Next Article in Journal
A Digital Approach to Model Quality and Sensory Traits of Beers Fermented under Sonication Based on Chemical Fingerprinting
Next Article in Special Issue
By-Products in the Malting and Brewing Industries—Re-Usage Possibilities
Previous Article in Journal
Antioxidant Content of Aronia Infused Beer
Previous Article in Special Issue
Evaluation of Media Components and Process Parameters in a Sensitive and Robust Fed-Batch Syngas Fermentation System with Clostridium ljungdahlii
 
 
Font Type:
Arial Georgia Verdana
Font Size:
Aa Aa Aa
Line Spacing:
Column Width:
Background:
Article

Combining Xylose Reductase from Spathaspora arborariae with Xylitol Dehydrogenase from Spathaspora passalidarum to Promote Xylose Consumption and Fermentation into Xylitol by Saccharomyces cerevisiae

1
Departamento de Bioquímica, Centro de Ciências Biológicas, Universidade Federal de Santa Catarina, Florianópolis, Santa Catarina 88040-900, Brazil
2
Departamento de Bioquímica, Instituto de Química, Universidade Federal do Rio de Janeiro, Rio de Janeiro 21941-909, Brazil
3
Departamento de Microbiologia, Universidade Federal de Minas Gerais, Belo Horizonte, Minas Gerais 31270-901, Brazil
4
Laboratório Nacional de Energia e Geologia, I.P., Unidade de Bioenergia, 1649-038 Lisboa, Portugal
5
Department of Chemistry and Bioscience, Section for Sustainable Biotechnology, Aalborg University, 2450 Copenhagen, Denmark
*
Author to whom correspondence should be addressed.
Fermentation 2020, 6(3), 72; https://doi.org/10.3390/fermentation6030072
Submission received: 18 June 2020 / Revised: 10 July 2020 / Accepted: 15 July 2020 / Published: 21 July 2020

Abstract

In recent years, many novel xylose-fermenting yeasts belonging to the new genus Spathaspora have been isolated from the gut of wood-feeding insects and/or wood-decaying substrates. We have cloned and expressed, in Saccharomyces cerevisiae, a Spathaspora arborariae xylose reductase gene (SaXYL1) that accepts both NADH and NADPH as co-substrates, as well as a Spathaspora passalidarum NADPH-dependent xylose reductase (SpXYL1.1 gene) and the SpXYL2.2 gene encoding for a NAD+-dependent xylitol dehydrogenase. These enzymes were co-expressed in a S. cerevisiae strain over-expressing the native XKS1 gene encoding xylulokinase, as well as being deleted in the alkaline phosphatase encoded by the PHO13 gene. The S. cerevisiae strains expressing the Spathaspora enzymes consumed xylose, and xylitol was the major fermentation product. Higher specific growth rates, xylose consumption and xylitol volumetric productivities were obtained by the co-expression of the SaXYL1 and SpXYL2.2 genes, when compared with the co-expression of the NADPH-dependent SpXYL1.1 xylose reductase. During glucose-xylose co-fermentation by the strain with co-expression of the SaXYL1 and SpXYL2.2 genes, both ethanol and xylitol were produced efficiently. Our results open up the possibility of using the advantageous Saccharomyces yeasts for xylitol production, a commodity with wide commercial applications in pharmaceuticals, nutraceuticals, food and beverage industries.

1. Introduction

Industrial biotechnology will play an increasing role in creating a more sustainable global economy. Lignocellulosic biomass, an abundant and renewable feedstock, is an attractive raw material for fuels and chemicals production, since it does not compete with food and feed production [1,2]. The major sugars from the hydrolysis of these feedstocks (e.g., sugarcane bagasse, corn stover, grasses, etc.) are the hexose d-glucose and the pentose d-xylose. To develop an economically feasible industrial process, it is necessary to efficiently consume and metabolize both sugars [3,4], in a scenario where xylose is not as readily consumed as glucose by the Saccharomyces yeasts [5]. The efficient consumption of pentose sugars is, therefore, important in the overall bioconversion of plant biomass for the production of liquid fuels and chemicals. While several yeast species have been shown to be able to consume this sugar (including recombinant S. cerevisiae strains), the efficiency and rates of xylose utilization are slow and/or inefficient, challenging the industrial production of lignocellulosic valuable chemical compounds [6]. Therefore, there is still a need for the development of new yeasts capable of efficient xylose consumption for fuels and chemicals production.
The discovery of xylose-fermenting yeasts in the early 1980s [7,8] was considered a milestone, with numerous xylose-fermenting yeasts been reported, and some even improved, over the following years [9]. While most bacteria and some fungi convert, directly, xylose into xylulose through a xylose isomerase, in the case of the yeasts known as being capable of xylose utilization, its metabolism occurs via a xylose reductase and xylitol dehydrogenase [10], followed by a xylulokinase that channels xylulose into the pentose-phosphate pathway [5]. While the xylose reductase/xylitol dehydrogenase pathway may present unbalanced co-substrate requirements for these two enzymes, and thus xylitol accumulation and secretion, it is more thermodynamically advantageous than the xylose isomerase pathway, allowing faster xylose assimilation by engineered yeast strains [11,12]. Therefore, xylose-consuming yeast species could be used directly for fuels and chemicals production, or may be a source of genes, enzymes and/or sugar transporters to engineer industrial S. cerevisiae strains for improved chemicals production from renewable biomass [13,14].
Recently, a new genus of yeasts (Spathaspora) that consume and ferment xylose to various degrees have been isolated from the gut of wood-feeding insects and/or wood-decaying substrates, with a characteristic single elongate ascospore with curved ends [15,16,17]. An analysis of the activities of the two key enzymes involved in the initial steps of xylose metabolism (xylose reductase and xylitol dehydrogenase), revealed that the majority of Spathaspora species analyzed (a total of nine) had high xylose reductase activity, mostly NADPH-dependent, with the exception of three species: Sp. arborariae, Sp. gorwiae, and Sp. passalidarum [16,18,19] that clearly accepted both co-substrates (NADPH and NADH) for xylose reduction, a key factor for efficient consumption and fermentation of this sugar by yeasts [20].
The known genome of Sp. passalidarum [21] has two genes encoding xylose reductases, SpXYL1.1 and SpXYL1.2, and recent data show that the SpXYL1.2 gene encodes for a xylose reductase with higher activity with NADH, allowing efficient anaerobic xylose consumption and fermentation by recombinant S. cerevisiae strains [19,22]. Regarding xylitol dehydrogenase activity, all the Spathaspora yeasts analyzed showed a NAD+-dependent activity, and, again, the Sp. passalidarum strains stand out with the highest xylitol dehydrogenase activity [16,19]. The genome of Sp. passalidarum also contains two genes encoding xylitol dehydrogenases (SpXYL2.1 and SpXYL2.2), and one of them (SpXYL1.1) has already been cloned and expressed in S. cerevisiae [23]. Considering that Spathaspora species may constitute a suitable platform for new genes encoding enzymes involved in xylose consumption to engineer industrial S. cerevisiae yeasts [24], in the present work, we extended our knowledge regarding the Spathaspora xylose-utilizing enzymes by cloning and expressing in S. cerevisiae the Sp. arborariae SaXYL1 xylose reductase that accepts both NADH and NADPH as cofactors, as well as the Sp. passalidarum SpXYL1.1 gene encoding for a NADPH-dependent xylose reductase, and the other SpXYL2.2 gene encoding for a highly-active xylitol dehydrogenase. Regardless of which gene for xylose reductase and xylitol dehydrogenase were combined, the main product of xylose consumption by the recombinant S. cerevisiae yeasts was xylitol, a polyol of significant interest in odontological, pharmaceutical and food industries [25,26].

2. Materials and Methods

2.1. Strains, Media and Growth Conditions

The yeast strains used in this study are listed in Table 1. Escherichia coli strain DH5α was used for cloning, and was grown in Luria broth (1% tryptone, 0.5% yeast extract, 0.5% sodium chloride) supplemented with ampicillin (100 mg/L). Yeasts were grown on rich YP medium (1% yeast extract, 2% Bacto peptone) or synthetic complete (YNB) medium (0.67% yeast nitrogen base without amino acids, supplemented with adequate auxotrophic requirements), containing 2% glucose or xylose. The pH of the medium was adjusted to pH 5.0 with HCl. When required, 2% Bacto agar, 200 mg/L geneticin sulfate (G-418, Sigma-Aldrich Brasil Ltda., São Paulo, SP, Brazil) or 0.5 g/L zeocin (Invivogen, San Diego, CA, USA) were added to the medium. Cells were grown aerobically at 28 °C with shaking (160 rpm) in cotton plugged Erlenmeyer flasks filled to 1/5 of the volume with medium. Cellular growth was followed by turbidity measurements at 600 nm (OD600 nm), and culture samples were harvested regularly, centrifuged (5000× g, 1 min), and their supernatants used for the determination of substrates and fermentation products, as described below. The maximum specific growth rate (μmax, h−1) was determined by the slope of a straight line between ln OD600nm and time (h) during the initial (~48 h) exponential phase of growth on xylose.
For batch fermentations, cells were pre-grown in synthetic complete YNB medium containing 2% glucose for 20 h at 28 °C, the cells were collected by centrifugation at 6000× g for 5 min at 4 °C and washed twice with sterile water, and inoculated at a high cell density (10.0 ± 0.5 g of dry yeast/L), into 25 mL of synthetic YNB medium containing 2% xylose. Batch fermentations were performed at 30 °C in closed 50 mL bottles with a magnetic stir bar, to allow mild agitation (100 rpm). Samples were collected regularly and processed, as described above.

2.2. Molecular Biology Techniques

Standard methods for bacterial transformation, DNA manipulation and analysis were employed [32]. Yeast transformation was performed by the lithium acetate method [33]. To over-express the XKS1 gene encoding xylulokinase in S. cerevisiae CEN.PK2-1C, the promoter region of this gene was modified according to the polymerase chain reaction (PCR)-based gene replacement procedure, as described previously [29]. Briefly, the kanMX-PADH1 module from plasmid pFA6a-kanMX6-PADH1 (Table 1) was amplified with primers XKS1-Kanr-F and XKS1-PADH1-R (Table 1), and the resulting PCR product of 2394 bp (flanked by ~40 bp of homology to the promoter and start regions of the XKS1 gene) containing the truncated and constitutive promoter of the ADH1 gene was used to transform competent yeast cells. After 2 h cultivation on YP-2% glucose, the transformed cells were plated on the same medium containing G-418 and incubated at 28 °C. G-418-resistant isolates were tested for proper genomic integration of the kanMX-PADH1 cassette at the XKS1 locus by diagnostic colony PCR using 3 primers (V-XKS1-F, V-XKS1-R and V-kanr-F; Table 1). This set of 3 primers amplified a 1557-bp fragment (primers V-XKS1-F and V-XKS1-R) from a normal XKS1 locus, or yielded a 3871-bp fragment (primers V-XKS1-F and V-XKS1-R) and a 2889–bp fragment (primers V-kanr-F and V-XKS1-R) if the kanMX-PADH1 module was correctly integrated at the promoter region of the XKS1 gene, producing strain ASY-1 (KanMX-PADH1::XKS1, Table 1).
We further improved the capacity of xylose utilization in this strain by deleting the PHO13 gene of S. cerevisiae, a gene encoding for an alkaline phosphatase known to suppress xylose utilization by recombinant yeast strains [34,35,36]. Briefly, the LoxP-BleR-LoxP knockout cassette from plasmid pUG66 (Table 1) was amplified with primers DE-PHO13-F and DE-PHO13-R (Table 1), and the resulting PCR product of 1265-bp (flanked by ~40 bp of homology to the upstream and downstream regions of the PHO13 locus) containing the BleR gene was used to transform ASY-1 competent yeast cells. After 2-h cultivation on YP-2% glucose, the transformed cells were plated on the same medium containing zeocin and incubated at 28 °C. Zeocin-resistant isolates were tested for proper genomic integration of the LoxP-BleR-LoxP cassette at the PHO13 locus by diagnostic colony PCR using 3 primers (V-PHO13-F, V-PHO13-R and V-Bler-F; Table 1). This set of 3 primers amplified a 1654-bp fragment (primers V-PHO13-F and V-PHO13-R) from a normal PHO13 locus, or yielded a 1900-bp fragment (primers V-PHO13-F and V-PHO13-R) and a 965–bp fragment (primers V-Bler-F and V-PHO13-R) if the LoxP-BleR-LoxP module replaced and deleted the PHO13 gene, producing strain ASY-2 (KanMX-PADH1::XKS1 and pho13Δ::LoxP-BleR-LoxP, Table 1).
Based on the genome sequence of Sp. arborariae [37] and Sp. passalidarum [21], primers were designed (Table 1) to amplify the xylose reductase encoded by the SaXYL1 or SpXYL1.1 genes, and the xylitol dehydrogenase encoded by the SpXYL2.2 gene, introducing restriction sites for cloning into multicopy shuttle vectors containing strong and constitutive promoters and terminators (pPGK, p423-TEF and p423-GPD, Table 1), as well as the URA3 or HIS3 genes used as selective markers. The genomic DNA from the Sp. passalidarum and Sp. arborariae strains was purified using a YeaStar Genomic DNA KitTM (Zymo Research, Irvine, CA, USA). The amplified DNA fragments, originally cloned into the pPGK plasmid, had their 5′ and 3′ ends sequenced (ACTGene Analíses Moleculares Ltda., Alvorada, RS, Brazil) using primers Prom_PGK_54_F and Ter_PGK_65_R (Table 1) to confirm the identity of the cloned genes.

2.3. Enzyme Assays

Cell-free extracts for assays of xylose metabolizing enzymes were prepared with the yeast protein extraction reagent Y-PER (Pierce, Rockford, IL, USA) after cultivation yeast cells on YP-2% xylose, or 2% glucose (for S. cerevisiae strains over-expressing the cloned genes). Protein concentrations in the cell-free extracts were determined with the Micro-BCA kit (Pierce, Thermo Fisher Scientific Inc., Sinapse Biotecnologia, São Paulo, SP, Brazil), using a Biowave II spectrophotometer (Biochrome WPA, Cambridge, UK). Xylose reductase activity was measured by monitoring the oxidation of NADH or NADPH at 340 nm [10,38] at 30 °C in 45.5 mM potassium phosphate buffer (pH 6.0), using 0.15 mM NADH or NADPH and 200 mM xylose as substrate. The kinetic parameters of xylose reductase for each substrate was determined using 1–400 µM NADH or NADPH, or 0.5–600 mM xylose, under the conditions described above. Xylitol dehydrogenase activity was measured by monitoring the reduction of NAD+ or NADP+ at 340 nm [10,38] at 35 °C in 50 mM Tris–HCl buffer (pH 9.0) containing 50 mM MgCl2, 300 mM xylitol, and 1 mM NAD+ or NADP+. The kinetic parameters of xylitol dehydrogenase for each substrate was determined using 1–4000 µM NAD+, or 0.1–500 mM xylitol, under the same conditions. The xylulokinase activity was determined by a coupled assay to measure ADP production as previously described [39] in 0.2 M Tris–HCl buffer (pH 7.0) containing 2.3 mM MgCl2, 10 mM NaF, 2.5 mM ATP, 0.25 mM phosphoenolpyruvate, 3.5 mM reduced glutathione, 10 U of pyruvate kinase, 15 U of lactate dehydrogenase, 0.2 mM NADH, and 4.25 mM xylulose. One unit of enzyme activity was defined as the amount of enzyme that reduced or oxidized 1 μmol of NAD(P)+ or NAD(P)H per minute. These enzymatic activities were determined using a Cary 60 UV-VIS spectrophotometer (Agilent Technologies, Santa Clara, CA, USA). The kinetic parameters (Km and Vmax) of the cloned xylose reductases and xylitol dehydrogenase enzymes expressed in S. cerevisiae were determined by fitting the experimental data to the Michaelis-Menten equation, using SigmaPlot v. 11.0 (Systat Software Inc., San Jose, CA, USA).

2.4. Analytical Methods

Xylose, ethanol, xylitol, glycerol, and acetate were determined by high performance liquid chromatography (HPLC), equipped with a refractive index detector (RI-2031Plus; JASCO, Tokyo, Japan) using an Aminex HPX-87H column (Bio-Rad Laboratories, Hercules, CA, USA). The HPLC apparatus was operated at 40 °C using 5 mM H2SO4 as the mobile phase at a flow rate of 0.1 mL/min and 0.01 mL injection volume. The following calculations were considered: products yield (Yp/s, g/g) were determined by correlating ΔP produced (xylitol, ethanol, glycerol or acetate) with ΔS consumed (xylose or glucose) at time of maximal substrate consumption. The xylitol volumetric productivity (Qp, g/L/h) was determined by the slope of a straight line between xylitol concentration (g/L) and time (h) during maximum xylitol production.

3. Results and Discussion

Our analysis for xylose reductase in Sp. arborariae UFMG-HM19.1AT showed activity with both co-substrates (NADH and NADPH); nevertheless, the NADH-dependent activity was ~25% of that observed with NADPH. The NAD+-dependent xylitol dehydrogenase, however, was not active in the presence of NADP+ (Table 2). Similarly, the Sp. passalidarum strain UFMG-CM-Y474 showed xylose reductase activity with both NADH and NADPH, and the highest xylitol dehydrogenase (NAD+-dependent) activity (~1.3 U/[mg protein], Table 2) among all the Spathaspora yeasts analyzed (data not shown). Based on the Sp. passalidarum and Sp. arborariae genome sequences [21,37], we designed primers to amplify the SaXYL1 and SpXYL1.1 genes (both open reading frames -ORFs- with 957 nucleotides, encoding for proteins of 318 amino acids), and the SpXYL2.2 gene (an ORF with 1089 nucleotides, encoding for a protein of 362 amino acids), and cloned these three genes into the pPGK multicopy plasmid for expression in the S. cerevisiae CEN.PK2-1C yeast strain.
As shown in Table 3, these genes were functional in S. cerevisiae, with a xylose reductase activity encoded by the SaXYL1 gene that accepts both co-substrates, with a NADH-dependent activity that is ~30% the activity measured with NADPH, while the xylose reductase encoded by the SpXYL1.1 gene accepted only NADPH as co-substrate. The determination of the kinetic parameters of the SaXYL1 enzyme cloned in S. cerevisiae (Table 4) revealed an enzyme with high-affinity for both NADH and NADPH, as described also for Sp. passalidarum [18], but with a maximal capacity (Vmax) with NADH, which is ~35–40% the Vmax determined with NADPH. Indeed, this gene is closely related to other known yeast xylose reductases that accept both co-substrates (NADH and NADPH) from Candida tropicalis [40], C. parapsilosis [41], C. intermedia [42], and Scheffersomyces stipitis [43]. It is worth noting that the predicted (but not functionally characterized) xylose reductase from Sp. roraimanenses (a species with strictly NADPH-dependent xylose reductase activity, see [19]) is 98% identical to the enzyme (encoded by SaXYL1) cloned from Sp. arborariae, differing in only two amino acids: an aspartate (D29) in Sp. roraimanenses xylose reductase is substituted by a glutamate (E29) in SaXYL1, and the amino acid arginine (R60) from the Sp. roraimanenses enzyme is replaced by a lysine (K60) in SaXYL1. Further work would be required to verify if these two amino acid substitutions are indeed responsible for the NADH-dependent xylose reductase activity of SaXYL1. The cloned SpXYL1.1 xylose reductase, a gene with 93% identity with SaXYL1, is a NADPH-dependent enzyme with affinities for NADPH and xylose similar to the enzyme cloned from Sp. arborariae (Table 4), but with much higher maximal capacity (Vmax = ~4.5 U/[mg protein]) than the cloned SaXYL1 enzyme. Thus, this enzyme is similar to other NADPH-dependent xylose reductases from Pachysolen tannophilus [44] and Debaryomyces nepalensis [45].
Regarding the SpXYL2.2 gene (Table 3), it also encodes for a functional and highly active (2.2 U/[mg protein]) xylitol dehydrogenase when expressed in S. cerevisiae, but showing relatively low affinity (Table 4) for both substrates (NAD+ and xylitol), when compared with Sp. passalidarum cells [18]. Unfortunately, we do not have any kinetic parameters of the SpXYL2.1 enzyme cloned in S. cerevisiae by Mamoori and co-workers [23]. Nevertheless, the enzyme encoded by SpXYL2.2 is similar to xylitol dehydrogenases cloned and characterized from other yeasts [46,47].
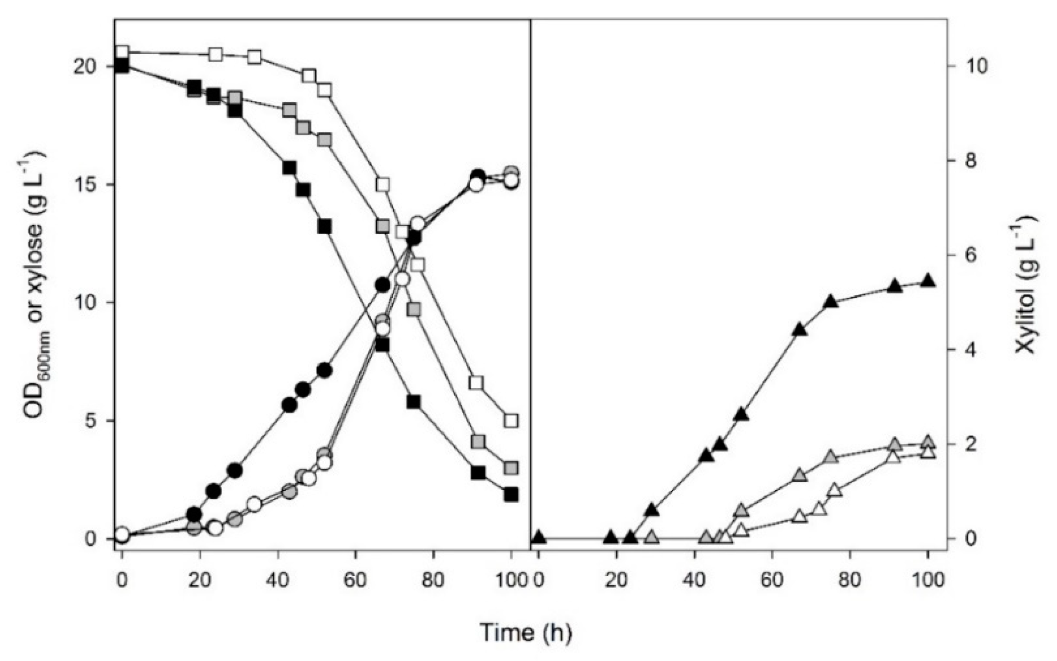
We next tested the functionality of these enzymes by their co-expression in S. cerevisiae. For the first approach, we expressed the SaXYL1 or SpXYL1.1 genes from plasmid pPGK (with URA3 as the selectable marker) and the SpXYL2.2 gene in plasmid p423-TEF (with HIS3 as the selectable marker) in the strain CEN.PK2-1C. Although the activities were expressed as expected in the yeast strain (see Table 3, Table 4 and Table 5), these cells were unable to grow or consume xylose from the medium (data not shown). To allow growth on xylose, the xylulokinase gene (XKS1) gene from S. cerevisiae was over-expressed to increase the flux of carbon into the pentose-phosphate pathway. While the CEN.PK2-1C strain showed a xylulokinase activity of 0.04 ± 0.01 U/[mg protein], the engineered PADH1::XKS1 strain ASY-1 (Table 1) showed a ~4-fold increase in xylulokinase activity (0.15 ± 0.04 U/[mg protein]). As such, it was observed growth and xylose consumption when the S. cerevisiae ASY-1 strain was transformed with either the pPGK-SpXYL1.1 and pTEF-SpXYL2.2, or the pPGK-SaXYL1 and pTEF-SpXYL2.2 plasmids (Figure 1).
Figure 1 and Table 6 shows that the ASY-1 strain over expressing the SaXYL1 xylose reductase that accepts both co-substrates (NADH and NADPH) consumes more xylose that the same strain over-expressing the NADPH-dependent SpXYL1.1 xylose reductase, although the differences are not statistically significant. For both strains the only product of xylose consumption (besides biomass) was ~2 g/L xylitol, and, while the final yields were similar for both strains, the volumetric xylitol productivity by the strain over-expressing the SaXYL1 xylose reductase was higher than the strain over-expressing the SpXYL1.1 enzyme (Table 6).
In order to improve xylose consumption, we deleted in the ASY-1 strain the PHO13 gene of S. cerevisiae, a gene encoding for an alkaline phosphatase known to suppress xylose utilization by recombinant S. cerevisiae strains [34]. Indeed, it has been recently reported that PHO13 deletion leads to up-regulation of the pentose phosphate genes, including TAL1 (encoding transaldolase) and TKL1 (encoding transketolase), an up-regulation mediated by the transcription factor STB5, enhancing xylose consumption by recombinant S. cerevisiae cells [35,36]. As can be seen in Figure 1, the PADH1:XKS1 plus pho13Δ strain ASY-2 transformed with the same pPGK-SaXYL1 and pTEF-SpXYL2.2 plasmids, which showed improved xylose consumption and significantly higher growth rates on this carbon source, increased the production of xylitol to ~5.5 g/L, and, consequently, significantly higher volumetric productivities (Table 6).
A recent publication [48] also overexpressed the Sp. passalidarum xylose metabolizing enzymes, as well as a Piromyces sp. xylose isomerase, in Aureobasidium pullulans, in order to improve xylose utilization by this yeast-like fungus. The best xylose consumption, and product production (pullulan and melanin), were obtained when the SpXYL1.2 and SpXYL2.2 genes were introduced into A. pullulans, a direct consequence of the higher activities achieved with these xylose reductase and xylitol dehydrogenases enzymes from Sp. passalidarum [48].
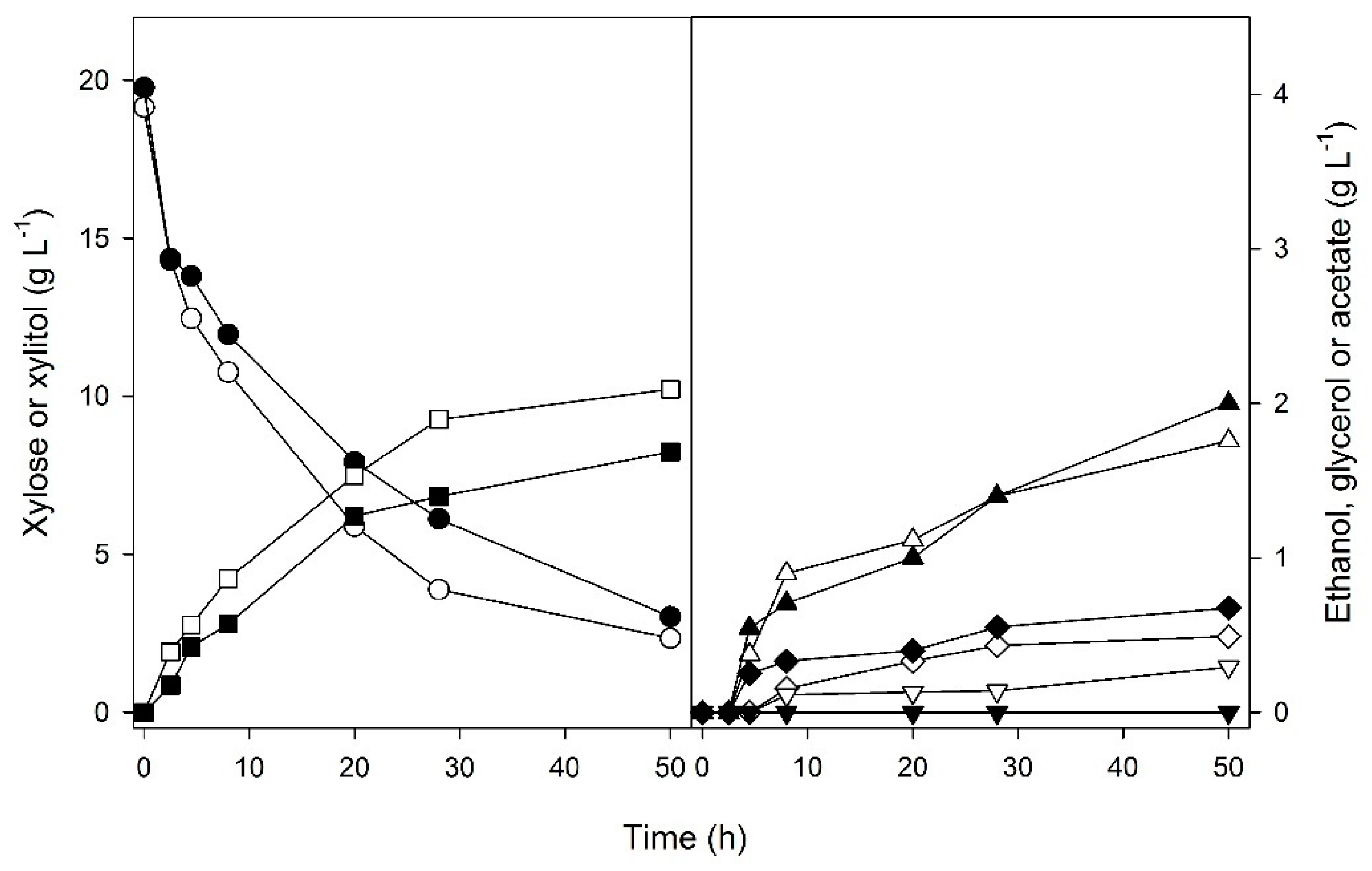
Figure 2 shows the xylose fermentation kinetics during batch fermentations with high cell densities by the ASY-2 strain transformed with the pPGK-SaXYL1 and pTEF-SpXYL2.2 plasmids. Xylitol (~10 g/L) was the main product of xylose fermentation, but some ethanol (<2 g/L), glycerol (<0.5 g/L), and acetate (<0.3 g/L) were also produced (Figure 2 and Table 6). Due to this acetate production, the pH of the medium dropped from an initial pH of 5.0 into pH ~3.5. Considering that xylose was not completely consumed during the batch fermentation, in a further attempt to increase the consumption of xylose, we changed the plasmids/promoters of the two cloned genes to improve their activities. When the ASY-2 strain was transformed with the pGPD-SaXYL1 and pPGK-SpXYL2.2 plasmids, a 2-fold higher xylose reductase activity and a 6-fold higher xylitol dehydrogenase activity were obtained (Table 5). However, xylose consumption was not improved in this new recombinant strain. Although the recombinant strain produced no acetate (and consequently the pH of the medium dropped just to pH 4.5) and less xylitol and ethanol, the production of glycerol was only slightly increased (Figure 2, Table 6), indicating that other factors may limit xylose utilization by our engineered yeast strains. For example, the bottleneck may be a consequence of the relatively low affinity of the cloned SpXYL2.2 xylitol dehydrogenase for both NAD+ and xylitol (Table 4), or the intracellular pools of reduced or oxidized and NADH/NADPH ratio of co-substrates [49,50], or even the low affinity of yeast sugar permeases for xylose transport [5,14,51]. Nevertheless, the ASY-2 strain transformed with the pPGK-SaXYL1 and pTEF-SpXYL2.2 plasmids (Table 6) showed xylitol yields (Yp/s = 0.614 g xylitol/g xylose) and volumetric productivities (Qp = 0.513 g/L/h) as good as or superior to those reported by other naturally xylose fermenting yeasts [52,53,54,55] or even engineered S. cerevisiae strains [38,49,50]. It is important to note that the maximal expected theoretical yield for the biotransformation of xylose into xylitol is 0.905–0.917 g xylitol/g xylose consumed, depending on how the cells will regenerate the NADH/NADPH consumed in the reduction of xylose, and that no carbon is used for cell growth or production of other metabolites [56].
Finally, Figure 3 shows the fermentation kinetics during batch co-fermentations of 2% glucose plus 2% xylose with high cell densities by the ASY-2 strain transformed with the pPGK-SaXYL1 and pTEF-SpXYL2.2 plasmids. As expected for S. cerevisiae, glucose is rapidly consumed in the first 5 h of incubation, while xylose consumption was significantly slower and only 66.45 ± 3.19% of the pentose was consumed after 50 h of incubation. Ethanol (~9.7 g/L, Yp/sethanol = 0.460 ± 0.001 g ethanol/g glucose), glycerol (~2 g/L, Yp/sglycerol = 0.094 ± 0.001 g glycerol/g glucose), and a small amount of acetate (<0.5 g/L, Yp/sacetate = 0.021 ± 0.001 g acetate/g glucose) were produced during glucose consumption, although we cannot rule out the possibility that some of these products could come from the ~3.6 g/L of xylose assimilated during this period of glucose consumption. From xylose consumption, ~8.5 g/L of xylitol (Yp/sxylitol = 0.614 ± 0.030 g xylitol/g xylose) and ~0.8 g/L of acetate (Yp/sacetate = 0.061 ± 0.012 g acetate/g xylose) were produced (Figure 3). While the xylitol yield was similar to the one obtained during batch fermentation of 2% xylose (see Table 6), the acetate produced during the co-fermentation of glucose and xylose also promoted a drop of the pH of the medium to pH ~3.5. Furthermore, we also observed a drop in the volumetric xylitol productivity (Qp = 0.238 ± 0.025 g/L/h) during glucose-xylose co-fermentation, when compared with fermentation of just xylose by these cells (see Table 6). From a biorefinery perspective, higher xylose concentrations (>100 g/L) should be tested, in order to obtain higher xylitol titers (>60 g/L), as these fermented broths containing xylitol need to be clarify, concentrated (>750 g/L), and cooled in order to favor its crystallization, all this downstream processing contributing significantly to the overall costs of the product [57,58]. Thus, further research should improve the fermentative production of this interesting sugar alcohol with wide commercial applications in pharmaceuticals, nutraceuticals, food and beverage industries.

4. Conclusions

In the present work, we cloned and expressed, in S. cerevisiae, the Sp. arborariae xylose reductase (SaXYL1) gene that accepts both NADH and NADPH as cofactors, as well as a Sp. passalidarum NADPH-dependent xylose reductase (SpXYL1.1 gene), and the SpXYL2.2 gene encoding a NAD+-dependent xylitol dehydrogenase. The co-expression of both the SaXYL1 and SpXYL2.2 enzymes in a PADH1:XKS1/pho13Δ S. cerevisiae strain allowed efficient growth and xylose consumption by the cells, producing xylitol as the major fermentation product.

Author Contributions

Conceptualization, C.F. and B.U.S.; investigation, methodology, and formal analysis, A.M., A.A.d.S., D.D.A., G.F.G.; resources, C.A.R., C.F. and B.U.S.; writing—review and editing, C.F. and B.U.S.; project administration and funding acquisition, E.P.S.B., C.F. and B.U.S. All authors have read and agreed to the published version of the manuscript.

Funding

This work was supported in part by grants and fellowships from the Brazilian agencies CNPq (process no 490029/2009-4, 551392/2010-0, 307290/2012-3, 478841/2013-2, 307015/2013-0, 30862/2015-6 and 308389/2019-0), FINEP (process no 01.09.0566.00/1421-08), and CAPES/FCT (process no 359/14).

Conflicts of Interest

The authors declare no conflict of interest. The funders had no role in the design of the study; in the collection, analyses, or interpretation of data; in the writing of the manuscript, or in the decision to publish the results.

References

  1. Hermann, B.G.; Blok, K.; Patel, M.K. Producing bio-based bulk chemicals using industrial biotechnology saves energy and combats climate change. Environ. Sci. Technol. 2007, 41, 7915–7921. [Google Scholar] [CrossRef]
  2. Uihlein, A.; Schebek, L. Environmental impacts of a lignocellulose feedstock biorefinery system: An assessment. Biomass Bioenergy 2009, 33, 793–802. [Google Scholar] [CrossRef]
  3. Stambuk, B.U.; Eleutherio, E.C.A.; Florez-Pardo, L.M.; Souto-Maior, A.M.; Bon, E.P.S. Brazilian potential for biomass ethanol: Challenge of using hexose and pentose cofermenting yeast strains. J. Sci. Ind. Res. 2008, 67, 918–926. [Google Scholar]
  4. Zhang, G.C.; Liu, J.J.; Kong, I.I.; Kwak, S.; Jin, Y.S. Combining C6 and C5 sugar metabolism for enhancing microbial bioconversion. Curr. Opin. Chem. Biol. 2015, 29, 49–57. [Google Scholar] [CrossRef]
  5. Patiño, M.A.; Ortiz, J.P.; Velásquez, M.; Stambuk, B.U. d-Xylose consumption by nonrecombinant Saccharomyces cerevisiae: A review. Yeast 2019, 36, 541–556. [Google Scholar] [CrossRef] [PubMed]
  6. Kwak, S.; Jin, Y.S. Production of fuels and chemicals from xylose by engineered Saccharomyces cerevisiae: A review and perspective. Microb. Cell Factories 2017, 16, 82. [Google Scholar] [CrossRef]
  7. Maleszka, R.; Schneider, H. Fermentation of d-xylose, xylitol, and d-xylulose by yeasts. Can. J. Microbiol. 1982, 28, 360–363. [Google Scholar] [CrossRef]
  8. Toivola, A.; Yarrow, D.; Van Den Bosch, E.; Van Dijken, J.P.; Scheffers, W.A. Alcoholic fermentation of d-xylose by yeasts. Appl. Environ. Microbiol. 1984, 47, 1221–1223. [Google Scholar] [CrossRef]
  9. Harner, N.K.; Wen, X.; Bajwa, P.K.; Austin, G.D.; Ho, C.Y.; Habash, M.B.; Trevors, J.T.; Lee, H. Genetic improvement of native xylose-fermenting yeasts for ethanol production. J. Ind. Microbiol. Biotechnol. 2015, 42, 1–20. [Google Scholar] [CrossRef]
  10. Smiley, K.L.; Bolen, P.L. Demonstration of d-xylose reductase and d-xylitol dehydrogenase in Pachysolen tannophilus. Biotechnol. Lett. 1982, 4, 607–610. [Google Scholar] [CrossRef]
  11. Bettiga, M.; Hahn-Hägerdal, B.; Gorwa-Grauslund, M.F. Comparing the xylose reductase/xylitol dehydrogenase and xylose isomerase pathways in arabinose and xylose fermenting Saccharomyces cerevisiae strains. Biotechnol. Biofuels 2008, 1, 16. [Google Scholar] [CrossRef]
  12. Li, X.; Park, A.; Estrela, R.; Kim, S.-R.; Jin, Y.-S.; Cate, J.H.D. Comparison of xylose fermentation by two high-performance engineered strains of Saccharomyces cerevisiae. Biotechnol. Rep. 2016, 9, 53–56. [Google Scholar] [CrossRef] [PubMed]
  13. Hahn-Hägerdal, B.; Karhumaa, K.; Fonseca, C.; Spencer-Martins, I.; Gorwa-Grauslund, M. Towards industrial pentose-fermenting yeast strains. Appl. Microbiol. Biotechnol. 2007, 74, 937–953. [Google Scholar] [CrossRef]
  14. De Sales, B.B.; Scheid, B.; Gonçalves, D.L.; Knychala, M.M.; Matsushika, A.; Bon, E.P.S.; Stambuk, B.U. Cloning novel sugar transporters from Scheffersomyces (Pichia) stipitis allowing d-xylose fermentation by recombinant Saccharomyces cerevisiae. Biotechnol. Lett. 2015, 37, 1973–1982. [Google Scholar] [CrossRef] [PubMed]
  15. Nguyen, N.H.; Suh, S.O.; Marshall, C.J.; Blackwell, M. Morphological and ecological similarities: Wood-boring beetles associated with novel xylose-fermenting yeasts, Spathaspora passalidarum gen. sp. nov. and Candida jeffriesii sp. nov. Mycol. Res. 2006, 110, 1232–1241. [Google Scholar] [CrossRef]
  16. Cadete, R.M.; Santos, R.O.; Melo, M.A.; Mouro, A.; Gonçalves, D.L.; Stambuk, B.U.; Rosa, C.A. Spathaspora arborariae sp. nov., a d-xylose fermenting yeast species isolated from rotting wood in Brazil. FEMS Yeast Res. 2009, 9, 1338–1342. [Google Scholar] [CrossRef]
  17. Cadete, R.M.; Melo, M.A.; Zilli, J.E.; Vital, M.J.; Mouro, A.; Prompt, A.H.; Gomes, F.C.; Stambuk, B.U.; Lachance, M.A.; Rosa, C.A. Spathaspora brasiliensis sp. nov., Spathaspora sushii sp. nov., Spathaspora roraimanensis sp. nov. and Spathaspora xylofermentans sp. nov., four novel (d)-xylose-fermenting yeast species from Brazilian Amazonian forest. Antonie Leeuwenhoek 2013, 103, 421–431. [Google Scholar] [CrossRef]
  18. Hou, X. Anaerobic xylose fermentation by Spathaspora passalidarum. Appl. Microbiol. Biotechnol. 2012, 94, 205–214. [Google Scholar] [CrossRef]
  19. Cadete, R.M.; de Las Heras, A.M.; Sandström, A.G.; Ferreira, C.; Gírio, F.; Gorwa-Grauslund, M.F.; Rosa, C.A.; Fonseca, C. Exploring xylose metabolism in Spathaspora species: XYL1.2 from Spathaspora passalidarum as the key for efficient anaerobic xylose fermentation in metabolic engineered Saccharomyces cerevisiae. Biotechnol. Biofuels 2016, 9, 167. [Google Scholar] [CrossRef]
  20. Bruinenberg, P.M.; de Bot, P.H.M.; van Dijken, J.P.; Scheffers, W.A. The role of redox balances in the anaerobic fermentation of xylose by yeasts. Eur. J. Appl. Microbiol. Biotechnol. 1983, 18, 287–292. [Google Scholar] [CrossRef]
  21. Wohlbach, D.J.; Kuo, A.; Sato, T.K.; Potts, K.M.; Salamov, A.A.; Labutti, K.M.; Sun, H.; Clum, A.; Pangilinan, J.L.; Lindquist, E.A.; et al. Comparative genomics of xylose-fermenting fungi for enhanced biofuel production. Proc. Natl. Acad. Sci. USA 2011, 108, 13212–13217. [Google Scholar] [CrossRef]
  22. Mamoori, Y.I.; Yahya, A.G.I.; Al-Jelawi, M.H. Expression of xylose reductase enzyme from Spathaspora passalidarum in Saccharomyces cerevisiae. Iraqi J. Sci. 2013, 54, 316–323. [Google Scholar]
  23. Mamoori, Y.I.; Al-Jelawi, M.H.; Yahya, A.G.I. Cloning and expression of xylitol dehydrogenase enzyme from Spathaspora passalidarum in Saccharomyces cerevisiae. J. Al-Nahrain Univer. Sci. 2014, 17, 123–131. [Google Scholar] [CrossRef]
  24. Selim, K.A.; Easa, S.M.; El-Diwany, A.I. The xylose metabolizing yeast Spathaspora passalidarum is a promising genetic treasure for improving bioethanol production. Fermentation 2020, 6, 33. [Google Scholar] [CrossRef]
  25. Mussatto, S.I. Application of xylitol in food formulations and benefits for health. In d-Xylitol, Fermentative Production, Application and Commercialization; da Silva, S., Chandel, A., Eds.; Springer: Heidelberg, Germany, 2012; pp. 309–323. [Google Scholar]
  26. Ur-Rehman, S.; Mushtaq, Z.; Zahoor, T.; Jamil, A.; Murtaza, M.A. Xylitol: A review on bioproduction, application, health benefits, and related safety issues. Crit. Rev. Food Sci. Nutr. 2015, 55, 1514–1528. [Google Scholar] [CrossRef]
  27. De Fátima Rodrigues de Souza, R.; Dutra, E.D.; Leite, F.C.B.; Cadete, R.M.; Rosa, C.A.; Stambuk, B.U.; Stamford, T.L.M.; de Morais, M.A., Jr. Production of ethanol fuel from enzyme-treated sugarcane bagasse hydrolysate using d-xylose-fermenting wild yeast isolated from Brazilian biomes. 3 Biotech. 2018, 8, 312. [Google Scholar]
  28. Entian, K.; Kotter, P. Yeast genetic strain and plasmid collections. Methods Microbiol. 2007, 36, 629–666. [Google Scholar]
  29. Petracek, M.E.; Longtine, M.S. PCR-based engineering of yeast genome. Methods Enzymol. 2002, 350, 445–469. [Google Scholar] [PubMed]
  30. Watanabe, S.; Saleh, A.A.; Pack, S.P.; Annaluru, N.; Kodaki, T.; Makino, K. Ethanol production from xylose by recombinant Saccharomyces cerevisiae expressing protein engineered NADP+-dependent xylitol dehydrogenase. J. Biotechnol. 2007, 130, 316–319. [Google Scholar] [CrossRef]
  31. Mumberg, D.; Müller, R.; Funk, M. Yeast vectors for the controlled expression of heterologous proteins in different genetic backgrounds. Gene 1995, 156, 119–122. [Google Scholar] [CrossRef]
  32. Ausubel, F.M.; Brent, R.; Kingston, R.E.; Moore, D.D.; Seidman, J.G.; Smith, J.A.; Struhl, K. Short Protocols in Molecular Biology, 3rd ed.; John Wiley & Sons: New York, NY, USA, 1995. [Google Scholar]
  33. Gietz, D.; St Jean, A.; Woods, R.A.; Schiestl, R.H. Improved method for high efficiency transformation of intact yeast cells. Nucleic Acids Res. 1992, 20, 1425. [Google Scholar] [CrossRef]
  34. Van Vleet, J.H.; Jeffries, T.W.; Olsson, L. Deleting the para-nitrophenyl phosphatase (pNPPase), PHO13, in recombinant Saccharomyces cerevisiae improves growth and ethanol production on d-xylose. Metab. Eng. 2008, 10, 360–369. [Google Scholar] [CrossRef]
  35. Kim, S.R.; Xu, H.; Lesmana, A.; Kuzmanovic, U.; Au, M.; Florencia, C.; Oh, E.J.; Zhang, G.; Kim, K.H.; Jin, Y.S. Deletion of PHO13, encoding haloacid dehalogenase type IIA phosphatase, results in upregulation of the pentose phosphate pathway in Saccharomyces cerevisiae. Appl. Environ. Microbiol. 2015, 81, 1601–1609. [Google Scholar] [CrossRef] [PubMed]
  36. Xu, H.; Kim, S.; Sorek, H.; Lee, Y.; Jeong, D.; Kim, J.; Oh, E.J.; Yun, E.J.; Wemmer, D.E.; Kim, K.H.; et al. PHO13 deletion-induced transcriptional activation prevents sedoheptulose accumulation during xylose metabolism in engineered Saccharomyces cerevisiae. Metab. Eng. 2016, 34, 88–96. [Google Scholar] [CrossRef]
  37. Lobo, F.P.; Gonçalves, D.L.; Alves, S.L., Jr.; Gerber, A.L.; Vasconcelos, A.T.R.; Basso, L.C.; Franco, G.R.; Soares, M.A.; Cadete, R.M.; Rosa, C.A.; et al. Draft genome sequence of the d-xylose-fermenting yeast Spathaspora arborariae UFMG-HM19.1AT. Genome Announc. 2014, 2, e01163-13. [Google Scholar] [CrossRef]
  38. Walfridsson, M.; Anderlund, M.; Bao, X.; Hahn-Hägerdal, B. Expression of different levels of enzymes from the Pichia stipitis XYL1 and XYL2 genes in Saccharomyces cerevisiae and its effect on product formation during xylose utilization. Appl. Microbiol. Biotechnol. 1997, 48, 218–224. [Google Scholar] [CrossRef]
  39. Johansson, B.; Christensson, C.; Hobley, T.; Hahn-Hägerdal, B. Xylulokinase overexpression in two strains of Saccharomyces cerevisiae also expressing xylose reductase and xylitol dehydrogenase and its effect on fermentation of xylose and lignocellulosic hydrolysate. Appl. Environ. Microbiol. 2001, 67, 4249–4255. [Google Scholar] [CrossRef]
  40. Zhang, F.; Qiao, D.; Xu, H.; Liao, C.; Li, S.; Cao, Y. Cloning, expression, and characterization of xylose reductase with higher activity from Candida tropicalis. J. Microbiol. 2009, 47, 351–357. [Google Scholar] [CrossRef]
  41. Lee, J.-K.; Koo, B.-S.; Kim, S.-Y. Cloning and characterization of the xyl1 gene, enconding an NADH-preferring xylose reductase from Candida parapsilosis and its functional expression in Candida tropicalis. Appl. Environ. Microbiol. 2003, 69, 6179–6188. [Google Scholar] [CrossRef]
  42. Nidetzky, B.; Brüggler, K.; Kratzer, R.; Mayr, P. Multiple forms of xylose reductase in Candida intermedia: Comparison of their functional properties using quantitative structure-activity relationships, steady-state kinetic analysis, and pH studies. J. Agric. Food Chem. 2003, 51, 7930–7935. [Google Scholar] [CrossRef]
  43. Amore, R.; Kötter, P.; Küster, C.; Ciriacy, M.; Hollenberg, C.P. Cloning and expression in Saccharomyces cerevisiae of the NAD(P)H-dependent xylose reductase-encoding gene (XYL1) from the xylose-assimilating yeast Pichia stipitis. Gene 1991, 109, 89–97. [Google Scholar] [CrossRef]
  44. Ditzelmuller, G.; Kubicek, C.P.; Wohrer, W.; Rohr, M. Xylose metabolism in Pachysolen tannophilus: Purification and properties of xylose reductase. Can. J. Microbiol. 1984, 30, 1330–1336. [Google Scholar] [CrossRef]
  45. Kumar, S.; Gummadi, S.N. Purification and biochemical characterization of a moderately halotolerant NADPH dependent xylose reductase from Debaryomyces nepalensis NCYC 3413. Bioresour. Technol. 2011, 102, 9710–9717. [Google Scholar] [CrossRef]
  46. Ko, B.S.; Jung, H.C.; Kim, J.H. Molecular cloning and characterization of NAD+-dependent xylitol dehydrogenase from Candida tropicalis ATCC 20913. Biotechnol. Prog. 2006, 22, 1708–1714. [Google Scholar] [CrossRef]
  47. Biswas, D.; Datt, M.; Aggarwal, M.; Mondal, A.K. Molecular cloning, characterization and engineering of xylitol dehydrogenase from Debaryomyces hansenii. Appl. Microbiol. Biotechnol. 2013, 97, 1613–1623. [Google Scholar] [CrossRef]
  48. Guo, J.; Huang, S.; Chen, Y.; Guo, X.; Xiao, D. Heterologous expression of Spathaspora passalidarum xylose reductase and xylitol dehydrogenase genes improved xylose fermentation ability of Aureobasidium pullulans. Microb. Cell Factories 2018, 17, 64. [Google Scholar] [CrossRef]
  49. Krahulec, S.; Klimacek, M.; Nidetzky, B. Analysis and prediction of the physiological effects of altered coenzyme specificity in xylose reductase and xylitol dehydrogenase during xylose fermentation by Saccharomyces cerevisiae. J. Biotechnol. 2012, 158, 192–202. [Google Scholar] [CrossRef]
  50. Reshamwala, S.M.S.; Lali, A.M. Exploiting the NADPH pool for xylitol production using recombinant Saccharomyces cerevisiae. Biotechnol. Prog. 2020, e2972. [Google Scholar] [CrossRef]
  51. Gonçalves, D.L.; Matsushika, A.; de Sales, B.B.; Goshima, T.; Bon, E.P.S.; Stambuk, B.U. Xylose and xylose/glucose co-fermentation by recombinant Saccharomyces cerevisiae strains expressing individual hexose transporters. Enzyme Microb. Technol. 2014, 63, 13–20. [Google Scholar] [CrossRef]
  52. Rao, R.S.; Bhadra, B.; Shivaji, S. Isolation and characterization of xylitol-producing yeasts from the gut of colleopteran insects. Curr. Microbiol. 2007, 55, 441–446. [Google Scholar] [CrossRef]
  53. Pappu, J.S.; Gummadi, S.N. Multi response optimization for enhanced xylitol production by Debaryomyces nepalensis in bioreactor. 3 Biotech. 2016, 6, 151. [Google Scholar] [CrossRef] [PubMed]
  54. Wu, J.; Hu, J.; Zhao, S.; He, M.; Hu, G.; Ge, X.; Peng, N. Single-cell protein and xylitol production by a novel yeast strain Candida intermedia FL023 from lignocellulosic hydrolysates and xylose. Appl. Biochem. Biotechnol. 2018, 185, 163–178. [Google Scholar] [CrossRef]
  55. Carneiro, C.V.G.C.; de Paula e Silva, F.C.; Almeida, J.R.M. Xylitol production: Identification and comparison of new producing yeasts. Microorganisms 2019, 7, 484. [Google Scholar] [CrossRef]
  56. Barbosa, M.F.S.; de Medeiros, M.B.; de Mancilha, I.M.; Schneider, H.; Lee, H. Screening of yeasts for production of xylitol from d-xylose and some factors which affect xylitol yield in Candida guilliermondii. J. Ind. Microbiol. 1988, 3, 241–251. [Google Scholar] [CrossRef]
  57. Sampaio, F.C.; Passos, F.M.L.; Passos, F.J.V.; de Faveri, D.; Perego, P.; Converti, A. Xylitol crystallization from culture media fermented by yeasts. Chem. Eng. Process. 2006, 45, 1041–1046. [Google Scholar] [CrossRef]
  58. Martínez, E.A.; Canettieri, E.V.; Bispo, J.A.C.; Giulietti, M.; de Almeida e Silva, J.B.; Converti, A. Strategies for xylitol purification and crystallization: A review. Sep. Sci. Technol. 2015, 50, 2087–2098. [Google Scholar] [CrossRef]
Figure 1. Time course of aerobic cell growth (OD600nm, circles), xylose consumption (squares), and xylitol production (triangles) in synthetic complete (YNB) medium containing 2% xylose by yeast cells of strain ASY-1 transformed with plasmids pPGK-SpXYL1.1 and pTEF-SpXYL2.2 (white symbols), or pPGK-SaXYL1 and pTEF-SpXYL2.2 (gray symbols), or strain ASY-2 (black symbols) transformed with the same two plasmids (pPGK-SaXYL1 and pTEF-SpXYL2.2).
Figure 1. Time course of aerobic cell growth (OD600nm, circles), xylose consumption (squares), and xylitol production (triangles) in synthetic complete (YNB) medium containing 2% xylose by yeast cells of strain ASY-1 transformed with plasmids pPGK-SpXYL1.1 and pTEF-SpXYL2.2 (white symbols), or pPGK-SaXYL1 and pTEF-SpXYL2.2 (gray symbols), or strain ASY-2 (black symbols) transformed with the same two plasmids (pPGK-SaXYL1 and pTEF-SpXYL2.2).
Fermentation 06 00072 g001
Figure 2. Time course of xylose consumption (circles), and xylitol (squares), ethanol (triangles), glycerol (diamonds), or acetate (inverted triangles) production during 2% xylose batch fermentations in YNB medium by yeast cells of strain ASY-2 transformed with plasmids pPGK-SaXYL1 and pTEF-SpXYL2.2 (white symbols), or plasmids pGPD-SaXYL1 and pPGK-SpXYL2.2 (black symbols).
Figure 2. Time course of xylose consumption (circles), and xylitol (squares), ethanol (triangles), glycerol (diamonds), or acetate (inverted triangles) production during 2% xylose batch fermentations in YNB medium by yeast cells of strain ASY-2 transformed with plasmids pPGK-SaXYL1 and pTEF-SpXYL2.2 (white symbols), or plasmids pGPD-SaXYL1 and pPGK-SpXYL2.2 (black symbols).
Fermentation 06 00072 g002
Figure 3. Time course of xylose (black circles) and glucose (white squares) consumption, and xylitol (black squares), ethanol (white triangles), glycerol (white diamonds), or acetate (inverted black triangles) production during 2% xylose plus 2% glucose batch co-fermentations in YNB medium by yeast cells of strain ASY-2 transformed with plasmids pPGK-SaXYL1 and pTEF-SpXYL2.2.
Figure 3. Time course of xylose (black circles) and glucose (white squares) consumption, and xylitol (black squares), ethanol (white triangles), glycerol (white diamonds), or acetate (inverted black triangles) production during 2% xylose plus 2% glucose batch co-fermentations in YNB medium by yeast cells of strain ASY-2 transformed with plasmids pPGK-SaXYL1 and pTEF-SpXYL2.2.
Fermentation 06 00072 g003
Table 1. Yeast strains, plasmids and primers used in this study.
Table 1. Yeast strains, plasmids and primers used in this study.
Strains, Plasmids and PrimersRelevant Features, Genotype or SequenceSource
Yeast strains:
Sp. arborariae UFMG-HM.19.1ATIsolated from rotting wood in Minas Gerais, Brazil[16]
Sp. passalidarum UFMG-CM-Y474Isolated from rotting wood in Roraima, Brazil[27]
S. cerevisiae CEN.PK2-1CMATa leu2–3112 ura3–52 trp1–289 his3-Δ1 MAL2–8cSUC2[28]
S. cerevisiae ASY-1Isogenic to CEN.PK2-1C, but KanMX-PADH1::XKS1This work
S. cerevisiae ASY-2Isogenic to ASY-1, but pho13Δ::LoxP-BleR-LoxP
Plasmids:
pFA6a-kanMX6-PADH1KanMX6-PADH1[29]
pUG66LoxP-BleR-LoxP
pPGKURA3 PPGK1-TPGK1[30]
pTEF-423HIS3 PTEF-TCYC1[31]
pGPD-423HIS3 PGPD-TCYC1
pPGK-SpXYL1.1URA3 PPGK1-SpXYL1.1-TPGK1This work
pPGK-SaXYL1URA3 PPGK1-SaXYL1-TPGK1
pGPD-SaXYL1HIS3 PGPD-SaXYL1-TCYC1
pPGK-SpXYL2.2URA3 PPGK1-SpXYL2.2-TPGK1
pTEF-SpXYL2.2HIS3 PTEF-SpXYL2.2-TCYC1
Primers: 1
XR-FATGAATTCATGGCTACTATTAAATTATCCTCAGGTThis work
XR-RTTGGATCCTTAAACAAAGATTGGAATGTTGTCC
XDH-Sp-FATGAATTCATGGTTGCTAATCCCTCTTTAGTG
XDH-Sp-RCTGGATCCCTACTCTGGTCCATCAATTAAACACTT
Prom_PGK_54_FACAGATCATCAAGGAAGTAATTATC
Ter_PGK_65_RTTAGCGTAAAGGATGGGGAAAGAG
TEF-XDH-Sp-FATAGATCTATGGTTGCTAATCCCTCTTTAGTG
TEF-XDH-Sp-RCTAGATCTCTACTCTGGTCCATCAATTAAACACTT
XKS1-Kanr-FATTCGGCCAATGCAATCTCAGGCGGACGAATAAGGGGGCCCCAGCTGAAGCTTCGTACGC
XKS1-PADH1-RAAACCTCTCTTGTCTGTCTCTGAATTACTGAACACAACATTGTATATGAGATAGTTG
V-XKS1-FCAAGCGACGCAGGGAATAGCC
V-XKS1-RCTTCGTTCAGTCTCTGTTGTGAGC
V-kanr-FCCGGTTGCATTCGATTCC
DE-PHO13-FCTTATAGCTTGCCCTGACAAAGAATATACAACTCGGGAAACCAGCTGAAGCTTCGTACGC
DE-PHO13-RTTCAAAAAGTAATTCTACCCCTAGATTTTGCATTGCTCCTGCATAGGCCACTAGTGGATC
V-PHO13-FGGAAGTAGATTGTTCGACGC
V-PHO13-RGATACGCCGTTCGATGCAG
V-Bler-FCCTTCTATGAAAGGTTGGGC
1 Underlined sequences indicate restriction enzyme sites (BglII, BamHI or EcoRI) used for cloning, bold sequences are homologous to the upstream and downstream region of the target genes that were modified, and italicized sequences allow amplification of the transformation modules present in plasmids pFA6a-kanMX6-PADH1 and pUG66.
Table 2. Xylose reductase and xylitol dehydrogenase activities of selected Spathaspora yeasts.
Table 2. Xylose reductase and xylitol dehydrogenase activities of selected Spathaspora yeasts.
Specific Activity (U/[mg Protein])
Xylose ReductaseXylitol Dehydrogenase
Co-Substrate:NADPHNADHNADP+NAD+
Yeast:
Sp. arborariae
UFMG-HM.19.1AT
0.455 ± 0.0060.118 ± 0.0020.001 ± 0.00.25 ± 0.01
Sp. passalidarum
UFMG-CM-Y474
0.580 ± 0.0200.380 ± 0.0100.003 ± 0.01.29 ± 0.06
Table 3. Xylose reductase and xylitol dehydrogenase activities of cloned genes expressed in S. cerevisiae CEN.PK2-1C.
Table 3. Xylose reductase and xylitol dehydrogenase activities of cloned genes expressed in S. cerevisiae CEN.PK2-1C.
Specific Activity (U/ [mg Protein])
Xylose ReductaseXylitol Dehydrogenase
Co-Substrate:NADPHNADHNADP+NAD+
Plasmid:
pPGK0.03 ± 0.010.03 ± 0.010.01 ± 0.010.01 ± 0.01
pPGK-SaXYL12.66 ± 0.020.81 ± 0.300.01 ± 0.010.01 ± 0.01
pPGK-SpXYL1.13.00 ± 0.170.05 ± 0.010.01 ± 0.010.01 ± 0.01
pPGK-SpXYL2.20.03 ± 0.010.03 ± 0.010.01 ± 0.012.20 ± 0.21
Table 4. Kinetic parameters of the xylose reductase and xylitol dehydrogenase encoded by genes SaXYL1, SpXYL1.1, and SpXYL2.2 expressed in S. cerevisiae CEN.PK2-1C.
Table 4. Kinetic parameters of the xylose reductase and xylitol dehydrogenase encoded by genes SaXYL1, SpXYL1.1, and SpXYL2.2 expressed in S. cerevisiae CEN.PK2-1C.
Plasmid:Substrate:KmVmax
(U/[mg Protein])
pPGK-SaXYL1NADH12.8 ± 3.0 µM1.0 ± 0.04
NADPH26.1 ± 11.0 µM2.6 ± 0.4
Xylose (NADH)29.5 ± 13.0 mM1.0 ± 0.1
Xylose (NADPH)57.5 ± 10.0 mM2.8 ± 0.2
pPGK-SpXYL1.1NADPH65.9 ± 28.2 µM4.7 ± 0.6
Xylose (NADPH)53.3 ± 6.1 mM4.2 ± 0.1
pPGK-SpXYL2.2NAD+0.52 ± 0.16 mM2.4 ± 0.2
Xylitol86.0 ± 13.0 mM4.3 ± 0.2
Table 5. Xylose reductase and xylitol dehydrogenase activities co-expressed in S. cerevisiae.
Table 5. Xylose reductase and xylitol dehydrogenase activities co-expressed in S. cerevisiae.
Specific Activity (U/[mg Protein])
Xylose ReductaseXylitol Dehydrogenase
Co-Substrate:NADPHNADHNADP+NAD+
Strain:Plasmids:
ASY-1pPGK-SpXYL1.1
pTEF-SpXYL2.2
3.05 ± 0.170,05 ± 0.010.01 ± 0.010.40 ± 0.10
ASY-1pPGK-SaXYL1
pTEF-SpXYL2.2
2.41 ± 0.250.89 ± 0.230.01 ± 0.010.48 ± 0.03
ASY-2pPGK-SaXYL1
pTEF-SpXYL2.2
2.37 ± 0.220.81 ± 0.220.01 ± 0.010.48 ± 0.07
ASY-2pGPD-SaXYL1
pPGK-SpXYL2.2
5.12 ± 1.342.11 ± 0.660.01 ± 0.012.95 ± 0.34
Table 6. Xylose consumption and product formation by recombinant S. cerevisiae cells.
Table 6. Xylose consumption and product formation by recombinant S. cerevisiae cells.
Strains and Plasmids:Xylose Consumption (%) aµmax (h−1)Yp/sethanol
(g/g)
Yp/sglycerol
(g/g)
Yp/sacetate
(g/g)
Yp/sxylitol
(g/g)
Qpxylitol
(g/L/h)
Aerobic growth:
ASY-1 pPGK-SpXYL1.1
pTEF-SpXYL2.2
75.7 ± 4.10.070 ± 0.0050000.135 ± 0.0250.040 ± 0.008
ASY-1 pPGK-SaXYL1
pTEF-SpXYL2.2
79.9 ± 4.90.072 ± 0.0040000.152 ± 0.0350.058 ± 0.001
ASY-2 pPGK-SaXYL1
pTEF-SpXYL2.2
85.5 ± 4.60.139 ± 0.015 *0000.230 ± 0.0680.087 ± 0.017 #
Batch fermentation:
ASY-2 pPGK-SaXYL1
pTEF-SpXYL2.2
87.5 ± 1.6NA b0.130 ± 0.0180.068 ± 0.0360.013 ± 0.0090.614 ± 0.0220.513 ± 0.033
ASY-2 pGPD-SaXYL1
pPGK-SpXYL2.2
85.4 ± 4.3NA0.123 ± 0.0030.089 ± 0.03100.572 ± 0.0410.370 ± 0.095
Values are the average of two biological duplicates of aerobic growth on 2% xylose or batch fermentation of 2% xylose by the indicated strains. The errors indicated are the standard error of the mean. a Percentage of xylose consumed after 100 h of aerobic growth, or after 50 h of batch fermentation. b Not applicable. * Significantly different (p < 0.05) when compared to the two other specific growth rates. # Significantly different (p < 0.05) when compared with the results obtained with the SpXYL1.1 + SpXYL2.2 genes (one-way ANOVA).

Share and Cite

MDPI and ACS Style

Mouro, A.; dos Santos, A.A.; Agnolo, D.D.; Gubert, G.F.; Bon, E.P.S.; Rosa, C.A.; Fonseca, C.; Stambuk, B.U. Combining Xylose Reductase from Spathaspora arborariae with Xylitol Dehydrogenase from Spathaspora passalidarum to Promote Xylose Consumption and Fermentation into Xylitol by Saccharomyces cerevisiae. Fermentation 2020, 6, 72. https://doi.org/10.3390/fermentation6030072

AMA Style

Mouro A, dos Santos AA, Agnolo DD, Gubert GF, Bon EPS, Rosa CA, Fonseca C, Stambuk BU. Combining Xylose Reductase from Spathaspora arborariae with Xylitol Dehydrogenase from Spathaspora passalidarum to Promote Xylose Consumption and Fermentation into Xylitol by Saccharomyces cerevisiae. Fermentation. 2020; 6(3):72. https://doi.org/10.3390/fermentation6030072

Chicago/Turabian Style

Mouro, Adriane, Angela A. dos Santos, Denis D. Agnolo, Gabriela F. Gubert, Elba P. S. Bon, Carlos A. Rosa, César Fonseca, and Boris U. Stambuk. 2020. "Combining Xylose Reductase from Spathaspora arborariae with Xylitol Dehydrogenase from Spathaspora passalidarum to Promote Xylose Consumption and Fermentation into Xylitol by Saccharomyces cerevisiae" Fermentation 6, no. 3: 72. https://doi.org/10.3390/fermentation6030072

APA Style

Mouro, A., dos Santos, A. A., Agnolo, D. D., Gubert, G. F., Bon, E. P. S., Rosa, C. A., Fonseca, C., & Stambuk, B. U. (2020). Combining Xylose Reductase from Spathaspora arborariae with Xylitol Dehydrogenase from Spathaspora passalidarum to Promote Xylose Consumption and Fermentation into Xylitol by Saccharomyces cerevisiae. Fermentation, 6(3), 72. https://doi.org/10.3390/fermentation6030072

Note that from the first issue of 2016, this journal uses article numbers instead of page numbers. See further details here.

Article Metrics

Back to TopTop