Elucidating the Connection Between the Health-Promoting Properties of Limosilactobacillus fermentum Lf2 and Its Exopolysaccharides
Abstract
1. Introduction
2. Materials and Methods
2.1. Organisms and Growth Conditions
2.2. EPS Production
2.3. Mouse Model
2.4. Determination of s-IgA and Cytokines
2.5. Oxidative Stress in Liver and Intestines
2.6. Determination of Organic Acids in Feces
2.7. Analysis of Gut Microbiota
2.8. Statistical Analysis
3. Results
3.1. Determination of s-IgA and Cytokines
3.2. Oxidative Stress in Liver and Intestines
3.3. Determination of Organic Acids in Feces
3.4. Analysis of Gut Microbiota
3.5. Multivariate Analysis
4. Discussion
5. Conclusions
Author Contributions
Funding
Institutional Review Board Statement
Informed Consent Statement
Data Availability Statement
Conflicts of Interest
References
- Marco, M.L.; Heeney, D.; Binda, S.; Cifelli, C.J.; Cotter, P.D.; Foligné, B.; Gänzle, M.; Kort, R.; Pasin, G.; Pihlanto, A.; et al. Health benefits of fermented foods: Microbiota and beyond. Curr. Opin. Biotechnol. 2017, 44, 94–102. [Google Scholar] [CrossRef] [PubMed]
- Leeuwendaal, N.K.; Stanton, C.; O’Toole, P.W.; Beresford, T.P. Fermented Foods, Health and the gut microbiome. Nutrients 2022, 14, 1527. [Google Scholar] [CrossRef] [PubMed]
- Şanlier, N.; Gökcen, B.B.; Sezgin, A.C. Health benefits of fermented foods. Crit. Rev. Food Sci. Nutr. 2019, 59, 506–527. [Google Scholar] [CrossRef] [PubMed]
- Hill, C.; Guarner, F.; Reid, G.; Gibson, G.R.; Merenstein, D.J.; Pot, B.; Morelli, L.; Canani, R.B.; Flint, H.J.; Salminen, S.; et al. Expert Consensus Document: The International Scientific Association for Probiotics and Prebiotics Consensus Statement on the scope and appropriate use of the term probiotic. Nat. Rev. Gastroenterol. Hepatol. 2014, 11, 506–514. [Google Scholar] [CrossRef]
- Angelin, J.; Kavitha, M. Exopolysaccharides from probiotic bacteria and their health potential. Int. J. Biol. Macromol. 2020, 162, 853–865. [Google Scholar] [CrossRef]
- Sungur, T.; Aslim, B.; Karaaslan, C.; Aktas, B. Impact of exopolysaccharides (EPSs) of Lactobacillus gasseri strains isolated from human vagina on cervical tumor cells (HeLa). Anaerobe 2017, 47, 137–144. [Google Scholar] [CrossRef]
- Taj, R.; Masud, T.; Sohail, A.; Sammi, S.; Naz, R.; Sharma Khanal, B.K.; Nawaz, M.A. In vitro screening of EPS-producing Streptococcus thermophilus strains for their probiotic potential from Dahi. Food Sci. Nutr. 2022, 10, 2347–2359. [Google Scholar] [CrossRef]
- Ale, E.C.; Rojas, M.F.; Reinheimer, J.A.; Binetti, A.G. Lactobacillus fermentum: Could EPS production ability be responsible for functional properties? Food Microbiol. 2020, 90, 103465. [Google Scholar] [CrossRef]
- Vitlic, A.; Sadiq, S.; Ahmed, H.I.; Ale, E.C.; Binetti, A.G.; Collett, A.; Humpreys, P.N.; Laws, A.P. Isolation and characterization of a high molecular mass β-glucan from Lactobacillus fermentum Lf2 and evaluation of its immunomodulatory activity. Carbohydr. Res. 2019, 476, 44–52. [Google Scholar] [CrossRef]
- Ale, E.C.; Irazoqui, J.M.; Ale, A.; Peralta, G.H.; Puntillo, M.; Burns, P.; Correa Olivar, G.; Cazenave, J.; Bergamini, C.V.; Amadio, A.F.; et al. Protective role of Limosilactobacillus fermentum Lf2 and its exopolysaccharides (EPS) in a TNBS-induced chronic colitis mouse model. Fermentation 2024, 10, 77. [Google Scholar] [CrossRef]
- Bacchetta, C.; Rossi, A.; Ale, A.; Campana, M.; Parma, M.J.; Cazenave, J. Combined toxicological effects of pesticides: A fish multi-biomarker approach. Ecol. Indic. 2014, 36, 532–538. [Google Scholar] [CrossRef]
- Misra, H.P.; Fridovich, I. The role of superoxide anion in the autoxidation of epinephrine and a simple assay for superoxide dismutase. J. Biol. Chem. 1972, 247, 3170–3175. [Google Scholar] [CrossRef] [PubMed]
- Beutler, E. Catalase. In Red Cell Metabolism, a Manual of Biochemical Methods; Beutler, E., Ed.; Grune and Stratton Inc.: New York, NY, USA, 1982; pp. 105–106. [Google Scholar]
- Habig, W.H.; Pabst, M.J.; Jakoby, W.B. Glutathione S-Transferases. The first enzymatic step in mercapturic acid formation. J. Biol. Chem. 1974, 249, 7130–7139. [Google Scholar] [CrossRef]
- Yagi, K. A simple fluorometric assay for lipoperoxide in blood plasma. Biochem. Med. 1976, 15, 212–216. [Google Scholar] [CrossRef]
- Bradford, M. A rapid and sensitive method for the quantitation of microgram quantities of protein utilizing the principle of protein-dye binding. Anal. Biochem. 1976, 72, 248–254. [Google Scholar] [CrossRef]
- Bolyen, E.; Rideout, J.R.; Dillon, M.R.; Bokulich, N.A.; Abnet, C.C.; Al-Ghalith, G.A.; Alexander, H.; Alm, E.J.; Arumugam, M.; Asnicar, F.; et al. Reproducible, interactive, scalable and extensible microbiome data science using QIIME 2. Nat. Biotechnol. 2019, 37, 852–857. [Google Scholar] [CrossRef]
- Callahan, B.J.; McMurdie, P.J.; Rosen, M.J.; Han, A.W.; Johnson, A.J.A.; Holmes, S.P. DADA2: High-resolution sample inference from Illumina amplicon data. Nat. Methods 2016, 13, 581–583. [Google Scholar] [CrossRef]
- Quast, C.; Pruesse, E.; Yilmaz, P.; Gerken, J.; Schweer, T.; Yarza, P.; Peplies, J.; Glöckner, F.O. The SILVA Ri-bosomal RNA Gene Database Project: Improved data processing and web-based tools. Nucleic Acids Res. 2012, 41, D590–D596. [Google Scholar] [CrossRef]
- Kim, H.; Lee, Y.-S.; Yu, H.-Y.; Kwon, M.; Kim, K.-K.; In, G.; Hong, S.-K.; Kim, S.-K. Anti-Inflammatory effects of Limosilactobacillus fermentum KGC1601 isolated from Panax ginseng and its probiotic characteristics. Foods 2022, 11, 1707. [Google Scholar] [CrossRef]
- Bhawal, S.; Kumari, A.; Kapila, S.; Kapila, R. Physicochemical characteristics of novel cell-bound exopolysaccharide from probiotic Limosilactobacillus fermentum (MTCC 5898) and its relation to antioxidative activity. J. Agric. Food Chem. 2021, 69, 10338–10349. [Google Scholar] [CrossRef]
- Ayyanna, R.; Ankaiah, D.; Arul, V. Anti-inflammatory and antioxidant properties of probiotic bacterium Lactobacillus mucosae AN1 and Lactobacillus fermentum SNR1 in Wistar albino rats. Front Microbiol. 2018, 9, 3063. [Google Scholar] [CrossRef] [PubMed]
- Salazar, N.; González, S.; de los Reyes Gavilan, C.G.; Rios-Covian, D. Branched short-chain fatty acids as biological indicators of microbiota health and links with anthropometry. In Biomarkers in Nutrition. Biomarkers in Disease: Methods, Discoveries and Applications; Patel, V.B., Preedy, V.R., Eds.; Springer: Cham, Switzerland, 2022; pp. 1–17. [Google Scholar] [CrossRef]
- Markowiak-Kopeć, P.; Śliżewska, K. The effect of probiotics on the production of short-chain fatty acids by human intestinal microbiome. Nutrients 2020, 12, 1107. [Google Scholar] [CrossRef] [PubMed]
- de Luna Freire, M.O.; do Nascimento, L.C.P.; de Oliveira, K.Á.R.; de Oliveira, A.M.; dos Santos Lima, M.; Napoleão, T.H.; da Costa Silva, J.H.; Lagranha, C.J.; de Souza, E.L.; de Brito Alves, J.L. Limosilactobacillus fermentum strains with claimed probiotic properties exert anti-oxidant and anti-inflammatory properties and prevent cardiometabolic disorder in female rats fed a high-fat diet. Probiotics Antimicrob. Proteins 2023, 15, 601–613. [Google Scholar] [CrossRef]
- Zhu, Y.; Zhou, J.-M.; Liu, W.; Pi, X.; Zhou, Q.; Li, P.; Zhou, T.; Gu, Q. Effects of exopolysaccharide from Lactobacillus rhamnosus on human gut microbiota in in vitro fermentation model. LWT 2021, 139, 110524. [Google Scholar] [CrossRef]
- Lan, D.; Xiong, J.-K.; Zhang, C.; Zhang, X. Association between gut microbiota and leukemia: A bidirectional multivariable mendelian randomization study. Blood 2023, 142, 7244. [Google Scholar] [CrossRef]
- Sun, T.; Liu, J.; An, Z. Exploring the correlation between gut microbiota and benign gastric tumors: A mendelian randomization study. Medicine 2024, 103, e39247. [Google Scholar] [CrossRef]
- Lu, Y.; Fan, C.; Li, P.; Lu, Y.; Chang, X.; Qi, K. Short chain fatty acids prevent high-fat-diet-induced obesity in mice by regulating G protein-coupled receptors and gut microbiota. Sci. Rep. 2016, 6, 37589. [Google Scholar] [CrossRef]
- Tavella, T.; Rampelli, S.; Guidarelli, G.; Bazzocchi, A.; Gasperini, C.; Pujos-Guillot, E.; Comte, B.; Barone, M.; Biagi, E.; Candela, M.; et al. Elevated gut microbiome abundance of Christensenellaceae, Porphyromonadaceae and Rikenellaceae is associated with reduced visceral adipose tissue and healthier metabolic profile in Italian elderly. Gut Microbes 2021, 13, 1880221. [Google Scholar] [CrossRef]
- Oki, K.; Toyama, M.; Banno, T.; Chonan, O.; Benno, Y.; Watanabe, K. Comprehensive analysis of the fecal microbiota of healthy Japanese adults reveals a new bacterial lineage associated with a phenotype characterized by a high frequency of bowel movements and a lean body type. BMC Microbiol. 2016, 16, 284. [Google Scholar] [CrossRef]
- Zhao, Y.; Yan, Y.; Zhou, W.; Chen, D.; Huang, K.; Yu, S.; Mi, J.; Lu, L.; Zeng, X.; Cao, Y. Effects of polysaccharides from bee collected pollen of Chinese wolfberry on immune response and gut microbiota composition in cyclophosphamide-treated mice. J. Funct. Foods 2020, 72, 104057. [Google Scholar] [CrossRef]
- Chen, Y.-F.; Hsieh, A.-H.; Wang, L.-C.; Huang, Y.-J.; Tsai, Y.-C.; Tseng, W.-Y.; Kuo, Y.-L.; Luo, S.-F.; Yu, K.-H.; Kuo, C.-F. Fecal microbiota changes in NZB/W F1 mice after induction of lupus disease. Sci. Rep. 2021, 11, 22953. [Google Scholar] [CrossRef] [PubMed]
- Katkowska, M.; Garbacz, K.; Kusiak, A. Probiotics: Should all patients take them? Microorganisms 2021, 9, 2620. [Google Scholar] [CrossRef] [PubMed]
- Jurášková, D.; Ribeiro, S.C.; Silva, C.C.G. Exopolysaccharides produced by lactic acid bacteria: From bio-synthesis to health-promoting properties. Foods 2022, 11, 156. [Google Scholar] [CrossRef] [PubMed]
- Moradi, M.; Kousheh, S.A.; Almasi, H.; Alizadeh, A.; Guimarães, J.T.; Yılmaz, N.; Lotfi, A. Postbiotics produced by lactic acid bacteria: The next frontier in food safety. Compr. Rev. Food Sci. Food Saf. 2020, 19, 3390–3415. [Google Scholar] [CrossRef]
), IL-2 (
), IL-10 (
), IL-12 (
), and TNF-α (
); (b) concentrations of cytokines in the small intestine: IFN-γ (
), IL-6 (
), TNF-α (
), and IL-2 (
); (c) concentrations of cytokines (pg g−1) and IgA (µg mL−1) in the small intestine: IL-12 (
), IL-10 (
), and IgA (
). C: control group; E: mice that received purified EPS from Lf2; L: mice that received Lf2. Results are expressed as ± SEM. Different letters represent significant differences (p < 0.05) between treatments, and only significant differences are indicated.
), IL-2 (
), IL-10 (
), IL-12 (
), and TNF-α (
); (b) concentrations of cytokines in the small intestine: IFN-γ (
), IL-6 (
), TNF-α (
), and IL-2 (
); (c) concentrations of cytokines (pg g−1) and IgA (µg mL−1) in the small intestine: IL-12 (
), IL-10 (
), and IgA (
). C: control group; E: mice that received purified EPS from Lf2; L: mice that received Lf2. Results are expressed as ± SEM. Different letters represent significant differences (p < 0.05) between treatments, and only significant differences are indicated.
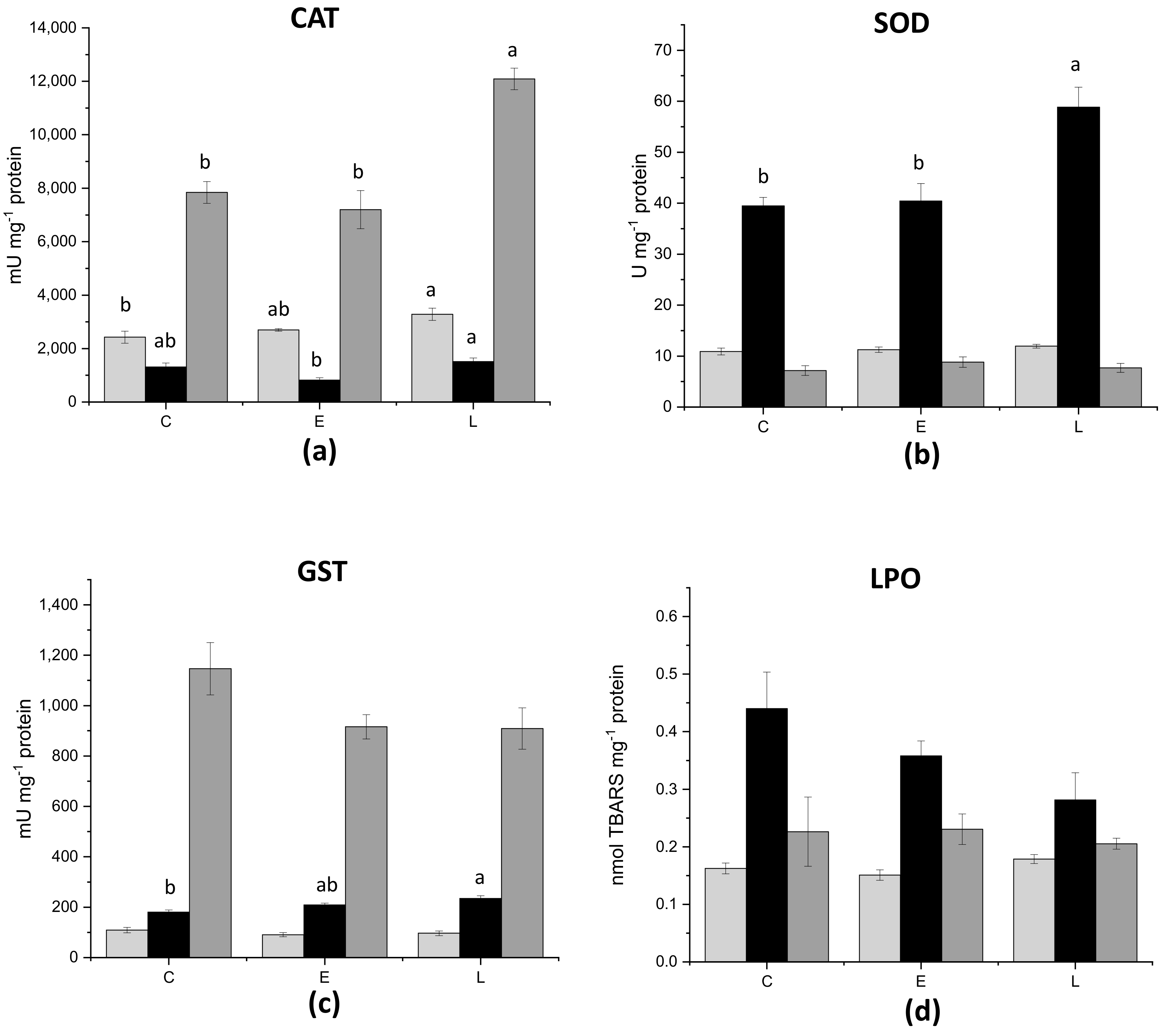
), large intestine (
), and small intestine (
). (a) CAT; (b) SOD; (c) GST; (d) LPO. C: control group; E: mice that received purified EPS from Lf2; L: mice that received Lf2. Results are expressed as ± SEM. Different letters represent significant differences (p < 0.05) between treatments, and only significant differences are indicated.
), large intestine (
), and small intestine (
). (a) CAT; (b) SOD; (c) GST; (d) LPO. C: control group; E: mice that received purified EPS from Lf2; L: mice that received Lf2. Results are expressed as ± SEM. Different letters represent significant differences (p < 0.05) between treatments, and only significant differences are indicated.
), propionic acid (
), butyric acid (
), and lactic acid (
). C: control group; E: mice that received purified EPS from Lf2; L: mice that received Lf2. Results are expressed as ± SEM. Different letters represent significant differences (p < 0.05) between treatments, and only significant differences are indicated.
), propionic acid (
), butyric acid (
), and lactic acid (
). C: control group; E: mice that received purified EPS from Lf2; L: mice that received Lf2. Results are expressed as ± SEM. Different letters represent significant differences (p < 0.05) between treatments, and only significant differences are indicated.


| Taxa | C | E | L | p-Value |
|---|---|---|---|---|
| Bacteria_Firmicutes_Clostridia_Peptococcales_Peptococcaceae | 0 b | 10 a | 19.5 a | 0.0155 |
| Bacteria_Bacteroidota_Bacteroidia_Bacteroidales_Rikenellaceae | 114.5 b | 94 b | 193.5 a | 0.0231 |
| Bacteria_Patescibacteria_Saccharimonadia_Saccharimonadales_Saccharimonadaceae | 90 a,b | 16 b | 134 a | 0.0349 |
Disclaimer/Publisher’s Note: The statements, opinions and data contained in all publications are solely those of the individual author(s) and contributor(s) and not of MDPI and/or the editor(s). MDPI and/or the editor(s) disclaim responsibility for any injury to people or property resulting from any ideas, methods, instructions or products referred to in the content. |
© 2025 by the authors. Licensee MDPI, Basel, Switzerland. This article is an open access article distributed under the terms and conditions of the Creative Commons Attribution (CC BY) license (https://creativecommons.org/licenses/by/4.0/).
Share and Cite
Ale, E.C.; Ale, A.; Peralta, G.H.; Irazoqui, J.M.; Olivar, G.C.; Roldán, V.A.; Vinderola, G.; Amadio, A.F.; Bergamini, C.V.; Cazenave, J.; et al. Elucidating the Connection Between the Health-Promoting Properties of Limosilactobacillus fermentum Lf2 and Its Exopolysaccharides. Fermentation 2025, 11, 69. https://doi.org/10.3390/fermentation11020069
Ale EC, Ale A, Peralta GH, Irazoqui JM, Olivar GC, Roldán VA, Vinderola G, Amadio AF, Bergamini CV, Cazenave J, et al. Elucidating the Connection Between the Health-Promoting Properties of Limosilactobacillus fermentum Lf2 and Its Exopolysaccharides. Fermentation. 2025; 11(2):69. https://doi.org/10.3390/fermentation11020069
Chicago/Turabian StyleAle, Elisa C., Analía Ale, Guillermo H. Peralta, José M. Irazoqui, Gabriela Correa Olivar, Victoria Allende Roldán, Gabriel Vinderola, Ariel F. Amadio, Carina V. Bergamini, Jimena Cazenave, and et al. 2025. "Elucidating the Connection Between the Health-Promoting Properties of Limosilactobacillus fermentum Lf2 and Its Exopolysaccharides" Fermentation 11, no. 2: 69. https://doi.org/10.3390/fermentation11020069
APA StyleAle, E. C., Ale, A., Peralta, G. H., Irazoqui, J. M., Olivar, G. C., Roldán, V. A., Vinderola, G., Amadio, A. F., Bergamini, C. V., Cazenave, J., & Binetti, A. G. (2025). Elucidating the Connection Between the Health-Promoting Properties of Limosilactobacillus fermentum Lf2 and Its Exopolysaccharides. Fermentation, 11(2), 69. https://doi.org/10.3390/fermentation11020069

