Dynamic Transformations in Fruit Color, Bioactive Compounds, and Textural Characteristics of Purple-Fleshed Dragon Fruit (Hylocereus costaricensis) Across Fruit Developmental Stages Under Humid Tropical Climate
Abstract
1. Introduction
2. Materials and Methods
2.1. Experimental Site
2.2. Fruit Weight Estimation
2.3. Fruit and Pulp Color Estimation
2.4. Betalain Estimation
2.5. Antioxidant Activity Estimation
2.6. Phenol Estimation
2.7. Flavonoid Estimation
2.8. Fruit Firmness and Pulp Firmness
2.9. Estimation of Fruit Peel Characteristics
2.10. Statistical Analysis
3. Results
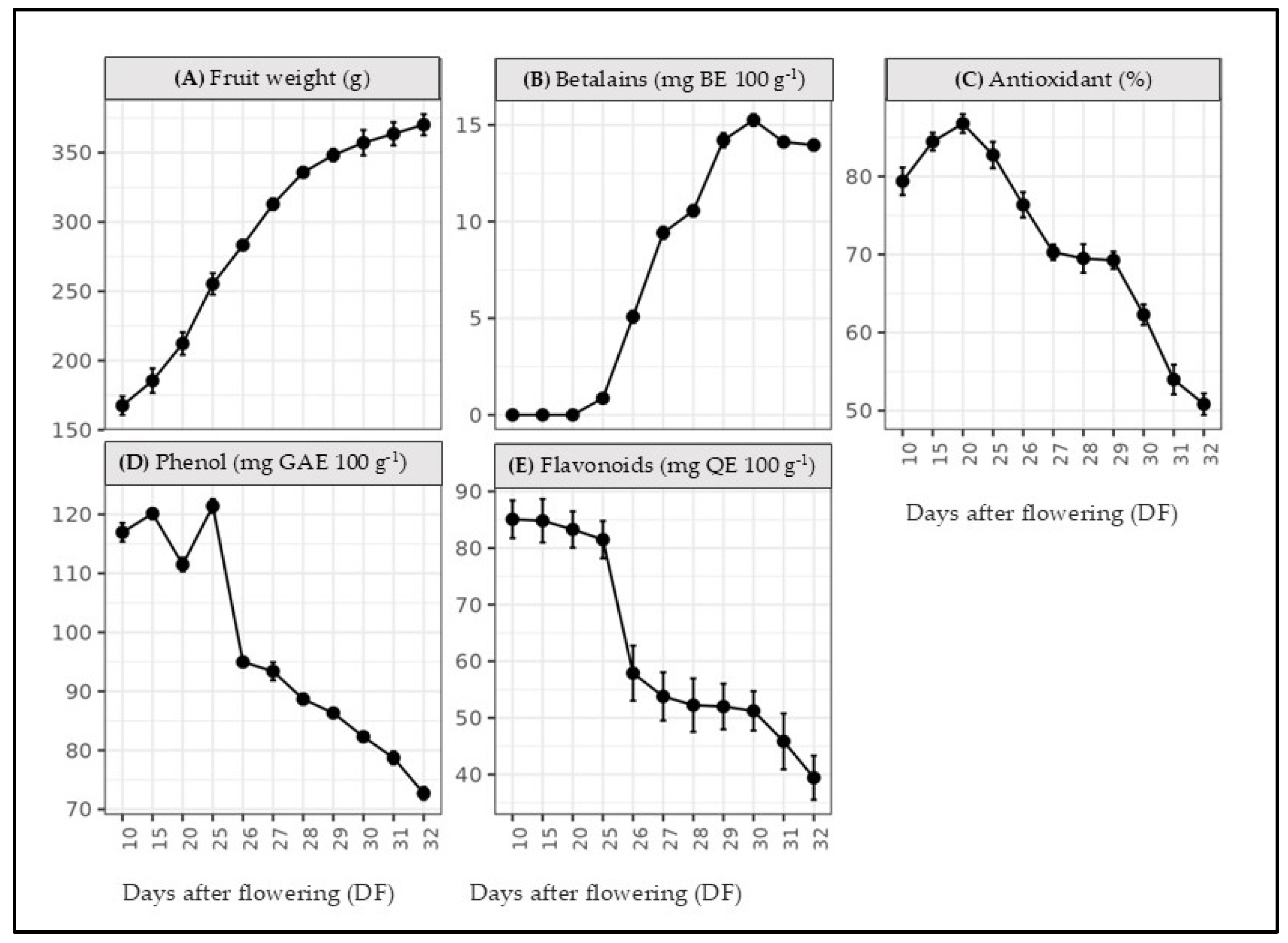
3.1. Fruit Weight
3.2. Fruit Color
3.3. Pulp Color
3.4. Betalain
3.5. Antioxidant Activity
3.6. Phenol
3.7. Flavonoid
3.8. Fruit and Pulp Firmness
3.9. Fruit Peel Characteristics
3.10. Correlation Analysis
4. Discussion
5. Conclusions
Author Contributions
Funding
Data Availability Statement
Acknowledgments
Conflicts of Interest
References
- Ortiz-Hernandez, Y.D.; Carilli, J.A.S. Pitahaya (Hylocereus spp.): Short Review. Commun. Sci. 2012, 3, 220–237. [Google Scholar]
- Wakchaure, G.C.; Kumar, S.; Meena, K.K.; Rane, J.; Pathak, H. Dragon Fruit Cultivation in India: Scope, Constraints and Policy Issues. Tech. Bull. 2021, 27, 47. [Google Scholar]
- Abirami, K.; Swain, S.; Baskaran, V.; Venkatesan, K.; Sakthivel, K.; Bommayasamy, N. Distinguishing Three Dragon Fruit (Hylocereus spp.) Species Grown in Andaman and Nicobar Islands of India Using Morphological, Biochemical, and Molecular Traits. Sci. Rep. 2021, 11, 2894. [Google Scholar] [CrossRef] [PubMed]
- Kaur, G.; Thawkar, B.; Dubey, S.; Jadhav, P. Pharmacological Potentials of Betalains. J. Complement Integr. Med. 2018, 15, 20170063. [Google Scholar] [CrossRef]
- Joshi, M.; Prabhakar, B. Phytoconstituents and Pharmaco-Therapeutic Benefits of Pitaya: A Wonder Fruit. J. Food Biochem. 2020, 44, 13260. [Google Scholar] [CrossRef]
- Jiang, Y.; Qu, H.; Zhou, L.; Yang, M.; Yang, Y.; Niu, L. Advances in Understanding the Fruit Development and Ripening Processes of Dragon Fruit (Hylocereus spp.). Sci. Hortic. 2020, 265, 109218. [Google Scholar]
- Thaiudom, S.; Oonsivilai, R.; Thaiwong, N. Production of Colorant Powder from Dragon Fruit (Hylocerecus polyrhizus) Peel: Bioactivity, Heavy Metal Contamination, Antimutagenicity, and Antioxidation Aspects. J. Food Process. Preserv. 2021, 45, e15044. [Google Scholar] [CrossRef]
- Jalgaonkar, K.; Mahawar, M.K.; Bhushan Bibwe, B.; Kannaujia, P. Postharvest Profile, Processing and Waste Utilization of Dragon Fruit (Hylocereus spp.): A Review. Food Rev. Int. 2020, 38, 733–759. [Google Scholar] [CrossRef]
- Perween, T.; Mandal, K.K.; Hasan, M.A. Dragon Fruit: An Exotic Super Future Fruit of India. J. Pharmacogn. Phytochem. 2018, 7, 1022–1026. [Google Scholar]
- Lichtenzveig, J.; Noy, S.; Zilberstaine, M. The Inheritance of White Versus Red Fruit Flesh Color in Pitaya (Hylocereus undatus). Hort Sci. 2000, 35, 1317–1318. [Google Scholar]
- Wakchaure, G.C.; Choudhari, J.D.; Kukde, R.B.; Reddy, K.S. Postharvest technology of dragon fruit. Tech. Bull. 2023, 41, 45. [Google Scholar]
- Wu, Y.; Xu, J.; He, Y.; Shi, M.; Han, X.; Li, W.; Zhang, X.; Wen, X. Metabolic profiling of pitaya (Hylocereus polyrhizus) during fruit development and maturation. Molecules 2019, 24, 1114. [Google Scholar] [CrossRef] [PubMed]
- Singh, A.; Swami, S.; Panwar, N.R.; Kumar, M.; Shukla, A.K.; Rouphael, Y.; Sabatino, L.K.P. Development changes in the physicochemical composition and mineral profile of red-fleshed dragon fruit grown under semi-arid conditions. Agronomy 2022, 12, 355. [Google Scholar] [CrossRef]
- Ortiz, T.A.; Takahashi, L.S.A. Pitaya fruit quality (Hylocereus undatus [Haworth] Britton & Rose) according to physiological maturity. A review. Rev. Colomb. Cienc. Hortic. 2020, 14, 63–75. [Google Scholar]
- Phebe, D.; Chew, M.K.; Suraini, A.A.; Lai, O.M.; Janna, O.A. Red-fleshed pitaya (Hylocereus polyrhizus) fruit colour and betacyanin content depend on maturity. Int. Food Res. J. 2009, 16, 233–242. [Google Scholar]
- Magalhaes, D.S.; Ramos, J.D.; Pio, L.A.S.; Boas, E.V.D.B.V.; Pasqual, M.; Rodrigues, F.A.; Rufini, J.C.M.; dos Santos, V.A. Physical and physicochemical modifications of white-fleshed pitaya throughout its development. Sci. Hortic. 2019, 243, 537–543. [Google Scholar] [CrossRef]
- Sethunath, K.; Bhaskar, J. Evaluation of diversity in dragon fruit (Hylocereus spp.) genotypes grown in Kerala, India. J. Appl. Hortic. 2024, 26, 127–131. [Google Scholar]
- Archana, R.; Rani, C.I.; Geetha, P.; Amuthaselvi, G.; Muthuvel, I.; Neelavathi, R. Value addition in dragon fruit and evaluation of the products (Hylocereus costaricensis). Biol. Forum Int. J. 2023, 15, 180–186. [Google Scholar]
- Siddiq, M.; Iezzoni, A.; Khan, A.; Breen, P.; Sebolt, A.M.; Dolan, K.D.; Ravi, R. Characterisation of new tart cherry (Prunus cerasus L.) selections based on fruit quality, total anthocyanins, and antioxidant capacity. Int. J. Food Prop. 2011, 14, 471–480. [Google Scholar] [CrossRef]
- Arivalagan, M.; Karunakaran, G.; Roy, T.K.; Dinsha, M.; Sindhu, B.C.; Shilpashree, V.M.; Satisha, G.C.; Shivashankara, K.S. Biochemical and nutritional characterization of dragon fruit (Hylocereus species). Food Chem. 2021, 353, 129426. [Google Scholar] [CrossRef]
- Sharma, O.P.; Bhat, T.K. Antioxidant activity and total phenols content of different varieties of Indian blackberry. Food Chem. 2009, 113, 1282–1289. [Google Scholar]
- Sadasivam, S.; Manickam, A. Biochemical Methods, 3rd ed.; New Age International (P) Limited: New Delhi, India, 2007. [Google Scholar]
- Matić, P.; Sabljić, M.; Jakobek, L. Validation of spectrophotometric methods for the determination of total polyphenol and total flavonoid content. J. AOAC Intl. 2017, 100, 1795–1803. [Google Scholar] [CrossRef] [PubMed]
- 24. ASAE 368.2 Mar. 95; ASAE Standards. Compression Test of Food Materials of Convex Shape. American Society of Agricultural Engineers: St. Joseph, MI, USA, 1998; pp. 554–559.
- Gopinath, P.P.; Parsad, R.; Joseph, B.; Adarsh, V.S. GrapesAgri1: Collection of shiny apps for data analysis in agriculture. J. Open Source Softw. 2021, 6, 3437. [Google Scholar] [CrossRef]
- Jamaludin, N.A.; Ding, P.; Hamid, A.A. Physico-Chemical and structural changes of red-Fleshed dragon fruit (Hylocereus polyrhizus) during fruit development. J. Sci. Food Agric. 2011, 91, 278–285. [Google Scholar] [CrossRef] [PubMed]
- Patel, R.K.; Singh, A.; Prakash, J.; Amit, N.; Deka, B.C. Physico-biochemical changes during fruit growth, development and maturity in passion fruit genotypes. Indian J. Hortic. 2014, 71, 486–493. [Google Scholar]
- Chitarra, M.I.F.; Chitarra, A.B. Post-Harvesting of Fruits and Vegetables: Physiology and Handling, 2nd ed.; FAEPE: Lavras, Brazil, 2005; p. 785. [Google Scholar]
- Tarte, I.; Singh, A.; Dar, A.H.; Sharma, A.; Altaf, A.; Sharma, P. Unfolding the potential of dragon fruit (Hylocereus spp.) for value addition: A review. eFood 2023, 4, 76. [Google Scholar] [CrossRef]
- Lata, D.; Narayana, C.; Karunakaran, G.; Rao, S.D.V.; Sane, A. Maturity determination of red and white pulp dragon fruit. J. Hort. Sci. 2022, 17, 157–165. [Google Scholar] [CrossRef]
- Ortiz, C.E.O.; Takahashi, L.S.A. Pitaya (Hylocereus spp.): Postharvest biology and technology of fruit. Fruit Veg. Phytochem. 2015, 2, 1123–1138. [Google Scholar]
- Zitha, E.Z.M.; Magalhaes, D.S.; Lago, R.C.; Carvalho, E.E.N.; Pasqual, M.; Eduardo Val’ erio de, B.V.B. Changes in the bioactive compounds and antioxidant activity in red-fleshed dragon fruit during its development. Sci. Hortic. 2022, 291, 110611. [Google Scholar] [CrossRef]
- Junior, I.M.R.; Magalhaes, D.S.; Rodrigues, F.A.; Pasqual, M.; Pio, L.A.S. Fruit quality and harvest point determination in white-fleshed dragon fruit. Res. Soc. Dev. 2021, 10, 11810716287. [Google Scholar] [CrossRef]
- Weiss, J.; Nerd, A.; Mizrahi, Y. Flowering behaviour and pollination requirements in climbing cacti with fruit crop potential. Hort. Sci. 1994, 29, 1487–1492. [Google Scholar]
- Huang, M.; Zhao, J. Recent advances in postharvest storage and preservation technology of pitaya (dragon fruit). J. Hortic. Sci. Biot. 2023, 99, 115–129. [Google Scholar] [CrossRef]
- Van To, L.; Ngu, N.; Duc, N.D.; Huong, H.T.T. Dragon fruit quality and storage life: Effect of harvesting time, use of plant growth regulators and modified atmosphere packaging. Acta Hortic. 2002, 575, 611–621. [Google Scholar] [CrossRef]
- Centurion Yah, A.R.; Solis Pereira, S.; Saucedo Veloz, C.; Baez Sanudo, R.; Sauri Duch, E. Sensorial, physical and chemical changes of pitahaya fruits (Hylocereus undatus) during development. J. Hort. Sci. 2008, 31, 1–5. [Google Scholar]
- Le Bellec, F.; Vaillant, F.; Imbert, E. Pitahaya (Hylocereus spp.): A new fruit crop, a market with a future. Fruits 2006, 61, 237–250. [Google Scholar] [CrossRef]
- Kahkonen, M.P.; Hopia, A.I.; Heinonen, M. Berry phenolics and their antioxidant activity. J. Agric. Food Chem. 2001, 49, 4076–4082. [Google Scholar] [CrossRef]
- Wongmetha, C.; Ke, L.S.; Liang, R.G.; Chang, C.C. Fruit firmness, cell wall composition and fruit quality of papaya during postharvest ripening. Int. J. Agric. Biol. 2015, 17, 351–356. [Google Scholar]
- Wanichang, J.; Jarimopas, B. Firmness and light reflectance properties of dragon fruits. In Proceedings of the Ninth National Conference of Thai Society of Agricultural Engineering on Technology for Sustainable Agriculture and Agroindustry, Chiangmai, Thailand, 31 January–1 February 2008. [Google Scholar]
- Su, Q.; Li, X.; Wang, L.; Wang, B.; Feng, Y.; Yang, H.; Zhao, Z. Variation in cell wall metabolism and flesh firmness of four apple cultivars during fruit development. Foods 2022, 11, 3518. [Google Scholar] [CrossRef]
- Ersan, K.; Yalcin, C.; Salih, A. Some physical fruit properties of cactus pear (Opuntia spp.) that grow wild in the eastern Mediterranean region of Turkey. J. Prof. Assoc. Cactus Dev. 2004, 1, 1–8. [Google Scholar]






| DF | Fruit Weight (g) | Fruit Color | Pulp Color | ||||||
|---|---|---|---|---|---|---|---|---|---|
| L* | a* | b* | C* | L* | a* | b* | C* | ||
| 10 | 167.51 ± 6.70 k | 42.46 ± 1.22 d | −8.14 ± 0.73 g | 15.76 ± 1.03 ab | 17.74 ± 0.88 ef | 92.85 ± 0.72 b | 1.20 ± 0.12 g | 13.19 ± 0.73 b | 13.24 ± 0.88 f | 
| 15 | 185.47 ± 8.84 j | 42.92 ± 1.14 cd | −7.5 ± 0.74 fg | 15.89 ± 1.14 ab | 17.57 ± 0.58 ef | 96.04 ± 0.74 a | 2.09 ± 0.31 f | 19.46 ± 0.74 a | 19.57 ± 0.74 e | 
| 20 | 212.28 ± 8.15 i | 43.75 ± 1.34 c | −7.87 ± 0.68 fg | 15.22 ± 1.34 a | 17.13 ± 0.73 fg | 57.83 ± 0.68 c | 3.46 ± 0.35 e | 2.39 ± 0.68 c | 4.21 ± 0.35 d | 
| 25 | 255.30 ± 7.72 h | 45.86 ± 1.20 b | −8.11 ± 0.30 f | 16.03 ± 1.18 b | 17.96 ± 0.74 e | 40.78 ± 0.62 d | 15.89 ± 0.58 d | −6.6 ± 0.63 g | 17.21 ± 0.73 c | 
| 26 | 283.32 ± 3.66 g | 48.00 ± 1.18 a | −8.56 ± 0.58 f | 14.46 ± 1.20 c | 16.80 ± 0.58 g | 27.00 ± 0.58 e | 26.63 ± 0.73 c | −7.72 ± 0.74 h | 27.73 ± 0.58 b | 
| 27 | 312.83 ± 4.17 f | 39.19 ± 1.02 e | 10.41 ± 0.65 e | 11.57 ± 1.02 d | 15.56 ± 0.88 h | 22.53 ± 0.66 f | 27.01 ± 0.88 c | −5.47 ± 0.65 f | 27.56 ± 1.08 b | 
| 28 | 335.76 ± 3.78 e | 37.73 ± 1.03 f | 20.05 ± 0.74 d | 7.79 ± 0.72 e | 21.51 ± 0.74 d | 22.44 ± 0.58 f | 29.43 ± 1.32 b | −5.44 ± 1.08 f | 29.93 ± 1.32 a | 
| 29 | 348.23 ± 4.46 d | 37.59 ± 1.10 f | 25.08 ± 1.08 c | 7.65 ± 0.64 e | 26.22 ± 1.08 c | 21.75 ± 0.62 g | 29.64 ± 1.08 a | −4.43 ± 1.37 e | 29.97 ± 1.33 a | 
| 30 | 357.17 ± 9.16 c | 37.43 ± 1.32 f | 29.16 ± 1.32 b | 6.93 ± 0.68 f | 29.97 ± 1.32 b | 21.30 ± 0.68 g | 30.19 ± 0.74 ab | −4.37 ± 0.58 e | 30.50 ± 1.52 a | 
| 31 | 363.61 ± 8.35 b | 37.14 ± 1.35 a | 32.83 ± 1.37 a | 4.65 ± 0.63 g | 33.16 ± 1.52 a | 20.19 ± 0.74 h | 30.10 ± 1.52 ab | −4.47 ± 1.32 e | 30.43 ± 0.74 a | 
| 32 | 370.16 ± 7.58 a | 36.20 ± 1.10 a | 32.96 ± 1.06 a | 4.42 ± 0.48 g | 33.26 ± 0.74 a | 20.25 ± 0.72 h | 30.08 ± 1.42 ab | −2.8 ± 0.64 d | 30.21 ± 1.42 a | 
| SE (±m) | 1.78 | 0.31 | 0.24 | 0.26 | 0.24 | 0.17 | 0.24 | 0.24 | 0.38 | 
| CD (0.05) | 4.98 | 0.86 | 0.66 | 0.71 | 0.67 | 0.48 | 0.68 | 0.66 | 0.75 | 
| DF | Betalains (mg BE 100 g−1) | Antioxidant Activity (%) | Total Phenol (mg GAE 100 g−1) | Total Flavonoids (mg QE 100 g−1) | 
|---|---|---|---|---|
| 10 | 0 | 79.38 ± 1.77 d | 116.95 ± 1.58 c | 85.07 ± 3.33 a | 
| 15 | 0 | 84.45 ± 1.14 b | 120.13 ± 0.93 b | 84.82 ± 3.83 a | 
| 20 | 0 | 86.76 ± 1.20 a | 111.48 ± 1.16 d | 83.28 ± 3.20 ab | 
| 25 | 0.86 ± 0.12 g | 82.75 ± 1.68 c | 121.40 ± 1.18 a | 81.48 ± 3.30 b | 
| 26 | 5.08 ± 0.31 f | 76.36 ± 1.63 e | 94.98 ± 0.83 e | 57.89 ± 4.86 c | 
| 27 | 9.42 ± 0.32 e | 70.28 ± 0.99 f | 93.40 ± 1.52 f | 53.79 ± 4.26 d | 
| 28 | 10.56 ± 0.30 d | 69.49 ± 1.84 f | 88.68 ± 0.93 g | 52.25 ± 4.71 d | 
| 29 | 14.21 ± 0.37 b | 69.26 ± 1.10 f | 86.32 ± 0.79 h | 52.00 ± 4.02 d | 
| 30 | 15.25 ± 0.30 a | 62.30 ± 1.31 g | 82.31 ± 0.81 i | 51.23 ± 3.48 d | 
| 31 | 14.12 ± 0.26 bc | 53.99 ± 1.90 h | 78.72 ± 1.09 j | 45.84 ± 4.93 e | 
| 32 | 13.96 ± 0.28 c | 50.83 ± 1.37 i | 72.71 ± 0.09 k | 39.43 ± 3.90 f | 
| SE (±m) | 0.06 | 0.38 | 0.29 | 1.04 | 
| CD (0.05) | 0.18 | 1.07 | 0.80 | 2.91 | 
| DF | Fruit Firmness (kg cm−2) | Pulp Firmness (kg cm−2) | Fruit Peel Thickness (mm) | Peel Percentage (%) | 
|---|---|---|---|---|
| 10 | 2.09 ± 0.10 d | 1.16 ± 0.012 a | 7.30 ± 0.03 a | 68.42 ± 2.93 a | 
| 15 | 3.88 ± 0.10 b | 0.98 ± 0.010 b | 6.40 ± 0.03 b | 67.01 ± 3.54 a | 
| 20 | 3.98 ± 0.09 a | 0.97 ± 0.011 c | 6.30 ± 0.03 bc | 63.01 ± 2.82 b | 
| 25 | 3.37 ± 0.06 c | 0.69 ± 0.009 d | 6.20 ± 0.03 bc | 60.01 ± 2.98 c | 
| 26 | 3.37 ± 0.06 e | 0.54 ± 0.010 e | 6.0 ± 0.07 c | 52.21 ± 1.34 d | 
| 27 | 3.37 ± 0.06 f | 0.29 ± 0.005 f | 5.20 ± 0.03 d | 46.73 ± 2.07 e | 
| 28 | 3.37 ± 0.06 g | 0.26 ± 0.006 g | 4.00 ± 0.03 e | 36.20 ± 2.0 f | 
| 29 | 0.54 ± 0.05 h | 0.25 ± 0.006 h | 3.50 ± 0.03 f | 28.20 ± 2.17 g | 
| 30 | 0.54 ± 0.05 h | 0.24 ± 0.005 i | 3.00 ± 0.05 g | 26.20 ± 1.89 h | 
| 31 | 0.54 ± 0.05 h | 0.20 ± 0.005 j | 2.50 ± 0.04 h | 23.22 ± 2.47 i | 
| 32 | 0.45 ± 0.10 h | 0.17 ± 0.009 k | 2.20 ± 0.04 i | 18.18 ± 2.10 j | 
| SE (±m) | 0.017 | 0.002 | 0.010 | 0.636 | 
| CD (0.05) | 0.049 | 0.006 | 0.028 | 1.778 | 
| Disclaimer/Publisher’s Note: The statements, opinions and data contained in all publications are solely those of the individual author(s) and contributor(s) and not of MDPI and/or the editor(s). MDPI and/or the editor(s) disclaim responsibility for any injury to people or property resulting from any ideas, methods, instructions or products referred to in the content. | 
© 2024 by the authors. Licensee MDPI, Basel, Switzerland. This article is an open access article distributed under the terms and conditions of the Creative Commons Attribution (CC BY) license (https://creativecommons.org/licenses/by/4.0/).
Share and Cite
Shameena, S.; Lekshmi, P.R.G.; Gopinath, P.P.; Gidagiri, P.; Kanagarajan, S. Dynamic Transformations in Fruit Color, Bioactive Compounds, and Textural Characteristics of Purple-Fleshed Dragon Fruit (Hylocereus costaricensis) Across Fruit Developmental Stages Under Humid Tropical Climate. Horticulturae 2024, 10, 1280. https://doi.org/10.3390/horticulturae10121280
Shameena S, Lekshmi PRG, Gopinath PP, Gidagiri P, Kanagarajan S. Dynamic Transformations in Fruit Color, Bioactive Compounds, and Textural Characteristics of Purple-Fleshed Dragon Fruit (Hylocereus costaricensis) Across Fruit Developmental Stages Under Humid Tropical Climate. Horticulturae. 2024; 10(12):1280. https://doi.org/10.3390/horticulturae10121280
Chicago/Turabian StyleShameena, Sajitha, Prabhakaran Radhamma Geetha Lekshmi, Pratheesh Pradeep Gopinath, Praveen Gidagiri, and Selvaraju Kanagarajan. 2024. "Dynamic Transformations in Fruit Color, Bioactive Compounds, and Textural Characteristics of Purple-Fleshed Dragon Fruit (Hylocereus costaricensis) Across Fruit Developmental Stages Under Humid Tropical Climate" Horticulturae 10, no. 12: 1280. https://doi.org/10.3390/horticulturae10121280
APA StyleShameena, S., Lekshmi, P. R. G., Gopinath, P. P., Gidagiri, P., & Kanagarajan, S. (2024). Dynamic Transformations in Fruit Color, Bioactive Compounds, and Textural Characteristics of Purple-Fleshed Dragon Fruit (Hylocereus costaricensis) Across Fruit Developmental Stages Under Humid Tropical Climate. Horticulturae, 10(12), 1280. https://doi.org/10.3390/horticulturae10121280
 
        

 
       