Abstract
Degradation products from sugars and lignin are commonly generated as byproducts during pretreatment of biomass being processed for production of renewable fuels and chemicals. Many of the degradation products act as microbial inhibitors, including furanic and phenolic compounds and acetate, which is solubilized from hemicellulose. We previously identified a group of fungi, Coniochaeta species, that are intrinsically tolerant to and capable of mineralizing furans present in biomass hydrolysates. Here, we challenged 20 C. ligniaria and phylogenetically related isolates with acetate to test if the robustness phenotype extended to this important inhibitor as well, and all strains grew at concentrations up to 2.5% (w/v) sodium acetate. At the highest concentrations tested (5.0–7.5% w/v), some variation in growth on solid medium containing glucose plus acetate was apparent among the strains. The hardiness of four promising strains was further evaluated by challenging them (0.5% w/v sodium acetate) in mineral medium containing 10 or 15 mM furfural. The strains grew and consumed all of the acetate and furfural. At a higher (2.5% w/v) concentration, consumption of acetate varied among the strains: only one consumed any acetate in the presence of furfural, but all four strains consumed acetate provided that a small amount (0.2% w/v) of glucose was added. Finally, the four strains were evaluated for biological abatement of rice hull hydrolysates having elevated acetate content. The hardiest strains were also able to consume furfural and 5-hydroxymethylfurfural (HMF) within 24 h, followed by acetate within 40 h when grown in dilute acid pretreated rice hulls containing 0.55% acetate, 15 mM furfural, and 1.7 mM HMF. As such, these strains are expected to be helpful for abating non-desirable compounds from unrefined hydrolysates so as to enable their conversion to bioproducts.
1. Introduction
Conversion of lignocellulosic feedstocks to bioproducts begins with thermal and chemical pretreatment of ground biomass to render cell wall polymers accessible to enzymatic saccharification. Cellulase and hemicellulase enzymes release monosaccharides, namely glucose from cellulose and primarily xylose, and lesser amounts of arabinose, mannose, and galactose from hemicellulose. Microbial conversion of monosaccharides to ethanol (or other products) can be carried out simultaneously with or separately from enzymatic hydrolysis. The liquor containing sugar monomers, however, generally contains microbial inhibitors that negatively impact fermentation. During pretreatment, cyclic aldehydes form from dehydration of monosaccharides, aromatic acids and aldehydes are solubilized from lignin, and acetic acid is released from hemicellulose [1,2]. The mixture of inhibitory chemicals synergistically impacts cell viability and growth, and xylose fermentation is particularly affected by the presence of inhibitors that contribute to cellular redox and energy demands [3].
Acetate is substituted on xylan sidechains [4] and is released during pretreatment of biomass feedstocks, for example, poplar wood [5] and rice hulls [6]. Acetate acts as a microbial inhibitor likely by a combination of mechanisms including diminishing cellular protonmotive force, disrupting intracellular anion pools, and altering acetyl-phosphate signaling pathways [7]. At 0.6% w/v, acetate decreases the growth rate of Escherichia coli by half [8]. Saccharomyces cerevisiae was shown to be inhibited by acetate concentrations at 0.1–0.6 % w/v [9]. There have been some efforts to improve the tolerance of Saccharomyces to acetate. Mutation and selection of an industrial S. cerevisiae strain improved acetate tolerance and ethanol fermentation performance from 0.47 to 0.63% (w/v) [10]. However, acetate is of particular concern for fermentations of lignocellulosic sugars because even a low concentration of acetate impedes the complete conversion of the xylan fraction of biomass [11,12,13,14,15]. Henningsen et al. [16] engineered S. cerevisiae with an NADPH-specific alcohol dehydrogenase to improve redox balance from NADH depletion and increased acetate consumption to 0.18% w/v with glucose co-consumption. Alternatively, Wei et al. [17] showed that xylose co-metabolism to produce NADH in engineered S. cerevisiae could provide the reducing equivalents necessary for acetate reduction. Coupling xylose fermentation to acetate detoxification resulted in a strain that consumed 0.2% (w/v) acetate. Other strategies for acetate removal have been tried [18] with some success. While acetate consumption was increased in these studies, specific growth rates for some of the engineered strains were decreased [16,18].
Considering the potential negative effects on glucose metabolism, most work on managing inhibitors has applied process-based strategies including dilution of hydrolysates or evaporation, adsorption, precipitation, and extraction of inhibitors present in sugar streams [19,20]. Our lab developed a fungal-based biological abatement strategy for removal of inhibitors, including furans and aromatic aldehydes, arising from pretreatment of biomass substrates such as rice hulls [21]. For bioabatement, a fungal strain, Coniochaeta ligniaria NRRL 30616, was isolated and used to mitigate fermentation inhibitors via metabolism during a conditioning step prior to fermentation. The strain, which exhibits primarily yeast-type growth morphology in liquid culture, metabolizes furans and aromatic and aliphatic acids and aldehydes and grows on numerous compounds as sole source of carbon and energy [22,23]. Reduction of furanic and aromatic inhibitors to alcohols serves to detoxify the inhibitors and, although an oxidative pathway has been shown for mineralization of furans in bacteria, a fungal catabolic pathway has not been characterized [24]. Using C. ligniaria NRRL 30616, bioabatement of furan and phenolic inhibitors yielded improved fermentation of several biomass feedstocks and also facilitated recycling of process water at laboratory scale [25,26]. However, tolerance to acetate has not been examined for C. ligniaria and phylogenetically related species. In the present study, we examined growth on acetate by C. ligniaria NRRL 30616 and several related fungal strains and compared their growth in sugars obtained by dilute acid hydrolysis of rice hulls.
2. Materials and Methods
2.1. Strains and Culture Conditions
The strains used in this study are listed in Table 1. Strains were cultured at 30 °C in liquid mineral medium (25 mM KH2PO4, 0.1% (w/v) (NH4)2SO4, 0.1% (v/v) Hutner’s mineral solution [27]) adjusted to pH 5.7 and supplemented with 1% (w/v) glucose unless otherwise specified. Solid medium contained 1.5% (w/v) Difco Noble Agar (Becton, Dickinson & Co., Sparks, MD, USA), which was autoclaved in water and combined after autoclaving with other medium components. For acetate tolerance assays, filter-sterilized sodium acetate was added to the medium at final concentrations specified. For experiments entailing growth on solid medium, autoclave-sterilized filters (Whatman #1001–070, Cole Parmer, Vernon Hills, IL, USA) were placed on top of the freshly-prepared medium, and 1 mL of an overnight liquid culture diluted to 107 cfus/mL was dispensed onto the filter. After incubation in sealed plastic bags at ambient temperature for 10 days, filters were removed from the plates and dried in an oven at 55 °C overnight. Filters were weighed and dry cell weight was determined by subtracting the weight of the uninoculated dried filter.
Table 1.
Strains used in this study.
2.2. Preparation of Rice Hull Dilute Acid Hydrolysate (RHH)
Rice hulls were obtained from Rice Hull Specialty Products (Stuttgart, AR, USA) and ground in a knife mill to pass through a 1 mm screen. Ground rice hulls, prior to pretreatment, had 6.1% moisture and contained 35.6% cellulose, 12.0% hemicellulose, 15.4% lignin, and 18.7% ash (w/w, dry solid basis). Hydrolysis of 30 g biomass in 100 mL 1.0% (v/v) H2SO4 for 20 min at 150 °C was carried out using infrared heating in steel reactors as described [28]. The hydrolysate contained 1.91 ± 0.17% glucose, 3.34 ± 0.05% xylose, 0.46 ± 0.01% arabinose, 0.28 ± 0.01% galactose, 0.01 ± 0.01% sucrose, 0.01 ± 0.00% glycerol, and 1.21 ± 0.08% acetate (w/v). Furfural and HMF concentrations were 23.2 ± 1.4 and 2.9 ± 0.13 mM, respectively.
2.3. Metabolism of Sugars and Inhibitors in RHH Flask Cultures
C. ligniaria and related strains were grown in 50 mL RHH diluted with an equal volume of water. This mixture was termed 0.5× RHH. Cultures were incubated at 30 °C in 250 mL Erlenmeyer flasks with aeration by shaking at 225 rpm in a MaxQ6000 incubator (Thermo Scientific, Marietta, OH, USA); pH was adjusted to 5.7 at the start of growth without further adjustment during incubation.
2.4. Growth in Microbioreactors
Experiments were carried out in triplicate in BioLector (m2p-labs, Baesweiler, Germany) micro-fermentation system using 48-well plates (MTP FlowerPlate B) sealed with gas-permeable foils with evaporation-reducing layer (#F-GPR48-10, m2p Labs). Wells containing 1.0 mL 0.5× RHH plus 0.1% (NH4)2SO4 at pH 5.7 were inoculated with a starting optical density (600 nm) of 0.1; inoculated cultures were grown at 30 °C and 80% humidity with 800 rpm orbital shaking. Growth was monitored at 15 min intervals by measuring optical backscatter signal [30].
2.5. Growth in Minibioreactors
To measure consumption of inhibitors simultaneously during fungal growth, strains were cultured in 100 mL RHH in 350 mL total volume glass parallel bioreactors (DASGIP, 101 Eppendorf, Hauppauge, NY, USA) with pH balanced at 5.7 using 2 M NaOH and 2 M HCl. Overnight precultures in YP medium containing 2% w/v glucose were inoculated to an optical density of 0.1 (1 cm pathlength; Shimadzu UV-1800 spectrophotometer, Shimadzu USA, Canby, OR, USA). Vessels were stirred at 400 rpm (Rushton impeller, 30 mm 106 outer diameter) and aerated with filtered air at 1.0 v/v/min.
2.6. Analytical Methods
Sugars were measured using HPLC with refractive index detection at 65 °C and eluted using 0.6 mL/min. water from an Aminex HPX-87P column (Bio-Rad, Richmond, CA, USA). Acetate was quantified using an HPX-87H column (Bio-Rad, Richmond, CA, USA) and elution with 5 mM H2SO4 at 0.5 mL/min at 65 °C. Concentration of furfural and 5-hydroxymethylfurfural (HMF) was determined by using UV detection at 277 nm on an Econosphere C18 column (Alltech, Deerfield, IL, USA) in reverse phase HPLC at 40 °C. Elution utilized acidified methanol.
3. Results and Discussion
Although acetate at higher concentrations is inhibitory, it can also support microbial growth. C. ligniaria NRRL 30616 is an ascomycete fungus shown to tolerate and metabolize organic inhibitors commonly present in biomass hydrolysates. In this study, C. ligniaria NRRL 30616 and a collection of phylogenetically related Coniochaeta strains (Table 1) were tested for their abilities to grow on acetate, for growth tolerance when combined with furfural, another potent microbial inhibitor, and for growth on sugars prepared from pretreated and hydrolyzed rice hulls.
Growth was initially compared for strains cultured on solid mineral medium containing 1% (w/v) glucose plus sodium acetate and buffered to pH 5.7, 6.3, or 6.8. For each strain, accumulated cell mass was similar at each of three concentrations (0.2, 0.5, and 1% (w/v)) of sodium acetate across pH values (not shown). Because all of the strains grew well at the highest (1%) concentration, growth was subsequently compared at increasing acetate concentrations. Strains were cultured on solid mineral medium, pH 5.7, as the lower pH is expected to be more challenging, allow greater diffusion of undissociated acetic acid into cells, and be compatible with dilute acid hydrolysis of biomass. Unless otherwise stated, media contained 1% (w/v) glucose plus sodium acetate over a range of concentrations (Figure 1, Table 2). The dry weight of growth obtained (0.025 to 0.082 ± 0.01 g (dw)) on plates containing 1% glucose without added sodium acetate was set at 100% for each strain. Growth was measured on individual plates at each acetate concentration with 2–3 replicates. Compared to growth on only glucose, most strains demonstrated an increase in cell mass at up to 2.5% (w/v) sodium acetate (Table 2). This result was somewhat surprising as, for S. cerevisiae, acetate concentrations as low as 0.3% (w/v) have been shown to decrease biomass yield by up to 38% [13]. Decreased biomass yield for S. cerevisiae is thought to occur because of ATP depletion while the cell attempts to maintain cytosolic pH by removal of protons via the plasma membrane H+-ATPase proton pump [31]. The increase in cell mass observed with C. ligniaria strains suggests an innate ability to use acetate as a carbon and energy source for growth, even at elevated concentrations. After incubation for 10 days, the strains exhibited one of three growth patterns, as shown in Table 2. Growth of Strains 4, 14, 17, and 19–24 was uninhibited in the presence of up to 2.5% acetate. A second group was uninhibited up to 5% (w/v) acetate while growing poorly or not at all in the presence of 7.5% acetate (Strains 1, 3, 7, 10, 11, 16, 18). The remaining strains (Strains 5, 6, 8, 9) grew on glucose in the presence of 7.5% acetate and even exhibited some growth in the presence of 10% acetate. In Table 2, the average standard deviation was 18.4% and 19.6%, respectively, for strains grown on 1%, and 2% (w/v) acetate and, for strains that grew on agar containing glucose plus 5, 7.5 and 10% acetate, standard deviation increased to 41.3%, 93.1% and 109.6%, respectively. The greater variation at higher acetate concentrations likely reflects the poor and inconsistent growth caused by inhibition, along with the higher proportional error when measuring smaller quantities of cell mass. Variability from evaporation of the acetate was minimized by incubating plates in sealed plastic bags.
Figure 1.
Growth of Coniochaeta strains on solid mineral media containing 1% (w/v) glucose plus inhibitors. From left to right, bars show growth of strains 1 (blue,) 6 (orange,) 8 (grey,) and 9 (yellow.) (A) The additional effect of furfural was compared for a subset of strains. Dry cell weight of strains grown on solid mineral medium containing glucose (1%) plus various combinations of acetate (2.5%) and furfural (10, 15, or 20 mM) are indicated below the figure. Shaded and open boxes indicate the presence or absence of compounds, respectively. (B) Dry cell weight of strains grown on combinations including benzaldehyde. (C) Growth of each strain on combinations of inhibitors, relative to its growth on glucose. The leftmost bar in each group shows dry cell weight of each strain grown on 1% (w/v) glucose set to 100%. Inhibitory carbon sources added to the medium are shown as filled boxes below the figure. Acetate was present at 2.5% w/v, furfural was 10, 15, or 20 mM, and benzaldehyde was 2.5 mM. Dashed line indicates 100% relative growth for each strain on glucose. Error bars show standard deviations.
Table 2.
Growth of Coniochaeta strains on solid mineral medium containing sodium acetate 1.
A subset of the most acetate-tolerant strains was then examined for their abilities to grow in the presence of acetate combined with furfural, which is typically present with acetate and also a potent microbial inhibitor (Figure 1A). In this experiment, 1.0% glucose solid mineral medium (pH 5.7) was supplemented with 10 mM furfural with or without 2.5% sodium acetate. As observed previously, most of the strains generated more biomass in cultures with 2.5% acetate than without. While strains 1, 6, and 8 all showed an increase in biomass when acetate was present (approximately 40 to 100% increase), strain 9 did not exhibit as much of a benefit from the presence of acetate. The strains also grew well in the presence of 10 mM furfural or the combination of 2.5% sodium acetate and 10 mM furfural. In general, strain 1 grew best, but all four strains exhibited decreased and less consistent growth when furfural was present at concentrations >10 mM. While both strains 1 and 9 (C. ligniaria NRRL 30616 and NRRL 32072, respectively) grew in the presence of 15 mM furfural, only Strain 1 grew at this high furfural concentration when acetate was also present. All strains grew poorly on 20 mM furfural, with or without added acetate.
In addition to furans and acetate, unrefined hydrolysates also contain aromatic aldehydes, acids, and alcohols, which are also inhibitory to growth. Therefore, we were also interested in challenging these strains to model aromatics. Here, benzaldehyde was added to the medium as a representative aromatic aldehyde. Growth in the presence of acetate, furfural, and benzaldehyde is shown in Figure 1B. The combination of benzaldehyde plus furfural yielded decreased growth relative to growth on only glucose. The negative effect of a low (2 mM) concentration of benzaldehyde was masked by the additional presence of 2.5% acetate, as addition of 2.5 mM benzaldehyde to culture medium containing glucose plus acetate did not negatively affect growth of the strains. Figure 1A,B compare cell mass for the four strains, while Figure 1C shows relative inhibition for each strain compared to that strain’s growth on glucose. These comparisons show that all four strains have diminished growth in mixtures of inhibitors including 15 and 20 mM furfural. It is apparent that strain 8 (NRRL 32071) exhibits the largest relative increase in growth on medium containing 2.5 % acetate and is least affected by most combinations of inhibitors, and strain 1 (NRRL 30616) is least impacted by presence of furfural. The addition of 2.5 mM benzaldehyde in combination with acetate or furfural only slightly decreased growth of each strain.
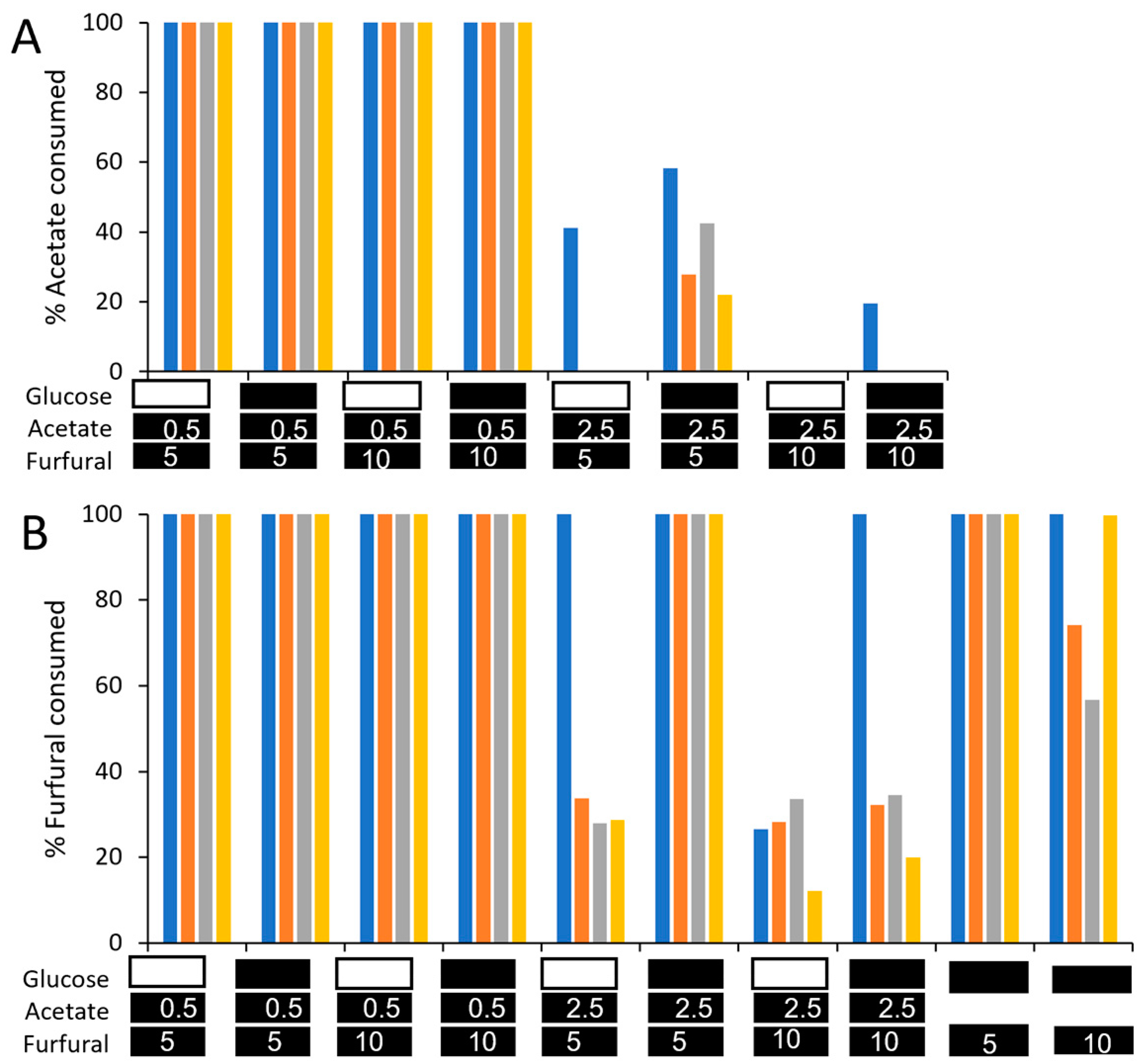
Consumption of inhibitory substances for the four strains was next measured for liquid cultures (Figure 2). Strains were cultured for 72 h with or without 0.2% glucose in mineral medium adjusted to pH 5.7 in the presence of acetate and furfural. Consumption of acetate from cultures containing mixtures of acetate and furfural was measured (Figure 2A). From a mixture of 0.5% sodium acetate and 5 mM or 10 mM furfural, acetate was completely metabolized by all four strains whether or not glucose was provided (Figure 2A). When the concentration was increased to 2.5% sodium acetate plus 5 mM furfural, acetate was partially consumed by all strains, provided that glucose was present in the medium. Only Strain 1 consumed acetate from the mixture of 2.5% acetate and 5 mM furfural without glucose. Again, this result is surprising because glucose is typically required to maintain ATP levels when consuming acetate at these concentrations. In the mixture of 2.5% acetate and a higher concentration (10 mM) of furfural, again, only strain 1 partially consumed acetate when glucose was present. None of the cultures consumed acetate in the absence of glucose (Figure 2A). The results observed with liquid culture were consistent with results from growth on solid medium. On plates, strains 1 and 8 showed the greatest growth increase from the presence of acetate (Figure 1B). In liquid culture, strains 1 and 8 also consumed the most acetate at elevated stress levels when compared to strains 6 and 9.
Figure 2.
(A) Acetate consumption by (from left to right in each group) Strains 1, 6, 8, and 9 in 72 h flask cultures containing mineral medium. (B) Furfural consumption in the same medium. Presence of 0.2% glucose plus acetate added at 0.5 or 2.5% and furfural at 5 or 10 mM is indicated by black boxes.
An examination of furfural consumption (Figure 2B) revealed that, as expected, all four strains consumed furfural from a mixture containing 0.5% acetate and 5 mM furfural, whether or not glucose was present. The rate of consumption varied for the cultures, with furfural depleted in most instances by 164 h (not shown). With increased sodium acetate (2.5%), only strain 1 consumed 100% of 5 mM furfural, while strains 6, 8, and 9 metabolized a portion of the furfural. In medium containing 10 mM furfural and 2.5% sodium acetate, all strains partially consumed furfural. With the addition of glucose, strain 1 was restored to full consumption of 10 mM furfural and the other strains partially metabolized furfural. Thus, strain 1 had greatest ability to consume both acetate and furfural from defined mineral culture medium.
Acetate is of interest particularly in hydrolysates prepared from biomass where the hemicellulose is extensively acetylated. These hydrolysates are particularly challenging to ferment because pretreatment releases acetate. The four exceptional fungal strains identified here were further evaluated for bio-abatement of rice hull hydrolysate because it contains a high acetate concentration. In particular, the hydrolysate was produced by pretreating rice hulls with dilute acid, recovering the liquid fraction, and neutralizing it. In an actual process, the bio-abated liquid would be recombined with the solids, treated with cellulase to produce sugars, and the sugars fermented with yeast.
Microbial growth was measured both in mineral medium and in 0.5× RHH in 1.0-well microbioreactors. The four strains 1, 6, 8, and 9 exhibited similar patterns of growth in defined mineral medium containing 1% w/v glucose plus 1% w/v acetate, along with furfural and HMF (Figure 3A), with doubling times of 8.5 ± 1.1–10.2 ± 0.8 h for the four strains. Medium with higher (1.5% w/v) acetate resulted in higher culture densities and faster growth rates with doubling times of 5.2 ± 0.2–7.7 ± 1.8 h (not shown). Growth of the four strains in 0.5× RHH (i.e., 13.2 mM furfural, 1.4 mM HMF, and 0.7% acetate at pH 5.7) was more variable (Figure 3B) than in basal mineral medium containing inhibitors (Figure 3A). The growth curves in 0.5× RHH are consistent with an initial phase in which furfural, HMF, and acetate were consumed, followed by a short phase of glucose consumption (Figure 3B). Doubling times in 0.5× RHH were 8.4 ± 0.6 to 11.1 ± 0.3 h for the four strains, and the maximum culture density and lag phase of growth varied among the four strains (Figure 3B); this variation is indicative of the complex inhibitory nature of biomass hydrolysate. The sustained growth of Strain 1 but not Strains 6, 8, and 9 in 0.5× RHH suggests that Strain 1 uniquely continued to metabolize substrates present in hydrolysate. Likewise, only Strain 1 grew in 0.75× hydrolysate at pH 5.7 (not shown). The growth results are similar to those observed in flask cultures (not shown) and agree with prior results showing that glucose is metabolized after inhibitors are consumed [22].
Figure 3.
Fungal growth on acetate and inhibitors and on RHH. Strain 1, blue; strain 6, orange, strain 8, gray, and strain 9, gold. (A) Microbioreactor cultures in mineral medium containing 1% glucose, 1% w/v acetate, 11 mM furfural, and 1.4 mM HMF. (B) Microbioreactor cultures grown in 0.5× RHH.
Following the assessment of growth in hydrolysate (Figure 3), inhibitor and sugar consumption were measured in aerated bioreactor cultures. Here, cultures were pH-controlled at 5.7. These bioreactor cultures provided an integrated view of microbial growth and inhibitor consumption for the four strains C. ligniaria 1, 6, 8, and 9 (Figure 4). The experimental results show the immediate commencement of furfural consumption and subsequent decrease in concentration of HMF and acetic acid, with metabolism of glucose also beginning after depletion of furfural. Strain 1 (NRRL 30616) metabolized furfural the most rapidly and likewise commenced consumption of the inhibitors HMF and acetate earlier than the other strains. C. ligniaria strains 6, 8, and 9 commenced consumption of inhibitors after longer lag times, and growth was correspondingly delayed, especially for strain 9. Consumption of acetate and glucose paralleled metabolism of HMF, while metabolism of xylose was delayed until late in the time course, after depletion of inhibitors. In previous work, we have shown bioabatement using Strain 1 enables and improves ethanol fermentation of rice hull hydrolysates using recombinant yeast and bacteria [21]. In comparing acetate utilization among Coniochaeta strains, a goal of this study was to identify a potentially superior candidate compared to the previously used C. ligniaria Strain 1 (NRRL 30616). The superior acetate and inhibitor tolerance of Strain 1 indicates that other strains investigated here would not offer further increases in ethanol production compared to bioabatement using Strain 1.
Figure 4.
Growth in RHH in pH-controlled bioreactors: simultaneous measurement of growth and inhibitor consumption. (A) Strain 1: NRRL 30616; (B) Strain 6: NRRL 32069; (C) Strain 8: NRRL 32071; (D) Strain 9: NRRL 32072. Acetic acid (black circles), glucose (gray circles,) and xylose (open circles,) concentrations are shown on the left axis. Cell growth (x) and concentration of furfural (open squares) and HMF (filled squares) are shown on the right axis (mM). Error bars indicate standard deviation.
Consumption of sugars during inhibitor abatement is undesirable and should be minimized, regardless of the method of mitigation. In bioabatement, Coniochaeta prioritizes metabolism of furans prior to sugars [22], reflecting the need for detoxification of hydrolysate. Thus, monitoring inhibitor concentrations should allow fermentation to proceed with minimal loss of soluble monosaccharides. In addition, pretreatment of biomass solubilizes hemicellulose but not cellulose, which is saccharified using cellulase enzymes after and possibly even separately from bioabatement. Thus, most glucose is not accessible for metabolism during bioabatement and lost yield related to cellulose-bound glucose is not of concern.
4. Conclusions
Inhibitors present in biomass hydrolysates cause variability, delay, or even complete failure of fermentations. Thus, mitigation of inhibitors allows successful, more predictable fermentation. Physical–chemical methods such as adsorption, dilution, extraction, and precipitation can be used to address inhibitors but have drawbacks including generation of additional waste, added cost, or incompatibility with liquids containing solids. Biological abatement requires no additional chemical inputs, generates minimal waste, has no requirement for recharging as compared to resins, and is suitable for treating liquid-solid mixtures. Here, we examined the ability of Coniochaeta strains, known to metabolize inhibitors found in biomass hydrolysates, for their utility to metabolize acetate.
Acetic acid is especially problematic in fermentations of unrefined sugars extracted from agricultural residues because it persists throughout the fermentation. For S. cerevisiae, acetate has been shown to dramatically lower both biomass and product yields, even at modest concentrations. Presently, there is no cost-effective method for its removal. Acetate, being a central metabolite, is an excellent carbon and energy source for microbes, while also serving as a microbial inhibitor and preservative [32]. C. ligniaria NRRL 30616 was isolated based on its ability to use furfural as a sole carbon source [28]. It also utilizes acetate and other inhibitory substances as substrates for growth [23]. The experiments described here were carried out to examine tolerance to and consumption of acetate by C. ligniaria NRRL 30616 and related fungal strains, which are intrinsically tolerant to fermentation inhibitors. The strains grew on acetate at much higher concentrations (Figure 1) than those encountered in biomass hydrolysates, and, therefore, growth inhibition in hydrolysates reflects the presence of multiple inhibitory compounds [33,34]. Four of the most resistant strains were further characterized for tolerance to combinations of inhibitors under relevant conditions for unrefined biomass sugars. In mineral medium with elevated acetate concentration, only strain 1, C. ligniaria NRRL 30616, consumed acetate when mixed with furfural, but all four strains consumed acetate when glucose was also present. The hardiest strains could consume furans within 24 h, followed by acetate within 40 h when grown in dilute acid pretreated rice hulls. Bioabatement may be used to improve the quality of unrefined biomass sugars for fermentation to biofuels. The ability of C. ligniaria to consume acetate at levels as high as 2.5% (w/v), without the need for glucose, highlights the promising potential of this strain for use in detoxifying biomass-derived sugar streams. The process was successful for mitigation of hydrolysate prepared from acid treatment of rice hulls [21], which is difficult for yeast to ferment because of its high acetate content. The strains investigated in this study may also be a novel source of genes for engineering S. cerevisiae for increased acetate consumption and/or tolerance. Methods to genetically modify C. ligniaria strains have also been developed and thus, these strains show promise for further metabolic engineering [35]. Future experiments will be needed to elucidate mechanisms of acetate tolerance in this genus.
Author Contributions
N.N.N. conceived the research, conducted experiments, analyzed data, and prepared the manuscript. J.A.M. and R.E.H. contributed to experiment design and data analysis. S.E.F. contributed to data analysis and conducted experiments. All authors assisted in manuscript preparation. All authors have read and agreed to the published version of the manuscript.
Funding
This work and the APC were funded by USDA–Agricultural Research Service CRIS# 5010-41000-190-00-D.
Institutional Review Board Statement
Not applicable.
Informed Consent Statement
Not applicable.
Data Availability Statement
Not applicable.
Conflicts of Interest
The authors declare no conflict of interest. Mention of trade names or commercial products in this article is solely for the purpose of providing specific information and does not imply recommendation or endorsement by the U.S. Department of Agriculture. USDA is an equal opportunity provider and employer.
References
- Larsson, S.; Palmqvist, E.; Hahn-Hägerdal, B.; Tengborg, C.; Stenberg, K.; Zacchi, G.; Nilvebrant, N.-O. The generation of fermentation inhibitors during dilute aid hydrolysis of softwood. Enzym. Microb. Technol. 1999, 24, 151–159. [Google Scholar] [CrossRef]
- Taylor, M.P.; Mulako, I.; Tuffin, M.; Cowan, D. Understanding physiological responses to pre-treatment inhibitors in ethanologenic fermentations. Biotechnol. J. 2012, 7, 1169–1181. [Google Scholar] [CrossRef] [PubMed]
- Almeida, J.R.M.; Runquist, D.; Nogué, V.S.I.; Lidén, G.; Gorwa-Grauslund, M.F. Stress-related challenges in pentose fermentation to ethanol by the yeast Saccharomyces cerevisiae. Biotechnol. J. 2011, 6, 286–299. [Google Scholar] [CrossRef] [PubMed]
- Holtzapple, M.T. Hemicelluloses. In Encylopedia of Food Science Food Technology and Nutrition, 2nd ed.; Macrae, R., Robinson, R.K., Sadler, M.J., Eds.; Elsevier: Amsterdam, The Netherlands, 2003; pp. 3060–3071. [Google Scholar] [CrossRef]
- Johnson, A.M.; Kim, H.; Ralph, J.; Mansfield, S.D. Natural acetylation impacts carbohydrate recovery during deconstruction of Populus trichocarpa wood. Biotechnol. Biofuels 2017, 10, 48. [Google Scholar] [CrossRef] [PubMed]
- Vegas, R.; Kabel, M.; Schols, H.A.; Alonso, J.L.; Parajó, J.C. Hydrothermal processing of rice husks: Effects of severity on product distribution. J. Chem. Technol. Biotechnol. 2008, 83, 965–972. [Google Scholar] [CrossRef]
- Pinhal, S.; Ropers, D.; Geiselmann, J.; de Jong, H. Acetate metabolism and the inhibition of bacterial growth by acetate. J. Bacteriol. 2019, 201, e00147-19. [Google Scholar] [CrossRef]
- Luli, G.W.; Strohl, W.R. Comparison of growth, acetate production, and acetate inhibition of Escherichia coli strains in batch and fed-batch fermentations. Appl. Environ. Microbiol. 1990, 56, 1004–1011. [Google Scholar] [CrossRef]
- Wright, J.; Bellissimi, E.; de Hulster, E.; Wagner, A.; Pronk, J.T.; van Maris, A.J.A. Batch and continuous culture-based selection strategies for acetic acid tolerance in xylose-fermenting Saccharomyces cerevisiae. FEMS Yeast Res. 2011, 11, 299–306. [Google Scholar] [CrossRef]
- Zhang, J.-G.; Liu, X.-Y.; He, X.-P.; Guo, X.-N.; Lu, Y.; Zhang, B. Improvement of acetic acid tolerance and fermentation performance of Saccharomyces cerevisiae by disruption of the FPS1 aquaglyceroporin gene. Biotechnol. Lett. 2011, 33, 277–284. [Google Scholar] [CrossRef]
- Helle, S.; Cameron, D.; Lam, J.; White, B.; Duff, S. Effect of inhibitory compounds found in biomass hydrolysates on growth and xylose fermentation by a genetically engineered strain of S. cerevisiae. Enzym. Microb. Technol. 2003, 33, 786–792. [Google Scholar] [CrossRef]
- Casey, E.; Sedlak, M.; Ho, N.W.Y.; Mosier, N.S. Effect of acetic acid and pH on the cofermentation of glucose and xylose to ethanol by a genetically engineered strain of Saccharomyces cerevisiae. FEMS Yeast Res. 2010, 10, 385–393. [Google Scholar] [CrossRef] [PubMed]
- Bellissimi, E.; van Dijken, J.P.; Pronk, J.T.; van Maris, A.J.A. Effect of acetic acid on the kinetics of xylose fermentation by an engineered, xylose-isomerase-based Saccharomyces cerevisiae strain. FEMS Yeast Res. 2009, 9, 358–364. [Google Scholar] [CrossRef] [PubMed]
- Hasunuma, T.; Sanda, T.; Yamada, R.; Yoshimura, K.; Ishii, J.; Kondo, A. Metabolic pathway engineering based on metabolomics confers acetic and formic acid tolerance to a recombinant xylose-fermenting strain of Saccharomyces cerevisiae. Microb. Cell Factories 2011, 10, 2. [Google Scholar] [CrossRef] [PubMed]
- Inan, M.; Meagher, M.M. The effect of ethanol and acetate on protein expression in Pichia pastoris. J. Biosci. Bioeng. 2001, 92, 337–341. [Google Scholar] [CrossRef] [PubMed]
- Henningsen, B.M.; Hon, S.; Covalla, S.F.; Sonu, C.; Argyros, D.A.; Barret, T.F.; Wiswall, E.; Froehlich, A.C.; Zelle, R.M. Increasing anaerobic acetate consumption and ethanol yields in Saccharomyces cerevisiae with NADPH-specific alcohol dehydrogenase. Appl. Environ. Microbiol. 2015, 81, 8108–8117. [Google Scholar] [CrossRef] [PubMed]
- Wei, N.; Quarterman, J.; Kim, S.R.; Cate, J.H.D.; Jin, Y.-S. Enhanced biofuel production through coupled acetic acid and xylose consumption by engineered yeast. Nat. Commun. 2013, 4, 2580. [Google Scholar] [CrossRef] [PubMed]
- Papapetridis, I.; van Dijk, M.; van Maris, A.J.A.; Pronk, J.T. Metabolic engineering strategies for optimizing acetate reduction, ethanol yield and osmotolerance in Saccharomyces cerevisiae. Biotechnol. Biofuels 2017, 10, 107. [Google Scholar] [CrossRef]
- Palmqvist, E.; Hahn-Hägerdal, B. Fermentation of lignocellulosic hydrolysates. I: Inhibition and detoxification. Bioresour. Technol. 2000, 74, 17–24. [Google Scholar] [CrossRef]
- Cao, G.; Ximenes, E.; Nichols, N.N.; Zhang, L.; Ladisch, M. Biological abatement of cellulase inhibitors. Bioresour. Technol. 2013, 146, 604–610. [Google Scholar] [CrossRef]
- Nichols, N.N.; Hector, R.E.; Saha, B.C.; Frazer, S.E.; Kennedy, G.J. Biological abatement of inhibitors in rice hull hydrolysate and fermentation to ethanol using conventional engineered microbes. Biomass Bioenergy 2014, 67, 79–88. [Google Scholar] [CrossRef]
- Nichols, N.N.; Dien, B.S.; Guisado, G.M.; López, M.J. Bioabatement to remove inhibitors from biomass-derived sugar hydrolysates. Appl. Biochem. Biotechnol. 2005, 121–124, 379–390. [Google Scholar] [CrossRef] [PubMed]
- Nichols, N.N.; Sharma, L.H.; Mowery, R.A.; Chambliss, C.K.; van Walsum, G.P.; Dien, B.S.; Iten, L.B. Fungal metabolism of fermentation inhibitors present in corn stover dilute acid hydrolysate. Enzym. Microb. Technol. 2008, 42, 624–630. [Google Scholar] [CrossRef]
- Donoso, R.A.; González-Toro, F.G.; Pérez-Pantoja, D. Widespread distribution of hmf genes in Proteobacteria reveals key enzymes for 5-hydroxymethylfurfural conversion. Comput. Struct. Biotechnol. J. 2021, 19, 2160–2169. [Google Scholar] [CrossRef] [PubMed]
- Nichols, N.N.; Dien, B.S.; Cotta, M.A. Fermentation of bioenergy crops into ethanol using biological abatement for removal of inhibitors. Bioresour. Technol. 2010, 101, 7545–7550. [Google Scholar] [CrossRef] [PubMed]
- Nichols, N.N.; Mertens, J.A.; Dien, B.S.; Hector, R.E.; Frazer, S.E. Recycle of fermentation process water through mitigation of inhibitors in dilute-acid corn stover hydrolysate. Bioresour. Technol. Rep. 2020, 9, 100349. [Google Scholar] [CrossRef]
- Gerhardt, P.; Murray, R.G.E.; Wood, W.A.; Krieg, N.R. (Eds.) Methods for General and Molecular Bacteriology; American Society for Microbiology: Washington DC, USA, 1994. [Google Scholar]
- López, M.J.; Nichols, N.N.; Dien, B.S.; Moreno, J.; Bothast, R.J. Isolation of microorganisms for biological detoxification of lignocellulosic hydrolysates. Appl. Microbiol. Bitoechnol. 2004, 64, 125–131. [Google Scholar] [CrossRef]
- Weber, E.; Görke, C.; Begerow, D. The Lecythophora-Coniochaeta complex II. Molecular studies based on sequences of the large subunit of ribosomal DNA. Nova Hedwig. 2002, 74, 187–200. [Google Scholar] [CrossRef]
- Samorski, M.; Müller-Newen, G.; Büchs, J. Quasi-continuous combined scattered light and fluorescence measurements: A novel measurement technique for shaken microtiter plates. Biotechnol. Bioeng. 2005, 92, 61–68. [Google Scholar] [CrossRef]
- Ullah, A.; Orij, R.; Brul, S.; Smits, G.J. Quantitative analysis of the modes of growth inhibition by weak organic acids in Saccharomyces cerevisiae. Appl. Environ. Microbiol. 2012, 78, 8377–8387. [Google Scholar] [CrossRef]
- Sousa, M.J.; Ludovico, P.; Rodrigues, F.; Leão, C.; Côrte-Real, M. Stress and cell death in yeast induced by acetic acid. In Cell Metabolism—Cell Homeostasis and Stress Response; Bubulya, P., Ed.; InTech: London, UK, 2012; Available online: https://www.intechopen.com/chapters/26771 (accessed on 7 December 2022). [CrossRef]
- Mills, T.Y.; Sandoval, N.R.; Gill, R.T. Cellulosic hydrolysate toxicity and tolerance mechanisms in Escherichia coli. Biotechnol. Biofuels 2009, 2, 26. [Google Scholar] [CrossRef]
- Agrawal, R.; Verma, A.; Singhania, R.R.; Varjani, S.; Dong, C.D.; Patel, A.K. Current understanding of the inhibition factors and their mechanism of action for the lignocellulosic biomass hydrolysis. Bioresour. Technol. 2021, 332, 125042. [Google Scholar] [CrossRef] [PubMed]
- Nichols, N.N.; Quarterman, J.C.; Frazer, S.E. Use of green fluorescent protein to monitor fungal growth in biomass hydrolysate. Biol. Methods Protoc. 2018, 3, bpx012. [Google Scholar] [CrossRef] [PubMed]
Publisher’s Note: MDPI stays neutral with regard to jurisdictional claims in published maps and institutional affiliations. |
© 2022 by the authors. Licensee MDPI, Basel, Switzerland. This article is an open access article distributed under the terms and conditions of the Creative Commons Attribution (CC BY) license (https://creativecommons.org/licenses/by/4.0/).



