintenance negatively affects cell growth. According to another theory, a high intracellular acetate concentration is related to increased osmotic pressure and decreased growth due to increased energy consumption for cell maintenance [44,45]. Since the toxicity of acetate is related to its protonated form, conducting the cultivation at near-neutral pH and keeping the concentration of acetate at low levels would diminish its inhibitory effect [42]. The fed-batch strategy is suitable for cultivations on acetate since a constant low substrate concentration avoids adverse effects on cell growth and provides a high microalgae concentration.
3.2. Fed-Batch Phototrophic Cultivation
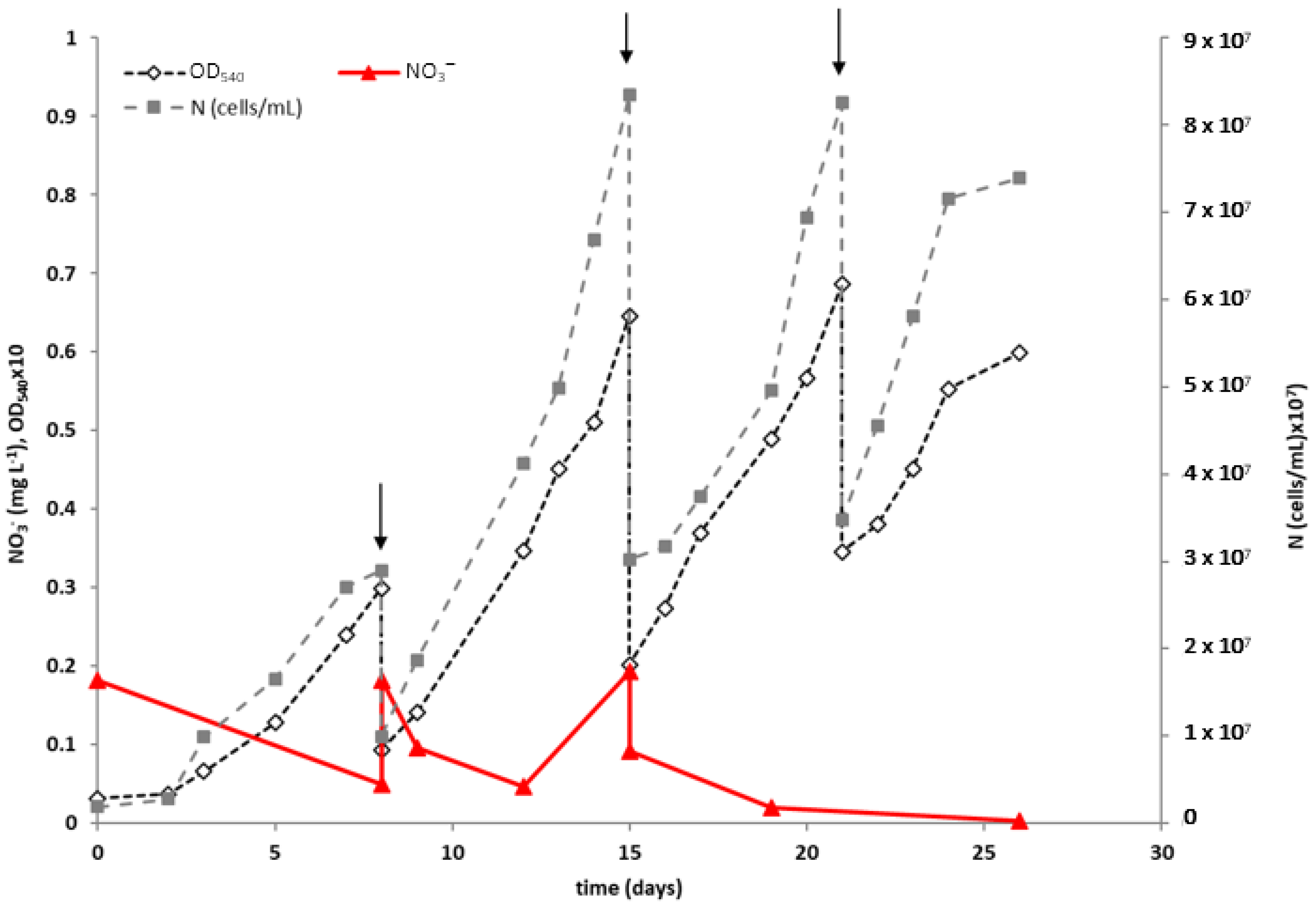
Oleaginous microorganisms, including microalgae, are valuable sources of lipids, proteins, carbohydrates, and various bioactive compounds, with potential applications in food and feed production, the pharmaceutical and chemical industry, and biofuel production. Microalgae belonging to the genus Chlorella have been intensively studied primarily for human nutrition and animal feed owing to their high growth rate, efficient accumulation of lipids, and production of valuable bioactive compounds. In order to improve biomass growth and productivity, we studied the effect of three trophic modes on the growth and composition of cell biomass of Chlorella vulgaris S2. Newly isolated microalga was first grown phototrophically in batch mode, followed by two additions of concentrated BBM on the 8th and 15th days of cultivation (Figure 2). Due to the low biomass concentration during the phototrophic cultivation of microalgae, a larger volume of culture broth was withdrawn from the bioreactor to conduct additional biomass analysis. Samples of culture broth were withdrawn before feeding the culture on the 8th and 15th days, and the 21st and last days of cultivation (26th day). After each withdrawal of the culture broth, the volume was set to the initial volume by adding sterile water. Since the cells were adapted to the growth medium, the lag phase was not observed after inoculation or after feeding a culture with concentrated BBM. During the whole phototrophic cultivation, the concentration of microalga increased exponentially at a similar average specific growth rate. Thus, during batch cultivation (first seven days), the specific growth rate was 0.2236 day−1. After the first (8–15 days) and second feeding (15–21 days), specific growth rates were 0.2499 day−1 and 0.1924 day−1, respectively. In the last phase of growth (21–26 days), the specific growth rate was 0.2256 day−1. Similar growth rates were observed during the phototrophic growth of Chlorella strains under comparable growth conditions [46,47]. The cell composition indicated that cells prioritise cell division over the synthesis of energy reserve (Table 1). Since the nitrogen concentration was above the limiting value, lipids and starch did not accumulate in the cell biomass. The protein content was over 50% dry cell weight, while the lipid and starch contents were approximately five times lower (Table 1). The nitrogen source was primarily used to synthesise macromolecules needed in the phase of intensive cell growth (proteins, RNA, DNA, and chlorophyll) [48]. Although the nitrogen source was completely exhausted by the 18th day of cultivation, lipid and starch accumulation was not observed, indicating insufficient CO2 supply due to aeration with pure air. A low level of CO2 in air (~0.038% vol vol−1) does not provide the sufficient dissolved carbon needed for fast culture growth and accumulation of specific products. Similar lipid and carbohydrate contents were observed in the culture of Chlorella sp. during continuous cultivation under phototrophic conditions at dilution rates of 0.005 and 0.0096 h−1 [47]. Due to its high protein content, phototrophically grown biomass of Chlorella vulgaris S2 could be used as a food and feed supplement.
Figure 2.
Biomass (OD540 and N, cells mL−1) and nitrate concentration during phototrophic fed-batch cultivation. Arrows indicate substrate additions.
Table 1.
Dry weight concentration (X), lipid concentration (L), lipid, protein, and carbohydrate contents (wL, wP, wCHO), and biomass and lipid productivities (Prx, PrL) at specific cultivation times during phototrophic fed-batch cultivation. Arrows indicate substrate additions.
The most abundant fatty acids in the biomass of Chlorella vulgaris S2 during phototrophic cultivation were palmitic (C16:0), heptadecanoic (C17:0), linoleic (C18:2), and linolenic (C18:3) acids (Figure 3a). All aforementioned fatty acids are typically found in the biomass of Chlorella vulgaris strains [16,49,50]. However, the content of heptadecanoic acid, an odd-chain fatty acid, was unusually high for this genus. In addition, another odd-chain fatty acid, pentadecanoic, was detected, but at a lower level. The low stearic (C18:0) and oleic (C18:1) acid content in total lipids is found to be in good agreement with reported literature values for the Chlorella genus [15,46,51]. The content of the main fatty acids in the cell biomass did not change significantly during the fed-batch cultivation, except linoleic (C18:2) and linolenic (C18:3) acids. The linoleic content (C18:2) increased during the growth due to linolenic content (C18:3) decline. Polyunsaturated fatty acid (PUFA) and saturated fatty acids (SFA) were the dominant fatty acid groups, comprising more than 90% (g g−1) of total fatty acids during cultivation (Figure 3b). Since oleic acid (C18:1) was the only detected monounsaturated fatty acid in the total cell lipids, the content of MUFA was equal to the content of this fatty acid (<6%). Biomass grown under heterotrophic and mixotrophic conditions usually contains a significantly higher content of oleic acid (C18:1) that is incorporated in cell membranes and neutral lipids (energy source) [15,16]. A similar trend of lipid class composition with a comparable fatty acid profile was observed in the phototrophic cultivation of Chlorella zofingiensis [46]. The phototrophic mode of cultivation enables the direct conversion of CO2 into microalgal biomass using the energy from sunlight in open ponds at a low cost. Microalgal biomass is a sustainable and renewable source of lipids that could be used as feedstock for biodiesel production. However, the low lipid and cell yields obtained by phototrophic growth increase the price of the downstream process, making biodiesel production from microalgal lipids commercially unfeasible. The growth on organic carbon sources under mixotrophic and heterotrophic conditions could be a valuable alternative to phototrophic cultivation. Therefore, the next step of this study examined the effect of the C:N ratio on lipid accumulation.
Figure 3.
Fatty acid composition (a) and fatty acid classes (SFA, MUFA, and PUFA) composition (b) of total lipids in microalgal biomass during phototrophic fed-batch cultivation.
3.3. Effect of C:N Ratio on Growth and Lipid Production under Mixotrophic and Heterotrophic Conditions
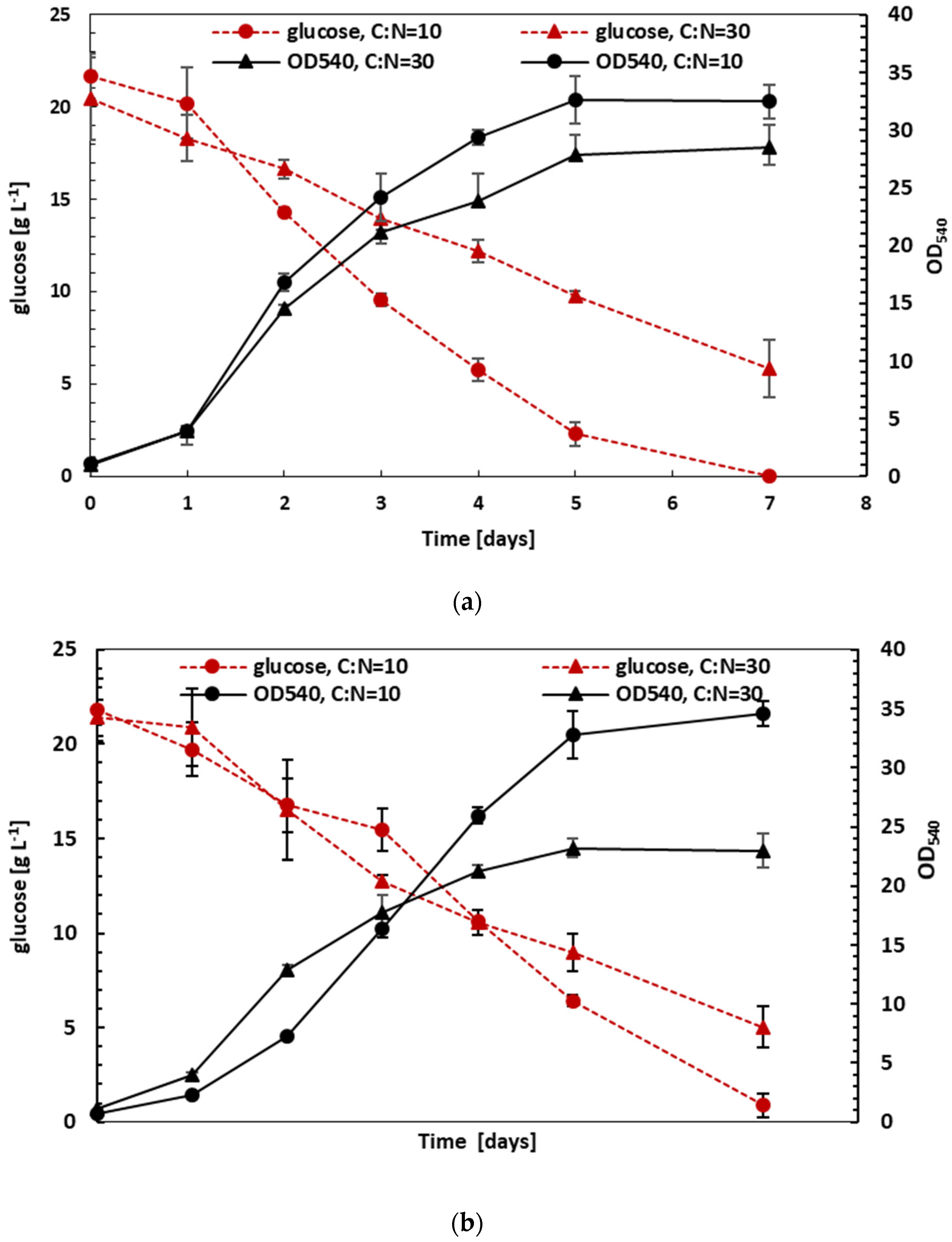
Low biomass productivity and high biomass harvesting costs are the main constraints of phototrophic cultivation. Mixotrophic and heterotrophic cultivations have frequently been applied in large-scale biomass production to improve bioprocess effectiveness and decrease production costs [9]. The ability to grow under mixotrophic and heterotrophic conditions is one of the major advantages of Chlorella strains [1,16]. Commercial production of Chlorella biomass today is primarily based on mixotrophic and, to a smaller extent, heterotrophic cultivation. The next aim of this study was to investigate the growth characteristics of the novel Chlorella vulgaris S2 under mixotrophic and heterotrophic conditions. It is well known that the accumulation of lipids and carbohydrates in various oleaginous microorganisms is triggered by nitrogen limitation [7,13,14,15,16]. Batch experiments were performed using a growth medium with 20 g L−1 of glucose and the C:N ratios of 10 and 30 mol mol−1 obtained by adjusting the initial nitrate concentration. The initial C:N ratios were chosen based on several similar studies on different Chlorella strains [52,53,54]. Under all cultivation conditions, no lag phase was observed, and cultures were grown exponentially until the 5th day of cultivation (Figure 4). Within seven days, glucose was completely consumed at the initial C:N ratio of 10 mol mol−1 under both trophic modes, while at the C:N ratio of 30 mol mol−1, a significant amount of glucose remained in the growth medium. Although the cells were in the stationary phase, under all studied conditions, the culture continued to metabolise the carbon source for the next two days. At this stage, the growth of the culture was restricted by limiting nutrient/s, most probably the nitrogen source. In the presence of a carbon source, non-growing cells of the Chlorella genus continue to utilise the carbon source and synthesise energy reserves, mainly lipids and carbohydrates [22,52,53,54,55,56]. The highest growth rates were observed at the lower C:N ratio (10 mol mol−1), with a slightly higher value obtained under mixotrophic conditions (Table 2). Several studies demonstrated that Chlorella strains benefit from autotrophic and heterotrophic metabolism during mixotrophic growth. Simultaneous carbon fixation from CO2 via photosynthesis and breakdown of the organic carbon source via glycolysis results in a higher cell concentration and shorter generation time, as observed in this study [1,43,51]. In agreement with reported studies, the specific growth rate of Chlorella vulgaris S2 under these conditions was approximately equal to the sum of the heterotrophic and phototrophic growth rates obtained under nitrogen-replete conditions, i.e., C:N = 10 mol mol−1. An increase in the C:N ratio under both trophic conditions caused a decline in the cell biomass concentration, as already observed for the same strain of microalgae [37,57]. Mixotrophic cultivation at the C:N ratio of 30 mol mol−1 favoured lipid accumulation. The lipid concentration was ~30% higher than that obtained at a C:N ratio of 10 mol mol−1. According to the literature, the effect of the initial C:N ratio on cell growth and lipid and carbohydrate accumulation depends on the carbon source, growth media composition, and trophic mode of cultivation. The optimal C:N ratio for growth and product accumulation could considerably vary among members of the same genus and between the species of the same genus. Li et al. found that the optimal C:N ratio for lipid accumulation in Chlorella vulgaris under mixotrophic conditions is 92 mol mol−1 [54]. Maximal lipid content and lipid productivity during the cultivation of Chlorella sp. on wastewater under mixotrophic conditions were obtained at C:N ≥ 12 mol mol−1 [22]. In agreement with published studies, heterotrophic and mixotrophic cultivation improved the biomass of Chlorella vulgaris S2 and lipid efficiency compared to phototrophic conditions [15,37,57].
Figure 4.
Mixotrophic (a) and heterotrophic (b) cultivation of Chlorella vulgaris S2 at C:N ratios of 10 and 30 mol mol−1.
Table 2.
Dry weight concentration (X), biomass and lipid yields (YX/S, YL/S), and biomass and lipid productivities (Prx, PrL) at the C:N ratios of 10 and 30 mol mol−1 under mixotrophic (M) and heterotrophic (H) growth conditions (on the last day of cultivation).
During the cultivation, the composition of the cell changed with the growth phase. Exposing the cells to abiotic stress changed the molecular composition of cells and resulted in the accumulation of specific metabolites. Under the nitrogen limitation conditions, Chlorella vulgaris accumulated lipids and/or starch, whereas the synthesis of proteins and pigments (chlorophylls and carotenoids) needed for cell growth decreased, leading to a growth rate decline [24,58,59]. Biomass of Chlorella species contains a considerable amount of carbohydrates, mainly in the form of starch in chloroplast and glucosamine or glucose-mannose-containing polysaccharides in the cell wall. Chlorella vulgaris contains glucosamine in the form of a chitin-like glycan [55]. Other carbohydrates, including a glucuronorhamnan, a β1,3-galactan, and an arabinomannan, were also were detected in the cell walls of C. vulgaris [60,61,62]. According to the studies mentioned above, a high glucose content in cell hydrolysate indicates the accumulation of starch in cell biomass (Figure 5). Besides glucose, biomass hydrolysate contained ≤5% of other sugars, such as arabinose and most probably galactose, xylose, and mannose. Due to similar galactose, xylose, and mannose retention times on the chromatographic column, it was impossible to identify each sugar and determine its content in the cell biomass. According to published studies, galactose is the second most abundant monosaccharide in Chlorella vulgaris, followed by rhamnose, mannose, xylose, and fucose [63]. Growth without light stimulated carbohydrate synthesis over lipid synthesis in Chlorella vulgaris S2, while a higher C:N ratio favoured lipid accumulation regardless of the trophic mode. Although the highest lipid content was obtained under mixotrophic conditions (36.73%, g g−1), significant differences in lipid content were not observed under mixotrophic and heterotrophic conditions. Similar findings were reported for several microalgae belonging to the genus Chlorella [15].
Figure 5.
Lipid and carbohydrate contents in microalgal biomass obtained by mixotrophic and heterotrophic batch cultivation at C:N 10 and 30 mol mol−1.
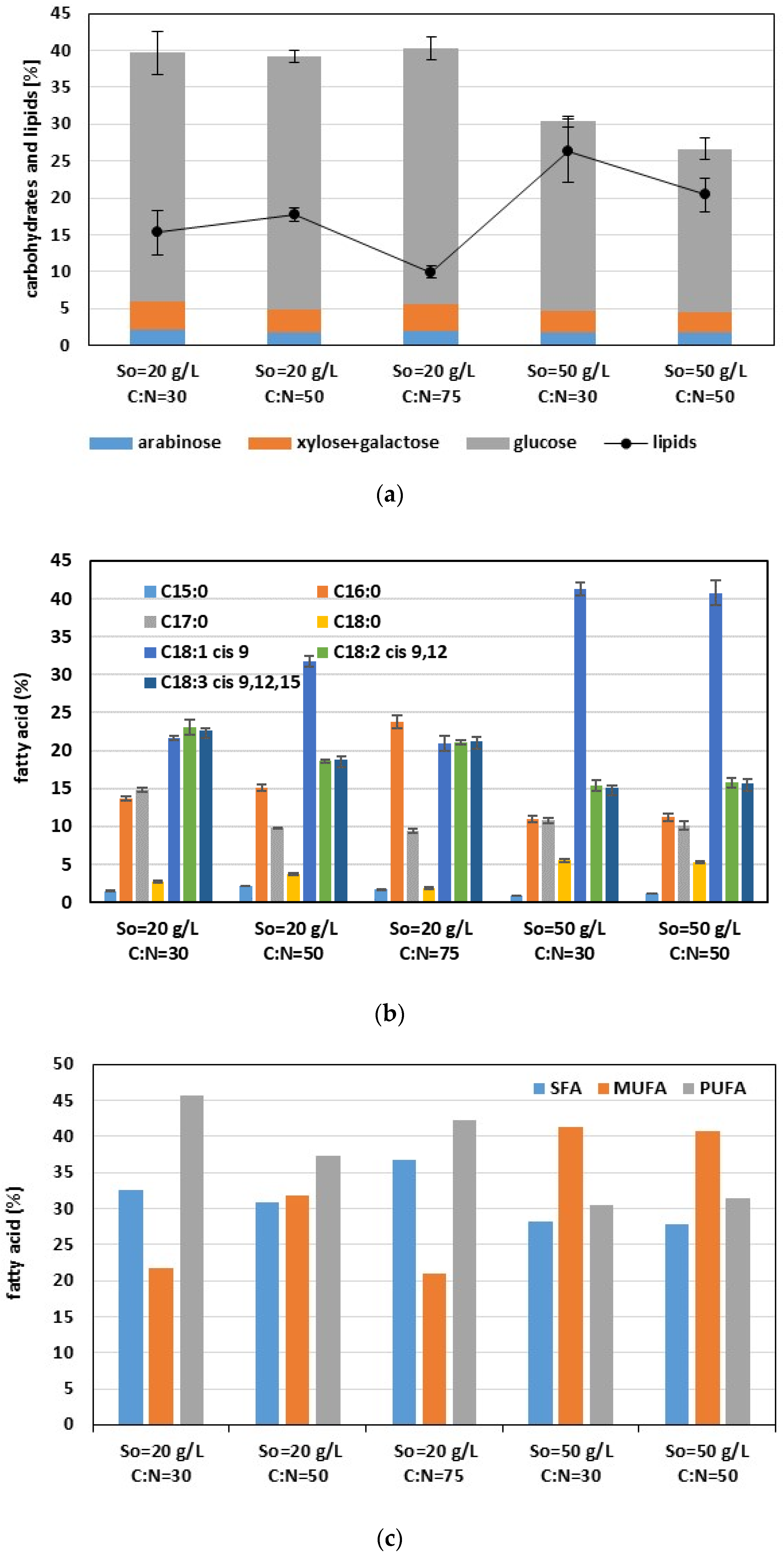
In order to further improve the lipid yield and productivity under mixotrophic conditions, Chlorella vulgaris S2 was cultivated at two glucose concentrations (20 and 50 g L−1) and higher C:N ratios (Table 3). The cultivation time depended on the initial C:N ratio and glucose concentration. The cultivation time for culture grown on 20 g L−1 of glucose and C:N = 30 mol mol−1 was seven days (Supplementary Materials, Figure S3). Under these conditions, glucose was depleted by the 7th day of cultivation. Under all other cultivation conditions, cultivation was prolonged until the 9th day due to slow carbon consumption.
Table 3.
Effect of the C:N ratio and initial substrate concentration (So) on growth and lipid production under mixotrophic conditions.
Furthermore, microalga was not able to completely utilise the carbon source. Analysis of growth curves (OD540) and glucose consumption (Supplementary Materials, Figure S3) suggested that growth rates declined probably due to the limitation of the microalgal culture with oxygen due to insufficient oxygen transfer from the air to the growth medium.
As expected, the lipid concentration increased with the C:N ratio and glucose concentration (Table 3). The optimal C:N ratio for the growth and lipid yield was 50 mol mol−1, regardless of the carbon concentration. The highest lipid concentration was obtained at the C:N ratio of 50 mol mol−1 and glucose concentration of 50 gL−1. At the highest C:N ratio (70 mol mol−1), the biomass concentration was approximately half the value obtained at C:N 50 mol mol−1, probably due to nitrogen deprivation. The low biomass yield resulted in a low lipid concentration and productivity. The optimal C:N ratio for Chlorella vulgaris S2 was significantly lower than that in published studies, suggesting that the C:N ratio depends on the microalgae strain, carbon source, concentration, and cultivation conditions [23,53,54].
The content of lipids and carbohydrates in Chlorella vulgaris S2 depended more on the initial carbon source concentration than the C:N ratio above 30 mol mol−1 (Figure 6a). The carbohydrates were the most abundant macromolecules in the biomass under all studied conditions. At the low glucose concentration (20 g L−1), carbohydrate content was two to three times higher than the lipid content regardless of the C:N ratio. The high glucose concentration (50 g L−1) stimulated the accumulation of both energy reserves, lipids and carbohydrates, with carbohydrates still prevailing in the cell biomass. Current knowledge on regulating lipid and starch biosynthesis is still limited. Li et al. investigated lipid and starch synthesis in Chlorella sorokiniana during batch cultivation. Under mixotrophic conditions, microalga accumulated starch and lipids in a sequential manner. Starch content in the cell biomass increased fast during the early exponential phase. In the later exponential phase, starch synthesis slowed down with a decline in the growth rate due to nutrient depletion (nitrogen starvation), followed by a decrease in starch content and concomitant lipid accumulation during the stationary phase [64]. Analysis of Chlorella vulgaris S2 growth curves obtained under different growth conditions (C:N ratios and glucose concentrations; Supplementary Material, Figure S3) showed that cells were in different growth phases when harvested and subsequently analysed. Cells grown at 20 g L−1 of glucose were in the late exponential phase, whereas cells grown at 50 g L−1 were in the stationary phase. In accordance with the study of Li et al., carbohydrates dominated the cell biomass of Chlorella vulgaris S2 in the late exponential phase (glucose concentration of 20 g L−1), while lipids dominated in the stationary phase (glucose concentration of 50 g L−1) [64].
Figure 6.
Effect of the C:N ratio and initial substrate concentration on lipid and carbohydrate contents: (a) fatty acid composition and (b) fatty acid classes (SFA, MUFA, and PUFA). (c) Composition of total lipids in microalgal biomass obtained by mixotrophic batch cultivation (on the last day of cultivation).
Changes in cultivation conditions and the trophic mode significantly affected the composition of fatty acids and fatty acid classes (SFA, MUFA, and PUFA) in microalgal biomass (Figure 6b,c). The major fatty acids were palmitic (C16:0), heptadecanoic (C17:0), oleic (C18:1), linoleic (C18:2), and linolenic (C18:3) acids, which accounted for more than 90% of the total fatty acids in the biomass (Figure 6a). Regardless of the C:N ratio and glucose concentration, biomass grown under mixotrophic conditions had a significantly higher content of oleic acid (C18:1) compared to that grown under phototrophic conditions. Glucose concentration had a stronger effect on oleic acid (C18:1) accumulation than the C:N ratio under these conditions. Both studied characteristics of growth medium, the C:N ratio and carbon source concentration, affected the fatty acid profile, especially oleic acid content (C18:1). The content of oleic acid (C18:1) in biomass grown on 50 g L−1 of glucose at both C:N ratios exceeded 40% (g g−1). The content of oleic acid (C18:1) increased by more than eight-fold compared to its highest concentration in biomass on the 19th day of phototrophic cultivation (Figure 3a). The composition of fatty acid classes also changed compared to phototrophic cultivation. The content of MUFA increased on account of SFA and PUFA, and the distribution of fatty acid classes was affected more by the glucose concentration than by the C:N ratio. The distribution of fatty acid classes at the highest glucose concentration was similar regardless of the C:N ratio. Cultivation on 20 g L−1 of glucose moderately increased the oleic acid content (C18:1) on account of linoleic (C18:2) and linolenic (C18:3) acids, compared to phototrophic cultivation. A decrease of C18:3 and C18:2 content observed at higher glucose concentrations suggests a lower rate of desaturation reactions and, consequently, a lower content of PUFA. A similar effect of the carbon source concentration on oleic acid (C18:1) content was observed in some mixotrophically grown Chlorella species [65]. Cultivation of Chlorella sorokininana on glucose at concentrations from 2 to 20 g L−1 enhanced the accumulation of oleic (C18:1) and linoleic (C18:2) acids at the expense of linolenic acid (18:3) [51]. Likewise, cultivation of Chlorella pyrenoidosa on 5 g L−1 of acetate increased the content of oleic acid to 41%, as well as palmitic acid (36%) and linoleic acid (10%), while the content of linolenic acid decreased (to 11.4%).
High lipid productivity of 0.458 g L−1 d−1 (Table 3) and favourable fatty acid composition indicate that Chlorella vulgaris S2 biomass obtained by mixotrophic cultivation could be used as feedstock for biodiesel production. The increase of oleic acid in total lipids of Chlorella biomass suggests that the studied strain under these conditions most probably accumulates the neutral lipids, such as triacylglycerols, monoacylglycerols, and diacylglycerols, rather than polar lipids. Similarly, mixotrophically grown Chlorella protothecoides on glucose accumulated more neutral lipids than membrane polar lipids (phospholipids or glycolipids), and the composition of total fatty acids changed from polyunsaturated (PUFA) to saturated (SFA) and monosaturated (MUFA) [66]. Triacylglycerols are preferred over polar lipids for biodiesel production since triacylglycerols have a higher fatty acid content. The conversion rate of polar lipids is approximately 30% lower than triacylglycerols [67,68].
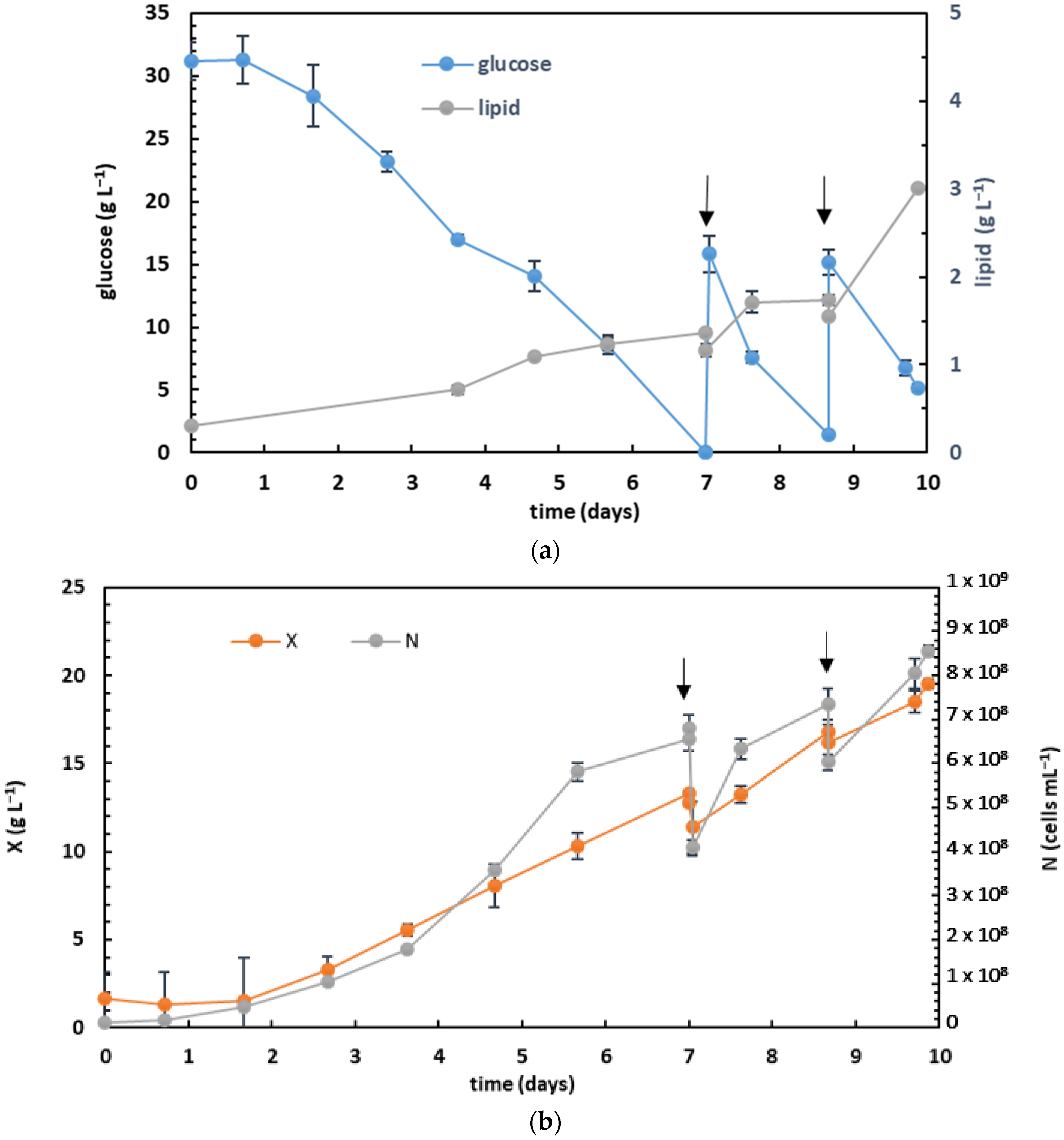
3.4. Fed-Batch Heterotrophic Cultivation on Glucose
Finally, the effect of heterotrophic cultivation on cell growth and lipid production with Chlorella vulgaris S2 was investigated. Fed-batch cultivation was conducted in a stirrer tank bioreactor with a glucose growth medium. The initial C:N ratio was set at 10 mol mol−1 by adjusting the nitrate concentration because this C:N ratio enabled the highest biomass yield in the previous experiment (Table 2). The culture was grown in batch mode until the glucose was depleted from the culture broth (7th day of cultivation; Figure 7a,b). On the first day of cultivation, the biomass concentration (dry cell concentration and cell number concentration) and carbon source were almost constant, probably due to the adaptation of the culture to growth without light. The next day, cells entered the exponential phase and grew at a constant specific rate of rate 0.628 d−1. During the 6th day, glucose was completely consumed, and the growth rate declined. The maximal specific rate obtained in this cultivation phase was ten times lower than the specific rate in previous heterotrophic cultivation conducted in a shake-flask culture at the same C:N ratio (Table 2). The culture was first fed with concentrated glucose, nitrogen, and inorganic compounds on the 7th day. Microalga continued to grow exponentially at a lower specific growth rate of 0.317 d−1 for 36 h until the carbon source was completely consumed. On the 8th day of cultivation, the culture was fed with only concentrated glucose solution. The culture grew exponentially at a lower specific rate (0.3706 d−1) for the next 36 h. The biomass concentration was determined by measuring the dry cell weight per litre (X, g L−1) and the cell number concentration (N, cells mL−1), which showed a similar growth trend during the cultivation time (Figure 7b). However, after the 4th day of cultivation, differences between those biomass curves were more pronounced. The cell number concentration curve indicated faster growth than the dry cell concentration curve. The discrepancy in results could be due to counting the total number of cells instead of only viable ones. Another reason for disagreement could also be a change in cell composition (and consequently, a change in cell density) and cell volume during growth, especially under nutrient deprivation, which has already been reported in the literature [69]. The specific growth rate in this experiment was at least ten times lower than in the previous experiment conducted in shake flasks at the same C:N ratio. The drastic decline in the specific growth rate could be due to the high shear forces to which cells were exposed in the bioreactor generated by the impeller and the relatively high aeration that was previously described by Verma et al. [70]. The lipid and biomass productivity on the last day of cultivation were 0.339 and 2.385 g L−1 d−1, respectively, which is ~50 and ~60 times higher than those of fed-batch phototrophic cultivation (Table 1; 26th day). Both productivity levels were significantly higher than those reported in the literature for Chlorella strains, probably due to different cultivation modes, carbon sources and concentrations, cultivation conditions, and production strains [1,16,46]. Still, the lipid productivity of fed-batch heterotrophic cultivation was 35% lower than that of mixotrophic cultivation under optimal conditions (Table 3; C:N = 50 mol mol−1 and So = 50 g L−1). Therefore, mixotrophic cultivation is an optimal strategy for producing lipids by Chlorella vulgaris S2, with a suitable fatty acid profile similar to that of vegetable oils currently used for biodiesel production [71].
Figure 7.
Glucose and lipid concentrations (a) and dry cell biomass (X) and cell number concentrations (N) (b) during heterotrophic fed-batch cultivation. The arrows indicate feeding times.
After a sharp decrease during the first day, the lipid content continued to negligibly increase. The content of carbohydrates continuously declined during the cultivation except for on the first day, probably due to the adaptation of the cells previously cultivated under mixotrophic conditions (inoculum; Figure 8a). The most abundant fatty acids in heterotrophically grown biomass were palmitic (C16:0), heptadecanoic (C17:0), oleic (C18:1), linoleic (C18:2), and linolenic (C18:3) acids (Figure 8a), as already detected in cell biomass grown under phototrophic and mixotrophic conditions. At the beginning of cultivation (day 0), the most abundant fatty acid was oleic acid (C18:1), and the most abundant fatty acid class was monounsaturated fatty acids (MUFA; Figure 8b,c). Since the inoculum was cultivated under mixotrophic conditions, the fatty acid composition of the initial biomass was similar to that of microalgal biomass grown under mixotrophic conditions (Figure 6b; 20 g L−1 of glucose and C:N ratio of 50 mol mol−1). Growth without light reduced the lipid and carbohydrate content. During the first day of cultivation (lag phase), cells underwent adaptation to growth without the light, during which they used energy reserve (lipids) instead of glucose from the growth medium (Figure 8a). In the next 4 to 5 days, the composition of the fatty acids significantly changed. Oleic acid (C18:1) decreased, and the content of linoleic (C18:2) and linolenic (C18:3) acids gradually increased (Figure 8b). The content of polyunsaturated acid (PUFA) increased on account of monounsaturated acids (MUFA; Figure 8c). During the last three days of cultivation, the increase in oleic acid content and decrease in polyunsaturated fatty acids could be related to lipid accumulation. Oleic acid is the most dominant fatty acid in acylglycerols of Chlorella cells grown under heterotrophic conditions [46].
Figure 8.
Lipid and carbohydrate content: (a) fatty acid composition of total lipids in microalgal biomass and (b) and fatty acid classes (SFA, MUFA, and PUFA) (c) during heterotrophic fed-batch cultivation.
4. Conclusions
Microalgal biomass is a rich source of bioactive compounds, lipids, carbohydrates, and proteins with broad industrial applications, from the pharmaceutical, nutraceutical, food, and cosmetics to biofuel industries. A novel strain of Chlorella vulgaris S2 was investigated regarding the ability to grow and produce energy reserves under different trophic modes. The high lipid productivity and fatty acid profile similar to vegetable oils obtained under mixotrophic cultivation make this strain suitable for industrial application. The high glucose concentration and the C:N ratio of 50 mol mol−1 enhanced lipid synthesis on account of a decrease in carbohydrates. The studied strain has the ability to grow on low-cost substrates, such as lignocellulose hydrolysate, volatile fatty acids, and crude glycerol. Therefore, Chlorella vulgaris S2 could be a new platform for sustainable biodiesel production. Further optimisation of cultivation conditions is needed to improve the lipid productivity and the feasibility of biodiesel production in biorefinery.
Supplementary Materials
The following supporting information can be downloaded at: https://www.mdpi.com/article/10.3390/fermentation10060270/s1, Figure S1. Microscopic pictures of isolate S2; Figure S2. Isolate S2 (a) sequence of 18S rRNA; (b) BLAST results (NCBI database http://www.ncbi.nlm.nih.gov/); Figure S3: Effect of the C:N ratio and initial glucose concentration on growth and substrate consumption: (a) 20 g L−1 of glucose and C:N = 30 mol mol−1; (b) 20 g L−1 of glucose and C:N = 50 mol mol−1; (c) 20 g L−1 of glucose and C:N = 75 mol mol−1; (d) 50 g L−1 of glucose and C:N = 30 mol mol−1; (e) 50 g L−1 of glucose and C:N = 75 mol mol−1.
Author Contributions
Conceptualisation, M.I.Š.; methodology, M.G. and I.P.; software, M.G. and E.D.; formal analysis, M.G.; investigation, M.G., I.P., E.D. and M.I.Š.; data curation, M.G.; writing—original draft preparation, M.G. and M.I.Š.; writing—review and editing, M.I.Š.; visualisation, M.G.; supervision, M.I.Š.; funding acquisition, B.Š. All authors have read and agreed to the published version of the manuscript.
Funding
The research was funded by the Croatian Government and the European Union through the European Regional Development Fund—the Competitiveness and Cohesion Operational Programme (KK.01.1.1.01), The Scientific Centre of Excellence for Marine Bioprospecting—BioProCro and Croatian Science Foundation under the project: “Biorefinery system for biofuels and biochemicals production from non-food lignocellulosic raw materials” (No. 3075).
Data Availability Statement
The original contributions presented in the study are included in the article/Supplementary Material, further inquiries can be directed to the corresponding author.
Conflicts of Interest
The authors declare no conflicts of interest.
References
- Dragone, G. Challenges and Opportunities to Increase Economic Feasibility and Sustainability of Mixotrophic Cultivation of Green Microalgae of the Genus Chlorella. Renew. Sustain. Energy Rev. 2022, 160, 112284. [Google Scholar] [CrossRef]
- Grubišić, M.; Ivančić Šantek, M.; Šantek, B. Potential of Microalgae for the Production of Different Biotechnological Products. Chem. Biochem. Eng. Q. 2019, 33, 161–181. [Google Scholar] [CrossRef]
- Debnath, C.; Kanti, T.; Bhunia, B.; Mishra, U. Microalgae: Sustainable Resource of Carbohydrates in Third-Generation Biofuel Production. Renew. Sustain. Energy Rev. 2021, 150, 111464. [Google Scholar] [CrossRef]
- Senroy, S.; Pal, R. Microalgae in Aquaculture: A Review with Special References to Nutritional Value and Fish Dietetics. Proc. Zool. Soc. 2014, 68, 1–8. [Google Scholar] [CrossRef]
- Krishna, A.; Wayne, K.; Rambabu, K.; Tao, Y.; Chu, D.; Show, P. Microalgae: A Potential Alternative to Health Supplementation for Humans. Food Sci. Hum. Wellness 2019, 8, 16–24. [Google Scholar] [CrossRef]
- Martins, D.A.; Pereira, H.; Ben-hamadou, R.; Abu-salah, K.M.; Arabia, S. Alternative Sources of N-3 Long-Chain Polyunsaturated Fatty Acids in Marine Microalgae. Mar. Drugs 2013, 11, 2259–2281. [Google Scholar] [CrossRef]
- Ran, W.; Wang, H.; Liu, Y.; Qi, M.; Xiang, Q.; Yao, C.; Zhang, Y.; Lan, X. Storage of Starch and Lipids in Microalgae: Biosynthesis and Manipulation by Nutrients. Bioresour. Technol. 2019, 291, 121894. [Google Scholar] [CrossRef]
- Abreu, A.P.; Morais, R.C.; Teixeira, J.A.; Nunes, J. A Comparison between Microalgal Autotrophic Growth and Metabolite Accumulation with Heterotrophic, Mixotrophic and Photoheterotrophic Cultivation Modes. Renew. Sustain. Energy Rev. 2022, 159, 112247. [Google Scholar] [CrossRef]
- Talaei, M.; Prieto, A. A Review on Performance of Sustainable Microalgae Photobioreactor Façades Technology: Exploring Challenges and Advantages. Archit. Sci. Rev. 2024, 1–28. [Google Scholar] [CrossRef]
- Vieira, M.V.; Pastrana, L.M.; Fuciños, P. Microalgae Encapsulation Systems for Food, Pharmaceutical and Cosmetics Applications. Mar. Drugs 2020, 18, 644. [Google Scholar] [CrossRef] [PubMed]
- Villanova, V.; Fortunato, A.E.; Singh, D.; Bo, D.D.; Conte, M.; Obata, T.; Jouhet, J.; Fernie, A.R.; Marechal, E.; Falciatore, A.; et al. Investigating Mixotrophic Metabolism in the Model Diatom Phaeodactylum tricornutum. Phil. Trans. R. Soc. B 2017, 372, 20160404. [Google Scholar] [CrossRef]
- Jiao, K.; Xiao, W.; Xu, Y.; Zeng, X.; Ho, S.H.; Laws, E.A.; Lu, Y.; Ling, X.; Shi, T.; Sun, Y.; et al. Using a Trait—Based Approach to Optimise Mixotrophic Growth of the Red Microalga Porphyridium purpureum towards Fatty Acid Production. Biotechnol. Biofuels 2018, 11, 273. [Google Scholar] [CrossRef]
- Tiong, I.; Ru, K.; Sung, Y.Y.; Jusoh, M.; Abdul, M.E.; Nagappan, T. Chlorella vulgaris: A Perspective on Its Potential for Combining High Biomass with High Value Bioproducts. Appl. Phycol. 2020, 1, 2–11. [Google Scholar] [CrossRef]
- Maltsev, Y.; Maltseva, K.; Kulikovskiy, M.; Maltseva, S. Influence of Light Conditions on Microalgae Growth and Content of Lipids, Carotenoids, and Fatty Acid Composition. Biology 2021, 10, 1060. [Google Scholar] [CrossRef]
- Yun, H.; Kim, Y.; Yoon, H. Effect of Different Cultivation Modes (Photoautotrophic, Mixotrophic, and Heterotrophic) on the Growth of Chlorella sp. and Biocompositions. Front. Bioeng. Bioetchnol. 2021, 9, 774143. [Google Scholar] [CrossRef]
- Kong, W.; Yang, S.; Wang, H.; Huo, H.; Guo, B.; Liu, N.; Zhang, A.; Niu, S. Regulation of Biomass, Pigments, and Lipid Production by Chlorella vulgaris 31 through Controlling Trophic Modes and Carbon Sources. J. Appl. Phycol. 2020, 32, 1569–1579. [Google Scholar] [CrossRef]
- Alves, I.R.F.S.; Mahler, C.F.; Oliveira, L.B.; Reis, M.M.; Bassin, J.P. Assessing the Use of Crude Glycerol from Biodiesel Production as an Alternative to Boost Methane Generation by Anaerobic Co-Digestion of Sewage Sludge. Biomass Bioenergy 2020, 143, 105831. [Google Scholar] [CrossRef]
- Sun, C.; Ren, H.; Sun, F.; Hu, Y.; Liu, Q.; Song, G.; Abdulkhani, A.; Show, P.L. Glycerol Organosolv Pretreatment Can Unlock Lignocellulosic Biomass for Production of Fermentable Sugars: Present Situation and Challenges. Bioresour. Technol. 2022, 344, 126264. [Google Scholar] [CrossRef]
- Sukphun, P.; Sittijunda, S. Volatile Fatty Acid Production from Organic Waste with the Emphasis on Membrane-Based Recovery. Fermentation 2021, 7, 159. [Google Scholar] [CrossRef]
- Ivančić Šantek, M.; Grubišić, M.; Galić Perečinec, M.; Beluhan, S.; Šantek, B. Lipid Production by Mortierella Isabellina from Pretreated Corn Cobs and Effect of Lignocellulose Derived Inhibitors on Growth and Lipid Synthesis. Process Biochem. 2021, 109, 46–58. [Google Scholar] [CrossRef]
- Beluhan, S.; Mihajlovski, K.; Šantek, B.; Ivančić Šantek, M. The Production of Bioethanol from Lignocellulosic Biomass: Pretreatment Methods, Fermentation, and Downstream Processing. Energies 2023, 16, 7003. [Google Scholar] [CrossRef]
- Gao, F.; Yang, H.; Li, C.; Peng, Y.; Lu, M.; Jin, W.; Bao, J.; Guo, Y. Effect of Organic Carbon to Nitrogen Ratio in Wastewater on Growth, Nutrient Uptake and Lipid Accumulation of a Mixotrophic Microalgae Chlorella sp. Bioresour. Technol. 2019, 282, 118–124. [Google Scholar] [CrossRef]
- Lacroux, J.; Seira, J.; Trably, E.; Bernet, N.; Steyer, J.; Lis, R.V. Mixotrophic Growth of Chlorella sorokiniana on Acetate and Butyrate: Interplay between substrate, C:N Ratio and PH. Front. Microbiol. 2021, 12, 703614. [Google Scholar] [CrossRef]
- Arora, N.; Philippidis, G.P. Insights into the Physiology of Chlorella vulgaris Cultivated in Sweet Sorghum Bagasse Hydrolysate for Sustainable Algal Biomass and Lipid Production. Sci. Rep. 2021, 11, 6779. [Google Scholar] [CrossRef]
- El, M.; Nejib, O.; Chourouk, T.; Kallel, A.; Hussain, S. Insights into the Use of Landfill Leachate to Grow Chlorella sp. for Lipid and Fatty Acids Production. Clean Technol. Environ. Policy 2023, 25, 1631–1642. [Google Scholar] [CrossRef]
- Grubišić, M. Biotechnological Potential of Microalgae Isolated from River Gacka and Adriatic Sea-Characterisation and Optimisation of Growth Conditions. Ph.D. Dissertation, University of Zagreb, Faculty of Food Technology and Biotechnology, Zagreb, Croatia, 2022. [Google Scholar]
- Grubišić, M.; Šantek, B.; Zorić, Z.; Čošić, Z.; Vrana, I.; Gašparović, B.; Čož-Rakovac, R.; Ivančić Šantek, M. Bioprospecting of Microalgae Isolated from the Adriatic Sea: Characterisation of Biomass, Pigment, Lipid and Fatty Acid Composition, and Antioxidant and Antimicrobial Activity. Molecules 2022, 27, 1248. [Google Scholar] [CrossRef]
- Nichols, H.W.; Bold, H.C. Trichosarcina Polymorpha Gen. et Sp. Nov. H. J. Phycol. 1965, 38, 34–38. [Google Scholar] [CrossRef]
- Guillard, R.R.L. Culture of Phytoplankton for Feeding Marine Invertebrates; Smith, W.L., Chanley, M.H., Eds.; Plenum Press: New York, NY, USA, 1975. [Google Scholar]
- Guillard, R.R.L.; Ryther, J.H. Studies of Marine Planktonic Diatoms. I. Cyclotella Nana Hustedt, and Detonula Confervacea (Cleve) Gran. Can. J. Microbiol. 1962, 8, 229–239. [Google Scholar] [CrossRef]
- Grubišić, M.; Šantek, B.; Kuzmić, M.; Čož-Rakovac, R.; Ivančić Šantek, M. Enhancement of Biomass Production of Diatom Nitzschia sp. S5 through Optimisation of Growth Medium Composition and Fed-Batch Cultivation. Mar. Drugs 2024, 22, 46. [Google Scholar] [CrossRef] [PubMed]
- Wychen, S.V.; Laurens, L.M.L. Determination of Total Carbohydrates in Algal Biomass Determination of Total Carbohydrates in Algal Biomass Laboratory Analytical Procedure (LAP); NREL/TP-5100-60957; National Renewable Energy Laboratory (NREL): Golden, CO, USA, 2015. [Google Scholar]
- Waterborg, J.H.; Matthews, H.R. Lowry Method for Protein Quantitation. In The Protein Protocols Handbook. Springer Protocols Handbooks; Walker, J.M., Ed.; Humana Press: Totowa, NJ, USA, 2009; pp. 1–4. [Google Scholar]
- Grubišić, M.; Mihajlovski, K.; Gruičić, A.M.; Beluhan, S.; Šantek, B.; Ivančić Šantek, M. Strategies for Improvement of Lipid Production by Yeast Trichosporon Oleaginosus from Lignocellulosic Biomass. J. Fungi 2021, 7, 934. [Google Scholar] [CrossRef] [PubMed]
- Schneiter, R.; Daum, G. Extraction of Yeast Lipids. Methods Mol. Biol. 2006, 313, 41–45. [Google Scholar] [CrossRef] [PubMed]
- Wychen, S.V.; Ramirez, K.; Laurens, L.M.L. Determination of Total Lipids as Fatty Acid Methyl Esters (FAME) by In Situ Transesterification Laboratory Analytical Procedure (LAP); NREL/TP-5100-60958; National Renewable Energy Lab. (NREL): Golden, CO, USA, 2015. [Google Scholar]
- Liang, Y.; Sarkany, N.; Cui, Y. Biomass and Lipid Productivities of Chlorella vulgaris under Autotrophic, Heterotrophic and Mixotrophic Growth Conditions. Biotechnol. Lett. 2009, 31, 1043–1049. [Google Scholar] [CrossRef] [PubMed]
- Angelini, F.; Bellini, E.; Marchetti, A.; Salvatori, G.; Villano, M.; Pontiggia, D.; Ferrari, S. Efficient Utilization of Monosaccharides from Agri-Food Byproducts Supports Chlorella vulgaris Biomass Production under Mixotrophic Conditions. Algal Res. 2024, 77, 103358. [Google Scholar] [CrossRef]
- Kong, W.; Hua, S.; Cao, H.; Mu, Y.; Yang, H.; Song, H.; Xia, C. Optimization of Mixotrophic Medium Components for Biomass Production and Biochemical Composition Biosynthesis by Chlorella vulgaris Using Response Surface Methodology. J. Taiwan Inst. Chem. Eng. 2012, 43, 359–366. [Google Scholar] [CrossRef]
- Lu, S.; Zhang, W.; Zhang, P.; Sun, H.; Chen, M.; Lu, S.; Li, P. Effects of Various Organic Carbon Sources on the Growth and Biochemical Composition of Chlorella pyrenoidosa. Bioresour. Technol. 2014, 173, 52–58. [Google Scholar] [CrossRef] [PubMed]
- Stadler, R.; Wolf, K.; Hilgarth, C.; Tanner, W.; Sauer, N. Subcellular Localization of the Lnducible Chlorella HUPl Monosaccharide-H+ Symporter and Cloning of a Co-Lnduced Galactose-H+ Symporter. Plant Physiol. 1992, 107, 33–41. [Google Scholar] [CrossRef] [PubMed]
- Gong, G.; Liu, L.; Wu, B.; Li, J.; He, M.; Hu, G. Simultaneous Production of Algal Biomass and Lipid by Heterotrophic Cultivation of Linoleic Acid-Rich Oleaginous Microalga Chlorella sorokiniana Using High Acetate Dosage. Bioresour. Technol. 2024, 399, 130566. [Google Scholar] [CrossRef] [PubMed]
- Perez-garcia, O.; Escalante, F.M.E.; Luz, E.; Bashan, Y. Heterotrophic Cultures of Microalgae: Metabolism and Potential Products. Water Res. 2011, 45, 11–36. [Google Scholar] [CrossRef] [PubMed]
- Russell, J.B. Another Explanation for the Toxicity of Fermentation Acids at Low PH: Anion Accumulation versus Uncoupling. J. Appl. Bacteriol. 1992, 73, 363–370. [Google Scholar] [CrossRef]
- Pinhal, S.; Ropers, D.; Geiselmann, J.; de Jong, H. Acetate Metabolism and the Inhibition of Bacterial Growth by Acetate. J. Bacteriol. 2019, 201, e00147-19. [Google Scholar] [CrossRef]
- Liu, J.; Huang, J.; Sun, Z.; Zhong, Y.; Jiang, Y.; Chen, F. Differential Lipid and Fatty Acid Profiles of Photoautotrophic and Heterotrophic Chlorella zofingiensis: Assessment of Algal Oils for Biodiesel Production. Bioresour. Technol. 2011, 102, 106–110. [Google Scholar] [CrossRef] [PubMed]
- Bellou, S.; Aggelis, G. Biochemical Activities in Chlorella sp. and Nannochloropsis salina during Lipid and Sugar Synthesis in a Lab-Scale Open Pond Simulating Reactor. J. Biotechnol. 2013, 164, 318–329. [Google Scholar] [CrossRef] [PubMed]
- Finkel, Z.V.; Follows, M.J.; Liefer, J.D.; Brown, C.M.; Benner, I.; Irwin, J. Phylogenetic Diversity in the Macromolecular Composition of Microalgae. PLoS ONE 2016, 11, e0155977. [Google Scholar] [CrossRef] [PubMed]
- Liang, K.; Zhang, Q.; Gu, M.; Cong, W. Effect of Phosphorus on Lipid Accumulation in Freshwater Microalga Chlorella sp. J. Appl. Phycol. 2013, 25, 311–318. [Google Scholar] [CrossRef]
- Rohit, M.V.; Mohan, S.V. Quantum Yield and Fatty Acid Profile Variations with Nutritional Mode during Microalgae Cultivation. Front. Bioeng. Bioetchnol. 2018, 6, 111. [Google Scholar] [CrossRef] [PubMed]
- Li, T.; Zheng, Y.; Yu, L.; Chen, S. Direct Mixotrophic Cultivation of a Chlorella sorokiniana Strain for Enhanced Biomass and Lipid Production. Biomass Bioenergy 2014, 66, 204–213. [Google Scholar] [CrossRef]
- Chen, F.; Johns, M.R. Effect of C / N Ratio and Aeration on the Fatty Acid Composition of Heterotrophic Chlorella sorokiniana. J. Appl. Phycol. 1991, 3, 203–209. [Google Scholar] [CrossRef]
- Pagnanelli, F.; Altimari, P.; Trabucco, F.; Toro, L. Mixotrophic Growth of Chlorella vulgaris and Nannochloropsis oculata: Interaction between Glucose and Nitrate. J. Chem. Technol. Biotechnol. 2013, 89, 652–661. [Google Scholar] [CrossRef]
- Li, C.; Yu, Y.; Zhang, D.; Liu, J.; Nanqi, R.; Yujie, F. Combined Effects of Carbon, Phosphorus and Nitrogen on Lipid Accumulation of Chlorella vulgaris in Mixotrophic Culture. J. Chem. Technol. Biotechnol. 2016, 91, 680–684. [Google Scholar] [CrossRef]
- Jin, W.; Chen, L.; Hu, M.; Sun, D.; Li, A.; Li, Y.; Hu, Z.; Zhou, S.; Tu, Y.; Xia, T.; et al. Tween-80 Is Effective for Enhancing Steam-Exploded Biomass Enzymatic Saccharification and Ethanol Production by Specifically Lessening Cellulase Absorption with Lignin in Common Reed. Appl. Energy 2016, 175, 82–90. [Google Scholar] [CrossRef]
- Bouyam, S.; Choorit, W.; Sirisansaneeyakul, S.; Chisti, Y. Heterotrophic Production of Chlorella sp. TISTR 8990—Biomass Growth and Composition under Various Production Conditions. Biotechnol. Prog. 2017, 33, 1589–1600. [Google Scholar] [CrossRef] [PubMed]
- Vidotti, A.D.S.; Riaño-pachón, D.M.; Mattiello, L.; Albuquerque, L. Analysis of Autotrophic, Mixotrophic and Heterotrophic Phenotypes in the Microalgae Chlorella vulgaris Using Time-Resolved Proteomics and Transcriptomics Approaches. Algal Res. 2020, 51, 102060. [Google Scholar] [CrossRef]
- Liu, T.; Chen, Z.; Xiao, Y.; Yuan, M.; Zhou, C.; Liu, G.; Fang, J.; Yang, B. Biochemical and Morphological Changes Triggered by Nitrogen Stress in the Oleaginous Microalga Chlorella vulgaris. Microorganisms 2022, 10, 566. [Google Scholar] [CrossRef] [PubMed]
- Vítová, M.; Bišová, K.; Kawano, S.; Zachleder, V. Accumulation of Energy Reserves in Algae: From Cell Cycles to Biotechnological Applications. Biotechnol. Adv. 2015, 33, 1204–1218. [Google Scholar] [CrossRef] [PubMed]
- Gawa, K.; Arai, M.; Naganawa, H.; Ikeda, Y.; Kondo, S. A New β-D-Galactan Having 3-ο-Methyl-D-Galactose from Chlorella vulgaris. J. Appl. Glycosci. 2001, 48, 325–330. [Google Scholar] [CrossRef]
- Pieper, S.; Unterieser, I.; Mann, F.; Mischnick, P. A New Arabinomannan from the Cell Wall of the Chlorococcal Algae Chlorella vulgaris. Carbohydr. Res. 2012, 352, 166–176. [Google Scholar] [CrossRef] [PubMed]
- Ogawa, K.; Ikeda, Y.; Kondo, S. A New Trisaccharide, α-d-Glucopyranuronosyl-(1→3)-α-l-Rhamnopyranosyl-(1→2)-α-l-Rhamnopyranose from Chlorella vulgaris. Carbohydr. Res. 1999, 321, 128–131. [Google Scholar] [CrossRef]
- Ferreira, A.S.; Ferreira, S.S.; Correia, A.; Vilanova, M.; Silva, T.H.; Coimbraa, A.M.; Nunesa, C. Reserve, Structural and Extracellular Polysaccharides of Chlorella vulgaris: A Holistic Approach. Algal Res. 2020, 45, 101757. [Google Scholar] [CrossRef]
- Li, T.; Gargouri, M.; Feng, J.; Park, J.; Gao, D.; Miao, C.; Dong, T.; Gang, D.R.; Chen, S. Regulation of Starch and Lipid Accumulation in a Microalga Chlorella sorokiniana. Bioresour. Technol. 2015, 180, 250–257. [Google Scholar] [CrossRef]
- Liu, L.; Zhao, Y.; Jiang, X.; Wang, X.; Liang, W. Lipid Accumulation of Chlorella pyrenoidosa under Mixotrophic Cultivation Using Acetate and Ammonium. Bioresour. Technol. 2018, 262, 342–346. [Google Scholar] [CrossRef]
- Ren, X.; Chen, J.; Deschênes, J.; Tremblay, R.; Jolicoeur, M. Glucose Feeding Recalibrates Carbon Flux Distribution and Favours Lipid Accumulation in Chlorella protothecoides through Cell Energetic Management. Algal Res. 2016, 14, 83–91. [Google Scholar] [CrossRef]
- Nagle, N.; Lemke, P. Production of Methyl Ester Fuel from Microalgae. Appl. Biochem. Biotechnol. 1990, 24–25, 355–361. [Google Scholar] [CrossRef]
- Williams, P.J.L.B.; Laurens, L.M. Microalgae as Biodiesel & Biomass Feedstocks: Review & Analysis of the Biochemistry, Energetics & Economics. Energy Environ. Sci. 2010, 3, 554–590. [Google Scholar] [CrossRef]
- Baroni, É.G.; Yap, K.Y.; Webley, P.A.; Scales, P.J.; Martin, G.J.O. The Effect of Nitrogen Depletion on the Cell Size, Shape, Density and Gravitational Settling of Nannochloropsis salina, Chlorella sp. (Marine) and Haematococcus pluvialis. Algal Res. 2019, 39, 101454. [Google Scholar] [CrossRef]
- Verma, R.; Mehan, L.; Kumar, R.; Kumar, A.; Srivastava, A. Computational Fluid Dynamic Analysis of Hydrodynamic Shear Stress Generated by Different Impeller Combinations in Stirred Bioreactor. Biochem. Eng. J. 2019, 151, 107312. [Google Scholar] [CrossRef]
- Knothe, G. Fuel Properties of Highly Polyunsaturated Fatty Acid Methyl Esters. Prediction of Fuel Properties of Algal Biodiesel. Energy Fuels 2012, 26, 5265–5273. [Google Scholar] [CrossRef]
Disclaimer/Publisher’s Note: The statements, opinions and data contained in all publications are solely those of the individual author(s) and contributor(s) and not of MDPI and/or the editor(s). MDPI and/or the editor(s) disclaim responsibility for any injury to people or property resulting from any ideas, methods, instructions or products referred to in the content. |
© 2024 by the authors. Licensee MDPI, Basel, Switzerland. This article is an open access article distributed under the terms and conditions of the Creative Commons Attribution (CC BY) license (https://creativecommons.org/licenses/by/4.0/).







