Effects of Different Media and Their Strengths in In Vitro Culture of Three Different Cistus creticus L. Populations and Their Genetic Assessment Using Simple Sequence Repeat Molecular Markers
Abstract
1. Introduction
2. Materials and Methods
2.1. In Vitro Culture
2.1.1. Plant Material
2.1.2. Explant Surface Sterilization
2.1.3. Initial Culture Establishment
2.1.4. Initial Culture Shoot Multiplication
2.1.5. Cultures for the Evaluation of Growth, Shooting and Rooting Performance
2.1.6. Statistical Analysis
2.2. Genetic Population Analysis
2.2.1. Plant Material—DNA Isolation and Quantification
2.2.2. Microsatellite Loci
2.2.3. PCR Reaction Mix and Amplification
2.2.4. Capillary Electrophoresis, Genotyping and Statistical Data
3. Results
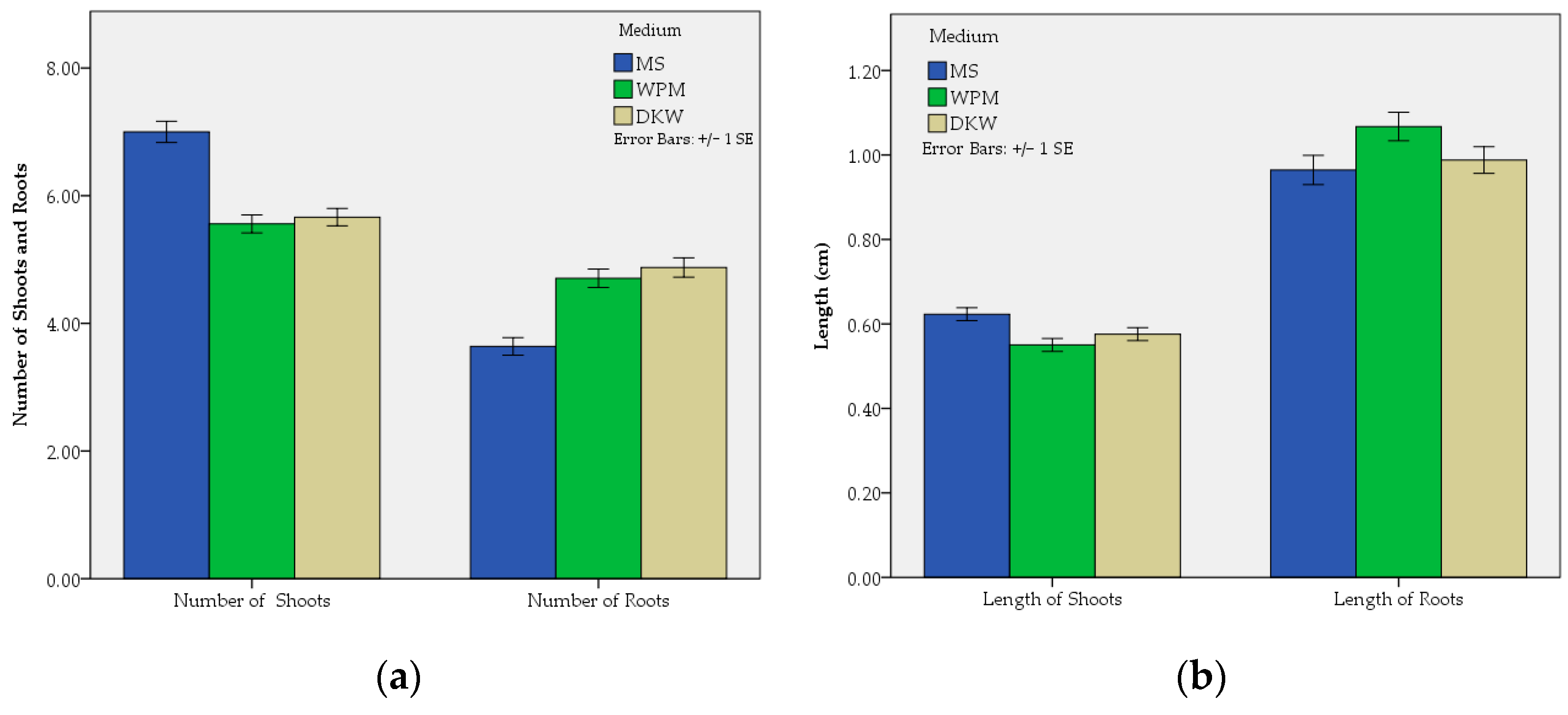
3.1. In Vitro Culture
3.2. Genetic Population Analysis
4. Discussion
4.1. In Vitro Culture
4.2. Genetic Population Analysis
5. Conclusions
Supplementary Materials
Author Contributions
Funding
Data Availability Statement
Acknowledgments
Conflicts of Interest
References
- Zygomala, A.M.; Ioannidis, C.; Koropouli, X. In Vitro Propagation of Cistus creticus L. Acta Hortic. 2003, 616, 391–396. [Google Scholar] [CrossRef]
- Trabaud, L. Fire and Survival Traits of Plants. In The Role of Fire in Ecological Systems; Trabaud, L., Ed.; SPBAcademic Publishing: The Hague, The Netherlands, 1987; pp. 65–89. [Google Scholar]
- Le Houérou, H.N. Fire and Vegetation in the Mediterranean Basin. In Proceedings of the 13th Annual Tall Timbers Fire Ecology Conference, Talahassee, FL, USA, 22–23 March 1973. [Google Scholar]
- Proctor, M. Cistaceae. In Flowering Plants of the World; Heywood, V., Ed.; Oxford University Press: Oxford, UK, 1978; pp. 100–108. [Google Scholar]
- Tutin, T.G.; Heywood, V.H.; Burges, N.A.; Valentine, D.H.; Walters, S.M.; Webb, D.A. Flora Europaea: Cistaceae; Cambridge University Press: Cambridge, UK, 1968; Volume 2. [Google Scholar]
- Meusel, H.-J.; Rauschert, E.; Weinert, S.E. Vergleichende Chorologie Der Zentraleuropäischen Flora. Band II; VEB Gustav Fischer Verlag: Jena, Germany, 1978.
- Dansereau, P.M. Monographie du Genre Cistus L.; Boissiera 4; Conservatoire de Botanique: Nord, France, 1939; pp. 1–90. [Google Scholar]
- Greuter, W.; Burdet, H.; Long, G. Cistaceae. In Med-Checklist; Med-Checklist Trust of OPTIMA; Greuter, W., Burdet, H.M., Long, G., Eds.; Conservatoire et Jardin Botaniques: Geneve, Switzerland, 1984; Volume 1, pp. 315–330. [Google Scholar]
- Margaris, N.S. Structure and Dynamics in a Phryganic (East Mediterranean) Ecosystem. J. Biogeogr. 1976, 3, 249–259. [Google Scholar] [CrossRef]
- Pedanius, D.; Osbaldeston, T.A.; Wood, R.P. De Materia Medica: Being an Herbal with Many Other Medicinal Materials: Written in Greek in the First Century of the Common Era: A New Indexed Version in Modern English; IBIDIS: Johannesburg, South Africa, 2000; ISBN 978-0-620-23435-1. [Google Scholar]
- Hort, F. Theophrastus: De Signis Vol. II in the Enquire into PlantsHeinemann: London, UK; Harvard University Press: Cambridge, UK, 1926. [Google Scholar]
- Rosén, H.B. Herodoti Historiae. Vol. I: Libros I–IV; Springer: Berlin, Germany, 1987; ISBN 3-322-00359-0. [Google Scholar]
- Moujir, L.; Gutiérrez-Navarro, A.M.; San Andrés, L.; Luis, J.G. Structure—Antimicrobial Activity Relationships of Abietane Diterpenes from Salvia Species. Phytochemistry 1993, 34, 1493–1495. [Google Scholar] [CrossRef]
- Demetzos, C.; Dimas, K.; Hatziantoniou, S.; Anastasaki, T.; Angelopoulou, D. Cytotoxic and Anti-Inflammatory Activity of Labdane and Cis-Clerodane Type Diterpenes. Planta Med. 2001, 67, 614–618. [Google Scholar] [CrossRef] [PubMed]
- Chinou, I.; Demetzos, C.; Harvala, C.; Roussakis, C.; Verbist, J. Cytotoxic and Antibacterial Labdane-Type Diterpenes from the Aerial Parts of Cistus incanus subsp. Creticus. Planta Med 1994, 60, 34–36. [Google Scholar] [CrossRef]
- Demetzos, C.; Mitaku, S.; Couladis, M.; Harvala, C.; Kokkinopoulos, D. Natural Metabolites of Ent-13-Epi-Manoyl Oxide and Other Cytotoxic Diterpenes from the Resin “LADANO” of Cistus creticus. Planta Med. 1994, 60, 590–591. [Google Scholar] [CrossRef]
- Dimas, K.; Demetzos, C.; Marsellos, M.; Sotiriadou, R.; Malamas, M.; Kokkinopoulos, D. Cytotoxic Activity of Labdane Type Diterpenes against Human Leukemic Cell Lines in Vitro. Planta Med. 1998, 64, 208–211. [Google Scholar] [CrossRef]
- Iriondo, J.M.; Moreno, C.; Pérez, C. Micropropagation of Six Rockrose (Cistus) Species. HortScience 1995, 30, 1080–1081. [Google Scholar] [CrossRef]
- Polunin, O.; Huxley, A. Flowers of the Mediterranean; Chatto and Windus: London, UK, 1972. [Google Scholar]
- López González, G. La Guía de Incafo de Los Árboles y Arbustos de La Península Ibérica; Guias verdes de INFACO, 4; Infaco: Madrid, Spain, 1982; ISBN 9788485389346. [Google Scholar]
- Brickell, C. Royal Horticultural Society Gardeners’ Encyclopedia of Plants and Flowers; Dorling Kindersley: London, UK, 1989; ISBN 0-86318-386-7. [Google Scholar]
- Heywood, V.H. Flowering Plants of the World; Dorling Kindersley Publishers Ltd.: London, UK, 1993; ISBN 0-7134-7422-X. [Google Scholar]
- Pacioni, G. El Cultivo Moderno y Rentable de La Trufa; De Vecchi: Milan, Italy, 1992; ISBN 84-315-0516-8. [Google Scholar]
- M’Kada, J.; Dorion, N.; Bigot, C. In Vitro Propagation of Cistus × purpureus Lam. Sci. Hortic. 1991, 46, 155–160. [Google Scholar] [CrossRef]
- Pela, Z.; Pentcheva, M.; Gerasopoulos, D.; Maloupa, E. In Vitro Induction of Adventitious Roots and Proliferation of Cistus creticus creticus L. Plants. Acta Hortic. 2000, 317–322. [Google Scholar] [CrossRef]
- Ruta, C.; Morone-Fortunato, I. In Vitro Propagation of Cistus clusii Dunal, an Endangered Plant in Italy. Vitr. Cell. Dev. Biol. Plant 2010, 46, 172–179. [Google Scholar] [CrossRef]
- Airò, M.; Farruggia, G.; Giardina, G.; Giovino, A. Micropropagation protocol of a threatened species: Cistus crispus L. In Proceedings of the Acta Horticulturae; International Society for Horticultural Science (ISHS), Leuven, Belgium, 26 May 2015; pp. 549–552. [Google Scholar]
- Astuti, G.; Roma-Marzio, F.; D’Antraccoli, M.; Bedini, G.; Carta, A.; Sebastiani, F.; Bruschi, P.; Peruzzi, L. Conservation Biology of the Last Italian Population of Cistus laurifolius (Cistaceae): Demographic Structure, Reproductive Success and Population Genetics. Nat. Conserv. 2017, 22, 169–190. [Google Scholar] [CrossRef]
- Bertolasi, B.; Zago, L.; Gui, L.; Sitzia, T.; Vanetti, I.; Binelli, G.; Puppi, G.; Buldrini, F.; Pezzi, G. Phenological and Genetic Characterization of Mediterranean Plants at the Peripheral Range: The Case of Cistus albidus near Lake Garda. Flora 2019, 252, 26–35. [Google Scholar] [CrossRef]
- Murashige, T.; Skoog, F. A Revised Medium for Rapid Growth and Bio Assays with Tobacco Tissue Cultures. Physiol. Plant. 1962, 15, 473–497. [Google Scholar] [CrossRef]
- Lloyd, G.; McCown, B. Woody Plant Medium: A Mineral Nutrient Formulation for Microculture of Woody Plant Species. HortScience 1981, 16, 453. [Google Scholar]
- Driver, J.A.; Kuniyuki, A.H. In Vitro Propagation of Paradox Walnut Rootstock. HortScience 1984, 19, 507–509. [Google Scholar] [CrossRef]
- Peakall, R.; Smouse, P.E. GENALEX 6: Genetic Analysis in Excel. Population Genetic Software for Teaching and Research. Mol. Ecol. Notes 2006, 6, 288–295. [Google Scholar] [CrossRef]
- Botstein, D.; White, R.L.; Skolnick, M.; Davis, R.W. Construction of a Genetic Linkage Map in Man Using Restriction Fragment Length Polymorphisms. Am. J. Hum. Genet. 1980, 32, 314. [Google Scholar]
- Kalinowski, S.T.; Taper, M.L.; Marshall, T.C. Revising How the Computer Program Cervus Accommodates Genotyping Error Increases Success in Paternity Assignment. Mol. Ecol. 2007, 16, 1099–1106. [Google Scholar] [CrossRef]
- Ge, X.; Chu, Z.; Lin, Y.; Wang, S. A Tissue Culture System for Different Germplasms of Indica Rice. Plant Cell Rep. 2006, 25, 392–402. [Google Scholar] [CrossRef]
- Momeni, M.; Ganji-Moghadam, E.; Kazemzadeh-Beneh, H.; Asgharzadeh, A. Direct Organogenesis from Shoot Tip Explants of Juniperus polycarpos L.: Optimizing Basal Media and Plant Growth Regulators on Proliferation and Root Formation. Plant Cell Biotechnol. Mol. Biol. 2018, 19, 40–50. [Google Scholar]
- Hatzilazarou, S.; Kostas, S.; Economou, A.; Scaltsoyiannes, A. Efficient propagation of Nerium oleander L. through tissue culture. Propag. Ornam. Plants 2017, 17, 12. [Google Scholar]
- Rezali, N.I.; Jaafar Sidik, N.; Saleh, A.; Osman, N.I.; Mohd Adam, N.A. The Effects of Different Strength of MS Media in Solid and Liquid Media on in Vitro Growth of Typhonium flagelliforme. Asian Pac. J. Trop. Biomed. 2017, 7, 151–156. [Google Scholar] [CrossRef]
- Bell, R.L.; Srinivasan, C.; Lomberk, D. Effect of Nutrient Media on Axillary Shoot Proliferation and Preconditioning for Adventitious Shoot Regeneration of Pears. Vitr. Cell. Dev. Biol. Plant 2009, 45, 708–714. [Google Scholar] [CrossRef]
- Wan Nurul Hidayah, W.A.; Norrizah, J.S.; Sharifah Aminah, S.M.; Sharipah Ruzaina, S.A.; Faezah, P. Effect of Medium Strength and Hormones Concentration on Regeneration of Pogostemon Cablin Using Nodes Explant. Asian J. Biotechnol. 2012, 4, 46–52. [Google Scholar] [CrossRef][Green Version]
- Ioannidis, K.; Dadiotis, E.; Mitsis, V.; Melliou, E.; Magiatis, P. Biotechnological Approaches on Two High CBD and CBG Cannabis sativa L. (Cannabaceae) Varieties: In Vitro Regeneration and Phytochemical Consistency Evaluation of Micropropagated Plants Using Quantitative 1H-NMR. Molecules 2020, 25, 5928. [Google Scholar] [CrossRef]
- Kumar, M.; Shiva Prakash, N.; Prasad, U.S.; Bhalla-Sarin, N. A Novel Approach of Regeneration from Nodal Explants of Field-Grown Litchi (Litchi chinensis Sonn.) Fruit Trees. J. Plant Sci. 2006, 1, 240–246. [Google Scholar] [CrossRef]
- Jain, N.; Bairu, M.W.; Stirk, W.A.; Van Staden, J. The Effect of Medium, Carbon Source and Explant on Regeneration and Control of Shoot-Tip Necrosis in Harpagophytum procumbens. S. Afr. J. Bot. 2009, 75, 117–121. [Google Scholar] [CrossRef][Green Version]
- Silvestri, C.; Sabbatini, G.; Marangelli, F.; Rugini, E.; Cristofori, V. Micropropagation and Ex Vitro Rooting of Wolfberry. HortScience 2018, 53, 1494–1499. [Google Scholar] [CrossRef]
- Parris, J.K.; Touchell, D.H.; Ranney, T.G.; Adelberg, J. Basal Salt Composition, Cytokinins, and Phenolic Binding Agents Influence In Vitro Growth and Ex Vitro Establishment of Magnolia ‘Ann’. HortScience 2012, 47, 1625–1629. [Google Scholar] [CrossRef]
- Rathwell, R.; Shukla, M.R.; Jones, A.M.P.; Saxena, P.K. In Vitro Propagation of Cherry Birch (Betula lenta L.). Can. J. Plant Sci. 2016, 96, 571–578. [Google Scholar] [CrossRef]
- Fadel, D.; Kintzios, S.; Economou, A.S.; Moschopoulou, G.; Constantinidou, H.-I.A. Effect of Different Strength of Medium on Organogenesis, Phenolic Accumulation and Antioxidant Activity of Spearmint (Mentha spicata L.). Open Hortic. J. 2010, 3, 31–35. [Google Scholar] [CrossRef]
- Tetsumura, T.; Matsumoto, Y.; Sato, M.; Honsho, C.; Yamashita, K.; Komatsu, H.; Sugimoto, Y.; Kunitake, H. Evaluation of Basal Media for Micropropagation of Four Highbush Blueberry Cultivars. Sci. Hortic. 2008, 119, 72–74. [Google Scholar] [CrossRef]
- Villamor, C.C. Influence of Media Strength and Sources of Nitrogen on Micropropagation of Ginger, Zingiber officinale Rosc. Int. Sci. Res. J. 2010, 2, 6. [Google Scholar]
- Taheri, A.; Kosari-Nasab, M.; Movafeghi, A. Effects of Different Strengths of Medium on Production of Phenolic and Flavonoid Compounds in Regenerated Shoots of Ziziphora persica. Russ. Agric. Sci. 2015, 41, 225–229. [Google Scholar] [CrossRef]
- Grigoriadou, K.; Leventakis, N.; Vasilakakis, M. Effect of Various Culture Conditions on Proliferation and Shoot Tip Necrosis in the Pear Cultivars ‘William’s’ and ‘Highland’ Grown In Vitro. Acta Hortic. 2000, 520, 103–108. [Google Scholar] [CrossRef]
- Bertsouklis, K.; Paraskevopoulou, A.; Zarkadoula, N. In Vitro Propagation of Juniperus phoenicea L. In Proceedings of the International Symposium on Botanical Gardens and Landscapes, Bangkok, Thailand, 2–4 December 2019; pp. 331–334. [Google Scholar]
- Gómez, M.P.; Segura, J. Axillary Shoot Proliferation in Cultures of Explants from Mature Juniperus oxycedrus Trees. Tree Physiol. 1995, 15, 625–628. [Google Scholar] [CrossRef]
- Gómez, M.P.; Segura, J. Factors Controlling Adventitious Bud Induction and Plant Regeneration in mature Juniperus oxycedrus Leaves Cultured in Vitro. Vitr. Plant 1994, 30, 210–218. [Google Scholar] [CrossRef]
- Sokolov, R.S.; Atanassova, B.Y.; Iakimova, E.T. Physiological Response of Cultured. to Nutrient Medium Composition. J. Hortic. Res. 2014, 22, 49–61. [Google Scholar] [CrossRef][Green Version]
- Halstead, M.A.; Garfinkel, A.R.; Marcus, T.C.; Hayes, P.M.; Carrijo, D.R. Hemp Growth in Vitro and in Vivo: A Comparison of Growing Media and Growing Environments across 10 Accessions. HortScience 2022, 57, 1041–1047. [Google Scholar] [CrossRef]
- Saadat, Y.A.; Hennerty, M.J. Factors Affecting the Shoot Multiplication of Persian Walnut (Juglans regia L.). Sci. Hortic. 2002, 95, 251–260. [Google Scholar] [CrossRef]
- Silva, T.D.; Chagas, K.; Batista, D.S.; Felipe, S.H.S.; Louback, E.; Machado, L.T.; Fernandes, A.M.; Buttrós, V.H.T.; Koehler, A.D.; Farias, L.M.; et al. Morphophysiological in Vitro Performance of Brazilian Ginseng (Pfaffia Glomerata (Spreng.) Pedersen) Based on Culture Medium Formulations. Vitr. Cell. Dev. Biol. Plant 2019, 55, 454–467. [Google Scholar] [CrossRef]
- Loureiro, J.; Capelo, A.; Brito, G.; Rodriguez, E.; Silva, S.; Pinto, G.; Santos, C. Micropropagation of Juniperus phoenicea from Adult Plant Explants and Analysis of Ploidy Stability Using Flow Cytometry. Biol. Plant. 2007, 51, 7–14. [Google Scholar] [CrossRef]
- Khater, N.; Benbouza, H. Preservation of Juniperus thurifera L.: A Rare Endangered Species in Algeria through In Vitro Regeneration. J. For. Res. 2019, 30, 77–86. [Google Scholar] [CrossRef]
- Salih, A.M.; Al-Qurainy, F.; Khan, S.; Tarroum, M.; Nadeem, M.; Shaikhaldein, H.O.; Alabdallah, N.M.; Alansi, S.; Alshameri, A. Mass Propagation of Juniperus procera Hoechst. Ex Endl. From Seedling and Screening of Bioactive Compounds in Shoot and Callus Extract. BMC Plant Biol. 2021, 21, 192. [Google Scholar] [CrossRef]
- Thorpe, T.A.; Harry, I.S.; Kumar, P.P. Application of Micropropagation to Forestry. In Micropropagation: Technology and Application; Debergh, P.C., Zimmerman, R.H., Eds.; Springer: Dordrecht, The Netherlands, 1991; pp. 311–336. ISBN 978-94-009-2075-0. [Google Scholar]
- Al-Ramamneh, E.A.; Dura, S.; Daradkeh, N. Propagation Physiology of Juniperus phoenicea L. from Jordan Using Seeds and in Vitro Culture Techniques: Baseline Information for a Conservation Perspective. Afr. J. Biotechnol. 2012, 11, 7684–7692. [Google Scholar] [CrossRef]
- Ślusarkiewicz-Jarzina, A.S.; Ponitka, A.; Kaczmarek, Y. Influence of Cultivar, Explant Source and Plant Growth Regulator on Callus Induction and Plant Regeneration of Cannabis sativa L. Acta Biol. Crac. Ser. Bot 2005, 47, 145–151. [Google Scholar]
- Ioannidis, K.; Tomprou, I.; Panayiotopoulou, D.; Boutsios, S.; Daskalakou, E.N. Potential and Constraints on In Vitro Micropropagation of Juniperus drupacea Labill. Forests 2023, 14, 142. [Google Scholar] [CrossRef]
- Al-Ramamneh, E.A.-D.; Daradkeh, N.; Rababah, T.; Pacurar, D.; Al-Qudah, M. Effects of Explant, Media and Growth Regulators on in Vitro regeneration and Antioxidant Activity of Juniperus phoenicea. Aust. J. Crop Sci. 2017, 11, 828–837. [Google Scholar] [CrossRef]
- Sauer, A.; Walther, F.; Preil, W. Different Suitability for in Vitro Propagation of Rose Cultivars. Gartenbauwissenschaft 1985, 3, 133–138. [Google Scholar]
- Patel, R.M.; Shah, R.R. Regeneration of Stevia Plant through Callus Culture. Indian J. Pharm. Sci. 2009, 71, 46–50. [Google Scholar] [CrossRef]
- Bidarigh, S.; Hatamzadeh, A.; Azarpour, E. The Study Effect of IBA Hormone Levels on Rooting in Micro Cuttings of Tea (Camellia sinensis L.). World Appl. Sci. J. 2012, 20, 1051–1054. [Google Scholar]
- Sha Valli Khan, P.S.; Hausman, J.F.; Rao, K.R. Effect of Agar, MS Medium Strength, Sucrose and Polyamines on in Vitro Rooting of Syzygium alternifolium. Biol. Plant. 1999, 42, 333–340. [Google Scholar] [CrossRef]
- Phatak, S.V.; Heble, M.R. Organogenesis and Terpenoid Synthesis in Mentha arvensis. Fitoterapia 2002, 73, 32–39. [Google Scholar] [CrossRef]
- Ancora, G. Globe Artichoke (Cynara scolymus L.). In Crops I; Bajaj, Y.P.S., Ed.; Springer: Berlin/Heidelberg, Germany, 1986; pp. 471–519. ISBN 978-3-642-61625-9. [Google Scholar]
- Iapichino, G. Micropropagation of Globe Artichoke (Cynara scolymus L.) from Underground Dormant Buds (“Ovoli”). Vitr. Cell. Dev. Biol. Plant 1996, 32, 249–252. [Google Scholar] [CrossRef]
- Lauzer, D.; Vieth, J. Micropropagation of Seed-Derived Plants of Cynara scolymus L., Cv. ‘Green Globe’. Plant Cell Tissue Organ Cult. 1990, 21, 237–244. [Google Scholar] [CrossRef]
- Li, J.-R.; Eaton, G. Growth and Rooting of Grape Shoot Apices In Vitro. HortScience 1984, 19, 64–66. [Google Scholar] [CrossRef]
- Manzanera, J.A.; Pardos, J.A. Micropropagation of Juvenile and Adult Quercus suber L. Plant Cell Tissue Organ Cult. 1990, 21, 1–8. [Google Scholar] [CrossRef]
- Purohit, S.D.; Kukda, G.; Sharma, P.; Tak, K. In Vitro Propagation of an Adult Tree Wrightia Tomentosa through Enhanced Axillary Branching. Plant Sci. 1994, 103, 67–72. [Google Scholar] [CrossRef]
- Fallahpour, M.; Miri, S.M.; Bouzari, N. Effects of Media Cultures and Plant Growth Regulators on Micropropagation of CAB-6P Cherry Semi-Dwarf Rootstock. Iran. J. Hortic. Sci. 2019, 50, 187–196. [Google Scholar]
- Bidarigh, S.; Azarpour, E. Evaluation of the Effect of MS Medium Levels on Rooting in Micro Cuttings of Tea (Camellia sinensis L.) under In-Vitro Culture Condition. ARPN J. Agric. Biol. Sci. 2013, 8, 5. [Google Scholar]
- Castiglione, S.; Franchin, C.; Fossati, T.; Lingua, G.; Torrigiani, P.; Biondi, S. High Zinc Concentrations Reduce Rooting Capacity and Alter Metallothionein Gene Expression in White Poplar (Populus alba L. Cv. Villafranca). Chemosphere 2007, 67, 1117–1126. [Google Scholar] [CrossRef]
- Aranda-Peres, A.N.; Peres, L.E.P.; Higashi, E.N.; Martinelli, A.P. Adjustment of Mineral Elements in the Culture Medium for the Micropropagation of Three Vriesea Bromeliads from the Brazilian Atlantic Forest: The Importance of Calcium. HortScience 2009, 44, 106–112. [Google Scholar] [CrossRef]
- Jean, M.; Cappadocia, M. In Vitro Tuberization in Dioscorea alata L. ‘Brazo Fuerte’ and ‘Florido’ and D. abyssinica Hoch. Plant Cell Tissue Organ Cult. 1991, 26, 147–152. [Google Scholar] [CrossRef]
- Asahira, T.; Yazawa, S. Bulbil Formation of Dioscorea opposita Cultured In Vitro. Mem. Coll. Agric. Kyoto Univ. 1979, 113, 39–51. [Google Scholar]
- Nei, M. Genetic Distance between Populations. Am. Nat. 1972, 106, 283–292. [Google Scholar] [CrossRef]
- Nei, M. Estimation of Average Heterozygosity and Genetic Distance from a Small Number of Individuals. Genetics 1978, 89, 583–590. [Google Scholar] [CrossRef]
- Wright, S. The Interpretation of Population Structure by F-Statistics with Special Regard to Systems of Mating. Evolution 1965, 19, 395–420. [Google Scholar] [CrossRef]
- Wright, S. Evolution and the Genetics of Populations. Volume 4. Variability within and among Natural Populations; University of Chicago Press: Chicago, IL, USA, 1978. [Google Scholar]
- Bairu, M.W.; Aremu, A.O.; Van Staden, J. Somaclonal Variation in Plants: Causes and Detection Methods. Plant Growth Regul. 2011, 63, 147–173. [Google Scholar] [CrossRef]
- Larkin, P.J.; Scowcroft, W.R. Somaclonal Variation—A Novel Source of Variability from Cell Cultures for Plant Improvement. Theor. Appl. Genet. 1981, 60, 197–214. [Google Scholar] [CrossRef] [PubMed]
- Quintela-Sabarís, C.; Ribeiro, M.M.; Poncet, B.; Costa, R.; Castro-Fernández, D.; Fraga, M.I. AFLP analysis of the pseudometallophyte Cistus ladanifer: Comparison with cpSSRs and exploratory genome scan to investigate loci associated to soil variables. Plant Soil 2012, 359, 397–413. [Google Scholar] [CrossRef]







| Locus | Repeat Motif | Primer Sequences 5′→3′ | Expected Allele Size Range (bp *) | |
|---|---|---|---|---|
| Forward | Reverse | |||
| cislau1 | (TC)5 | TCGATCGGGTGAAAACAAAT | TTCCTTCCAGAGGCTTCTCA | 227–255 |
| cislau7 | (AT)7 | TCAAAAGCTTCTTCCCCTCT | GATGTATGATGAAGGGCAGG | 158–166 |
| cislau11 | (TC)5 | GCGAGATCCCGAAACACT | AAAAACCCTAGAAGTCCTCGA | 163–167 |
| cislau12 | (AT)7 | TAATTGTCGCTTTGCTGTGC | TCATGCACAAGTTGAATCAAGA | 202–232 |
| cislau14 | (AAAG)4 | GACAACTCACACGACTCTAAACG | AAATTGGGCATGGACCAAG | 180–184 |
| Source of Variation | df | Growth Percentage (%) | Shoot Percentage (%) | Root Percentage (%) | Shoot Number | Shoot Length (cm) | Root Number | Root Length (cm) |
|---|---|---|---|---|---|---|---|---|
| Clone | 2 | ns | ns | ns | ns | ns | ns | ns |
| Medium | 2 | *** | ns | ns | *** | ** | *** | * |
| Strength | 4 | *** | * | *** | *** | *** | *** | *** |
| Clone * Medium | 4 | ** | ns | ns | ns | ns | * | ns |
| Clone * Strength | 8 | * | ns | * | ns | ns | ns | ns |
| Clone * Medium * Strength | 24 | *** | * | *** | *** | *** | *** | *** |
| STR 1 Locus | Mt. Pateras | Mt. Parnitha | Mt. Pendeli | Overall | ||||
|---|---|---|---|---|---|---|---|---|
| Alleles Number | Allele Range (bp 2) | Alleles Number | Allele Range (bp 2) | Alleles Number | Allele Range (bp 2) | Alleles Number | Allele Range (bp 2) | |
| cislau1-1 | 10 | 231–251 | 9 | 231–251 | 9 | 231–249 | 10 | 231–251 |
| cislau7-1 | 5 | 159–166 | 5 | 159–166 | 5 | 159–166 | 5 | 159–166 |
| cislau11-1 | 3 | 163–167 | 3 | 163–167 | 3 | 163–167 | 3 | 163–167 |
| cislau12-1 | 8 | 208–230 | 8 | 208–230 | 8 | 208–230 | 8 | 208–230 |
| cislau14-1 | 2 | 180–184 | 2 | 180–184 | 2 | 180–184 | 2 | 180–184 |
| n = 36 | Na | Ne | I | Ho | He | F | Percentage of Polymorphic Loci |
|---|---|---|---|---|---|---|---|
| Mean | 5.60 ± 1.50 | 4.72 ± 1.14 | 1.48 ± 0.28 | 0.52 ± 0.08 | 0.72 ± 0.07 | 0.30 ± 0.06 | 100.00% |
| Nei Genetic Distance (Nei D) | Nei Genetic Identity (Nei I) | Fst * Values | Mean Fst * Value | ||||
|---|---|---|---|---|---|---|---|
| Mt. Pateras | Mt. Parnitha | Mt. Pateras | Mt. Parnitha | Mt. Pateras | Mt. Parnitha | ||
| Mt. Parnitha | 0.046 | 0.955 | 0.009 | 0.009 ± 0.002 | |||
| Mt. Pendeli | 0.021 | 0.040 | 0.979 | 0.961 | 0.004 | 0.007 | |
| Locus | Overall | ||
|---|---|---|---|
| Ho 1 | He 2 | PIC 3 | |
| cislau1-1 | 0.639 | 0.879 | 0.853 |
| cislau7-1 | 0.444 | 0.779 | 0.731 |
| cislau11-1 | 0.500 | 0.624 | 0.535 |
| cislau12-1 | 0.722 | 0.873 | 0.845 |
| cislau14-1 | 0.278 | 0.505 | 0.374 |
Disclaimer/Publisher’s Note: The statements, opinions and data contained in all publications are solely those of the individual author(s) and contributor(s) and not of MDPI and/or the editor(s). MDPI and/or the editor(s) disclaim responsibility for any injury to people or property resulting from any ideas, methods, instructions or products referred to in the content. |
© 2024 by the authors. Licensee MDPI, Basel, Switzerland. This article is an open access article distributed under the terms and conditions of the Creative Commons Attribution (CC BY) license (https://creativecommons.org/licenses/by/4.0/).
Share and Cite
Ioannidis, K.; Koropouli, P. Effects of Different Media and Their Strengths in In Vitro Culture of Three Different Cistus creticus L. Populations and Their Genetic Assessment Using Simple Sequence Repeat Molecular Markers. Horticulturae 2024, 10, 104. https://doi.org/10.3390/horticulturae10010104
Ioannidis K, Koropouli P. Effects of Different Media and Their Strengths in In Vitro Culture of Three Different Cistus creticus L. Populations and Their Genetic Assessment Using Simple Sequence Repeat Molecular Markers. Horticulturae. 2024; 10(1):104. https://doi.org/10.3390/horticulturae10010104
Chicago/Turabian StyleIoannidis, Kostas, and Polyxeni Koropouli. 2024. "Effects of Different Media and Their Strengths in In Vitro Culture of Three Different Cistus creticus L. Populations and Their Genetic Assessment Using Simple Sequence Repeat Molecular Markers" Horticulturae 10, no. 1: 104. https://doi.org/10.3390/horticulturae10010104
APA StyleIoannidis, K., & Koropouli, P. (2024). Effects of Different Media and Their Strengths in In Vitro Culture of Three Different Cistus creticus L. Populations and Their Genetic Assessment Using Simple Sequence Repeat Molecular Markers. Horticulturae, 10(1), 104. https://doi.org/10.3390/horticulturae10010104

