Abstract
Ocimum basilicum L. is a multipurpose plant species used in the horticultural sector as a medicinal, herbaceous and ornamental plant. In our experiment, the Hungarian cultivar O. basilicum Rokokó was treated with algae (Ecklonia maxima (Osbeck) Papenf.), horsetail (Equisetum arvense L.) extracts and humic extracts. The effect of the biostimulants on the groups was assessed by morphological (leaf number, leaf area, fresh green mass, fresh root mass), histological (number of volatile oil glands) and physiological (chlorophyll content, peroxidase enzyme activity, proline levels) measurements. Obtained results were evaluated and it was concluded that the plants treated with algae and E. arvense extracts showed remarkable results for all the parameters measured. It was concluded that these extracts can be used as biostimulants in the cultivation of basil seedlings as ornamental plants, as they have a beneficial effect on the development of the plant. The humic extracts were less effective during the time period studied, probably due to their high molecular weight, which would have resulted in a longer absorption time. For the humic extracts, foliar application was less effective than irrigation, probably due to rapid damping-off, which reduced the penetration of humic extracts into the leaves. Though morphological characteristics are especially important for basil used as an ornamental plant, the plant’s essential oil content can also be important in attracting attention in urban plantings. It was found that humic extracts applied (22.8 pcs/sampling area) with irrigation had a strong effect on essential oil glands, in contrast when used as a spray (13.1 pcs/sampling area). The lowest stress levels were obtained in the group treated with irrigated humus extracts (274.96 µg/mg), which may be related to the continuous supply of nutrients, and in the group treated with E. arvense extract, silicon (219.05 µg/mg) may be the result of hermetic effects. In conclusion, E. arvense and algae extracts can be effective biostimulants in the horticultural sector for the seedling production of ornamental basil, and after a longer growing period, humic extracts can be used effectively by irrigation after planting. The use of natural extracts can also give a green light to this segment for sustainable and environmentally friendly cultivation, which can also better resist the effects of climate change and urbanisation.
1. Introduction
Ocimum basilicum L. is one of the economically important medicinal and herbal plants [1], containing essential oils, as well as polyphenols, phenols, flavonoids and phenolic acids. Due to its active compounds and flavouring agents, its leaves are used as a spice and have a strong, spicy fragrance [2]. In the context of climate change, cultivated species of the genus have been introduced, inter alia, in the southern and central European region, and given the conditions in these areas, they may become increasingly suitable for the cultivation of heat-intensive species, including basil. The growing demand for aromatic herbs and spices is expected to lead to the emergence of new production areas and the expansion of existing ones, which is characteristic of some regions in southern Europe [3], which could mean a further increase in the area under O. basilicum [4].
In the family Lamiaceae, glandular trichomes, which also have a protective function and contain odoriferous substances, are present, with a large variation in number and shape between species [5]. The glands consist of four secretory cells forming a disc base and covered by a loosely fitting membrane. Higher essential oil yields can be ensured by the use of organic and biological fertilizers, an effect that is due to their high nitrogen content, which leads to increased activity of photosynthetic pigments (chlorophyll) and increased synthesis of secondary metabolites, including essential oils [6].
Among the many representatives of the O. basilicum species, we included in our experiment a cultivar used as an ornamental plant, O. basilicum Rokokó, one of the most popular Hungarian cultivars of the Hungarian breeding programme of the Hungarian University of Agricultural and Life Sciences (MATE). The cultivar is characterised by large green leaves and its bushy appearance, aroma and tactile fragrance [7]. The cultivar was produced in the 1990s by the predecessor of our university, the Research Institute of Horticultural Sciences, as an ornamental plant cultivar [8], but nowadays, due to climate change and intensive urbanisation processes (warming environment, air pollution, soil contamination), in green areas it is becoming increasingly difficult for the cultivar to withstand environmental stress.
Biostimulants have several effects on plant stress. In the context of stress responses, proline amino acid and the enzyme peroxidase are of particular importance. Proline has a role in metabolic regulation, reduction of high temperature damage, energy production, and protection of cell membranes, enzymes and proteins [9,10]. In Z. mays plants, its application has been described to improve physiological processes both directly and indirectly [11], which among other things helps to combat heavy metal pollution [12].
The accumulation of proline in the plant body is an essential physiological indicator, whose elevated level clearly indicates the presence of a stressor or stressors [11]. This increased proline level can help maintain higher leaf water levels under stress conditions, and also protect the plant from oxidative stress, in some cases with antioxidant capacity, even as a strong reactive oxygen species (ROS) scavenger [13], which may be a consequence of stress tolerance rather than a cause [14,15].
Compared to proline, peroxidases are not amino acids but bifunctional enzymes that can oxidize substrates in the presence of H2O2 in the standard peroxidative cycle, although they also produce reactive oxygen species (ROS) in their oxidation cycle [16]. They have been shown to have an effect on plant development and stress response, and also regulate growth in diverse ways through hormonal and cell wall metabolism and regulation of antioxidant defence. Their listed properties make them applicable as biomarker enzymes for biotic and abiotic stress [17].
In the cases when proline and the peroxidase enzyme were tested together under existing stress, genotypes with higher proline variation showed lower peroxidase activity under drought treatment. However, this was different for genotypes that responded to stress by reducing root growth, showing increased peroxidase activity and lower proline levels [18]. In Oryza sativa L., external application of proline inhibited root growth, but also resulted in an increase in peroxidase activity in roots as a result of treatment [19]. In some plant species, increased application of beneficial nutrients may be a stressor; for example, humic acid (Zea mays L.) and silicon (Capsicum annuum L.) may be indicated by proline and peroxidase levels [20].
In addition to biostimulants, other substances of natural origin have been found to be applicable in horticultural production. Plant-based fertilizers such as liquid plant extracts are worth mentioning, since they already provide essential nutrients to plants and contribute to the success of vegetable production, especially in organic production [21]. Their application can enhance the synthesis of antioxidants [22]. Plant-based agents have been successfully applied in the cultivation of O. basilicum Red Rubin [23,24]. Tahami et al. [24] found that the application of plant-based agents increased yield, as did Jahant et al. [25], who observed that the use of plant-based agents increased fresh and dry weight, dry leaf yield and leaf area index values, and also increased stress tolerance [26].The use of natural extracts and biostimulants may also have an effect on essential oil yield, but Tahami et al. [26] found that individual biosolids did not result in significant differences in essential oil yield.
In O. basilicum, silicon-containing E. arvense extract enhanced leaf yield and resulted in improved phytochemical property values [27], and mitigated the negative effects of salt stress and increased both dry and fresh leaf weight, chlorophyll content and proline content [28]. Chele et al. [29] implies that Si-containing biostimulants increase salt stress tolerance by accumulating phenolics. By promoting cell growth, they improve ion uptake, increase oil gland density and size and thus increase essential oil yield [30]. These findings suggest that foliar application of high-silicon-content E. arvense extract is a growth stimulant, and that it can be applied as a biofertilizer in medicinal plant cultivation and in organic essential oil production [31].
Every year, 15 million tonnes of seaweed extract is produced, much of which is used as biofertiliser as a growth and yield enhancer [32]. Seaweed extract is used as a nutrient supplement, biostimulant or biofertiliser in agriculture and horticulture to increase plant growth and yield [33,34]. Mafakheri and Ashgari [33] found that the application of algal extracts resulted in a higher increase in chlorophyll content and morphological characteristics compared to humic acid-treated plants. When Sargussum wightti was applied, morphological parameters were significantly improved [35]. Algal extraction can also be significant for cabbage production [36] and in the process of head formation in sprouted lettuce [37]. Marine algal extract applied to Origanum majorana L. increased shoot diameter and leaf plate thickness. In this case, the increase in stem diameter was mainly associated with an increase in total internal tissue, phloem, xylem tissue and vascular diameter. Seaweed extract had an effect on leaf disc thickness by inducing a significant increase in palisade, spongy tissue and vascular diameter, and also increased the percentage of essential oil and its main components [38]. Khalid et al. [39] found that under excess water stress, O. basilicum species increased essential oil percentage, proline and total carbohydrate content and decreased N, P, K and protein content, while chlorophyll content and therefore photosynthetic efficiency decreased [37,40].
Humic extracts are a collection of heterogeneous compounds originally classified according to their molecular weight and solubility in humic acids and fulvic acids [41]. Humic extracts are also being used effectively in greenhouse cultivation, especially in species with high nitrogen demand, because they promote foliar formation [42]. Nitrogen fertilisation affects the quantity, quality and yield of essential oil, as nitrogen-rich treatments generally increase oil yields in aromatic plants by increasing biomass yield per unit area, leaf area development and photosynthetic rate [43,44]. Since the leaves of O. basilicum species contain a large number of glandular trichomes for the synthesis and storage of essential oils, they are affected by both leaf size and number, which can determine essential oil yield [43]. The increase in essential oil yield induced by nitrogen fertilisation depends on the increase in both leaf essential oil concentration and leaf biomass [44].
Humic acid also has a beneficial effect on morphological parameters; however, the effects of manure and humic acid on stem diameter do not show significant differences [45]. Vaughan [46], however, explained that humic acids generally have a positive effect on the cell wall due to their large molecular size and in most cases do not penetrate it. This is in line with the results of Ni et al. [47], which suggest that for water-soluble humic acids, application through the leaf may be less effective. Silicon and humic acid treatments resulted in increased volatile oil yields in Hyssopus officinalis L. plants [48], while in Z. mays, they also improved stress tolerance [49]. Rouphel and Colla [50], on the other hand, found that humic extracts are most effective when plants are subjected to some kind of stress treatment with humic extracts. Martins et al. [51] also attributed the reduced effect of humic extracts to chlorosis.
The aim of our work was to find an answer and to prove whether plant extracts of natural origin (algae, E. arvense) and biostimulants (humic acid) can be used to promote growth of the cultivar, producing strong seedlings with a higher tolerance to urban stress. Our studies were approached from morphological, histological and physiological points of view. The basil cultivated mainly for its vegetative foliage mass shows a stronger development in both organs and tissues, and if all these treatments do not increase the stress effects on the plant, their application may demonstrate that these natural substances, or some of them, can be successfully used in the greenhouse cultivation of O. basilicum. This could lead to the establishment of vigorous, mature plants in the field, that would be sustainable urban plants as a result of improved morphological characteristics, and possibly reduced stresses, during the growing process.
2. Materials and Methods
2.1. Substances Used in Experiments
2.1.1. Equisetum arvense Extract
In our studies, we used the plant extract Bioka Equisetum (syn. Horsetail extract—E. arvense L.), commercialised by Bioka (Chorvatska 165 900 61, Senkvice Slovak Republic). It contains a minimum of 2.3% of active substances. It is described as a growth stimulant and yield enhancer, as well as a rootstock quality improver, and is effective against biotic and abiotic stressors [52]. The response of the plant extract of E. arvense was based on the results of other research and literature studies. Among these, we would highlight the physiological strengthening of the plant combined with the cell wall strengthening effect.
2.1.2. Seeweed Extract
Kelpak® (Kelp Products (Pty) Ltd. P.O.Box 325 Simon’s Town 7995 Republic of South Africa) contains E. maxima and is used in several crops, including ornamental horticulture. Kelpak® contains E. maxima, according to the information on the company’s website, and has an NPK content of 0.05%, which is divided as follows: nitrogen content 0.05%, phosphorus content (in the form of P2O5) 0.03%, potassium content (in the form of K2O) 0.65%. This agent has a high auxin content, which stimulates the development and growth of the root system, leading to better absorption of macro- and microelements [53]. The choice of the Kelpak® product from the seaweed extracts was an obvious one, as it has been used in several studies and is one of the most commonly used seaweed extracts in the Hungarian biostimulant trade.
2.1.3. Humus Extracts
In the experiment, Esstence humic extract (STE Sprout Technologies Ltd., 6120 Botond u. 12. Kiskunmajsa, Hungary) was applied in both ways, with different humic and fulvic acid contents, as recommended by the manufacturer. The solution applied as a foliar spray contained 65% humic acid and 7% fulvic acid, while the solution applied as an irrigation solution contained 80% humic acid and 17% fulvic acid [54]. The use of the Esstence agent was based on a cooperation agreement between the MATE University and an industrial partner, Műszerautomatika kft.
2.2. Experiment Parameters
The experiment was conducted between 4 April 2024 and 20 June 2024. The O. basilicum Rokokó cultivars were produced by seed sowing at the Institute of Landscape Design, Landscape Architecture and Ornamental Horticulture, from seeds collected in 2023. The plants were placed in a randomised block arrangement with 25 plants per group in 3 replicates. Plants were grown using the Potgrond H seedling stock distributed by Klassmann-Deilmann GmbH (Georg-Klasmann-Straße 2–10, Geeste, Germany). This medium is a fine-grained (0–7 mm) mixture of 80% frozen black peat and 20% light peat moss, with a nutrient content of 1.5 g/L and a pH of 6 [55].
The experiment was conducted at the premises of the Research Group for Ornamental Plant Production of the Hungarian University of Agricultural and Life Sciences under greenhouse conditions, where the plants received natural light and ventilation and regular irrigation during the experiment. The temperature in the greenhouse during the experiment was 28 °C, set with a climate controller. The greenhouse was not covered during the experiment. The plants did not receive supplementary lighting, only natural light. The plants were watered every day: 1 dL/day/plant until the 6th–7th leaf emerged, after which they received 1.5 dL/day/plant of tap water, which is the same as that used for other plants at the Research Institute. The experiment was carried out until the appearance of flower buds.
The plants were treated four times (30 April, 14 May, 29 May, 11 June) with the following biostimulants:
- Control: only irrigation water was used during the experiment;
- Algae extract leaf spray: concentration applied: 0.2%;
- E. arvense extract leaf spray: applied concentration: 0.2%;
- Humus extract leaf spray: applied concentration: 6.5%;
- Humus extract irrigation: 6.5%.
On 30 June 2024, the final evaluation of the plants was carried out, consisting of the measurements described below.
2.3. Morphological Evaluation
The evaluation of the morphological parameters consisted of three elements, which were as follows:
- Leaf number;
- Fresh green mass;
- Fresh root mass.
A simple hand measuring tape was used to measure the length after cleaning the plants (Figure 1). For mass measurement, a Kern PCB 6000-1 analytical laboratory balance was used.
Figure 1.
O. basilicum Rokokó plants at the beginning of the final evaluation: (a) algae; (b) E. arvense; (c) humus soil; (d) humus leaf; (e) control.
For the leaf area measurements, leaves were collected randomly from each group, from the lower, middle and upper parts of the stem (Figure 2). The leaves were then pressed under a heavy weight between absorbent wipes for 90 min. This was necessary to ensure the most accurate measurement possible, even with the high moisture content and leaf structure typical of the cultivar. Photographs were taken with a Nikon D5200 camera and the leaf area was then determined in ImageJ version 1.54.
Figure 2.
O. basilicum Rokokó typical ruffled leaf form: (a) control; (b) humus; (c) E. arvense. Samples collected during final evaluation.
2.4. Histological Analysis
Samples were taken from a mature but still young leaf from the middle part of the plant, from the upper third of the shoot. The leaves were collected at the time of the final evaluation mentioned above, and then they were immediately measured. The oil glands were counted in the sample area and photographs of them were taken, of which the most detailed were included.
- Microscope: Euromex bScope BS.1153-PLi biological microscope, (Euromex, Duiven, The Netherlands);
- Camera: Euromex CMEX-5f 5 Mp Camera (DC.5000f), (Euromex, Duiven, The Netherlands);
- Lens: due to the sectioning procedure, oil immersion lens blocks could not be used, therefore due to the nature of the sections, a PLi Lens: PLi 4/0.1. lens was used, and because of the type of samples no oil immersion was applied. Magnification: 40 × 4/0.1. magnification: 40×;
- Ocular: WF120×/20.
The samples were not painted. The images were post-corrected using GIMP 2.10.34 (property of Spencer Kimball, Peter Mattis, Charlotte, NC, USA). The histological survey was performed on leaf surfaces of the glands, which were observed in the stages shown in Figure 3.
Figure 3.
Different maturity stages of glands observed on the leaf surface of O. basilicum Rokokó: (a) intact, young glandular cell; (b) intact, mature glandular cell; (c) mature glandular cell; (d) blown/destroyed glandular cell appears as a spot on the leaf.
2.5. Physiological Measurements
2.5.1. Chlorophyll Content
Chlorophyll content was measured using a Konica Minolta SPAD-502+ type A hand-held SPAD meter, with random sampling and averaging during the final assessment. Samples were taken of young but mature leaves from the central parts of the plant. We did not affect major blood vessels during the measurements. It was important that the sample be uniform, so the outer leaves that received more light were measured; the inner, often shadier leaves of the foliage were not. The date of the measurement was the day of the final evaluation.
The SPAD chlorophyll meter was based on spectral measurements of the transmittance of leaves at 650 nm and 940 nm. Therefore, the leaf transmittances generated for all synthetic scenarios were converted to SPAD values according to the equation described by Raymond Hunt and Daughtry [56]. This equality expresses the relationship between leaf permeability and SPAD values well with a coefficient of determination of 0.998 for commonly used SPAD chlorophyll metrics [56].
where SPAD is the SPAD value, and T940 and T650 are the leaf transmittance at 940 nm and 650 nm.
2.5.2. Proline Content Determination
Samples were taken from a mature but still young leaf from the middle part of the plant, from the upper third of the shoot. The leaves were collected at the time of the final evaluation mentioned above, and then they were immediately measured. Proline was determined according to the methodology of Ábrahám et al. [57]. From frozen samples, 100 mg of plant parts were weighed and rubbed with a solution containing 3% sulfosalicylic acid using quartz sand (5 µL/mg fresh weight). The extracts were settled for 10 min at 14 000 rpm and 100 µL of supernatant was measured per sample in three replicates. For this, 200 µL of 96% acetic acid and 200 µL of acidic ninhydrin (2.5% (w/v) ninhydrin, 60% (v/v) 96% acetic acid, 40% (v/v) 6 M phosphoric acid) was used. Tubes containing the mixtures were covered with aluminium foil and heated in an oven at 96 °C for 1 h. The reaction was stopped after 1 h in ice-cold water. The samples were then extracted with 1.5 mL toluene. Dissolution was promoted by vortexing for about 20 s and then all samples were allowed to stand for 5 min. The absorbance of the red-coloured supernatants was determined in a narrow cuvette and analysed at 520 nm. The values were compared with a calibration curve prepared using a series of α-proline concentrations containing known amounts of proline.
2.5.3. Peroxidase Enzyme Activity
Samples were taken from a mature but still young leaf from the middle part of the plant, from the upper third of the shoot. The leaves were collected at the time of the final evaluation mentioned above, and then they were immediately frozen. The POD enzyme activity was measured by spectrophotometer using frozen leaves at 100 mg per group in five replicates, following the methodology of Shannon et al. [58]. They were individually ground in ice-cold mortar with a small amount of quartz sand and 1200 μL of K-phosphate buffer solution at 4 °C. Samples loaded into the centrifuge tube were sedimented in the precooled 4 °C centrifuge for 20 min at 13,500 rpm. The colour reaction was measured using a concentrated 30% H2O2 solution diluted 100-fold and orthodianisidine (3,3′-dimethoxybenzidine) was dissolved in methanol at a concentration of 10 mg/mL. The buffer was Na-acetate at 4 °C. The blank sample consisted of 30 μL H2O2, 20 μL orthodianisidine and 1700 μL Na-acetate. For POD activity analysis of plants, 50 μL leaf samples were mixed with 30 μL H2O2, 20 μL orthodianisidine, and 1650 μL buffer. The photometer measured the change in absorbance every 10 s after shaking, from which enzyme activity could be calculated (1):
where ΔA1 = change in absorbance in less than 1 min; ε = 11.3: extinction coefficient of orthodianisidine (characterizes the extent of colour change). This can be converted to units/mL (2):
where v = volume of tissue extract (1.5 mL); w = weight of tissue (~0.1 g).
enzyme activity = (ΔA1 × dilution)/ε [units/mL, U/mL]
(units/mL) × (w/v)
2.6. Statistical Evaluation
Our results were processed, compared and measured using the IBM SPSS Statistics 26 program, ANOVA method. In all cases, the measured data were analysed at the 95% confidence (significance) level. After evaluation of the Levene’s test, if the significance was > 0.05, the Tukey test was used, and if significance was < 0.05, the Games–Howell post hoc test was used.
3. Results
3.1. Morphology
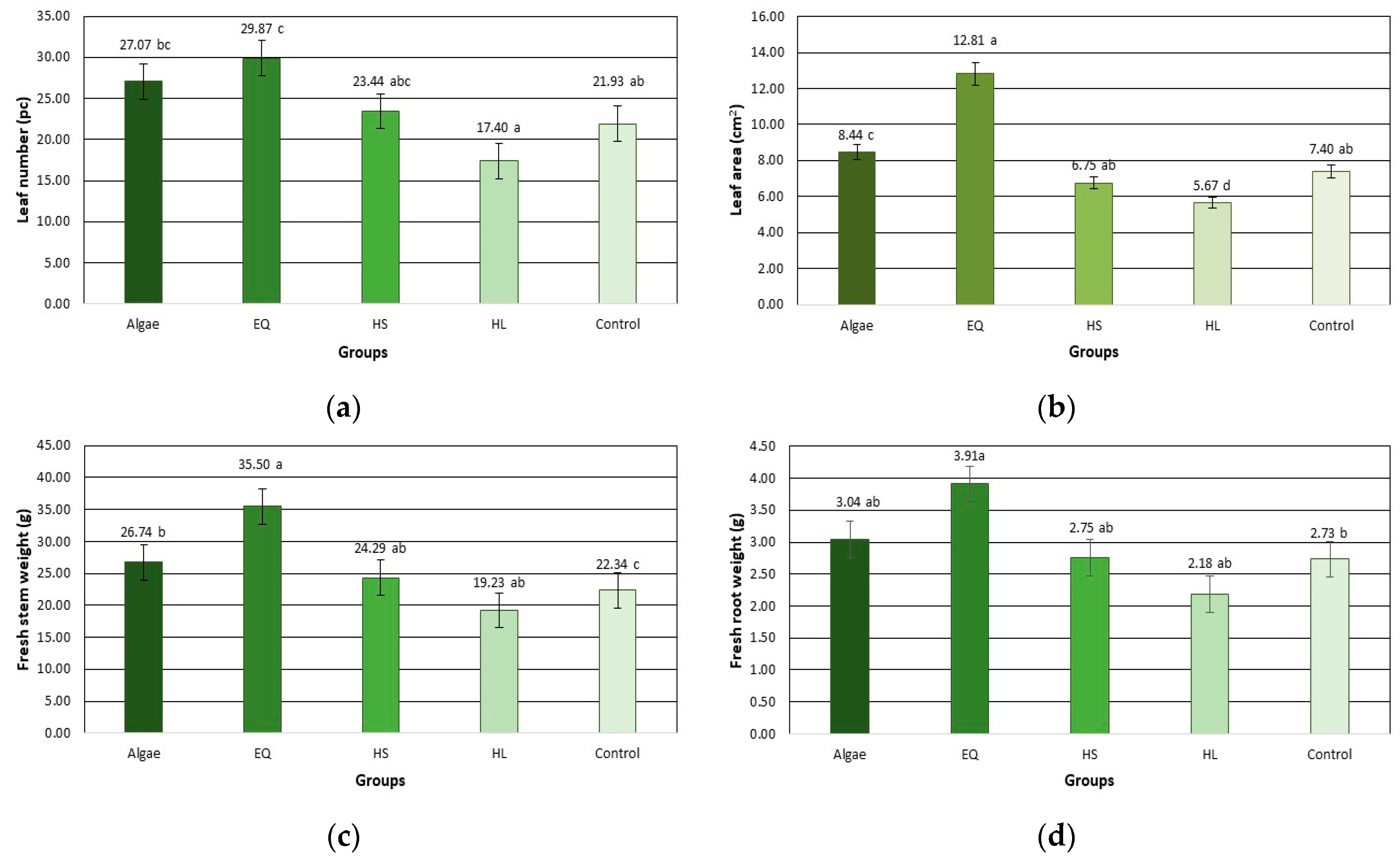
For leaf number, the lowest mean leaf number was obtained by the humic acid solution treated with leaf spray (17.4 leaves), and the highest was obtained by the group treated with the E. arvense extract (29.87 leaves). The average number of leaves in the control group was 21.93, with only the group treated with the humic acid extract significantly different. There was no statistically verifiable difference between the groups treated with humus extract (Figure 4a).
Figure 4.
Changes in response to plant extracts and biostimulants in O. basilicum Rokokó: (a) leaf number; (b) leaf area; (c) fresh stem; (d) fresh root weight. The abbreviations shown in the pictures mean the following: EQ—E. arvense; HS—humus soil treated; HL—humus leaf treated. Different letters indicate different statistical groups of means according to the results of Tukey’s test (p < 0.05).
For leaf area, the group with the highest leaf area was the E. arvense extract-treated group (12.81 cm2), followed by the algae extract-treated group (8.45 cm2), which were significantly different from the results obtained from the other groups (Figure 4b). The humus extract-treated groups obtained lower values than the control (7.4 cm2). The lowest values were obtained by the leaf-treated humus group (5.67 cm2).
The results for fresh green weight showed a similar pattern with leaf number and leaf area (Figure 4c), as the highest average value for this parameter was also obtained by the group treated with the E. arvense extract (35.51 g), which was thus significantly different from all groups. In addition, the algae extract (26.75 g) obtained a high result, significantly different from that of the group with the lowest fresh green weight, the group treated with leaf sprayed humus extract (19.23 g). The control (22.35 g) and the group treated with the irrigated humus extract (24.3 g) belong to the same statistical group.
For fresh root mass, the highest value was measured for the group treated with the E. arvense extract (3.91 g), showing no statistically verifiable difference from most of the groups, except for the group treated with the leaf-sprayed humus extract (2.18 g), which had the lowest values (Figure 4d). The value for the group treated with the algae extract was 3.04 g, which can be interpreted as the second most-efficient treated group next to the E. arvense extract. The fresh root weight of the group treated with the humus extract applied by irrigation (2.76 g) and the control (2.73 g) was almost the same, with no significant difference.
Based on the results of the morphological parameters, it can be said that the highest values were obtained in the treatments with E. arvense and seaweed extract. In most cases, the groups treated with humus extracts did not differ or differed negatively from the control group.
3.2. Histology
The histological survey showed that there were differences in the number and density of glands in plants treated with humic extracts, algal extract and E. arvense extract compared to the control group (Figure 5).
Figure 5.
Microscopic images of leaf surfaces in O. basilicum Rokokó as a result of treatment: (a) algal extract; (b) E. arvense extract; (c) humus soil treatment; (d) humus leaf treatment; (e) control. The arrows indicate the glands.
In terms of the number of essential oil glands per unit area of leaves, the highest average values were obtained in the groups treated with the E. arvense extract (24.47) and the groups treated with the humus extract applied by irrigation (22.8) (Figure 6a). The control group (22.13 glands) had the same statistical group. The leaf-applied humus extract had the lowest number of glands (13.1 glands), which was significantly different from all other groups. The mean gland count of the algae extract-treated group was 17.03, a result statistically different from all groups measured.
Figure 6.
(a) Number of pelpate glands in the sampling area in O. basilicum Rokokó; (b) pelpate glands number in comparison to leaf area in O. basilicum Rokokó. The abbreviations shown in the pictures mean the following: EQ—E. arvense; HS—humus soil treated; HL—humus leaf treated. Different letters indicate different statistical groups of means according to the results of Tukey’s test (p < 0.05).
It was considered important to assess the gland number as a parameter expressed in unit leaf area, as it provides a new aspect to these results, which already show a correlation with leaf area (Figure 6b). The results show that the group treated with humus extract applied by irrigation (3.38) had the highest gland number in relation to average leaf area. The control group also had a high ratio (2.99). The proportion of the group treated with the E. arvense extract showed the lowest value (1.91), as well as the result of the group treated with the algae extract, which belonged to the same statistical group.
3.3. Physiology
3.3.1. Chlorophyll Content
It can be seen that the group treated with the E. arvense extract achieved the highest average chlorophyll content values (32.66 units), which was significantly higher than all measured groups. The lowest value was achieved by the control group (22.97 units), which was a statistical group with the average results of the humus-extracted group and the algae-extracted groups.
3.3.2. Peroxidase Enzyme Activity
The results show that the highest stress level was observed in the group in which humus foliar spraying (274.96 µ/mg) was applied—and very interestingly, a very low stress level was observed in the group in which humus irrigation (66.61 µ/mg) was applied (Figure 7a). The results were quite sharply different, as all groups differed significantly from each other. The control group (46.36 µ/mg) showed the lowest POD activity level.
Figure 7.
(a) SPAD in O. basilicum Rokokó; (b) peroxidase enzyme activity in O. basilicum Rokokó; (c) proline level in O. basilicum Rokokó. The abbreviations shown in the pictures mean the following: EQ—E. arvense; HS—humus soil treated; HL—humus leaf treated. Different letters indicate different statistical groups of means according to the results of Tukey’s test (p < 0.05).
3.3.3. Proline Content
The irrigation-treated group (2.23 mg/mL), the E. arvense extract-treated group (2.27 mg/mL) and the control group (2.29 mg/mL) showed the lowest results (Figure 7b). In relation to POD activity, the irrigation-treated group (2.50 mg/mL) also showed the highest values.
4. Discussion
The effects of climate change (e.g., changing precipitation patterns, temperature anomalies) and urbanisation (e.g., increased pollution) are not only present in cities, but also have an impact on specific industries, including agricultural production [3,59,60]. Plant-based fertilizer biostimulants, within which we find a group of liquid plant extracts, can be an alternative to partially or fully replace fertilizers of synthetic origin [23]. They are applicable in cultivation of several species, including O. basilicum.
4.1. Morphological Parameters
The morphological parameters on the whole were very consistent. The results of the control groups for leaf number, leaf area, fresh green mass and fresh root mass were in between those of the two natural biostimulant groups: algae and humus extracts, while humus extracts applied by irrigation and spraying showed significantly lower values for several parameters (leaf number, fresh root mass). The final results were in accordance with the findings of Balas et al. [61], where tomato plants showed an increase in vegetative yield. Comparing our results with studies on O. basilicum, we found that the addition of the E. arvense extract, together with silicon, increased leaf yield as well as the fruit mass. Mafakheri and Ashgari [33] also found that one of the general effects of marine algae extracts was to enhance plant growth and fruit yield, which in our case it was also observed in O. basilicum. The results of Jayasinghe et al. [35] described that there was a greater positive change in morphological parameters with the application of seaweed extract, and this also correlates with our results. Burnett et al. [42] recommend the use of humic extracts as biostimulants mainly for crops grown for their vegetative parts, as they promote foliage and shoot formation due to their high nitrogen content. Our results were not related to this—two application type of humic acid reduced these parameters. Vaughan [46] explained this by stating that humic acid, due to its large molecular size, is generally involved in cell wall attachment rather than being able to penetrate the cell. Nardi et al. [62] found that humic extracts can have a wide range of effects, depending on the uptake process through the foliage and roots, which suggests that the absorption of large amounts of humic extracts would require more time to have an actual effect. Nevertheless, it is also possible, in relation to the results of Rouphel and Colla [49], that because the plants were not growing under stress, that the applied humic extracts might not have sufficiently exerted their positive effects. Another possible hypothesis is that this application frequency of the humic extracts was not sufficient to produce adequate results on the individual plants of the experimental population.
4.2. Histological Parameters
Based on our results, all naturally derived substances increased the density of essential oil-containing glands in the leaf, which correlates with several previous results. For example, Memari-Tabrizi et al. [35] found that silicon, and in this case, oleaginous extract, is able to increase the density and size of oil glands. It is also worth mentioning the results of Sangwan et al. [43] and Sifola and Barbieri [44], who found that high nitrogen levels also have a positive effect on gland yield in O. basilicum. This was also shown by treatments with humic extracts. In terms of the number of essential oil glands per unit area, it can be seen that only the spray-applied humus extract had significantly lower results for comparison with the control; in contrast, the irrigation-treated group results were the highest by a significant amount. This correlates with the results of Ni et al. [47], which showed that leaf-applied humic extracts have less effect on the plant, in contrast to the irrigation-applied humic extracts.
The uptake of humic extracts in the soil applied by irrigation was continuous due to the moisture content of the soil. This was clearly shown by the total gland count parameters, where this group gave the highest values. Comparing the leaf area and gland count data, it can be observed that the number of glands increased in the case of the gland extract not in direct proportion to the leaf area (high leaf area, low gland count). The effect of the algae extract was that the number of glands increased in direct proportion to the leaf area, as in the control group. In the case of humic extracts, however, for the individual group in which irrigation was applied, although the leaf area did not increase to a statistically discernible extent, the increase in gland number was high, resulting in a high gland number ratio.
4.3. Physiological Parameters
Martins et al. [51] in their study on Petunia plants showed that the negative effect of humic extracts may cause chlorosis, which might be partly a result of reduced chlorophyll content and rapidly senescing leaves. Our results may be related to this hypothesis and these results. Based on the chlorophyll content, the tested plants treated with algae and E. arvense extracts showed the highest values, where groups treated with humic extracts did not show significant differences compared to the control. These data also correlated with morphological parameters: smaller, often weaker plants showed lower chlorophyll, while plants with stronger, more developed morphological parameters showed higher chlorophyll results. The humic extracts had effects on the plants, as shown by the slightly higher chlorophyll content compared to the control, which was also described by Mafakheri and Ashgari [33] based on their measurements of humic acid. It can also be concluded that our results were in line with those of Kalteh et al. [28] and that the silicon-containing E. arvense extract indeed increased the chlorophyll content of the plants. The finding of Aghaei et al. [6] for organic-based fertilizers in general was confirmed in our measurements: that these fertilizers, like humic materials, have a higher nitrogen content, which may result in increased chlorophyll content.
In the case of POD levels, the control group and the irrigated group obtained the lowest results; i.e., these plants were less sensitive to the stress factors present and their physiological processes were able to protect them. The POD activity was significantly higher in the case of E. arvense extract, algae extract and leaf-applied humic extracts. In parallel, proline levels were also significantly higher in algae extract-treated and leaf-treated basil plants. Stress levels were reduced in the control, irrigation-treated and E. arvense extract-treated groups and in the humus irrigation-treated group were significantly lower as well. There may be an inverse relationship between proline levels and POD activity levels [18]. However, several publications highlight that high proline levels may result in decreased root and other morphological parameters [15,19]. If we take this into account and approach from this side the two groups with the highest proline values, algal extract and sprayed humus extract, and compare the morphological results, we can conclude that the humus applied to the leaves could not be incorporated into the plant tissue due to the high proline levels. In comparison, the humus material applied to the soil could be absorbed more efficiently when the plants were regularly watered, as indicated by the higher results obtained compared to the groups that received the spray. The fact that the spray on the foliage stressed the plants may have been a contributing factor—this may explain why the control and the group receiving the irrigation-applied humus had the lowest POD activity, as these groups did not receive any spraying. However, this requires further investigation.
In the case of the plants treated with a E. arvense extract, the high silicon content could on the one hand have increased the morphological parameters as a biostimulant, and on the other hand it is worth investigating silicon as a hormesis-inducing factor. Several results have shown the beneficial effect of silicon in this species, in improved morphological parameters and higher chlorophyll content [29]. Results from Kalteh et al. [28] showed that high silicon levels increased proline levels, which is in agreement with our results on basil.
5. Conclusions
The use of plant extracts and humic extracts of natural origin was beneficial for the ornamental plant cultivar O. basilicum Rokokó, which may help its future use in urban green areas. Among the agents used, the effects of algae and E. arvense extracts improved morphological characteristics and chlorophyll content. Although morphological characteristics are of particular importance for basil used as an ornamental plant, the volatile oil content of the plant may also be important to attract attention for urban plantings. It was found that humic extracts applied by irrigation had a strong effect on essential oil glands. The lowest stress level was found in the group treated with irrigation-applied humic extracts, which may be related to the continuous availability of nutrients, and in the case of E. arvense extract, silicon, the result may be the result of hermetic factors.
In conclusion, increasing climate change and urbanisation require methods that can be used as an environmentally friendly solution with high crop yields and low environmental impact compared to conventional fertilizer use. In the case of O. basilicum Rokokó, algae and E. arvense extraction can be effective in greenhouse seedling production. Among the humic extracts used, humic extracts applied by irrigation show outstanding potential in essential oil production and in keeping stress levels low.
Author Contributions
Conceptualization, L.O.; methodology, S.K.; software, K.H.; validation, L.O. and K.H.; formal analysis, K.H.; investigation, S.K.; resources, D.H.-F.; data curation, K.H. and D.H.-F.; writing—original draft preparation, S.K. and K.H.; writing—review and editing, S.K. and K.H.; visualization, L.O.; supervision, S.K.; project administration, K.H. All authors have read and agreed to the published version of the manuscript.
Funding
This research received no external funding.
Data Availability Statement
The datasets presented in this article are not readily available because the data are part of an ongoing study. Requests to access the datasets should be directed to the corresponding author.
Acknowledgments
The research was supported by the project ‘The feasibility of the circular economy during national defense activities’ of the 2021 Thematic Excellence Programme of the National Research, Development and Innovation Office under grant no.: TKP2021-NVA-22, led by the Centre for Circular Economy Analysis. We are grateful to Zsanett Istvánfi for her help during the plant cultivation process, Zsolt Lénárt for technical support and Jana Táborská for review and identification of microscopic images.
Conflicts of Interest
The authors declare no conflict of interest. The funders had no role in the design of the study; in the collection, analyses, or interpretation of data; in the writing of the manuscript; or in the decision to publish the results.
References
- Dörr, O.S.; Brezina, S.; Rauhut, D.; Mibus, H. Plant architecture and phytochemical composition of basil (Ocimum basilicum L.) under the influence of light from microwave plasma and high-pressure sodium lamps. J. Photochem. Photobiol. B Biol. 2020, 202, 111678. [Google Scholar] [CrossRef] [PubMed]
- Hozayen, W.G.; El-Desouky, M.A.; Soliman, H.A.; Ahmed, R.R.; Khaliefa, A.K. Antiosteoporotic effect of Petroselinum crispum, Ocimum basilicum and Cichorium intybus L. in glucocorticoid-induced osteoporosis in rats. BMC Complement. Altern. Med. 2016, 16, 165. [Google Scholar] [CrossRef] [PubMed]
- Bączek, K.; Kosakowska, O.; Gniewosz, M.; Gientka, I.; Węglarz, Z. Sweet basil (Ocimum basilicum L.) productivity and raw material quality from organic cultivation. Agronomy 2019, 9, 279. [Google Scholar] [CrossRef]
- Darrah, H.H. Investigation of the cultivars of the basils (Ocimum). Econ. Bot. 1974, 28, 63–67. [Google Scholar] [CrossRef]
- Turner, G.W.; Gershenzon, J.; Croteau, R.B. Distribution of peltate glandular trichomes on developing leaves of peppermint. Plant Physiol. 2000, 124, 655–664. [Google Scholar] [CrossRef]
- Aghaei, K.; Pirbalouti, A.G.; Mousavi, A.; Badi, H.N.; Mehnatkesh, A. Effects of foliar spraying of l-phenylalanine and application of bio-fertilizers on growth, yield, and essential oil of hyssop [Hyssopus officinalis L. subsp. Angustifolius (Bieb.)]. Biocatal. Agric. Biotechnol. 2019, 21, 101318. [Google Scholar] [CrossRef]
- Hungarian University of Agriculture and Life Sciences. Available online: https://en.uni-mate.hu/ (accessed on 12 September 2024).
- Kisvarga, S.; Farkas, D.; Orlóci, L. The past and future of Hungarian annual and perennial ornamental plant breeding. In Proceedings of the XXXI International Horticultural Congress (IHC2022): International Symposium on Innovations in Ornamentals: From Breeding to 1368, Angers, France, 14 August 2022; pp. 281–290. [Google Scholar]
- Sankar, B.; Jaleel, C.A.; Manivannan, P.; Kishorekumar, A.; Somasundaram, R.; Panneerselvam, R. Drought-induced biochemical modifications and proline metabolism in Abelmoschus esculentus (L.) Moench. Acta Bot. Croat. 2007, 66, 43–56. [Google Scholar]
- Ábrahám-Temesvári, E. A Prolin Felhalmozódás, és az Ebben Kulcsszerepet Játszó Gének Transzkripcionális Szintű Vizsgálata Arabidopsis Thaliana-Ban; MTA Biological Research Centre: Szeged, Hungary, 2004. [Google Scholar]
- Sofy, M.R.; Seleiman, M.F.; Alhammad, B.A.; Alharbi, B.M.; Mohamed, H.I. Minimizing adverse effects of pb on maize plants by combined treatment with jasmonic, salicylic acids and proline. Agronomy 2020, 10, 699. [Google Scholar] [CrossRef]
- Jang, S.W.; Sadiq, N.B.; Hamayun, M.; Jung, J.; Lee, T.; Yang, J.S.; Lee, B.; Kim, H.Y. Silicon foliage spraying improves growth characteristics, morphological traits, and root quality of Panax ginseng CA Mey. Ind. Crops Prod. 2020, 156, 112848. [Google Scholar] [CrossRef]
- Hayat, S.; Hayat, Q.; Alyemeni, M.N.; Wani, A.S.; Pichtel, J.; Ahmad, A. Role of proline under changing environments: A review. Plant Signal. Behav. 2012, 7, 1456–1466. [Google Scholar] [CrossRef]
- Wang, X.S.; Han, J.G. Changes of proline content, activity, and active isoforms of antioxidative enzymes in two alfalfa cultivars under salt stress. Agric. Sci. China 2009, 8, 431–440. [Google Scholar] [CrossRef]
- Matysik, J.; Alia, Bhalu, B.; Mohanty, P. Molecular mechanisms of quenching of reactive oxygen species by proline under stress in plants. Curr. Sci. 2002, 82, 525–532. [Google Scholar]
- Passardi, F.; Cosio, C.; Penel, C.; Dunand, C. Peroxidases have more functions than a Swiss army knife. Plant Cell Rep. 2005, 24, 255–265. [Google Scholar] [CrossRef]
- Jouili, H.; Bouazizi, H.; El Ferjani, E. Plant peroxidases: Biomarkers of metallic stress. Acta Physiol. Plant. 2011, 33, 2075–2082. [Google Scholar] [CrossRef]
- Kravić, N.; Marković, K.; Anđelković, V.; Hadži-Tašković Šukalović, V.; Babić, V.; Vuletić, M. Growth, proline accumulation and peroxidase activity in maize seedlings under osmotic stress. Acta Physiol. Plant. 2013, 35, 233–239. [Google Scholar] [CrossRef]
- Chen, S.L.; Kao, C.H. Cd induced changes in proline level and peroxidase activity in roots of rice seedlings. Plant Growth Regul. 1995, 17, 67–71. [Google Scholar] [CrossRef]
- Ferrusquía-Jiménez, N.I.; Serrano-Jamaica, L.M.; Martínez-Camacho, J.E.; Sáenz de la, O.D.; Villagomez-Aranda, A.L.; González-Chavira, M.M.; Guerrero, B.; Pacheco, I.T.; Feregrino-Perez, A.A.; Medina-Ramos, G. Extracellular self-DNA plays a role as a damage-associated molecular pattern (DAMP) delaying zoospore germination rate and inducing stress-related responses in Phytophthora capsici. Plant Pathol. 2022, 71, 1066–1075. [Google Scholar] [CrossRef]
- Rathor, P.; Gorim, L.Y.; Thilakarathna, M.S. Plant hysiological and molecular responses triggered by humic based biostimulants-a way forward to sustainable agriculture. Plant Soil 2023, 492, 31–60. [Google Scholar] [CrossRef]
- Maričić, B.; Radman, S.; Romić, M.; Perković, J.; Major, N.; Urlić, B.; Palčić, I.; Ban, D.; Zorić, Z.; Ban, S.G. Stinging Nettle (Urtica dioica L.) as an aqueous plant-based extract fertilizer in green bean (Phaseolus vulgaris L.) sustainable agriculture. Sustainability 2021, 13, 4042. [Google Scholar] [CrossRef]
- Ricci, M.; Tilbury, L.; Daridon, B.; Sukalac, K. General principles to justify plant biostimulant claims. Front. Plant Sci. 2019, 10, 494. [Google Scholar] [CrossRef]
- Teliban, G.C.; Stoleru, V.; Burducea, M.; Lobiuc, A.; Munteanu, N.; Popa, L.D.; Caruso, G. Biochemical, physiological and yield characteristics of red basil as affected by cultivar and fertilization. Agriculture 2020, 10, 48. [Google Scholar] [CrossRef]
- Tahami, M.K.; Jahan, M.; Khalilzadeh, H.; Mehdizadeh, M. Plant growth promoting rhizobacteria in an ecological cropping system: A study on basil (Ocimum basilicum L.) essential oil production. Ind. Crops Prod. 2017, 107, 97–104. [Google Scholar] [CrossRef]
- Jahan, M.; Amiri, M.B.; Shabahang, J.; Ahmadi, F.; Soleymani, F. The Effects of Winter Cover Crops and Plant Growth Promoting Rhizobacteria on some Soil Fertility Aspects and Crop Yield in an Organic Production System of Ocimum basilicum L. Iran. J. Field Crops Res. 2013, 11, 562–572. [Google Scholar] [CrossRef]
- Eghlima, G.; Chegini, K.G.; Farzaneh, M.; Aghamir, F. Effect of common horsetail extract on growth characteristics, essential oil yield and chemical compositions of basil (Ocimum basilicum L.). Sci. Rep. 2024, 14, 11082. [Google Scholar] [CrossRef]
- Kalteh, M.; Alipour, Z.T.; Ashraf, S.; Marashi, A.M.; Falah, N.A. Effect of silica nanoparticles on basil (Ocimum basilicum) under salinity stress. J. Chem. Health Risks 2014, 4, 49–55. [Google Scholar]
- Chele, K.H.; Steenkamp, P.; Piater, L.A.; Dubery, I.A.; Huyser, J.; Tugizimana, F. A global metabolic map defines the effects of a Si-based biostimulant on tomato plants under normal and saline conditions. Metabolites 2021, 11, 820. [Google Scholar] [CrossRef]
- Memari-Tabrizi, E.F.; Yousefpour-Dokhanieh, A.; Babashpour-Asl, M. Foliar-applied silicon nanoparticles mitigate cadmium stress through physio-chemical changes to improve growth, antioxidant capacity, and essential oil profile of summer savory (Satureja hortensis L.). Plant Physiol. Biochem. 2021, 165, 71–79. [Google Scholar] [CrossRef] [PubMed]
- El-Beltagi, H.S.; Mohamed, H.I.; Sofy, M.R. Role of ascorbic acid, glutathione and proline applied as singly or in sequence combination in improving chickpea plant through physiological change and antioxidant defense under different levels of irrigation intervals. Molecules 2020, 25, 1702. [Google Scholar] [CrossRef]
- Sampathkumar, P.; Dineshkumar, R.; Rasheeq, A.A.; Arumugam, A.; Nambi, K.S. Marine microalgal extracts on cultivable crops as a considerable bio-fertilizer: A Review. Indian J. Tradit. Knowl. (IJTK) 2019, 18, 849–854. [Google Scholar]
- Mafakheri, S.; Asghari, B. Effect of Seaweed Extract, Humic Acid and Chemical Fertilizers on Morphological, Physiological and Biochemical Characteristics of Trigonella foenum-graecum L. J. Agric. Sci. Technol. 2018, 20, 1505–1516. [Google Scholar]
- Latique, S.; Chernane, H.; Mansoori, M.; El Kaoua, M. Seaweed liquid fertilizer effect on physiological and biochemical parameters of bean plant (Phaesolus vulgaris cultivar Paulista) under hydroponic system. Eur. Sci. J. 2013, 9, 174–191. [Google Scholar]
- Jayasinghe, P.S.; Pahalawattaarachchi, V.; Ranaweera, K.K.D.S. Effect of Seaweed Liquid Fertilizer on Plant Growth of Capsicum annum. Discovery 2016, 52, 723–734. Available online: http://www.nara.ac.lk/wp-content/uploads/2018/01/No-6-Sw-Liquid-fertilizer.pdf (accessed on 20 September 2024).
- Manea, A.I.; Abbas, K.A.U. Influence of seaweed extract, organic and inorganic fertilizer on growth and yield broccoli. Int. J. Veg. Sci. 2018, 24, 550–556. [Google Scholar] [CrossRef]
- Mohammed, A.A.; Söylemez, S.; Sarhan, T.Z. Effect of biofertilizers, seaweed extract and inorganic fertilizer on growth and yield of lettuce (Lactuca sativa var. longifolia L.). Harran Tarım Ve Gıda Bilim. Derg. 2022, 26, 60–71. [Google Scholar] [CrossRef]
- Nassar, M.A.; EL-kobisy, O.S.; Shaaban, S.A.; Abdelwahab, H.M. Seaweed extract enhancing growth, fresh herb an essential oil of sweet marjoram (Origanum majorana L.). Plant Arch. 2020, 20, 3094–3101. [Google Scholar]
- Khalid, K.A. Influence of water stress on growth, essential oil, and chemical composition of herbs [Ocimum sp.]. Int. Agrophysics 2006, 20, 289–296. [Google Scholar]
- Ekren, S.; Sönmez, Ç.; Özçakal, E.; Kurttaş, Y.S.K.; Bayram, E.; Gürgülü, H. The effect of different irrigation water levels on yield and quality characteristics of purple basil (Ocimum basilicum L.). Agric. Water Manag. 2012, 109, 155–161. [Google Scholar] [CrossRef]
- Du Jardin, P. Plant biostimulants: Definition, concept, main categories and regulation. Sci. Hortic. 2015, 196, 3–14. [Google Scholar] [CrossRef]
- Burnett, S.E.; Mattson, N.S.; Williams, K.A. Substrates and fertilizers for organic container production of herbs, vegetables, and herbaceous ornamental plants grown in greenhouses in the United States. Sci. Hortic. 2016, 208, 111–119. [Google Scholar] [CrossRef]
- Sangwan, N.S.; Farooqi, A.H.A.; Shabih, F.; Sangwan, R.S. Regulation of essential oil production in plants. Plant Growth Regul. 2001, 34, 3–21. [Google Scholar] [CrossRef]
- Sifola, M.I.; Barbieri, G. Growth, yield and essential oil content of three cultivars of basil grown under different levels of nitrogen in the field. Sci. Hortic. 2006, 108, 408–413. [Google Scholar] [CrossRef]
- Sirousmehr, A.; Arbabi, J.; Asgharipour, M.R. Effect of drought stress levels and organic manures on yield, essential oil content and some morphological characteristics of sweet basil (Ocimum basilicum). Adv. Environ. Biol. 2014, 8, 880–885. [Google Scholar]
- Vaughan, D. Effetto delle sostanze umiche sui processi metabolici delle piante. In Sostanze Umiche Effetti Sul Terreno e Sulle Piante; Ramo Editoriale degli Agricoltori: Roma, Italy, 1986; pp. 59–81. [Google Scholar]
- Ni, H.; Zhao, J.; Yang, Z. Effects of compound fertilizer decrement and water-soluble humic acid fertilizer application on soil properties, bacterial community structure, and shoot yield in Lei Bamboo (Phyllostachys praecox) plantations in subtropical China. Forests 2024, 15, 400. [Google Scholar] [CrossRef]
- Khazaie, H.R.; EyshiRezaie, E.; Bannayan, M. Application times and concentration of humic acid impact on aboveground biomass and oil production of hyssop (Hyssopus officinalis). J. Med. Plants Res. 2011, 5, 5148–5154. [Google Scholar]
- Olivares, F.L.; Aguiar, N.O.; Rosa, R.C.C.; Canellas, L.P. Substrate biofortification in combination with foliar sprays of plant growth promoting bacteria and humic extracts boosts production of organic tomatoes. Sci. Hortic. 2015, 183, 100–108. [Google Scholar] [CrossRef]
- Rouphael, Y.; Colla, G. Biostimulants in agriculture. Front. Plant Sci. 2020, 11, 40. [Google Scholar] [CrossRef]
- Martins, E.M.; Pillajo, J.Q.; Jones, M.L. Humic and Fulvic Acids Promote Growth and Flowering in Petunias at Low and Optimal Fertility. HortScience 2024, 59, 235–244. [Google Scholar] [CrossRef]
- Bioka Equisetum. Available online: https://www.sanaplant.sk/wp-content/uploads/2022/12/kbu_1594-bioka-equisetum.pdf (accessed on 8 October 2024).
- Lötze, E.; Hoffman, E.W. Nutrient composition and content of various biological active compounds of three South African-based commercial seaweed biostimulants. J. Appl. Phycol. 2016, 28, 1379–1386. [Google Scholar] [CrossRef]
- Talajreform. Available online: https://talajreform.hu/termekek/esstence (accessed on 11 August 2024).
- Klasmann-Deilmann. Available online: https://klasmann-deilmann.com/wp-content/uploads/8982_KD_Aktualisierung_Easy_Growing_EN.pdf (accessed on 21 September 2024).
- Raymond Hunt, E.; Daughtry, C.S.T. Chlorophyll Meter Calibrations for Chlorophyll Content Using Measured and Simulated Leaf Transmittances. Agron. J. 2014, 106, 931–939. [Google Scholar] [CrossRef]
- Ábrahám, E.; Houston-Cabassa, C.; Erdei, L.; Szabados, L. Methods for determination of proline in plants. Plant Stress Toler. Methods Protoc. 2010, 639, 317–331. [Google Scholar]
- Shannon, L.M.; Kay, E.; Lew, J.Y. Peroxidase isozymes from horseradish roots. I. Isolation and physical properties. J. Biol. Chem. 1966, 241, 2166–2172. [Google Scholar] [CrossRef] [PubMed]
- Debosz, K.; Petersen, S.O.; Kure, L.K.; Ambus, P. Evaluating effects of sewage sludge and household compost on soil physical, chemical and microbiological properties. Appl. Soil Ecol. 2002, 19, 237–248. [Google Scholar] [CrossRef]
- Zhen, L.; Kai, S.; Bin, Z.; Qingling, D.; Geng, L.; Han, H.; Li, Z.; Ning, T. Impacts of straw, biogas slurry, manure and mineral fertilizer applications on several biochemical properties and crop yield in a wheat-maize cropping system. Plant Soil Environ. 2019, 65, 1–8. [Google Scholar]
- Balas, J.; Keutgen, A.; Herzog, E. Biostimulants affect the quality and yield of tomato fruits from open-field production. In Proceedings of the VII South-Eastern Europe Symposium on Vegetables and Potatoes 2017, Maribor, Slovenia, 20–23 June 2017; Volume 1326, pp. 93–102. [Google Scholar] [CrossRef]
- Nardi, S.; Pizzeghello, D.; Muscolo, A.; Vianello, A. Physiological effects of humic extracts on higher plants. Soil Biol. Biochem. 2002, 34, 1527–1536. [Google Scholar] [CrossRef]
Disclaimer/Publisher’s Note: The statements, opinions and data contained in all publications are solely those of the individual author(s) and contributor(s) and not of MDPI and/or the editor(s). MDPI and/or the editor(s) disclaim responsibility for any injury to people or property resulting from any ideas, methods, instructions or products referred to in the content. |
© 2024 by the authors. Licensee MDPI, Basel, Switzerland. This article is an open access article distributed under the terms and conditions of the Creative Commons Attribution (CC BY) license (https://creativecommons.org/licenses/by/4.0/).






