Abstract
Not only is solving freshwater resource shortages effective but also an important measure for realizing the sustainable development of agriculture through the development and use of unconventional water resources. This pot experiment investigated the role of exogenous silicon in the risk of secondary soil salinization and the growth physiology of Lvxiu pakchoi cabbage under irrigation by using brackish water alone (BW), reclaimed water alone (RW), and compound irrigation with brackish water and reclaimed water at a ratio of 1:1, as well as the distribution of silicon in a soil–crop system. The results showed that with the extension of the spraying period of silicon fertilizer, the electrical conductivity (EC) decreased under 1:1 compound irrigation. The pH values in all treatments ranged from 7.95 to 8.10 without a potential risk of alkalization. Spraying silicon fertilizer had a positive effect on increasing the ratio of exchangeable potassium to sodium in soil. Spraying silicon fertilizer significantly reduced the percentage of exchangeable sodium (ESP) and the sodium adsorption ratio (SAR) in soils irrigated using BW, and increased the soil ESP and SAR under compound irrigation and RW irrigation, but these factors did not exceed the threshold of soil salinization. The proper application of silicon fertilizer had no significant effect on the total silicon content in the soil but increased the total silicon content in the plants to some extent. In addition, the yield was improved through proper silicon fertilizer application. In summary, exogenous silicon has positive effects on soil physical and chemical properties and crop growth, and relieves secondary salinization risk under compound irrigation via brackish water and reclaimed water.
1. Introduction
A shortage of fresh water (FW) resources is a serious global issue and is currently a cause of increasing concern. Therefore, brackish water irrigation (BWI) has become common for maintaining sustainable agricultural development, especially in arid areas. As an alternative resource, the rational utilization of brackish water will not only increase irrigation water sources and relieve fresh irrigation water shortages but also increase the irrigation guarantee rate and ensure crop yield. Brackish water (BW) utilization is a realistic demand for agricultural irrigation in arid areas and is an important measure for alleviating the shortage of FW resources, thereby maintaining the sustainable development of agriculture. Previous studies have shown that BWI with salinities lower than 10.6 dS·m−1 can alleviate water shortages and efficiently reduce soil carbon emissions without affecting cotton yield on the North China Plain [1]. The BWI does not have a significant impact on soil chemical properties or salinization in the short term; however, BWI may lead to secondary soil salinization [2] and ultimately affect crop growth [3] in the long term. Combining BW and FW for irrigation can help reduce the negative effects of salt on crop growth [4] and contribute to soil carbon accumulation and nutrient maintenance [5]. However, combined irrigation is also restricted to some extent in areas with scarce FW resources. Compared to BW, reclaimed water (RW) has a lower salinity and can be used in agricultural irrigation by mixing with BW to mitigate the pressure of water resource shortages. Moreover, improving grain yield, solving the problem of salt accumulation caused by BWI, and improving RW utilization efficiency are effective methods. However, the joint use of BW-RW may still lead to secondary soil salinization, and corresponding regulatory measures need to be taken to solve this problem.
Silicon (Si) is an important stress-relieving agent that can improve crop growth under stress conditions [6] and boost plant vigor by improving root mass and density [7]. Silicon fertilizer has five main functions under adverse conditions: cold resistance, disease resistance, saline–alkali resistance, drought resistance, and heavy metal resistance [8]. Studies have confirmed that silicon fertilizer is beneficial for plant growth and development and can enhance plant biomass and yield. For example, silicon fertilizer can improve photosynthesis [9,10], increase crop yield by enhancing gas exchange properties and the chlorophyll content in leaves to reduce oxidative damage [11,12], improve root colonization [13], and promote the growth and symbiosis of beneficial microorganisms [14]. Moreover, silicon fertilizer can reduce the harm of insects and pathogens [15]; improve the nutrient utilization efficiency of P, Ca, K, etc. [16,17]; improve the tolerance of plants to salt stress and water stress [18,19,20,21,22]; promote carbon fixation [23,24,25]; and alleviate the toxicity of heavy metals such as Cd, As, and Pb [9,26]. However, studies on the use of silicon fertilizer for regulating crop and soil stressed by salt under compound irrigation practices involving saline water and recycled water are rare.
Therefore, this paper evaluated the regulatory effect of Si on the growth of the pakchoi cabbage Lvxiu and soil salt content under BW-RW compound irrigation. The following hypotheses were tested: (1) silicon fertilizer is conducive to crop growth under compound irrigation; (2) silicon fertilizer can alleviate salt stress under compound irrigation; and (3) silicon fertilizer has a positive regulatory impact on crop growth and soil salt under compound irrigation.
2. Materials and Methods
2.1. Tested Materials and Experimental Design
The experiment was carried out in a sunlight greenhouse (day/night temperature, 32 °C/20 °C; relative humidity, 50–60%) at the Xinxiang Agricultural Soil and Water Environment Field Scientific Observation Station of the Chinese Academy of Agricultural Sciences. The tested soil was taken from the topsoil in the farmland around the station, air-dried, ground, and sifted through a 10-mesh sieve. The soil can be defined as loam according to international classification standards because the contents of sand (0.02~2 mm), silt (0.002~0.02 mm), and clay (<0.002 mm) account for 34.48%, 44.62%, and 20.90%, respectively. The soil properties are listed in Table 1.
Table 1.
The characteristics of the initial soil.
A vegetable cultivar, “Lvxiu” pakchoi cabbage, was selected and tested. Two factors were set up, namely, the compound ratio of BW to RW and the period of silicon fertilizer application. The former factor included three levels: pure BW only, pure RW only, and BW mixed with RW at a ratio of 1:1. The spraying period factor was set at three levels: no spraying (0), every 2 days, and every 4 days. The salinity of the saline water used was 5 g per liter, and a constant volume of silicon fertilizer (sodium metasilicate) was sprayed to plants with a concentration of 150 mg/L for each spray. There were 9 treatments with 3 replicates in all experiments (Table 2).
Table 2.
Design of the pot experiment for compound irrigation and silicon fertilizer.
The pot used in this experiment was 19 cm in height with a maximum diameter of 25 cm and a minimum diameter of 14.5 cm. Three small holes were punched at the bottom to allow drainage, and 2 layers of geotextile were set before filling the soil to prevent fine soil particles from plugging the holes. The pots were packed with 7 kg of soil. The seeds were sprayed evenly to the surface soil on 9 June 2021, and then, only 5 plants were kept in each pot on 21 June (almost at the two-leaf stage). Then, the watering treatments and fertilizer spraying treatments began at the same time. Irrigation was carried out when the soil moisture was close to 0.75 of field capacity, and approximately 300 mL of water was added to each pot via traditional surface irrigation. According to local conventional fertilizer management practices, compound fertilizer was applied at a rate of 1‰ (approximately 1 g of fertilizer to 1 kg of soil) to the soil as the base fertilizer. The recycled water was taken from the Luotuo Bay domestic sewage treatment plant in Xinxiang city, Henan Province. The water quality met the Farmland Irrigation Water Quality Standard (GB5084-2021) [27] after the A2/O treatment was adopted. The fresh water used was tap water directly, and the FW was obtained as FW supplemented with sea salt until the purposed salinity was reached according to previous methods [28]. The water quality data are listed in Table 3.
Table 3.
Water quality indices.
2.2. Measurements
Soil physical and chemical properties. The drying method was used to measure the soil moisture. The soil extract was prepared with water at a ratio of 1:5 for the following measurements. The electrical conductivity (EC), water-soluble ions (K+, Ca2+, Na+, Mg2+, Cl−, CO32−, HCO3−, and SO42−), soil organic matter, and WDPT were measured according to previous methods [29].
Secondary soil salinization characteristics. The pH of the 1:2.5 soil extract was determined via the potentiometric method. The soil exchangeable K+, Na+, Ca2+, and Mg2+ concentrations were measured as previously described [29]. The cation exchange capacity (CEC) was determined by the use of Ca(OAc)2. The exchangeable sodium percentage (ESP) is the ratio of exchangeable Na+ absorbed by soil colloids to CEC, and the sodium adsorption ratio (SAR) is the ratio of the soil water-soluble Na+ content to the sum of the square roots of soil water-soluble Ca2+ and Mg2+.
Characteristics of crop growth. After harvest (14 July), the plants were divided into aboveground and underground parts, which were subsequently washed with distilled water and dried. The aboveground fresh weight (AFW) and underground fresh weight (UFW) were calculated with a balance, after which the samples were heated for 15 min at 105 °C and subsequently dried at 75 °C to a constant weight, after which the aboveground dry weight (ADW) and underground dry weight (UDW) were calculated with a balance.
Crop physiological characteristics. A chlorophyll content detection kit (Solarbio, Beijing, China) was used to determine the chlorophyll a, chlorophyll b, and total chlorophyll contents of the leaves. The soluble protein content and catalase (CAT), superoxide dismutase (SOD), peroxidase (POD), and malondialdehyde (MDA) activities of the plants were determined according to previous methods [30].
Determination of the total silicon content. The total silicon content in the soil was determined using the animal glue desiliconization-mass method. The soil sample was melted with sodium carbonate and dissolved in hydrochloric acid, and the solution was evaporated to wet salt. In concentrated hydrochloric acid, animal glue was added to condense silicic acid, which was subsequently dehydrated into silica precipitates and filtered to separate it from other elements. After the precipitate was burned at 920 °C and weighed, the SiO2 content was obtained and further converted to the total silicon content. The total silicon content of the leaves was measured using the mass method: the plant samples were digested with a HNO3-HClO4 mixture, and SiO2 was separated from the cooking solution. The silicon content of the leaves was calculated using the mass method after burning at 80 °C.
2.3. Data Analysis
Multivariate analysis of variance was used to analyze the differences among treatments using SPSS 25.0 software (IBM Crop., Armonk, NY, USA). Pairwise comparisons of the samples were performed using the LSD test. The significance level was set to 0.05. The figures were drawn using Origin 2019b software.
3. Results
3.1. Effect of Exogenous Silicon on the Soil Environment under Compound Irrigation
3.1.1. Soil Physical and Chemical Properties
The changes in soil moisture and EC under compound irrigation involving BW and RW combined with different numbers of silicon fertilizer spraying cycles are shown in Table 4. As shown in Table 4, with the extension of the spraying period of silicon fertilizer, the soil moisture decreased in the presence of BW alone, while it showed an upward trend in the presence of RW alone; additionally, it first decreased and then increased without obvious differences under compound irrigation with BW-RW at a 1:1 ratio. In addition, during the same period of silicon fertilizer application, the soil moisture significantly decreased with increasing recycled water proportion in the mixture.
Table 4.
Variations in soil water and salt content under compound irrigation and Si fertilizer.
With increasing duration of silicon fertilizer application, the soil EC decreased under pure BW and compound irrigation. Under the RWI, compared with that under the FR1 treatment, the EC significantly increased under FR2 and then significantly decreased under FR3. In addition, at the same spraying cycle of silicon fertilizer, the soil EC significantly decreased with increasing RW proportion in the mixture.
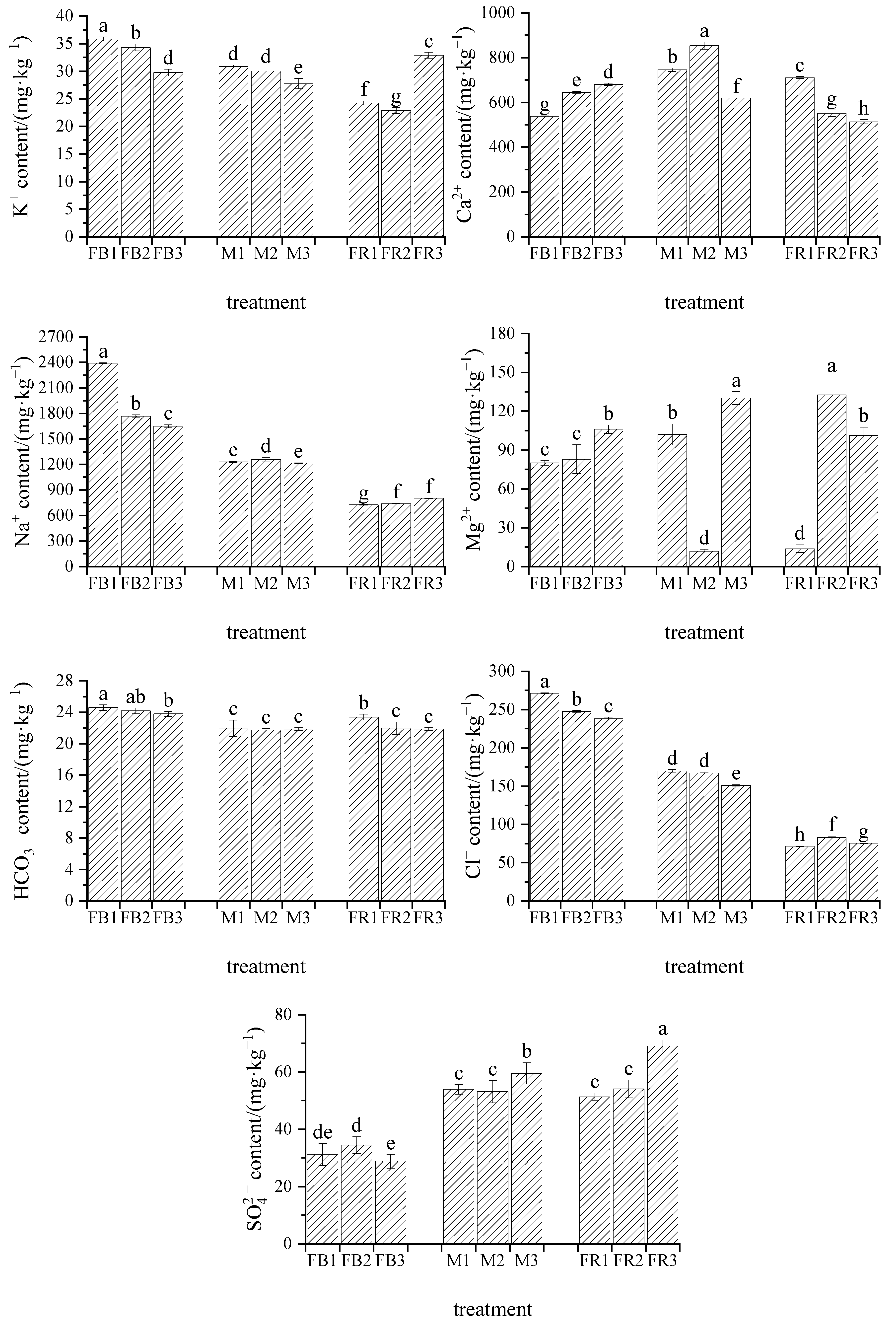
As shown in Figure 1, with increasing duration of silicon fertilizer application, the soil water-soluble K+ content decreased, and the soil water-soluble Mg2+ content reached its highest value after 4 days of spraying under pure BW irrigation and 1:1 compound irrigation. The soil water-soluble K+ content in the soil irrigated with RW first decreased and then increased, and the soil water-soluble Mg2+ concentration reached a maximum after 2 days of the spraying cycle.
Figure 1.
Variations in the soil water-soluble ion content under compound irrigation coupled with Si fertilizer. Note: Vertical bars are the SDs of the means. The different letters on the bars indicate significant differences between treatments at the 0.05 level. The same as below.
With the increase in the number of silicon fertilizer spraying cycles, the water-soluble Na+ and Cl− contents in the soil significantly decreased, the Ca2+ content gradually increased, and the water-soluble content of SO42− was the lowest after 4 days of spraying under pure BWIs. Under 1:1 compound irrigation using BW-RW, the lowest water-soluble Na+ and Cl− contents in the soil occurred at 4 days after the spraying period of silicon fertilizer, the lowest water-soluble SO42+ content occurred after 2 days of the spraying cycle, and the highest water-soluble Ca2+ content occurred after the M2 treatment (the spraying cycle of silicon fertilizer was 2 days). However, the Ca2+ content in the soil irrigated with RW significantly decreased with an increasing number of spraying cycles of silicon fertilizer, and the Na+, Cl− and SO42− contents were the lowest in the treatment without silicon fertilizer.
With the extension of the silicon fertilizer spraying period, the soil water-soluble HCO3− content gradually decreased under pure BWI and 1:1 compound irrigation. Under pure RWI, the water-soluble HCO3− content in the silicon fertilizer treatments significantly decreased compared to that in the no-silicon fertilizer treatment.
The changes in soil organic matter content (SOM) and WDPT under different treatments after harvest are shown in
Figure 2. There was no significant difference in the SOM content between the treatments with increasing silicon fertilizer spray duration under compound irrigation. The WDPT in soil irrigated with pure BW gradually decreased with increasing silicon fertilizer application duration, and the difference reached a significant level between the silicon fertilizer treatment and no-silicon fertilizer treatment. Under 1:1 compound irrigation, the difference in WDPT between treatments was not significant with the extension of the silicon fertilizer spraying cycle, but the WDPT in the silicon fertilizer treatment was slightly lower than that in the no-silicon fertilizer treatment. There was no significant difference in WDPT among the different silicon fertilizer treatments under pure RWI. In addition, the WDPT in all the treatments was less than 5 s, indicating no soil water repellency.
Figure 2.
Variations in SOM and WDPT under irrigation combined with Si fertilization. Note: Vertical bars are the SDs of the means. The different letters on the bars indicate significant differences between treatments at the 0.05 level. The same as below.
3.1.2. Risk of Secondary Soil Salinization
As shown in Figure 3, compared with that in the absence of silicon fertilizer, the soil pH in the silicon fertilizer treatments increased by 0.17–0.70%, but there was no risk of soil alkalization, as the pH under all the treatments ranged from 7.95 to 8.10 (less than 8.5). Compared with the no-silicon fertilizer treatment, the silicon fertilizer treatments promoted soil exchangeable K/Na under the different compound irrigation treatments. Therefore, silicon fertilizer had a positive effect on improving the soil exchangeable K/Na ratio.
Figure 3.
Variations in soil pH, K/Na ratio, ESP, and SAR under compound irrigation combined with Si fertilizer. (a) pH; (b) K/Na; (c) ESP; (d) SAR. Note: Different letters on the points indicate significant differences between treatments at the 0.05 level. The width of the colored shadings represents the standard deviation. The same as below.
Under pure BWI, silicon fertilizer significantly reduced the soil ESP and SAR, and the soil ESP and SAR gradually decreased with increasing periods of silicon fertilizer spraying. The ESP decreased from 22.43% to 15.72%, close to the threshold of soil salinization (15%). The SAR decreased from 8.03 (mmol·L−1)−0.5 to 4.91 (mmol·L−1)−0.5, which was much lower than the threshold (13 (mmol·L−1)−0.5). Under 1:1 compound irrigation, the soil ESP and SAR in the silicon fertilizer treatment were greater than those in the no-silicon fertilizer treatment, but the values were much lower than the threshold without risk of soil salinization. Overall, silicon fertilizer was conducive to reducing soil ESP and SAR under pure BWI and increasing soil ESP and SAR under 1:1 compound irrigation and pure RWI, but did not exceed the threshold of soil salinization.
3.2. Regulation of Crops by Exogenous Silicon under Irrigation
3.2.1. Crop Growth Characteristics
As shown in Figure 4, there was no significant difference in the AFW or ADW between the silicon fertilizer and no-silicon fertilizer treatments under the different compound irrigation treatments. Compared with that of the plants not treated with silicon fertilizer, the AFW of the plants after 4 days of spraying cycles of silicon fertilizer increased by 9.40~11.83%. Therefore, the proper application of silicon fertilizer had a certain effect on yield.
Figure 4.
Variations in pakchoi biomass under irrigation combined with Si fertilizer. Note: Vertical bars are the SDs of the means. The different letters on the bars indicate significant differences between treatments at the 0.05 level. The same as below.
Under the different compound irrigation treatments, silicon fertilizer had no significant impact on the UDW, but the UDW in the silicon fertilizer treatment was greatest after 4 days of the spraying period. Silicon fertilizer significantly improved the UFW, except in the M2 treatment, which was slightly lower than that in the M1 treatment. Therefore, the proper application of silicon fertilizer improved the underground biomass of crops.
3.2.2. Physiological and Biochemical Characteristics of Crops
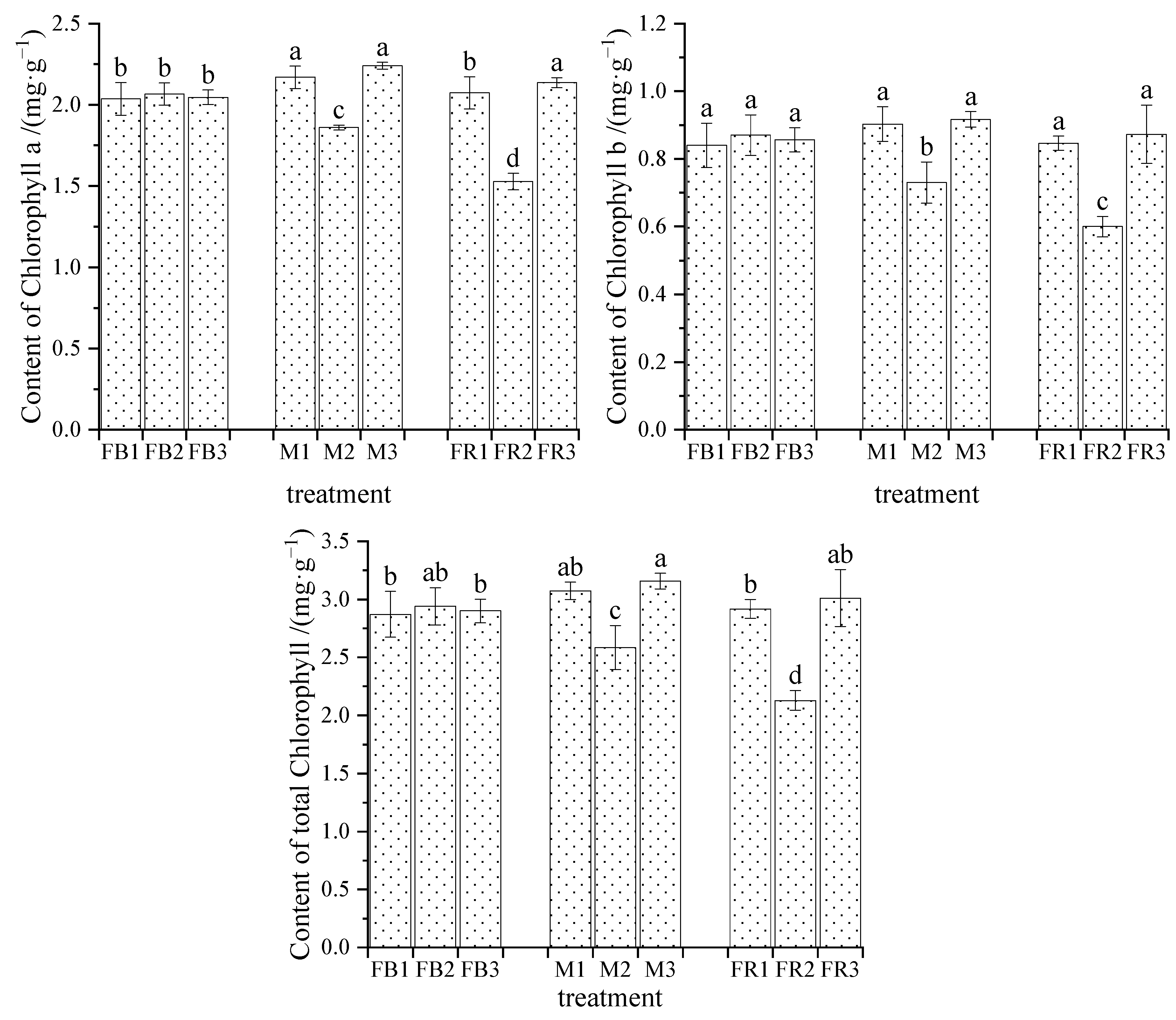
As shown in Figure 5, under pure BWI, the chlorophyll a, chlorophyll b, and total chlorophyll contents in the silicon fertilizer treatment group were greater than those in the no-silicon fertilizer treatment group, but the difference was not significant. Under compound irrigation and pure RWI, compared with those under the no-silicon fertilizer treatment, the silicon fertilizer treatment increased the chlorophyll a, chlorophyll b, and total chlorophyll contents during the spraying period of 4 days, and the chlorophyll a, chlorophyll b, and total chlorophyll contents in FR3 were significantly greater than those in FR1; however, the chlorophyll a, chlorophyll b, and total chlorophyll contents significantly decreased in the silicon fertilizer treatment after 2 days of the spraying period. Therefore, 4 days of spraying of silicon fertilizer had a greater effect on improving the leaf chlorophyll content.
Figure 5.
Variations in the chlorophyll content of pakchoi plants under compound irrigation coupled with Si fertilization. Note: Vertical bars are the SDs of the means. The different letters on the bars indicate significant differences between treatments at the 0.05 level. The same as below.
The changes in the antioxidant enzyme activities (SOD, POD, and CAT) of the leaves in all treatment groups are shown in Table 5. Under pure BWI, the activity of CAT decreased significantly, while the activities of SOD and POD increased with increasing silicon fertilizer duration; moreover, SOD activity significantly increased in the FB3 treatment compared to that in the FB1 treatment. Under 1:1 compound irrigation and pure RWI, the activities of CAT, SOD, and POD in the silicon fertilizer treatments were greater than those in the no-silicon fertilizer treatments, the activities of CAT and POD in the FR2 treatment were significantly greater than those in the FR1 treatment, the activity of SOD in the FR3 treatment was significantly greater than that in the FR1 treatment, and the activity of SOD in the M2 treatment was significantly greater than that in the M1 treatment. Therefore, the proper application of silicon fertilizer can improve the overall enzyme activity of leaves.
Table 5.
Variation in enzyme activities in leaves under compound irrigation and Si fertilizer.
As shown in Figure 6, under pure BWI and pure RWI, the MDA content in the silicon fertilizer treatment was significantly greater than that in the no-silicon fertilizer treatment. Under 1:1 compound irrigation, compared with that in the no-silicon fertilizer treatment, the MDA content increased in the M3 treatment compared to the M2 treatment.
Figure 6.
Variation in the MDA and soluble protein contents of leaves under compound irrigation combined with Si fertilization. Note: Vertical bars are the SDs of the means. The different letters on the bars indicate significant differences between treatments at the 0.05 level. The same as below.
Compared with that in the no-silicon fertilizer treatment, the soluble protein content of the leaves in the silicon fertilizer treatment group was greater after 4 days, and silicon fertilizer application significantly increased the soluble protein content under pure RWI.
3.3. Distribution of Silicon in Crop–Soil Systems under Irrigation with Si Fertilizer
The variations in the total silicon content in the soil and crops under compound irrigation are shown in Figure 7. Compared with that in the no-silicon fertilizer treatment, the soil total silicon content in the silicon fertilizer treatment decreased under pure BWI and pure RWI but increased under 1:1 compound irrigation, but the difference was not significant. Therefore, silicon fertilizer had no significant effect on the total silicon content in the soil.
Figure 7.
Variation in the Si contents of the soil and leaves under compound irrigation. (a) Si content of the soil; (b) Si content of the leaf.
After the plants were sprayed with silicon fertilizer, the total silicon content in the leaves was significantly greater than that in the leaves without silicon fertilizer under pure BWI. Compared with that in the no-silicon fertilizer treatment, the total silicon content of the leaves in the M3 treatment evidently increased under 1:1 compound irrigation, while the total silicon content of the leaves in FR2 significantly improved under pure RWI. Overall, the proper foliar spraying of silicon fertilizer played a certain role in increasing the total silicon content of the plants.
4. Discussion
4.1. Effect of Silicon Fertilizer on Secondary Soil Salinization under BW-RW Compound Irrigation
As a kind of green and sustainable fertilizer, silicon fertilizer is highly important for improving the soil environment. Silicon fertilizer can regulate the physical and chemical properties of soil. Previous studies have shown that spraying silicon fertilizer increases the salt content in rhizosphere soil in Gramineae plants and vegetable fields [31,32]. However, overall, in our study, silicon fertilizer reduced the soil salt content under pure BWI, pure RWI, and compound irrigation. This difference may be caused by the difference between rhizosphere soil and non-rhizosphere soil, and the salinity of non-rhizosphere soil was determined in our study. For example, spraying silicon fertilizer could reduce the salt content in non-rhizosphere soil [33]. Silicon fertilizer is an alkaline fertilizer, and its application can improve the pH of soil. In our experiments, compared with no silicon fertilizer, the spraying of silicon fertilizer increased the soil pH under different compound irrigation regimes, which was consistent with the results of existing research [34,35]. According to 30 consecutive years of experiments, saline water irrigation significantly reduced the soil pH [36]. The pH in soil irrigated with reclaimed water obviously improved [37]. In our experiment, the soil pH under pure BWI was 7.95~7.99, which was lower than the pH (8.06~8.10) under RWI, and the absolute difference was approximately 0.1 units. The results agree well with our prior conclusion [29]. In [29], the pH in soil irrigated with reclaimed water was the highest, followed by that in soil irrigated with brackish water, and the pH in soil irrigated with freshwater was the lowest. However, further research is needed on the main influencing factors and mechanisms of pH in soils irrigated by different water sources.
Previous studies have shown that the application of silicon fertilizer can reduce the SAR in soil under salt stress [33]. Our results showed that spraying silicon fertilizer could alleviate secondary soil salinization under pure BWI; for example, the soil ESP and SAR were significantly lower than those without silicon fertilizer and gradually decreased with increasing spraying period; however, the soil ESP and SAR in the silicon fertilizer treatments were greater than those without silicon fertilizer under 1:1 compound irrigation. Therefore, it is speculated that silicon fertilizer has an obvious regulatory effect on BW with a high sodium ion concentration, but the sodium ions contained in silicon fertilizer itself may reduce its regulatory effect on irrigation water with a low sodium ion concentration, which needs to be verified by a large number of experiments.
4.2. Effect of Silicon on Crop Growth Indices and the Antioxidant System of Leaves under BW-RW Compound Irrigation
Salinity threatens agricultural production, especially in semiarid areas. It is important to study the substances that can reduce salt stress in plants, especially those that assess growth, physiology, and yield. The application of exogenous silicon could reduce the negative effects of drought and salt stress on the total yield and quality of maize [38]. Previous results showed that the application of silicon fertilizer promoted the adaptation of onion to salt stress and increased yield [39]. Spraying silicon fertilizer could reduce the damage to safflower plants caused by salt stress and increase biomass yield [40]. The results of our experiments showed that the AFW was the highest when silicon fertilizer was sprayed every 4 days under various compound irrigation regimes, indicating that the proper application of silicon fertilizer had a certain positive effect on the biomass of crops.
Improving silicon nutrition can enhance the resistance of plants to various biotic and abiotic stresses [41,42]. The most important mechanism by which silicon plays a beneficial role is to stimulate the antioxidant system of stressed plants. Enhancing silicon nutrition in plants can increase the activity of antioxidant enzymes [43] and mitigate the membrane damage resulting from decreased H2O2 levels in stressed plants [44]. Previous studies have shown that silicon reduces the absorption of sodium ions and increases the ability of SOD, POD, and CAT to remove H2O2 from chloroplasts [45]. The application of silicon fertilizer changed the morphology of plants, increased nutrient content and enzyme activity in rhizosphere soil, and increased the activities of several important antioxidant enzymes (such as SOD) and small molecules (such as proline) [13]. The salt (100 mM NaCl) and silicon (150 mg·L−1) treatments increased the activities of SOD, POD, CAT, GR, and APX [46]. Our experimental results also revealed that the activities of CAT, SOD, and POD in the treatment in which silicon fertilizer was sprayed were greater than those in the treatment without silicon fertilizer under pure BWI, pure RWI, and 1:1 compound irrigation, while spraying silicon fertilizer decreased the activity of CAT under pure BWI. This may be because the coupling action of BWI and silicon fertilizer resulted in a rapid increase in soil salinity, which caused an increase in H2O2 content in leaves and a decrease in catalase activity.
Previous results showed that the application of silicon fertilizer increased the water status and photosynthesis of tomato plants and decreased H2O2 and MDA levels, ion leakage, and lipid peroxidation [47]. Silicon fertilizer enhances the gas exchange properties and chlorophyll content of leaves while reducing oxidative damage and decreasing H2O2 and MDA contents [11]. Similar results were found in our experiments; that is, the MDA content in the silicon fertilizer treatment was greater than that in the no-silicon fertilizer treatment under pure BWI and pure RWI, while the MDA content was lower after spraying silicon fertilizer every 2 days than that in the no-silicon fertilizer treatment under 1:1 compound irrigation.
5. Conclusions
With the extension of the spraying period of silicon fertilizer, the soil EC showed a downward trend, the contents of Na+ and Cl− significantly decreased under pure BWI, and they reached their lowest values in M3 (the spraying period of silicon fertilizer was 4 days) under 1:1 compound irrigation.
Under compound irrigation, the pH values in all treatments were less than 8.5 without the risk of alkaline soil. Spraying silicon fertilizer had a positive effect on increasing the soil exchangeable K/Na ratio. In general, spraying silicon fertilizer had a significant effect on reducing the ESP and SAR in soils irrigated with pure BWI and compound irrigation without exceeding the threshold of soil salinization.
Silicon fertilizer obviously improved the UDW, while there was no significant difference in the AFW, ADW, or UDW between the silicon fertilizer spraying treatment and the no-silicon fertilizer spraying treatment. The AFW peaked after spraying silicon fertilizer every 4 days. The proper application of silicon fertilizer had a certain positive effect on crop biomass, and spraying silicon fertilizer every 4 days was recommended.
The foliar spraying of silicon fertilizer had no significant effect on the soil total silicon content, and the proper foliar spraying of silicon fertilizer improved the total silicon content in the plants. Compared with that of plants not sprayed with silicon fertilizer, the total silicon content of leaves in the silicon fertilizer treatment was significantly greater under pure BWI. Spraying silicon fertilizer every 4 days significantly improved the total silicon content in leaves under 1:1 compound irrigation, while spraying silicon fertilizer every 2 days significantly improved the total silicon content in leaves under pure RWI.
Author Contributions
C.L.: Conceptualization (lead); project administration (supporting); supervision (equal); writing (lead); funding acquisition (equal). B.C.: Conceptualization (lead); supervision (equal); writing—review and editing (equal). P.H.: Data curation (equal); investigation (lead). C.H.: Data curation (equal); supervision (lead). J.Z.: Conceptualization (equal); methodology (supporting). Z.L.: Conceptualization (lead); methodology (equal); funding acquisition (equal). J.W.: Conceptualization (equal); funding acquisition (equal); methodology (equal). All authors have read and agreed to the published version of the manuscript.
Funding
This research was funded by the Scientific and Technological Project of Henan Province (232102110014; 202102110264), the Central Public-interest Scientific Institution Basal Research Fund (IFI2023-25), the Natural Science Foundation of Henan Province of China (202300410552), the Key Laboratory Program of the Shangqiu Station of National Field Agro-ecosystem (Grant No. SQZ-2023-01), and the Agricultural Science and Technology Innovation Program (ASTIP) of the Chinese Academy of Agricultural Sciences.
Data Availability Statement
The raw data supporting the conclusions of this article will be made available by the authors on request.
Conflicts of Interest
The authors declare no conflicts of interest.
References
- Zhou, S.; Gao, Y.; Zhang, J.; Pang, J.; Hamani, A.K.M.; Xu, C.; Dang, H.; Cao, C.; Wang, G.; Sun, J. Impacts of Saline Water Irrigation on Soil Respiration from Cotton Fields in the North China Plain. Agronomy 2023, 13, 1197. [Google Scholar] [CrossRef]
- Tahtouh, J.; Mohtar, R.; Assi, A.; Schwab, P.; Jantrania, A.; Deng, Y.; Munster, C. Impact of brackish groundwater and treated wastewater on soil chemical and mineralogical properties. Sci. Total Environ. 2019, 647, 99–109. [Google Scholar] [CrossRef]
- Feng, D.; Zhang, J.P.; Sun, C.T.; Liu, X.F.; Dang, H.K.; Cao, C.Y.; Zheng, C.L.; Sun, J.S.; Li, K.J.; Ma, J.Y. Effects of Long-term Irrigation with Saline Water on Soil Physical-chemical Properties and Activities of Soil Enzyme. J. Soil Water Conserv. 2014, 28, 171–176. [Google Scholar] [CrossRef]
- Guo, L.; Zheng, C.L.; Cao, C.Y.; Dang, H.K.; Li, K.J.; Ma, J.Y. Effect of Long-term Saline Water Irrigation on Photosynthetic Characteristics of Winter Wheat and Soil Salt Content. Trans. Chin. Soc. Agric. Mach. 2017, 48, 183–190. [Google Scholar]
- Chandel, S.; Datta, A.; Yadav, R.K.; Dheri, G.S. Does Saline Water Irrigation Influence Soil Carbon Pools and Nutrient Distribution in Soil under Seed Spices? J. Soil Sci. Plant Nutr. 2021, 21, 946–966. [Google Scholar] [CrossRef]
- Wasaya, A.; Hassan, J.; Yasir, T.A.; Ateeq, M.; Raza, M.A. Foliar Application of Silicon Improved Physiological Indicators, Yield Attributes, and Yield of Pearl Millet (Pennisetum glaucum L.) Under Terminal Drought Stress. J. Soil Sci. Plant Nutr. 2022, 22, 4458–4472. [Google Scholar] [CrossRef]
- Cataldo, E.; Fucile, M.; Mattii, G.B. Biostimulants in Viticulture: A Sustainable Approach against Biotic and Abiotic Stresses. Plants 2022, 11, 162. [Google Scholar] [CrossRef]
- Kumari, P.; Sharma, R.; Panwar, S.; Paul, S.; Banyal, N. Silicon as vital element in flower crop production. J. Plant Nutr. 2023, 46, 2747–2762. [Google Scholar] [CrossRef]
- Ashfaque, F.; Inam, A.; Inam, A.; Iqbal, S.; Sahay, S. Response of silicon on metal accumulation, photosynthetic inhibition and oxidative stress in chromium-induced mustard (Brassica juncea L.). S. Afr. J. Bot. 2017, 111, 153–160. [Google Scholar] [CrossRef]
- Xie, Z.M.; Song, F.B.; Xu, H.W.; Shao, H.B.; Song, R. Effects of Silicon on Photosynthetic Characteristics of Maize (Zea mays L.) on Alluvial Soil. Sci. World J. 2014, 2014, e718716. [Google Scholar] [CrossRef]
- Huang, H.L.; Rizwan, M.; Li, M.; Song, F.R.; Zhou, S.J.; He, X.; Ding, R.; Dai, Z.H.; Yuan, Y.; Cao, M.H.; et al. Comparative efficacy of organic and inorganic silicon fertilizers on antioxidant response, Cd/Pb accumulation and health risk assessment in wheat (Triticum aestivum L.). Environ. Pollut. 2019, 255 Pt 1, 113146. [Google Scholar] [CrossRef]
- Khan, W.-u.-D.; Sharif, F.; Naeem, M.A.; Farooq, M.A.; Siddiq, Z.; Imran, M. Chitosan Polymerized Silica Composite as a Potential Silicon Source: Modulation on Antioxidant Enzymes, Ionic Homeostasis, and Grain Quality in Maize Plants Under Na+ Stress. J. Plant Growth Regul. 2023, 42, 2374–2388. [Google Scholar] [CrossRef]
- Xu, F.F.; Liang, Y.G.; Wang, X.B.; Guo, Y.Z.; Tang, K.; Feng, F.Y. Synergic mitigation of saline-alkaline stress in wheat plant by silicon and Enterobacter sp. FN0603. Front. Microbiol. 2023, 13, 1100232. [Google Scholar] [CrossRef]
- Maria, I.M.; Miriam, B.; Bikash, B.; Mario, G. Silicon and Nitrate Differentially Modulate the Symbiotic Performances of Healthy and Virus-Infected Bradyrhizobium-nodulated Cowpea (Vigna unguiculata), Yardlong Bean (V. unguiculata subsp. sesquipedalis) and Mung Bean (V. radiata). Plants 2017, 6, 40. [Google Scholar] [CrossRef]
- Villegas, J.M.; Way, M.O.; Pearson, R.A.; Stout, M.J. Integrating Soil Silicon Amendment into Management Programs for Insect Pests of Drill-Seeded Rice. Plants 2017, 6, 33. [Google Scholar] [CrossRef]
- Struyf, E.; Conley, D.J. Silica: An essential nutrient in wetland biogeochemistry. Front. Ecol. Environ. 2009, 7, 88–94. [Google Scholar] [CrossRef]
- De Jesus, L.R.; Batista, B.L.; da Silva Lobato, A.K. Silicon reduces aluminum accumulation and mitigates toxic effects in cowpea plants. Acta Physiol. Plant. 2017, 39, e138. [Google Scholar] [CrossRef]
- Islam, A.T.M.T.; Ullah, H.; Himanshu, S.K.; Tisarum, R.; Cha-um, S.; Datta, A. The Interactive Effects of Silicon and Arbuscular Mycorrhizal Fungi on Growth, Physio-biochemical Traits, and Cob Yield of Baby Corn Plants under Salt Stress. Silicon 2023, 15, 4457–4471. [Google Scholar] [CrossRef]
- Rachmawati, D.; Ramadhani, A.N.; Fatikhasari, Z. The effect of silicate fertilizer on the root development of rice and its tolerance to salinity stress. IOP Conf. Ser. Earth Environ. Sci. 2021, 724, 012004. [Google Scholar] [CrossRef]
- Kaaria, K.; Gweyi-Onyango, J.; Muui, C. Silicon amendment—Influence on sorghum growth, yield, and nutrient uptake under water stress. J. Plant Nutr. 2023, 46, 4357–4376. [Google Scholar] [CrossRef]
- Karvar, M.; Azari, A.; Rahimi, A.; Maddah-Hosseini, S.; Ahmadi-Lahijani, M.J. Potassium silicate reduces water consumption, improves drought tolerance, and enhances the productivity of sweet corn (Zea mays) under deficit irrigation. Acta Physiol. Plant. 2023, 45, 38. [Google Scholar] [CrossRef]
- Saudy, H.S.; Salem, E.M.M.; Abd El-Momen, W.R. Effect of Potassium Silicate and Irrigation on Grain Nutrient Uptake and Water Use Efficiency of Wheat Under Calcareous Soils. Gesunde Pflanz. 2023, 75, 647–654. [Google Scholar] [CrossRef]
- Parr, J.F.; Sullivan, L.A. Phytolith occluded carbon and silica variability in wheat cultivars. Plant Soil 2011, 342, 165–171. [Google Scholar] [CrossRef]
- Song, Z.L.; Wang, H.L.; Strong, P.J.; Guo, F.S. Phytolith carbon sequestration in China’s croplands. Eur. J. Agron. 2014, 53, 10–15. [Google Scholar] [CrossRef]
- Nasiri, S.; Hajinezhad, A.; Kianmehr, M.H.; Tajik, S. Enhancing municipal solid waste efficiency through Refuse Derived Fuel pellets: Additive analysis, die retention time, and temperature impact. Energy Rep. 2023, 10, 941–957. [Google Scholar] [CrossRef]
- Rizwan, M.; Meunier, J.D.; Davidian, J.C.; Pokrovsky, O.S.; Bovet, N.; Keller, C. Silicon alleviates Cd stress of wheat seedlings (Triticum turgidum L. cv. Claudio) grown in hydroponics. Environ. Sci. Pollut. Res. Int. 2016, 23, 1414–1427. [Google Scholar] [CrossRef]
- GB 5084—2021; Standard for Irrigation Water Quality. Ministry of Ecology and Environment of the People’s Republic of China. State Administration for Market Regulation: Beijing, China, 2021.
- Zhang, J.P.; Li, K.J.; Zheng, C.L.; Cao, C.Y.; Sun, C.T.; Dang, H.K.; Feng, D.; Sun, J.S. Cotton Responses to Saline Water Irrigation in the Low Plain around the Bohai Sea in China. J. Irrig. Drain. Eng. 2018, 144, 04018027. [Google Scholar] [CrossRef]
- Liu, C.C.; Wang, J.; Huang, P.F.; Hu, C.; Gao, F.; Liu, Y.; Li, Z.Y.; Cui, B.J. Response of Soil Microenvironment and Crop Growth to Cyclic Irrigation Using Reclaimed Water and Brackish Water. Plants 2023, 12, 2285. [Google Scholar] [CrossRef]
- Liu, C.C.; Cui, B.J.; Hu, C.; Wu, H.Q.; Gao, F. Effects of mixed irrigation using brackish water with different salinities and reclaimed water on a soil-crop system. Water Reuse 2021, 11, 632–648. [Google Scholar] [CrossRef]
- Xu, N.; Zhang, F.Y.; Cao, N.; Wang, C.; Liu, G.J.; Liu, M.; Sun, X.H. The effect of silicon foliar fertilizer on the rhizosphere soil microecology in the wheat–maize system. J. Anhui Agric. Univ. 2018, 45, 363–366. [Google Scholar]
- Shen, Y.H.; Zhou, X.G.; Wu, F.Z. Effects of Different Silicon Fertilization Patterns on Soil Chemical Property and Soil Enzyme activity. China Veg. 2015, 34–39. [Google Scholar]
- Rizwan, A.; Zia-ur-Rehman, M.; Rizwan, M.; Usman, M.; Anayatullah, S.; Areej; Alharby, H.F.; Bamagoos, A.A.; Alharbi, B.M.; Ali, S. Effects of silicon nanoparticles and conventional Si amendments on growth and nutrient accumulation by maize (Zea mays L.) grown in saline-sodic soil. Environ. Res. 2023, 227, 115740. [Google Scholar] [CrossRef]
- Zhao, K.Q.; Yang, Y.; Peng, H.; Zhang, L.H.; Zhou, Y.Y.; Zhang, J.C.; Du, C.Y.; Liu, J.W.; Lin, X.; Wang, N.Y.; et al. Silicon fertilizers, humic acid and their impact on physicochemical properties, availability and distribution of heavy metals in soil and soil aggregates. Sci. Total Environ. 2022, 822, 153483. [Google Scholar] [CrossRef]
- Guo, J.X.; Wu, P.; Li, Q.M.; Wang, X.Y.; Zhang, S.L.; Liu, B.L. Effects of quicklime and silicon fertilizer on growth and development, and Cadmium reduction in cultivated soil and plants of Ligusticum chuanxiong. Guizhou Agric. Sci. 2019, 47, 20–23. [Google Scholar]
- Dhouha, L.; Rajouene, M.; Habib, R.H. 30 years saline water irrigation effects on soil characteristics. Int. J. Eng. Tech. Res. 2014, 2, 5–13. [Google Scholar]
- Mpanga, I.K.; Sserunkuma, H.; Tronstad, R.; Pierce, M.; Brown, J.K. Soil Health Assessment of Three Semi-Arid Soil Textures in an Arizona Vineyard Irrigated with Reclaimed Municipal Water. Water 2022, 14, 2922. [Google Scholar] [CrossRef]
- Paula, L.d.S.; Silva, B.d.C.; Pinho, W.C.S.d.; Barbosa, M.A.M.; Guedes-Lobato, E.M.S.; Segura, F.R.; Batista, B.L.; Barbosa Junior, F.; Lobato, A.K.d.S. Silicon (Si) ameliorates the gas exchange and reduces negative impacts on photosynthetic pigments in maize plants under zinc (Zn) toxicity. Aust. J. Crop Sci. 2015, 9, 901–908. [Google Scholar]
- Venancio, J.B.; Dias, N.d.S.; de Medeiros, J.F.; de Morais, P.L.D.; do Nascimento, C.W.A.; de Sousa Neto, O.N.; Sa, F.V.d.S. Yield and Morphophysiology of Onion Grown under Salinity and Fertilization with Silicon. Sci Hortic. 2022, 301, 111095. [Google Scholar] [CrossRef]
- Jam, B.J.; Shekari, F.; Andalibi, B.; Fotovat, R.; Jafarian, V.; Najafi, J.; Uberti, D.; Mastinu, A. Impact of Silicon Foliar Application on the Growth and Physiological Traits of Carthamus tinctorius L. Exposed to Salt Stress. Silicon 2023, 15, 1235–1245. [Google Scholar] [CrossRef]
- Luyckx, M.; Hausman, J.-F.; Lutts, S.; Guerriero, G. Silicon and Plants: Current Knowledge and Technological Perspectives. Front. Plant Sci. 2016, 8, 411. [Google Scholar] [CrossRef]
- Dresler, S.; Wojcik, M.; Bednarek, W.; Hanaka, A.; Tukiendorf, A. The effect of silicon on maize growth under cadmium stress. Russ. J. Plant Physiol. 2015, 62, 86–92. [Google Scholar] [CrossRef]
- Balakhnina, T.I.; Bulak, P.; Matichenkov, V.V.; Kosobryukhov, A.A.; Wlodarczyk, T.M. The influence of Si-rich mineral zeolite on the growth processes and adaptive potential of barley plants under cadmium stress. Plant Growth Regul. 2015, 75, 557–565. [Google Scholar] [CrossRef]
- Choi, S.S.; Lee, J.H.; Kong, H.; Park, E.J. Biofilm removal effect of diatom complex on 3D printed denture base resin. Sci. Rep. 2024, 14, 4034. [Google Scholar] [CrossRef]
- Ahmad, P.; Ahanger, M.A.; Alam, P.; Alyemeni, M.N.; Wijaya, L.; Ali, S.; Ashraf, M. Silicon (Si) Supplementation Alleviates NaCl Toxicity in Mung Bean [Vigna radiata (L.) Wilczek] Through the Modifications of Physio-biochemical Attributes and Key Antioxidant Enzymes. J. Plant Growth Regul. 2019, 38, 70–82. [Google Scholar] [CrossRef]
- Shahzad, S.; Ali, S.; Ahmad, R.; Ercisli, S.; Anjum, M.A. Foliar Application of Silicon Enhances Growth, Flower Yield, Quality and Postharvest Life of Tuberose (Polianthes tuberosa L.) under Saline Conditions by Improving Antioxidant Defense Mechanism. Silicon 2021, 14, 1511–1518. [Google Scholar] [CrossRef]
- Zhang, Y.; Liang, Y.; Zhao, X.; Jin, X.; Hou, L.P.; Shi, Y.; Ahammed, G.J. Silicon Compensates Phosphorus Deficit-Induced Growth Inhibition by Improving Photosynthetic Capacity, Antioxidant Potential, and Nutrient Homeostasis in Tomato. Agronomy 2019, 9, 733. [Google Scholar] [CrossRef]
Disclaimer/Publisher’s Note: The statements, opinions and data contained in all publications are solely those of the individual author(s) and contributor(s) and not of MDPI and/or the editor(s). MDPI and/or the editor(s) disclaim responsibility for any injury to people or property resulting from any ideas, methods, instructions or products referred to in the content. |
© 2024 by the authors. Licensee MDPI, Basel, Switzerland. This article is an open access article distributed under the terms and conditions of the Creative Commons Attribution (CC BY) license (https://creativecommons.org/licenses/by/4.0/).






