Next Article in Journal
Viability, Storage Stability and In Vitro Gastrointestinal Tolerance of Lactiplantibacillus plantarum Grown in Model Sugar Systems with Inulin and Fructooligosaccharide Supplementation
Next Article in Special Issue
Silage Fermentation: A Potential Microbial Approach for the Forage Utilization of Cyperus esculentus L. By-Product
Previous Article in Journal
Extractive Fermentation for Recovery of Bacteriocin-Like Inhibitory Substances Derived from Lactococcus lactis Gh1 Using PEG2000/Dextran T500 Aqueous Two-Phase System
 
 
Font Type:
Arial Georgia Verdana
Font Size:
Aa Aa Aa
Line Spacing:
Column Width:
Background:
Article

Succession of Microbial Communities of Corn Silage Inoculated with Heterofermentative Lactic Acid Bacteria from Ensiling to Aerobic Exposure

1
Institute of Qinghai-Tibet Plateau, Southwest Minzu University, Chengdu 610225, China
2
College of Grassland Science and Technology, Sichuan Agricultural University, Chengdu 611130, China
3
Institute of Grassland Science, Chongqing Academy of Animal Science, Chongqing 402460, China
4
Key Laboratory of Superior Forage Germplasm in the Qinghai-Tibetan Plateau, Grassland Institute, Qinghai Academy of Animal Science and Veterinary Medicine, Xining 810016, China
5
School of Mathematics and Statistics, Qinghai Normal University, Xining 810016, China
*
Author to whom correspondence should be addressed.
Authors contributed equally to this article and are co-first authors.
Fermentation 2021, 7(4), 258; https://doi.org/10.3390/fermentation7040258
Submission received: 10 October 2021 / Revised: 28 October 2021 / Accepted: 29 October 2021 / Published: 4 November 2021
(This article belongs to the Special Issue Silage Fermentation)

Abstract

:
To further explore the effects of heterofermentative lactic acid bacteria (LAB) on silage fermentation and aerobic stability, whole-plant corn at around the 1/2 milk-line stage was freshly chopped and ensiled in laboratory silos with deionized water (control), Lactobacillus buchneri (LB), or L. rhamnosus (LR). Each treatment was prepared in triplicate for 3, 14, and 60 d of fermentation, followed by 3 and 7 days of aerobic exposure. The dynamic changes in microbial community were studied by single molecule real-time (SMRT) sequencing. The results showed that the two LAB inoculants altered the microbial communities in different ways. Succession from L. plantarum to L. buchneri and L. rhamnosus was observed in LB- and LR-treated silage, respectively. Both silages improved aerobic stability (82 and 78 h vs. 44 h) by occupying the microbial niche to produce higher levels of acetic acid at terminal fermentation. Because Acetobacter fabarum dominated in the silages after aerobic exposure, beta diversity dramatically decreased. In this study, a. fabarum was reported for the first time in silage and was related to aerobic spoilage. The two heterofermentative LAB produced acetic acid and improved the aerobic stability of the corn silage by occupying the microbial niche at terminal fermentation. Inoculated L. rhamnosus had a greater pH for a longer period of time after opening and less DM loss at day 7.

Graphical Abstract

Highlights

  • Microbial communities of corn silage were studied by SMRT.
  • Heterofermentative LAB altered the microbial communities in different ways.
  • Acetobacter fabarum was reported for the first time in silage.
  • The presence of Acetobacter fabarum was related to aerobic exposure.
  • Heterofermentative LAB improved the aerobic stability of corn silage.

1. Introduction

During silage fermentation, epiphytic lactic acid bacteria (LAB) consume sugars under anaerobic conditions to produce lactic and acetic acid, which lower the pH of the silage, thereby inhibiting the harmful effects of enterobacteria, clostridium, yeast, and mold. According to the varieties of LAB, there are different types of fermentation. Homofermentative LAB mainly produce lactic acid from glucose, while heterofermentative LAB produce not only lactic acid but also CO2, ethanol, and acetic acid [1]. The variety and number of epiphytic LAB in different regions [2,3], climate conditions [4], and materials [3,5] are often different, which usually leads the ensiling process in different fermentation directions. Therefore, it is difficult to ensure that the quality of natural fermentation of silage produced every time is consistently driven by natural epiphytic microorganisms.
When the type and number of the attached LAB do not meet the requirements, to ensure that the silage more quickly enters the fermentation process dominated by LAB, commercial or selected LAB are usually used as inoculants to produce silage of high quality [1]. As a typical homofermentative LAB inoculant, Lactobacillus plantarum has high efficiency in producing lactic acid [6], but other studies reported that this inoculant can also reduce aerobic stability, especially in corn silage [1,7]. Because whole-crop corn silage may be prone to spoilage after exposure to air, heterofermentative LAB are more commonly used in corn silage. Lactobacillus buchneri, a type of heterofermentative LAB, improves the aerobic stability of silage by increasing acetic acid [1,8,9]. However, the effects of Lactobacillus buchneri were found to be forage-specific [10] and dose-dependent [11]. Furthermore, the effects of L. buchneri do not happen immediately, making this bacterium difficult to meet demands for use in feed with a short ensiling time. In recent years, researchers have screened several heterofermentative LAB that improved the aerobic stability of silage more efficiently in local conditions, such as L. brevis [12], L. hilgardii [13], L.parafarraginis ZH1 [14], and L. rhamnosus [15]. Notably, L. rhamnosus, as a potential silage inoculant, is often reported to improve silage quality and aerobic stability by inhibiting fungal growth under high temperature conditions in tropical and subtropical areas [15,16,17]. Our previous studies showed that screened L. rhamnosus and the commercial inoculant L. buchneri improved aerobic stability by altering different flora of microorganisms and producing different metabolites in Napier grass silage [18]. Li and Nishino [19] observed similar results in Italian ryegrass silage. However, these two LAB inoculants produced few changes in bacterial and fungal communities in corn silage [20]. These inconsistent results may be due to the different forage types and strains used. Therefore, more research is needed to explore the roles of these two lactic acid bacteria in silage, especially how they change microbial communities.
The rapid development of sequencing technology has provided us a deeper understanding of the role of microorganisms in silage [21]. Based on the next-generation-sequencing (NGS) technology of the Illumina platform, researchers have explored the impacts of different environmental factors [4], additives [22], and types of forage [23,24] on the microbial communities and quality of silage. However, due to the limited length of sequencing, the results of microbial sequencing can only be annotated at the level of genus or above. PacBio single molecule real-time (SMRT) sequencing technology improves the resolution by enabling longer sequences to be read, thereby allowing microorganisms to be annotated at the species level and providing a more in-depth method for exploring silage microbial communities at this level [22,25].
We hypothesized that L. buchneri and L. rhamnosus could improve the fermentation profile and aerobic stability by affecting dynamic changes in the microbial communities of corn silages in different ways. Therefore, the object of this study was to investigate the dynamic changes of corn silage microbial communities and fermentation profiles via SMRT technology inoculated with the commercial inoculant L. buchneri and the screened strain L. rhamnosus.

2. Materials and Methods

2.1. Silage Development and Aerobic Stability Test

The trial was carried out on the farm of Sichuan Agricultural University in Chongzhou City, Sichuan Province, China (N 30°33′23.98″ E 103°38′42.61″). The whole plant corn (Zea mays L. cultivar Yayu No.8) used in this experiment was sown in April 2018 at an intended planting density of 75,000 seeds/ha. The corn was harvested at the 1/2 milk-line stage with a DM content of around 28%. Forages were chopped to a theoretical length of 15 mm using a self-propelled forage harvester (4QZ-18A, Muzhe Brands, Heibei, China). TFhe chopped forages were divided into three 50 kg piles. Each pile was assigned to one of the following treatments: (1) control (equal amount of sterilized distilled water); (2) L. buchneri 40788 (LB; Lallemand Animal Nutrition, Milwaukee, WI) applied at around 1 × 106 cfu/g of fresh corn forage; or (3) the selected LAB strain L. rhamnosus (LR, CGMCC 18233) applied at around 1 × 106 cfu/g of fresh corn forage. All inoculants were first dissolved in 200 mL of sterilized distilled water and then sprayed onto each pile of the corn forages uniformly with thorough mixing. The microbial inoculants were plated on de Man, Rogosa, and Sharpe agar (CM 188, Land Bridge, Beijing, China) before the study. In total, 3 mL of bacterial liquid was evenly sprayed into every 100 g of chopped raw materials (1–2 cm) and mixed thoroughly. We placed 2 kg of untreated and treated corn into polyethylene plastic bags (Aodeju, Sichuan, China) and used a packaging machine (DZ-600/2SD, Xinbo Brands, Zhejiang, China) to evacuate and seal the bags. The density of the materials compacted in the bags was the same (around 300 kg/m3). Each treatment was repeated three times as biological replicates. To simulate hot summer conditions, the silage bags were stored in a dark room with an air conditioner to ensure a high temperature of 30–35 °C. After 3, 14, and 60 d of fermentation, the bags were opened to test the fermentation profiles, chemical composition, and bacterial communities.
Aerobic stability was determined using the silage at 60 d of fermentation. One kilogram of the sample was taken into a two-liter sterile beaker. Then, we placed a data logger (MT-X; Shenhua Technology Co., Ltd., Shenzhen, China) into the center of the silage to record the real-time temperature every 5 min. We recorded the duration of the silage when the temperature exceeded 2 °C at room temperature as the basis for the aerobic stability assessment (Ranjit and Kung, 2000). After 3 and 7 d of air exposure, the DM loss, fermentation profiles, and bacterial communities were also detected.

2.2. Fermentation Profiles and Microbial Counts

In total, 20 g of the silage sample was mixed with 180 mL of distilled water at high speed in a blender (22,000 rpm/min) for 2 min. Then, we filtered the silage contents through cheesecloth (two layers) and measured the pH immediately. We next placed a 40 mL portion of the filtrate into a 50 mL tube and added 4 mL of 50% H2SO4. We collected 1.5 mL of the supernatant in a 2 mL microcentrifuge tube and spun the tube again for 15 min at 4 °C at 10,000 rpm. We transferred 1 mL of the supernatant through a filter (0.22 um) into 2 mL vials using a 1 mL syringe to analyze the volatile fatty acids via high-performance liquid chromatography (HPLC; 1260 Infinity II Prime, Agilent Technologies Inc., Santa Clara, CA, USA), a UV detector (210 nm), and a column (KC-811, Shimadzu Co. Ltd., Kyoto, Japan). The mobile phase was 0.1% H3PO4 at a flow rate of 0.5 mL/min at 55 °C. After transferring about 18 mL of supernatant into 20 mL scintillation vials, the silage extract was mixed with trichloroacetic acid at a volume ratio of 4:1 and placed overnight in a 4 °C refrigerator to deposit the protein. Subsequently, the mixture was centrifuged for 15 min at 12,000 rpm, and the supernatant was taken to determine the NH3-N contents [26].
To conduct the microbial counts, 20 g of the sample was transferred into a sterile homogenization bag, suspended at 1:10 wt/vol in a peptone salt solution (1 g of bacteriological peptone and 9 g of sodium chloride per liter), and homogenized for 4 min in a laboratory Stomacher blender (UL Lab-Blender 400, Seward Laboratory, London, UK). Serial dilutions were then prepared, and the mold and yeast numbers were determined using the pour plate technique with Potato Dextrose Agar (CM 123, Land Bridge, Beijing, China) after incubation at 25 °C for 3 and 5 d (for yeast and mold, respectively). The yeast and mold colony-forming units were enumerated separately, according to their macromorphological features, on plates, yielding 1 to 100 cfu. The LAB were determined on MRS (CM 188, Land Bridge, Beijing, China) via incubation at 37 °C for 2 d under anaerobic conditions, according to Cai [27]. Enterobacteria were cultured using Violet Red Bole Agar (CM 115, Land Bridge, Beijing, China) at 37 °C for 24 h.

2.3. Chemical Composition and DM Loss

We calculated the difference in sample weight before and after ensiling to determine DM loss. Around 800 g of the sample was placed in an oven at 65 °C for 72 h to calculate the DM. After drying, the fresh corn and silage samples were ground through a Wiley Mill (1 mm screen, Arthur H. Thomas, Philadelphia, PA, USA). We used an Ankom 200 system (Ankom Technology Corporation, Macedon, NY, USA) to test the neutral detergent fiber (NDF) and acid detergent fiber (ADF) according to the manufacturer’s instructions [28]. Crude protein (CP) was calculated as N × 6.25 using the N measurements obtained with a Foss KJELTEC 8400 analyzer (FOSS, Nils Foss, Hilleroed, Denmark). The water-soluble carbohydrate (WSC) concentration was measured with an MAFF (Ministry of Agriculture, Fisheries and Food, 1986) anthrone reaction assay.

2.4. Bacterial Analysis

2.4.1. DNA Extraction and Sequencing

According to Duniere, Xu, Long, Elekwachi, Wang, Turkington, Forster and McAllister [24], 20 g of the frozen sample was added to 180 mL sterilized distilled water and shaken at 4 °C for 5 min, followed by centrifugation at 8000 rpm at 4 °C for 10 min. After removing the supernatant, the precipitate was used for DNA extraction. The total DNA was extracted via a TIANamp Bacteria DNA isolation kit (DP302-02, Tiangen, Beijing, China). A DNA kit (DP214-02, Tiangen, Beijing, China) was used for DNA purification. The purity and concentration of the DNA were detected using a NanoDrop2000. 27F (5′-GAGAGTTTGATCCTGGCTCAG-3′) and 1541R (5′-AAGGAGGTGATCCAGCCGCA-3′) were used as primers for the polymerase chain reactions (PCR) to obtain the full-length 16S rRNA gene [29]. A PacBio RS II instrument (Pacifc Biosciences, Menlo Park, CA, USA) was used for sequence processing.

2.4.2. Sequence Analysis

Raw data were obtained according to the protocol of RS_Readsofinsert.1 (version 2.7, PacBio) in the SMRT Portal. PyNAST [30] and UCLUST [31] were used to obtain representative sequences. According to 98.6% threshold consistency, UCLUST was used to classify the unique sequence set as OUT. The potential chimerical sequences in the representative set of OTUs were removed via Chimera Slayer [32], and then the taxonomy of each OTU representative sequence was assigned using the Ribosomal Database Project (RDP) II database, classified at an 80% minimum bootstrap threshold [33]. OTUs that occurred only once or twice were discarded. After constructing a de novo taxonomic tree with a representative chimera-checked OTU set in Fast Tree, the Shannon index, Simpson’s diversity, Chao1 index, and number of observed species were calculated using the QIIME software to evaluate the alpha diversity [34]. The sequence data reported in this study were submitted to the NCBI database (PRJNA606702).

2.5. Statistical Analyses

The microbial populations were estimated as cfu/g and logarithmically converted before statistical evaluation. The general linear model (GLM) of SPSS (Statistical Product and Service Solutions) version 25 was used for all analyses. The fermentation characteristics and microbial quantity of silage from ensiling to aerobic conditions were analyzed via two-way ANOVA with the following model:
Yij = μ + αi + βj + (α × β)ij + eij,
where Yij is the dependent variable; μ is the overall mean; αi is the fixed effect of treatment; βj is the effect of time (days of ensiling or air exposure); (α × β)ij is the interaction between treatment and time (days of ensiling or air exposure); and eij is the residual error. The chemical components were analyzed via one-way ANOVA. Tukey’s honest significant difference (HSD) test was used to separate the differences among treatments, and a significant difference was set at p < 0.05.

3. Results and Discussion

3.1. The Chemical and Microbial Composition of Corn before Ensiling

Generally, to obtain suitable nutritional digestibility for animals, the optimal DM of whole-plant corn for silage lies in the range of 33–35%, and the corresponding harvest period is the 1/3–2/3 milk-line stage [35,36]. The chemical and microbial composition in this study before ensiling are shown in Table 1. We harvested corn in the 1/2 milk-line period, and the DM was less than 30%, which may have been related to differences in maturity at harvest and/or the climate [35]. The CP (5.93% DM) in this study was slightly lower than that in other studies [37,38]. The NDF and ADF were 45.15% and 22.23%, respectively, which were lower than the values in other studies [35]. These results may be related to the corn varieties. The corn varieties used in the present experiment featured by leafy and fine stalk, which may have decreased the lignification degree [39]. The number of LAB, enterobacteria bacteria, yeast, and molds were 4.37, 7.34, 5.13, and 1.27 log cfu/g fresh matter (FM), respectively. The epiphytic microorganisms on the forage were related to the forage type and local climate [40]. In high-temperature and high-humidity areas, even with the same crops and climatic conditions, differences in harvest time cause large differences in the numbers and types of epiphytic microorganisms [41].

3.2. Fermentation Profiles and Microbial Counts of Corn Silage

As shown in Table 2. The interaction between treatment and period had significant effects on pH, NH3-N, lactic acid, acetic acid, propionic acid, and butyric acid (p < 0.05). In this study, the pH values of all treatments of corn silage decreased below 4 at 3 d of fermentation and remained at that level until 60 d. During the silage process, there was no significant difference in pH between different treatments at the same time point (p > 0.05). Due to the low buffer capacity of corn, the epiphytic homofermentative nature of LAB, with strong LA production abilities, and the high WSC concentration, the pH of whole-plant corn silage can be quickly reduced and maintained to the end of fermentation, even without adding any fermentation promoters [1,42]. However, heterofermentative LAB play a key role in the aerobic exposure stage of corn silage [11]. In this study, the pH values of all silages increased dramatically after aerobic exposure (p < 0.05). The control had a significantly higher pH than that of the two inoculated silages (both < 5) after 3 d of aerobic exposure (p < 0.05), but the pH of the LB-treated silage was highest after 7 d of aerobic exposure (p < 0.05), and the pH values of all samples exceeded 5. These results confirmed the positive effects of L. buchneri during the initial stage of aerobic exposure (3 d).
In each treatment, lactic acid showed a sharp decrease from fermentation to aerobic exposure. Lactic acid in the control was higher than that in other groups (p < 0.05), reaching 5.68% DM at 3 d of fermentation. There was no difference between treatments at 14 and 60 d of ensiling (p > 0.05). When oxygen entered into the silage, yeast was activated and started to consume lactic acid [43], which could explained why no lactic acid was detected in any treatment after 3 d of aerobic exposure. Due to an unknown reason, a small amount of lactic acid was detected in samples exposed to air for 7 d.
There was no acetic acid observed in the control except at 60 d of fermentation. Lactobacillus plantarum is the main LAB variety naturally attached to corn and dominated at the beginning of fermentation, which may be a reason why acetic acid was difficult to detect in the early stages of ensiling [1].
Lactobacillus buchneri, a typical heterofermentative LAB, was reported to improve the aerobic stability of silage by producing acetic acid [1,44,45]. Our previous studies showed that the aerobic stability of corn silage was significantly improved by inoculated the LR strain [7]. In this study, acetic acid in the LB- and LR-treated groups increased during ensiling and then decreased after aerobic exposure. There was no significant difference in the acetic acid concentrations between the LB and LR treatments at 60 d of ensiling and 3 d of aerobic exposure (p > 0.05); both were in the range of 2.5–3.3% DM, while LR-treated silage had significantly higher acetic acid levels than LB-treated silage at 7 d of aerobic exposure (p < 0.05). Propionic acid and butyric acid were detected in the control silage during the aerobic exposure phase. NH3-N (% TN) showed an upward trend with an increase in time. Control silage had the highest NH3-N levels (% TN) at 3 and 7 d of aerobic exposure (p < 0.05), with 10.69% and 13.60%, respectively. There was no significant difference between LB and LR treatments at 7 d of aerobic exposure (p > 0.05). The high temperature and high moisture of forage often lead to protein hydrolysis, resulting in poor fermentation quality. Moreover, a lower pH can inhibit growth of protein-hydrolyzing microorganisms [46,47]. In this study, the increase in pH may have caused the growth of protein-hydrolyzing microorganisms after aerobic exposure, resulting in the production of NH3-N.
In current study, the number of LAB in each treatment showed a downward trend, with none detectable after 3 d of aerobic exposure (Figure 1). This may have occurred because the pH was low at the end of fermentation, and the growth of low acid-intolerance LAB was inhibited, which means that the silage remained in a stable state [47,48]. In another study, yeast became active again and started to consume lactic acid when air was introduced into the silage, with an increase in pH and the growth of undesirable aerobic microorganisms, which eventually caused silage spoilage [43]. Therefore, most aerobic stability studies have focused on yeast and mold. Our study found that the number of yeasts, molds, and enterobacteria increased by prolonging the aerobic exposure time, and heterofermentative LAB was able to inhibit the growth of undesirable microorganisms, which was consistent with previous reports [6,44].

3.3. Chemical Composition and Aerobic Stability of Corn Silage

The chemical composition and aerobic stability of corn silage at 60 d of ensiling and the DM loss at 3 and 7 d of aerobic exposure are shown in Table 3. DM, DM loss, CP, NDF, ADF, and WSC showed no significant differences between different treatments at 60 d of ensiling (p > 0.05). This result indicated that inoculation with heterofermentative LAB did not change the chemical composition of the corn silage, which was consistent with the results reported by Kleinschmit and Kung [49]. Conversely, silages treated with LB and LR presented significantly improved aerobic stability compared to the control (82 and 78 h vs. 44h; p < 0.05). The lower DM loss (p < 0.05) at 3 d of aerobic exposure also showed that heterofermentative LAB had a positive effect on aerobic spoilage. DM loss increased dramatically after 7 days of aerobic exposure, exceeding 20% for all treatments, which was consistent with the fermentation profile and aerobic stability results (<4 d).

3.4. Changes in Bacterial Community from Ensiling to Aerobic Exposure

The dynamic relative abundance of bacteria at the genus level is shown in Figure 2A. The dominant bacteria in fresh corn were Leuconostoc spp. (77%), Lactobacillus spp. (20%), and Klebsiella spp. (1.7%). These three genera are the common bacteria naturally attached to corn in hot and humid areas [4]. However, the relative abundance of these three genera was inconsistent in different studies due to the influence of forage type, climate, and cultivation measures [50]. Lactobacillus spp. began to dominate after 3 d of ensiling; the control, LB, and LR silage accounted for 96%, 99% and 100%, respectively. Lactobacillus spp. were the most abundant at 14 d. The abundance of Acetobacter spp. in the control silage increased dramatically at 60 d, which accounted for 30%. After 3 d of aerobic degeneration, the abundance of Acetobacter spp. exceeded 95% and 28% in the control and LB groups, respectively. The abundance of Acetobacter spp. eventually exceeded 95% in all silages after aerobic exposure for 7 d. Duniere, Xu, Long, Elekwachi, Wang, Turkington, Forster and McAllister [24] reported that the abundance of Bacillales spp. increased significantly (1% to 43%) after 14 d of aerobic exposure in small grain silages. However, Acetobacter spp. was the most common bacteria after aerobic spoilage in the current study, possibly because of the geographical distribution of Acetobacter spp. Studies have shown that Acetobacter spp. are difficult to locate in North America but are often detected in Asia and Europe [4,20,44]. Acetobacter spp. are generally considered to be a sign of the aerobic spoilage of silage [51].
Based on the bacterial abundance at the genus level, it was difficult to obtain information on how LAB inoculants work in silage. After comparing the results at the genus and species level using SMRT, Yan, Li, Guan, Huang, Ma, Peng, Li, Nie, Zhou, Yang, Cai and Zhang [25] found that it was possible to acquire a mistaken understanding of silage fermentation due to limited information at the genus level. For example, homo- and hetero-fermentative LAB both belong to Lactobacillus spp., but their different abundance levels usually cause completely different fermentation results. In the current study, eight kinds of Lactobacillus spp., such as L. buchneri, L. plantarum, L. rhamnosus, L. brevis, L. fermentum, L. animalis, L. johnsonii, and L. reuteri, were detected in silage by SMRT, including homo- and hetero-fermentative LAB (Figure 2B). Acetobacter fabarum, Leuconostoc pseudomesenteroides, Ruminococcus flavefaciens, Lactococcus lactis, Bacteroides acidifaciens, Clostridiales spp., Pediococcus acidilactici, Bacteroides thetaiotaomicron, Leuconostoc citreum, Helicobacter rodentium, Paraprevotella clara, Akkermansia muciniphila, Paraburkholderia sartisoli, and Paraburkholderia soli were also detected in silage. Acetobacter aceti and A. pomorum were found in corn silage via the traditional culture isolation method [52], and Acetobacter pasteurianus was observed in corn silage from bunker silos by using denaturing gradient gel electrophoresis technology [53]. In the current study, high abundance of A. fabarum was detected in untreated silage after fermentation for 60 d and the completion of almost all aerobic degeneration periods, especially after 7 d of aerobic exposure (all exceeded 95%), which indicated that the appearance of this bacteria may be related to the aerobic deterioration of corn silage. Acetobacter fabarum was first reported to be isolated from Ghanaian cocoa bean heap fermentation [54]. However, there is presently no report on Acetobacter fabarum in silage; thus, its true role during ensiling requires future study.
As shown in Figure 2B, L. plantarum and Leuconostoc pseudomesenteroides were the two most abundant bacteria in fresh corn. After entering an anaerobic state, L. plantarum began to dominate, while L. buchneri dominated in the LB-treated silage from 14 to 60 d of ensiling. Lactobacillus rhamnosus had the highest abundance in LR-treated silage after 60 d of fermentation. These results indicated that the attached L. plantarum played an important role in the early stage of whole-plant corn silage. The two additional heterofermentative LAB were effective but mainly in the middle and late stages of ensiling. This result is consistent with reports that L. buchneri often works after 30 d of ensiling [1]. The dynamic changes observed in the bacterial community at the species level was also consistent with the fermentation profile. Lactobacillus buchneri and L. rhamnosus maintained a dominant position after 3 d of aerobic exposure but were almost completely replaced by A. fabarum after 7 d.

3.5. Diversity of Bacteria Ansilysis

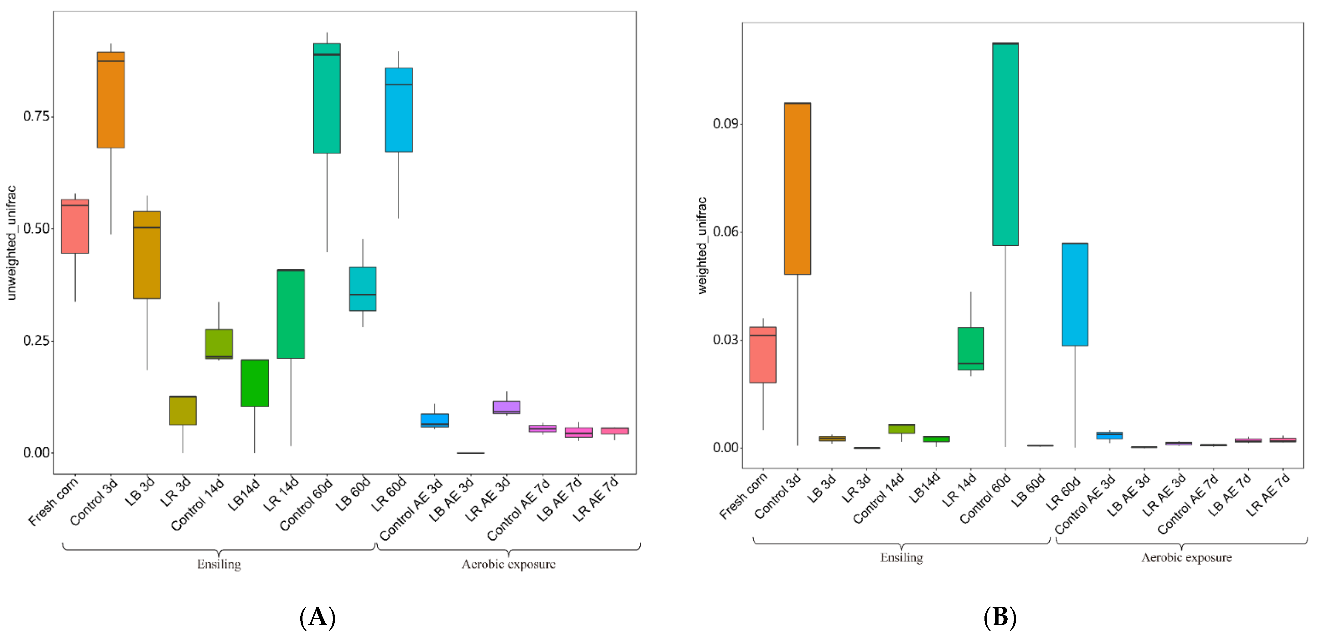
The alpha diversity indices of bacterial communities at different periods are shown in Table 4. The observed species (21), Shannon (0.747), Simpson (0.202), and Chao1 (23.117) indices of the control silage at 3 d of fermentation were much higher than those of other treatments. LAB can quickly occupy a dominant position and simplify the complex microbial community in silage; thus, inhibiting the consumption of raw materials by microorganisms is considered one of the signs of successful silage [48]. The higher alpha diversity indices indicated that the bacterial communities of untreated corn silage were more complicated in the initial period, while inoculated silages dominated the microbial community, making the silage more unified. Unweighted and weighted unifrac can be used to compare the differences between two different microbial communities from an evolutionary perspective [55]. In the current study, the bacterial diversity within and between groups of the control silage was higher than that of other treatments at 3 and 60 d of ensiling (Figure 3). This result was consistent with the results observed for alpha diversity. Unlike the results of Duniere, Xu, Long, Elekwachi, Wang, Turkington, Forster and McAllister [24], the diversity of silage bacteria in each treatment in the present study became smaller after aerobic exposure because Acetobacter fabarum had the greatest advantage among the bacterial community. To find biomarkers in different treatments, a LEfSe analysis was used in this study. As shown in Figure 4, Firmicutes, Cyanobacteria, and Proteobacteria were determined to be different bacteria at the phylum level. Greater bacterial differences were observed among proteobacteria in fresh corn and silage after aerobic exposure, such as Acetobacteraceac and Enterobacterales. We observed more different bacteria, such as Lactobacillales, relative to Firmicutes during ensiling which is in line with the diversity reported by Drouin, et al. [56].

4. Conclusions

SMRT sequencing revealed the distinct community profiles in whole-plant corn silage inoculated with two heterofermentative LAB from ensiling to aerobic exposure. L. plantarum dominated at the beginning of ensiling, while L. buchneri and L. rhamnosus occupied the microbial niche at terminal fermentation in LB- and LR-treated silage, respectively. In this work, acetobacter fabarum was reported in silage for the first time, and its presence was found to be related to aerobic exposure. Two heterofermentative LAB improved aerobic stability by producing higher levels of acetic acid, but this improvement only lasted for 3.5 days. Inoculated L. rhamnosus had a greater pH for a longer period of time after opening and less DM loss at day 7. SMRT technology can be used to thoroughly explore microorganism communities at the species level, thus providing more accurate information for the development and utilization of LAB inoculants.

Author Contributions

Conceptualization, H.G. and X.Z.; methodology, H.G. and H.L.; software, H.G. and Q.R.; validation, H.G., H.L. and Q.R.; formal analysis, H.G.; investigation, H.G. All authors have read and agreed to the published version of the manuscript.

Funding

This study was supported by the China Agriculture Research System of MOF and MARA (grant number CARS-34) and Chongqing performance incentive guide special project (cstc2020jxjl0075).

Institutional Review Board Statement

Not applicable.

Informed Consent Statement

Not applicable.

Conflicts of Interest

The authors declare that the present research was conducted in the absence of any commercial or financial relationships that could be construed as potential conflicts of interest.

References

  1. Andrae, J.G.; Hunt, C.; Pritchard, G.; Kennington, L.; Harrison, J.; Kezar, W.; Mahanna, W. Effect of hybrid, maturity, and mechanical processing of corn silage on intake and digestibility by beef cattle. J. Anim. Sci. 2001, 79, 2268–2275. [Google Scholar] [CrossRef] [PubMed] [Green Version]
  2. Ávila, C.L.S.; Carvalho, B.F.; Pinto, J.C.; Duarte, W.F.; Schwan, R.F. The use of Lactobacillus species as starter cultures for enhancing the quality of sugar cane silage. J. Dairy Sci. 2014, 97, 940–951. [Google Scholar] [CrossRef]
  3. Bernardes, T.F.; Daniel, J.L.P.; Adesogan, A.T.; Mcallister, T.A.; Drouin, P.; Nussio, L.G.; Huhtanen, P.; Tremblay, G.F.; Bélanger, G.; Cai, Y. Silage review: Unique challenges of silages made in hot and cold regions. J. Dairy Sci. 2018, 101, 4001–4019. [Google Scholar] [CrossRef]
  4. Cai, Y. Identification and characterization of Enterococcus species isolated from forage crops and their influence on silage fermentation. J. Dairy Sci. 1999, 82, 2466–2471. [Google Scholar] [CrossRef]
  5. Caporaso, J.G.; Kuczynski, J.; Stombaugh, J.; Bittinger, K.; Bushman, F.D.; Costello, E.K.; Fierer, N.; Peña, A.G.; Goodrich, J.K.; Gordon, J.I. QIIME allows analysis of high-throughput community sequencing data. Nat. Methods 2010, 7, 335–336. [Google Scholar] [CrossRef] [PubMed] [Green Version]
  6. Cleenwerck, I.; Gonzalez, Á.; Camu, N.; Engelbeen, K.; De Vos, P.; De Vuyst, L. Acetobacter fabarum sp. nov., an acetic acid bacterium from a Ghanaian cocoa bean heap fermentation. Int. J. Syst. Evol. Microbiol. 2008, 58, 2180–2185. [Google Scholar] [CrossRef] [PubMed] [Green Version]
  7. Cole, J.R.; Chai, B.; Farris, R.J.; Wang, Q.; Kulam-Syed-Mohideen, A.S.; McGarrell, D.M.; Bandela, A.M.; Cardenas, E.; Garrity, G.; Tiedje, J.M. The ribosomal database project (RDP-II): Introducing myRDP space and quality controlled public data. Nucleic Acids Res. 2007, 35, D169–D172. [Google Scholar] [CrossRef] [Green Version]
  8. Contreras-Govea, F.; Muck, R. Microbial inoculants for silage. Focus Forage 2006, 8, 1–4. [Google Scholar]
  9. Danner, H.; Holzer, M.; Mayrhuber, E.; Braun, R. Acetic Acid Increases Stability of Silage under Aerobic Conditions. Appl. Environ. Microbiol. 2003, 69, 562–567. [Google Scholar] [CrossRef] [Green Version]
  10. Dogi, C.A.; Pellegrino, M.; Poloni, V.; Poloni, L.; Pereyra, C.M.; Sanabria, A.; Pianzzola, M.J.; Dalcero, A.; Cavaglieri, L. Efficacy of corn silage inoculants on the fermentation quality under farm conditions and their influence on Aspergillus parasitucus, A. flavus and A. fumigatusdetermined by q-PCR. Food Addit. Contam. Part A 2015, 32, 229–235. [Google Scholar] [CrossRef] [PubMed]
  11. Driehuis, F.; Elferink, S.J.W.H.O.; Van Wikselaar, P.G. Fermentation characteristics and aerobic stability of grass silage inoculated with Lactobacillus buchneri, with or without homofermentative lactic acid bacteria. Grass Forage Sci. 2001, 56, 330–343. [Google Scholar] [CrossRef]
  12. Drouin, P.; Tremblay, J.; Chaucheyras-Durand, F. Dynamic succession of microbiota during ensiling of whole plant corn following inoculation with Lactobacillus buchneri and Lactobacillus hilgardii alone or in combination. Microorganisms 2019, 7, 595. [Google Scholar] [CrossRef] [PubMed] [Green Version]
  13. Duniere, L.; Xu, S.; Long, J.; Elekwachi, C.; Wang, Y.; Turkington, K.; Forster, R.; McAllister, T.A. Bacterial and fungal core microbiomes associated with small grain silages during ensiling and aerobic spoilage. BMC Microbiol. 2017, 17, 50–66. [Google Scholar] [CrossRef] [Green Version]
  14. Edgar, R.C. Search and clustering orders of magnitude faster than BLAST. Bioinformatics 2010, 26, 2460. [Google Scholar] [CrossRef] [Green Version]
  15. Ferraretto, L.; Shaver, R. Meta-analysis: Effect of corn silage harvest practices on intake, digestion, and milk production by dairy cows. Prof. Anim. Sci. 2012, 28, 141–149. [Google Scholar] [CrossRef]
  16. Ferraretto, L.F.; Shaver, R.D.; Luck, B.D. Silage review: Recent advances and future technologies for whole-plant and fractionated corn silage harvesting. J. Dairy Sci. 2018, 101, 3937–3951. [Google Scholar] [CrossRef]
  17. Filya, I. The effect of Lactobacillus buchneri and Lactobacillus plantarum on the fermentation, aerobic stability, and ruminal degradability of low dry matter corn and sorghum silages. J. Dairy Sci. 2003, 86, 3575–3581. [Google Scholar] [CrossRef] [Green Version]
  18. Guan, H.; Ke, W.; Yan, Y.; Shuai, Y.; Li, X.; Ran, Q.; Yang, Z.; Wang, X.; Cai, Y.; Zhang, X. Screening of natural lactic acid bacteria with potential effect on silage fermentation, aerobic stability and aflatoxin B1 in hot and humid area. J. Appl. Microbiol. 2020, 128, 1301–1311. [Google Scholar] [CrossRef]
  19. Guan, H.; Shuai, Y.; Ran, Q.; Yan, Y.; Wang, X.; Li, D.; Cai, Y.; Zhang, X. The microbiome and metabolome of Napier grass silages prepared with screened lactic acid bacteria during ensiling and aerobic exposure. Anim. Feed. Sci. Technol. 2020, 269, 114673. [Google Scholar] [CrossRef]
  20. Guan, H.; Shuai, Y.; Yan, Y.; Ran, Q.; Wang, X.; Li, D.; Cai, Y.; Zhang, X. Microbial community and fermentation dynamics of corn silage prepared with heat-resistant lactic acid bacteria in a hot environment. Microorganisms 2020, 8, 719. [Google Scholar] [CrossRef]
  21. Guan, H.; Yan, Y.; Li, X.; Li, X.; Shuai, Y.; Feng, G.; Ran, Q.; Cai, Y.; Li, Y.; Zhang, X. Microbial communities and natural fermentation of corn silages prepared with farm bunker-silo in Southwest China. Bioresour. Technol. 2018, 265, 282–290. [Google Scholar] [CrossRef] [PubMed]
  22. Gulfam, A.; Guo, G.; Tajebe, S.; Chen, L.; Liu, Q.; Yuan, X.; Bai, Y.; Saho, T. Characteristics of lactic acid bacteria isolates and their effect on the fermentation quality of Napier grass silage at three high temperatures. J. Sci. Food Agric. 2017, 97, 1931–1938. [Google Scholar] [CrossRef]
  23. Guo, X.S.; Ke, W.C.; Ding, W.R.; Ding, L.M.; Xu, D.M.; Wang, W.W.; Zhang, P.; Yang, F.Y. Profiling of metabolome and bacterial community dynamics in ensiled Medicago sativa inoculated without or with Lactobacillus plantarum or Lactobacillus buchneri. Sci. Rep. 2018, 8, 357. [Google Scholar] [CrossRef] [Green Version]
  24. Haas, B.; Gevers, D.; Earl, A.; Feldgarden, M.; Ward, D.; Giannoukos, G.; Ciulla, D.; Tabbaa, D.; Highlander, S.; Sodergren, E.; et al. Chimeric 16S rRNA sequence formation and detection in Sanger and 454-pyrosequenced PCR amplicons. Genome Res. 2011, 21, 494–504. [Google Scholar] [CrossRef] [Green Version]
  25. Johnson, L.; Harrison, J.H.; Hunt, C.; Shinners, K.; Doggett, C.G.; Sapienza, D. Nutritive value of corn silage as affected by maturity and mechanical processing: A contemporary review. J. Dairy Sci. 1999, 82, 2813–2825. [Google Scholar] [CrossRef]
  26. Johnson, L.M.; Harrison, J.H.; Davidson, D.; Robutti, J.L.; Swift, M.; Mahanna, W.C.; Shinners, K. Corn silage management I: Effects of hybrid, maturity, and mechanical processing on chemical and physical characteristics. J. Dairy Sci. 2002, 85, 833–853. [Google Scholar] [CrossRef]
  27. Khota, W.; Pholsen, S.; Higgs, D.; Cai, Y. Natural lactic acid bacteria population of tropical grasses and their fermentation factor analysis of silage prepared with cellulase and inoculant. J. Dairy Sci. 2016, 99, 9768–9781. [Google Scholar] [CrossRef] [PubMed] [Green Version]
  28. Kleinschmit, D.H.; Kung, L., Jr. A meta-analysis of the effects of Lactobacillus buchneri on the fermentation and aerobic stability of corn and grass and small-grain silages. J. Dairy Sci. 2006, 89, 4005–4013. [Google Scholar] [CrossRef]
  29. Kleinschmit, D.H.; Schmidt, R.J.; Kung, L., Jr. The effects of various antifungal additives on the fermentation and aerobic stability of corn silage. J. Dairy Sci. 2005, 88, 2130–2139. [Google Scholar] [CrossRef] [Green Version]
  30. Kraut-Cohen, J.; Tripathi, V.; Chen, Y.; Gatica, J.; Volchinski, V.; Sela, S.; Weinberg, Z.; Cytryn, E. Temporal and spatial assessment of microbial communities in commercial silages from bunker silos. Appl. Microbiol. Biotechnol. 2016, 100, 6827–6835. [Google Scholar] [CrossRef] [PubMed]
  31. Kung, L., Jr.; Shaver, R.; Grant, R.; Schmidt, R. Silage review: Interpretation of chemical, microbial, and organoleptic components of silages. J. Dairy Sci. 2018, 101, 4020–4033. [Google Scholar] [CrossRef]
  32. Li, Y.; Nishino, N. Bacterial and fungal communities of wilted Italian ryegrass silage inoculated with and without Lactobacillus rhamnosus or Lactobacillus buchneri. Lett. Appl. Microbiol. 2011, 52, 314–321. [Google Scholar] [CrossRef] [PubMed]
  33. Li, Y.; Nishino, N. Effects of inoculation of Lactobacillus rhamnosus and Lactobacillus buchneri on fermentation, aerobic stability and microbial communities in whole crop corn silage. Grassl. Sci. 2011, 57, 184–191. [Google Scholar] [CrossRef]
  34. Li, Y.; Nishino, N. Monitoring the bacterial community of maize silage stored in a bunker silo inoculated with Enterococcus faecium, Lactobacillus plantarum and Lactobacillus buchneri. J. Appl. Microbiol. 2011, 110, 1561–1570. [Google Scholar] [CrossRef]
  35. Lin, C.; Bolsen, K.; Brent, B.; Fung, D. Epiphytic lactic acid bacteria succession during the pre-ensiling and ensiling periods of alfalfa and maize. J. Appl. Bacteriol. 1992, 73, 375–387. [Google Scholar] [CrossRef]
  36. Liu, Q.; Yang, F.; Zhang, J.; Shao, T. Characteristics of Lactobacillus parafarraginis ZH1 and its role in improving the aerobic stability of silages. J. Appl. Microbiol. 2014, 117, 405–416. [Google Scholar] [CrossRef]
  37. Lozupone, C.; Knight, R. UniFrac: A new phylogenetic method for comparing microbial communities. Appl. Environ. Microbiol. 2005, 71, 8228–8235. [Google Scholar] [CrossRef] [PubMed] [Green Version]
  38. McAllister, T.; Dunière, L.; Drouin, P.; Xu, S.; Wang, Y.; Munns, K.; Zaheer, R. Silage review: Using molecular approaches to define the microbial ecology of silage. J. Dairy Sci. 2018, 101, 4060–4074. [Google Scholar] [CrossRef] [Green Version]
  39. Mcdonald, P.; Henderson, A.R.; Heron, S.J.E. The Biochemistry of Silage; John Wiley & Sons: Hoboken, NJ, USA, 1991. [Google Scholar]
  40. Mosher, J.J.; Bowman, B.; Bernberg, E.L.; Shevchenko, O.; Kan, J.; Korlach, J.; Kaplan, L.A. Improved performance of the PacBio SMRT technology for 16S rDNA sequencing. J. Microbiol. Methods 2014, 104, 59–60. [Google Scholar] [CrossRef]
  41. Muck, R. Recent advances in silage microbiology. Agric. Food Sci. 2013, 22, 3–15. [Google Scholar] [CrossRef] [Green Version]
  42. Muck, R.E.; Nadeau, E.M.G.; McAllister, T.A.; Contreras-Govea, F.E.; Santos, M.C.; Kung, L. Silage review: Recent advances and future uses of silage additives. J. Dairy Sci. 2018, 101, 3980–4000. [Google Scholar] [CrossRef]
  43. Ogunade, I.M.; Jiang, Y.; Pech, A.C.; Kim, D.H.; Oliveira, A.S.; Vyas, D.; Weinberg, Z.G.; Jeong, K.C.; Adesogan, A.T. Bacterial diversity and composition of alfalfa silage as analyzed by Illumina MiSeq sequencing: Effects of Escherichia coli O157:H7 and silage additives. J. Dairy Sci. 2017, 101, 2048–2059. [Google Scholar] [CrossRef]
  44. Oliveira, A.S.; Weinberg, Z.G.; Ogunade, I.M.; Cervantes, A.A.P.; Arriola, K.G.; Jiang, Y.; Kim, D.; Li, X.; Gonçalves, M.C.M.; Vyas, D. Meta-analysis of effects of inoculation with homofermentative and facultative heterofermentative lactic acid bacteria on silage fermentation, aerobic stability, and the performance of dairy cows. J. Dairy Sci. 2017, 100, 4587–4603. [Google Scholar] [CrossRef] [PubMed] [Green Version]
  45. Oude Elferinck, S.J.; Driehuis, F.; Becker, P.M.; Gottschal, J.C.; Faber, F.; Spoelstra, S.F. The presence of Acetobacter sp. in ensiled forage crops and ensiled industrial byproducts. Mededelingen 2001, 66, 427–430. [Google Scholar] [PubMed]
  46. Pahlow, G.; Muck, R.E.; Driehuis, F.; Elferink, S.O.; Spoelstra, S.F. Microbiology of Ensiling; OAI: Madison, WI, USA, 2003. [Google Scholar]
  47. Price, M.N.; Dehal, P.S.; Arkin, A.P. FastTree: Computing large minimum evolution trees with profiles instead of a distance matrix. Mol. Biol. Evol. 2009, 26, 1641–1650. [Google Scholar] [CrossRef]
  48. Ranjit, N.K.; Kung, L., Jr. The effect of Lactobacillus buchneri, Lactobacillus plantarum, or a chemical preservative on the fermentation and aerobic stability of corn silage. J. Dairy Sci. 2000, 83, 526–535. [Google Scholar] [CrossRef]
  49. Reich, L.J.; Kung, L., Jr. Effects of combining Lactobacillus buchneri 40788 with various lactic acid bacteria on the fermentation and aerobic stability of corn silage. Anim. Feed. Sci. Technol. 2010, 159, 105–109. [Google Scholar] [CrossRef]
  50. Spoelstra, S.F.; Courtin, M.G.; Beers, J.A.C. Acetic acid bacteria can initiate aerobic deterioration of whole crop maize silage. J. Agric. Sci. 1988, 111, 127–132. [Google Scholar] [CrossRef]
  51. Storm, I.M.L.D.; Kristensen, N.B.; Raun, B.M.L.; Smedsgaard, J.; Thrane, U. Dynamics in the microbiology of maize silage during whole-season storage. J. Appl. Microbiol. 2010, 109, 1017–1026. [Google Scholar] [CrossRef]
  52. Tabacco, E.; Piano, S.; Revello-Chion, A.; Borreani, G. Effect of Lactobacillus buchneri LN4637 and Lactobacillus buchneri LN40177 on the aerobic stability, fermentation products, and microbial populations of corn silage under farm conditions. J. Dairy Sci. 2011, 94, 5589–5598. [Google Scholar] [CrossRef] [Green Version]
  53. Van Soest, P.J.; Robertson, J.B.; Lewis, B.A. Methods for Dietary Fiber, Neutral Detergent Fiber, and Nonstarch Polysaccharides in Relation to Animal Nutrition. J. Dairy Sci. 1991, 74, 3583–3597. [Google Scholar] [CrossRef]
  54. Villa, A.F.; Meléndez, A.P.; Carulla, J.E.; Pabón, M.L.; Cárdenas, E.A. Study of microbiological and nutritional quality of corn silage in two Colombian ecosystems. Rev. Colomb. Cienc. Pecu. 2010, 23, 65–77. [Google Scholar]
  55. Weatherburn, M. Phenol-hypochlorite reaction for determination of ammonia. Anal. Chem. 1967, 39, 971–974. [Google Scholar] [CrossRef]
  56. Yan, Y.; Li, X.; Guan, H.; Huang, L.; Ma, X.; Peng, Y.; Li, Z.; Nie, G.; Zhou, J.; Yang, W.; et al. Microbial community and fermentation characteristic of Italian ryegrass silage prepared with corn stover and lactic acid bacteria. Bioresour. Technol. 2019, 279, 166–173. [Google Scholar] [CrossRef] [PubMed]
Figure 1. Dynamic changes of LAB (A), yeast (B), mold (C), and enterobacteria (D) numbers in corn silages with heterofermentative LAB. Note: The detection range was 0 to 107. Significance between different treatments at the same day (p < 0.05; n = 3); LB: Lactobacillus buchneri 40788; LR: Lactobacillus rhamnosus; 3 d: day 3; 14 d: day 14; 60 d: day 60; AE 3 d: aerobic exposure for 3 days; AE 7 d: aerobic exposure for 7 days.
Figure 1. Dynamic changes of LAB (A), yeast (B), mold (C), and enterobacteria (D) numbers in corn silages with heterofermentative LAB. Note: The detection range was 0 to 107. Significance between different treatments at the same day (p < 0.05; n = 3); LB: Lactobacillus buchneri 40788; LR: Lactobacillus rhamnosus; 3 d: day 3; 14 d: day 14; 60 d: day 60; AE 3 d: aerobic exposure for 3 days; AE 7 d: aerobic exposure for 7 days.
Fermentation 07 00258 g001
Figure 2. Relative abundance of bacterial composition in corn silages with heterofermentative LAB during the different periods at the genus level (A) and species level (B). Note: LB, Lactobacillus buchneri 40788; LR, Lactobacillus rhamnosus; 3 d, day 3; 14 d, day 14; 60 d, day 60; AE 3 d, aerobic exposure for 3 days; AE 7 d, aerobic exposure for 7 days.
Figure 2. Relative abundance of bacterial composition in corn silages with heterofermentative LAB during the different periods at the genus level (A) and species level (B). Note: LB, Lactobacillus buchneri 40788; LR, Lactobacillus rhamnosus; 3 d, day 3; 14 d, day 14; 60 d, day 60; AE 3 d, aerobic exposure for 3 days; AE 7 d, aerobic exposure for 7 days.
Fermentation 07 00258 g002aFermentation 07 00258 g002b
Figure 3. Bacterial diversity of corn silages with heterofermentative LAB during different periods: (A) unweighted unifrac; (B) weighted unifrac. Note: LB, Lactobacillus buchneri 40788; LR, Lactobacillus rhamnosus; 3 d, day 3; 14 d, day 14; 60 d, day 60; AE 3 d, aerobic exposure for 3 days; AE 7 d, aerobic exposure for 7 days.
Figure 3. Bacterial diversity of corn silages with heterofermentative LAB during different periods: (A) unweighted unifrac; (B) weighted unifrac. Note: LB, Lactobacillus buchneri 40788; LR, Lactobacillus rhamnosus; 3 d, day 3; 14 d, day 14; 60 d, day 60; AE 3 d, aerobic exposure for 3 days; AE 7 d, aerobic exposure for 7 days.
Fermentation 07 00258 g003
Figure 4. LEfSe analysis of corn silages with heterofermentative LAB during different periods.
Figure 4. LEfSe analysis of corn silages with heterofermentative LAB during different periods.
Fermentation 07 00258 g004
Table 1. The chemical and microbial composition of corn before ensiling.
Table 1. The chemical and microbial composition of corn before ensiling.
Corn
Dry matter (DM; % FM)28.38
pH5.78
Crude protein (% DM)5.93
Neutral detergent fiber (% DM)45.15
Acid detergent fiber (% DM)22.23
Water-soluble carbohydrates (% DM)17.77
Lactic acid bacteria (log cfu/g FM)4.37
Enterobacteria (log cfu/g FM)7.34
Yeasts (log cfu/g FM)5.13
Molds (log cfu/g FM) 1.27
DM, dry matter; FM, fresh matter; cfu, colony-forming units.
Table 2. Fermentation characteristics of corn silage prepared with heterofermentative LAB at different periods.
Table 2. Fermentation characteristics of corn silage prepared with heterofermentative LAB at different periods.
Period
ItemsSamples3 d14 d60 dAE 3 dAE 7 dSEMTreatmentPeriodInteraction
Control3.91c3.92c3.84d5.58bA6.02aB0.04<0.01<0.01<0.01
pHLB3.88c3.92c3.85c4.51bC6.54aA
LR3.87c3.90c3.85c4.76bB5.04aC
Control2.38cA3.20c4.25c10.69bA13.60aA 0.109<0.01<0.01
NH3-N (% TN)LB1.50cB2.96b3.32b5.22aB8.97aB
LR1.38dB2.15cd4.06b2.81cC6.81aB
Control5.68aA4.28b4.06b0c0c0.141<0.010.774<0.05
LA (% DM)LB4.42aB4.93a4.67a0c0.82c
LR3.87aB4.95a4.42a0b2.65ab
Control0bB0bC0.78aB0bB0bB0.085<0.01<0.01<0.01
AA (% DM)LB2.42aA3.32aB2.51aA2.81aA0bB
LR2.49abA4.28aA3.29aA2.83abA1.01bA
Control0c0c0c1.11a0.76b0.023<0.01<0.01<0.01
PA (% DM)LB00000
LR00000
Control0b0b0.79b3.36a3.23a0.125<0.01<0.05<0.05
BA (% DM)LB0b0b0b0b3.18a
LR0b0b0b0.27b2.57a
Values with different lowercase letters show significant differences between ensiling days for the same treatment; values with different capital letters show significant differences between treatments during the same ensiling day (p < 0.05). TN, total nitrogen; AE, aerobic exposure; LB, Lactobacillus buchneri 40788; LR, Lactobacillus rhamnosus; LA, lactic acid; AA, acetic acid; PA, propionic acid; BA, butyric acid.
Table 3. Chemical composition and aerobic stability of corn silage at 60 d of ensiling and DM loss at 3 and 7 d of aerobic exposure.
Table 3. Chemical composition and aerobic stability of corn silage at 60 d of ensiling and DM loss at 3 and 7 d of aerobic exposure.
DM %DM Loss %CP
(% DM)
WSC
(% DM)
NDF
(% DM)
ADF
(%DM)
Aerobic Stability (h)DM Loss %
AE 3 d
DM Loss %
AE 7 d
Control26.413.966.911.54543044B6.64A27.46A
LB26.223.756.351.86553082A3.07B26.53A
LR26.513.266.431.48553378A3.76B23.55B
SEM0.1070.0370.0290.0360.7020.6191.4390.0980.343
p-value0.9480.9980.1600.1700.1370.332<0.05<0.05<0.05
A–B, Data means in the same column followed by different letters differ from each other (p < 0.05; n = 3). AE, aerobic exposure; LB, Lactobacillus buchneri 40788; LR, Lactobacillus rhamnosus; DM, dry matter; DM loss, dry matter loss; CP, crude protein; WSC, water-soluble carbohydrates; NDF, neutral detergent fiber; ADF, acid detergent fiber.
Table 4. Alpha diversity indices of bacterial communities in different periods.
Table 4. Alpha diversity indices of bacterial communities in different periods.
GroupObserved SpeciesShannonSimpsonChao1Goods CoveragePD Whole Tree
Fresh corn9 c0.197 cd0.052 de11.694 f0.9991.05 cd
Control 3 d21 b0.747 a0.202 a23.117 b0.9992.363 a
LB 3 d10 c0.17 cd0.035 de15.167 d0.9991.081 cd
LR 3 d2 g0.005 d0.001 e2 l10.478 h
Control 14 d10 c0.212 cd0.053 de17.5 c0.9991.216 c
LB 14 d5 cde0.146 cd0.041 de7 hij10.605 gh
LR 14 d10 c0.562 ab0.197 ab13.833 e0.9991.527 b
Control 60 d28 a0.545 ab0.115 cd29.083 a0.9992.647 a
LB 60 d4 efg0.076 cd0.017 e4.5 k10.961 cde
LR 60 d11 c0.218 cd0.055 de13.952 e0.9991.745 b
Control AE 3 d5 cde0.096 d0.02 de5.833 jk10.827 def
LB AE 3 d3 fg0.046 d0.009 e3 l10.752 fg
LR AE 3 d3 fg0.165 cd0.036 de8.333 gh10.857 def
Control AE 7 d7 d0.228 cd0.055 de7.667 ghi10.864 def
LB AE 7 d6 e0.34 bc0.102 bc6.333 ij10.85 ef
LR AE 7 d6 e0.156 cd0.034 de9 g10.85 def
a–l, Data means in the same column followed by different letters differ from each other (p < 0.05; n = 3). Note: LB, Lactobacillus buchneri 40788; LR, Lactobacillus rhamnosus; 3 d, day 3; 14 d, day 14; 60 d, day 60; AE 3 d, aerobic exposure for 3 days; AE 7 d, aerobic exposure for 7 days.
Publisher’s Note: MDPI stays neutral with regard to jurisdictional claims in published maps and institutional affiliations.

Share and Cite

MDPI and ACS Style

Guan, H.; Ran, Q.; Li, H.; Zhang, X. Succession of Microbial Communities of Corn Silage Inoculated with Heterofermentative Lactic Acid Bacteria from Ensiling to Aerobic Exposure. Fermentation 2021, 7, 258. https://doi.org/10.3390/fermentation7040258

AMA Style

Guan H, Ran Q, Li H, Zhang X. Succession of Microbial Communities of Corn Silage Inoculated with Heterofermentative Lactic Acid Bacteria from Ensiling to Aerobic Exposure. Fermentation. 2021; 7(4):258. https://doi.org/10.3390/fermentation7040258

Chicago/Turabian Style

Guan, Hao, Qifan Ran, Haiping Li, and Xinquan Zhang. 2021. "Succession of Microbial Communities of Corn Silage Inoculated with Heterofermentative Lactic Acid Bacteria from Ensiling to Aerobic Exposure" Fermentation 7, no. 4: 258. https://doi.org/10.3390/fermentation7040258

APA Style

Guan, H., Ran, Q., Li, H., & Zhang, X. (2021). Succession of Microbial Communities of Corn Silage Inoculated with Heterofermentative Lactic Acid Bacteria from Ensiling to Aerobic Exposure. Fermentation, 7(4), 258. https://doi.org/10.3390/fermentation7040258

Note that from the first issue of 2016, this journal uses article numbers instead of page numbers. See further details here.

Article Metrics

Back to TopTop