Abstract
A greenhouse study was conducted to assess the relative salt tolerance of 11 cultivars of hydrangea: Hydrangea macrophylla ‘Ayesha’, ‘Emotion’, ‘Mathilda Gutges’, ‘Merritt’s Supreme’ and ‘Passion’; H. paniculata ‘Interhydia’ and ‘Bulk’; H. quercifolia ‘Snowflake’; H. serrata ‘Preciosa’; and H. serrata × macrophylla ‘Sabrina’ and ‘Selina’. Plants were treated with a nutrient solution at an electrical conductivity (EC) of 1.0 dS·m−1, and nutrient solution-based saline solutions at an EC of 5.0 dS·m−1 (EC 5) or 10 dS·m−1 (EC 10). The study was repeated in time (Experiments 1 and 2). In both experiments, by the fourth week after treatment, ‘Bulk’ plants in EC 10 exhibited severe salt damage with most of them dead. ‘Interhydia’ was also sensitive, showing severe salt damage in EC 10 with a high mortality rate by the end of the experiment. The leaf area and total shoot dry weight (DW) of all cultivars in EC 5 and EC 10 treatments were significantly reduced compared to the control. Leaf sodium (Na+) and chloride (Cl−) concentrations were negatively correlated with visual quality, leaf area and shoot DW. The salt-sensitive cultivars ‘Bulk’, ‘Interhydia’ and ‘Snowflake’ had inherently low leaf Na+ and Cl− concentrations in both control and salt-treated plants compared to other cultivars. Salt tolerance varied among species and cultivars within H. macrophylla. Among the 11 cultivars, H. macrophylla ‘Ayesha’ and two hybrids, ‘Sabrina’ and ‘Selina’, were relatively salt-tolerant. H. macrophylla ‘Merritt’s Supreme’ and ‘Mathilda’ were moderately tolerant. H. paniculata ‘Bulk’ was the most sensitive, followed by H. paniculata ‘Interhydia’, and then by H. serrata ‘Preciosa’ and H. macrophylla ‘Passion’, as evidenced by high mortality and severe salt damage symptoms. H. quercifolia ‘Snowflake’ and H. macrophylla ‘Emotion’ were moderately salt-sensitive.
1. Introduction
The availability of high-quality water for agriculture and landscape irrigation has decreased due to several reasons, including drought, increasing population, climate change and depletion of aquifers. The intense competition for high-quality water among agriculture, industry and other users is promoting the use of alternative water sources for irrigating crops such as nursery crops and landscapes [1,2,3,4], specialty medicinal plants [5], and food crops such as vegetables [6]. Alternative waters are nontraditional waters, including treated municipal reclaimed (recycled) water, runoff from greenhouse and nursery operations, agricultural drainage water, and naturally-occurring saline groundwater. The primary challenges of using water from these alternative sources are the high salt levels and undesirable specific ions, particularly sodium (Na+) and chloride (Cl−), which are ubiquitous in both soil and water and may be harmful to plant growth at elevated levels. Soil salinization tends to be common in arid and semi-arid regions where the leaching of salts through the soil profile is poor due to low rainfall. Furthermore, the use of alternative water sources with high salinity exacerbates soil salinization.
Hydrangea, native to Asia and the Americas, is one of the most popular and widely grown and marketed plants in the nursery and floriculture industry, owing to its beautiful flowers that come in a variety of shapes, colors and sizes. There are numerous species of deciduous and evergreen hydrangea shrubs, small trees and climbers, which include approximately 1000 cultivars and hybrids [7]. Many new selections are introduced annually worldwide due to its increasing popularity.
A lot of research has been focused on hydrangea breeding [8,9] and production [10,11]; however, limited information is available on the salt tolerance of hydrangea, particularly among different species and cultivars. Wu and Dodge [12] reported that H. macrophylla (no cultivar was indicated) was tolerant to salt spray between 200 mg L−1 sodium and 400 mg L−1 chloride, and moderately tolerant to soil salinity at an electrical conductivity (EC) of 2 to 4 dS·m−1. Miralles et al. [2] investigated the responses of H. macrophylla ‘Leuchtfeuer’ (pink flower) irrigated with saline reclaimed water at an EC of 5.65 dS·m−1 or with fresh water at an EC of 0.87 dS·m−1. Their findings indicated that the elevated salts in saline reclaimed water severely decreased the size of all the aerial organs, including leaf, inflorescence and flower tissues, reduced the dry weight of the aerial parts by 70%, delayed flowering, and produced a darker pink floral color compared to the plants irrigated with fresh water. Liu et al. [13] evaluated the morphological and physiological responses of 10 woody ornamental taxa, including two H. macrophylla cultivars ‘Smnhmsigma’ and ‘Smhmtau’, to saline water irrigation at an EC of 5 or 10 dS·m−1 for 8 weeks. The two cultivars of H. macrophylla were among the most salt-tolerant taxa with minor foliar damage; however, they had the highest leaf sodium and chloride concentrations, indicating that H. macrophylla plants adapted to elevated salinity by tolerating high ion concentrations in the tissue.
Hydrangeas are popular landscape plants in coastal areas. In order to aid in the selection for seaside planting, Conolly et al. [14] conducted a study to quantify the responses of five hydrangea species to foliar salt spray with full (ion concentration approximate to seawater at 35 parts per thousand) or half-strength sodium chloride solution, in seven once-weekly applications. Based on percentage necrotic leaf area, they concluded that H. macrophylla and H. serrata were more tolerant to foliar salt spray than H. paniculata, H. anomala and H. arborescens, and could be planted where maritime salt spray occurs.
Considering the above studies, there is evidence that some cultivars of hydrangea may be salt-tolerant, and that the tolerance may be species-specific. It is known that the salt tolerance of crops varies among species, and even cultivars within a species, and has been observed in many ornamentals such as aster [15] and roses [16]. Therefore, the purpose of this study was to evaluate the relative salt tolerance of 11 popular commercial hydrangea cultivars based on their responses to elevated salinity levels in their growth, visual quality and leaf mineral contents, particularly the uptake of sodium and chloride in leaves.
2. Materials and Methods
2.1. Plant Materials
Softwood cuttings of 11 hydrangea cultivars (Table 1) were received on 31 May 2017 from the Oregon Hydrangea Company (Brookings, OR, USA). Cuttings were treated with 1000 mg L−1 indole-3-butyric acid (IBA) (1.0% IBA, 0.5% 1-napthaleneacetic acid, 98.5% inert ingredients (Dip‘N Grow® liquid rooting concentrate; Dip‘N Grow®, Clackamas, OR, USA)) following a quick-dip technique. They were planted in 9 cm pots containing a mixture of perlite and Metro-Mix® 360 RX (SunGro, Bellevue, WA, USA) at a volumetric ratio of 1:1. Cuttings were misted on a bench for 15 s every 30 min using an automated controller (Trident T3A—1 Zone; Phytotronics, Earth City, MO, USA). On 20 July, rooted cuttings were transplanted into 3.8 L pots containing a commercial growing substrate (Metro Mix® 360; SunGro, Bellevue, WA, USA). Until the start of the experiments, plants were irrigated with a water-soluble fertilizer solution (Peter’s 15-5-15 Ca-Mg Special; Scotts, Marysville, OH, USA) at a nitrogen concentration of 150 ppm (16 mM), an electrical conductivity (EC) of 1.0 dS·m−1, and a pH of 6.0. For insect control, all plants were top-dressed with 1% Marathon. During the experiments, in order to control powdery mildew, plants were alternately treated with triple action neem oil (Southern Agricultural Insecticides, Inc., Palmetto, FL, USA) at a rate of 1 mL per 130 mL and with soapy water, which was made by adding one teaspoon of olive oil and one tablespoon of liquid detergent to one gallon water. On 1 September 2017, uniform plants were selected, and treatment solutions were applied. On 23 October 2017, plants were harvested (Experiment 1). For Experiment 2, plants were transplanted on 15 September and harvested on 6 November 2017.
Table 1.
A list of hydrangea cultivars irrigated with a nutrient solution or saline solution (EC = 5.0 dS·m−1 (EC 5) or 10.0 dS·m−1 (EC 10)) in two greenhouse experiments to determine relative salt tolerance.
2.2. Treatments
For both experiments, a total of three treatments (two saline solutions and a control solution) were used. All treatment solutions were prepared in 100 L tanks with reverse osmosis (RO) water and Peter’s 15-5-15 Ca-Mg Special (Scotts, Marysville, OH, USA) at a nitrogen concentration of 150 ppm (16 mM), and pH adjusted to 6.0. The EC of the control solution was 1.0 dS·m−1. Sodium chloride and calcium chloride were used to prepare the salt treatment solutions at an EC of 5.0 and 10.0 dS·m−1 (EC 5 and EC 10 treatments). These salt levels were selected to represent moderate and severe saline irrigations to best assess salt-induced stress responses in plants. For all plants, 1.0 L of the respective treatment solutions were applied once a week, which resulted in an approximately 20% leaching fraction. Irrigation frequency depended on environmental conditions and plant biomass. For plants that needed irrigation more than once per week (usually the control plants and EC 5 treatment), nutrient solution was applied to avoid excessive salt accumulation in the root zone and stabilize leachate EC.
2.3. Data Collection
Leachate EC was collected weekly according to the methods described by Cavins et al. [17]. Briefly, 50 mL of RO water was applied to a randomly selected plant per cultivar per treatment approximately 15 min following irrigation, and the subsequent leachate was collected and EC and pH were measured using LaQua twin probes (Horiba, Japan). A visual score was adapted from Liu et al. [14] and was based on a visual assessment of salt damage (foliar necrosis) on a scale of 0 to 5 (0 = dead, 1 = 80% damage, 2 = 60% damage, 3 = 40% damage, 4 = 20% damage, and 5 = 0% damage, approximately). At termination, the leaf area and shoot dry weight (DW) data were collected. Leaf area was measured using a LI-3100C area meter (LI-COR®, Biosciences, Lincoln, NE, USA). Shoot dry weight was measured after plant tissue was thoroughly dried in an oven at 60 °C for at least 3 days.
2.4. Leaf Mineral Analysis
Dried leaf samples were ground using a Wiley Mill (Thomas Scientific, Swedesboro, NJ, USA) to pass a 40-mesh screen. Dry powder samples were extracted with 2% acetic acid and chloride concentration was measured from the extracted solution using a chloride analyzer (M926; Cole Parmer Instrument Company, Vernon Hills, IL, USA), according to the methods described by Gavlak et al. [18]. Powder samples were also sent to the Soil, Water and Forage Testing Laboratory at Texas A&M University (College Station, TX, USA) for the mineral analysis of Na+, K+ and Ca2+, according to methods described by Havlin and Soltanpour [19] and Issac and Johnson [20].
2.5. Greenhouse Location and Environment
The experiments were conducted at the Texas A&M AgriLife Research Center at El Paso (31°41′50.5″ N 106°16′56.8″ W) in a fan and pad evaporative-cooled greenhouse. The actual average greenhouse air temperatures were between 21.6 and 24.0 °C and the average daily relative humidity ranged from 44% to 55%. The average daily light integral was between 7.7 and 16.4 mol∙m−2∙d−1 during the experimental period.
2.6. Experimental Design and Statistical Analysis
A modified split-plot design was used with six replications (N = 198). Treatments were the main plot and cultivars were the sub plot. Cultivars were randomized within each main plot. A two-way analysis of variance (ANOVA) was used to test the effects of salinity and cultivar on plant growth. Means separation among treatments was conducted using Tukey’s honest significant difference (HSD) multiple comparison test. All statistical analyses were carried out using JMP (Version 13.2; SAS Institute, Cary, NC, USA). Tissue mineral analysis was only carried out for Experiment 1.
3. Results and Discussion
3.1. Leachate EC
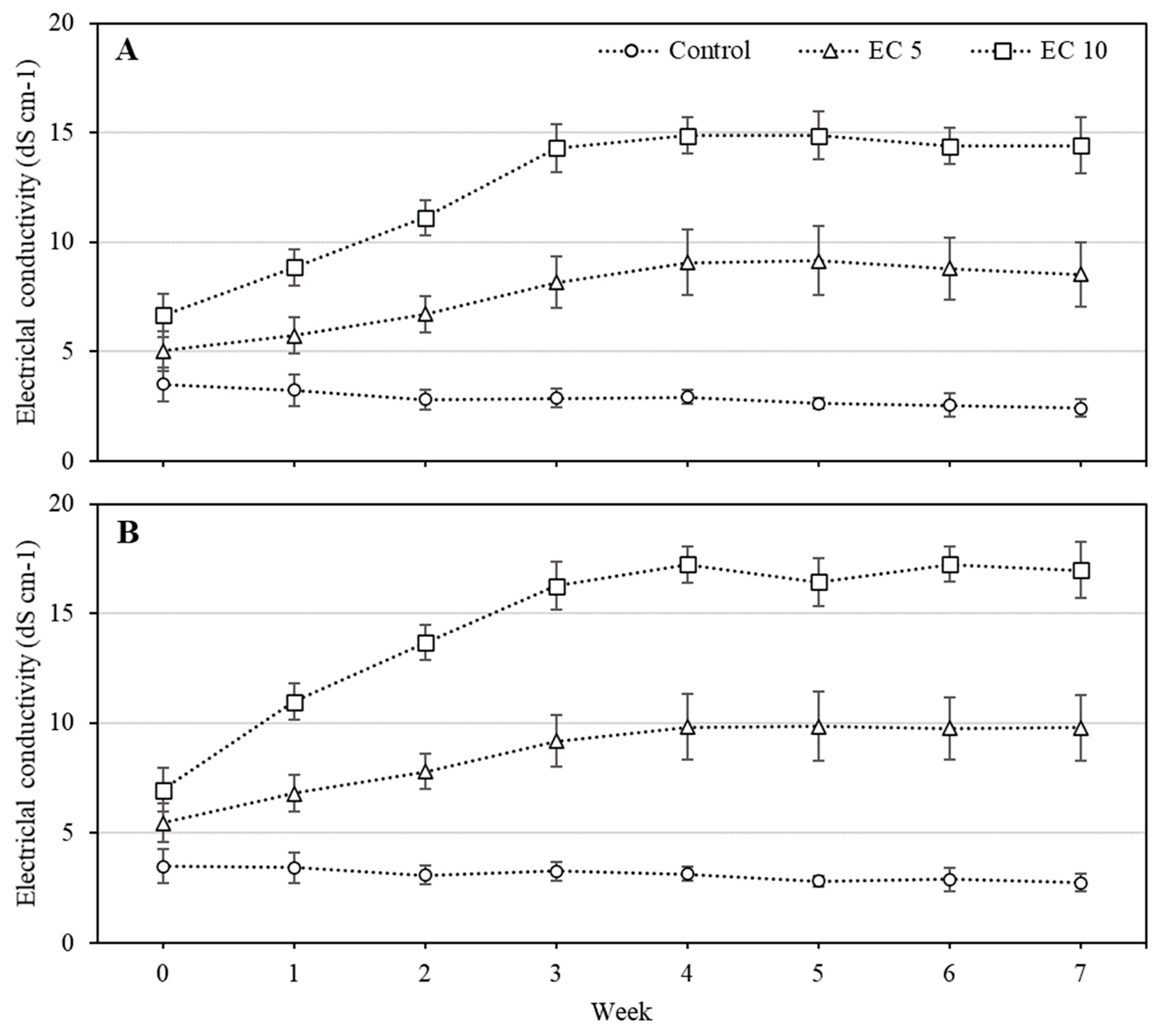
The average leachate EC during Experiment 1 ranged from 2.4 to 3.5 dS·m−1 for the control (Figure 1A). For EC 5 and EC 10 treatments, leachate EC increased from 5.0 to 9.0 dS·m−1 and from 6.7 to 14.2 dS·m−1, respectively, in the first four weeks, and then stabilized during the last four weeks of the study. The leachate EC levels being higher than those of the irrigation water indicated salt accumulation in the root zone. Salt accumulation depends on the salinity level of irrigation water, leaching fraction, substrate type and irrigation frequency. In this study, we applied treatment solution once a week with an approximately 20% leaching fraction. The trends of leachate EC in all treatments agreed with those in our previous studies [14,21].
Figure 1.
Leachate electrical conductivity (EC) in Experiment 1 (A) and Experiment 2 (B). Control represents a nutrient solution at an EC of 1.0 dS·m−1; EC 5 represents a saline solution at an EC of 5.0 dS·m−1; and EC 10 represents a saline solution at an EC of 10.0 dS·m−1. Vertical bars represent standard deviation.
In Experiment 2, leachate EC ranged from 2.7 to 3.5 dS·m−1, 5.5 to 9.8 dS·m−1 and 7.0 to 17.3 dS·m−1 in the control, EC 5 and EC 10 treatments, respectively. The leachate EC values in both experiments had similar trends over time. Salts are known to accumulate in the substrate without excessive leaching, and this difference may be due to variation in both the leaching fraction and evapotranspiration rates.
3.2. Visual Quality
There were significant interactions between treatment and cultivar for visual quality, leaf area and shoot DW, indicating that the cultivars responded to treatment differently (Table 2). In the EC 10 treatment, most plants of H. paniculata ‘Interhydia’ and ‘Bulk’ were dead, with the lowest visual scores of 0.6 and 0.5 (Table 2), respectively. By the fourth week of the experiment, some plants of these two cultivars in the EC 10 treatment were already dead, or exhibited severe salt damages with few green leaves, indicating that these two cultivars were the least salt-tolerant. Other cultivars with lower visual scores were ‘Preciosa’, ‘Passion’ and ‘Snowflake’. ‘Ayesha’ and ‘Merritt’s Supreme’, and the two hybrids ‘Sabrina’ and ‘Selina’, had relatively higher visual scores. In the EC 5 treatment, ‘Bulk’ had the lowest score of 1.1, followed by ‘Preciosa’ and ‘Passion’ with 2.4 and 2.8. All other cultivars had visual scores of 3.4 or higher.
Table 2.
Mean visual score, leaf area and total shoot dry weight (DW) of 11 hydrangea cultivars irrigated with a nutrient solution (electrical conductivity (EC) = 1.0 dS·m−1; control) or a saline solution (EC = 5.0 dS·m−1 (EC 5) or 10.0 dS·m−1 (EC 10)) in Experiments 1 and 2. Significance of main effects and interactions denoted by ***, ** and * (p < 0.001, p < 0.01, and p < 0.05, respectively).
In the second experiment, again, most plants of ‘Bulk’ and ‘Interhydia’ in EC 10 and ‘Bulk’ in EC 5 were dead or severely damaged by the end of the experiment (Table 2). The next group with poor visual quality included ‘Passion’, ‘Preciosa’, ‘Emotion’, and ‘Snowflake’ with scores below 2.0. Although there were some differences in visual scores between Experiments 1 and 2, the trends and relative order in salt tolerance were generally similar.
Conolly et al. [13] evaluated the relative salt tolerance of five hydrangea species based on percent necrotic leaf area. They treated the plants using a foliar spray with full-strength seawater (ion concentration approximate to seawater) salt solution, half-strength seawater solution, or tap water. They found that cultivars of H. macrophylla and H. serrata were more tolerant of full-strength spray than those of H. paniculata, H. anomala and H. arborescens. They also observed different responses to the half-strength spray, wherein H. anomala ssp. petiolaris was most tolerant and H. macrophylla and H. serrata were the second most tolerant, indicating interactive effects between salt spray concentration and species. While our study was different from that of Conolly et al. [13] in treatment methods, our results confirmed that H. paniculata cultivars were not salt-tolerant. Further, we observed that some cultivars in H. macrophylla were relatively salt-tolerant, but ‘Passion’ was not, indicating variation among cultivars of the same species. As for H. serrata, we only tested one cultivar, ‘Preciosa’, which was the second least salt-tolerant based on visual quality.
Foliar discoloration and leaf edge browning were observed in almost all cultivars for unknown reasons, which is why plants in the control treatment did not get a visual score of 5. Some cultivars suffered powdery mildew, which further lowered the visual score. For ornamental plants, aesthetic appearance is of great importance [22]. Healthy foliage and abundant flowers with adequate size are important ornamental traits. Because this study was conducted during the vegetative growth stage, the impact of salt stress on flower performance could not be directly evaluated. However, the number of flowers per plant is directly correlated with healthy vegetative growth, such as in roses [23]. In salt-sensitive cultivars, vegetative growth is significantly reduced, and the magnitude of reduction is dependent on stress level and exposure time. Miralles et al. [2] reported that irrigating H. macrophylla ‘Leuchtfeurer’ with saline water at an EC of 5.65 dS·m−1 (leachate EC of around 10 dS·m−1) reduced all the aerial organs, including leaf, inflorescence and flower.
Based on the visual scores and early mortality in the middle of the study, the two cultivars of ‘Bulk’ and ‘Interhydia’ were the least tolerant to salt stress. The next least tolerant cultivar was ‘Preciosa’, followed by ‘Passion’. The most salt-tolerant among all 11 cultivars was ‘Ayesha’, followed by the two hybrids ‘Sabrina’ and ‘Selina’. ‘Mathilda Gutges’, ‘Merritt’s Supreme’ and ‘Snowflake’ were moderately tolerant.
3.3. Plant Growth
In Experiment 1, elevated salinities (both EC 5 and EC 10) reduced leaf area in all cultivars, with reductions ranging from 20% to 58% in EC 5 and 42% to 89% in EC 10 treatments (Table 2). Total shoot DW was also reduced, although there were no statistical differences between the control and EC 5 or EC 10 in some cultivars, due to the high variation and mortality in these cultivars. In Experiment 2, the leaf area was reduced in most cultivars, with no statistical difference between the control and EC 5 treatment in the cultivars ‘Emotion’, ‘Mathilda Gutges’ and ‘Snowflake’ (Table 2). Total shoot DW was reduced in all cultivars except for ‘Emotion’, ‘Mathilda Gutges’ and ‘Bulk’.
Growth reduction percentage is another important parameter used to evaluate relative salt tolerance among different cultivars of ornamental plants [2,3,14,16,21,24,25]. Miralles et al. [2] reported a reduction in shoot DW of 73%, and leaf area of 68%, in H. macrophylla ‘Leuchtfeurer’, when irrigated with saline water at an EC of 5.65 dS·m−1 (leachate EC of around 10 dS·m−1) for 11 weeks, compared to control (irrigated with fresh water). These results indicated that the growth of H. macrophylla plants was significantly reduced when irrigated with water at elevated salinity. Significant vegetative growth reduction might lead to lower flower numbers. Therefore, future studies should be conducted in the spring growing season to quantify the impact of salinity on the flowering characteristics of these hydrangea cultivars.
3.4. Mineral Analysis
There were significant effects of treatment and cultivar, and interactive effects between treatment and cultivar, on leaf concentrations of Na+, Cl−, Ca2+ and K+ (Table 3). Elevated salinities increased the concentrations of leaf Na+ and Cl− in all cultivars compared to those of the control. The EC 5 treatment increased the leaf Na+ concentration by 3 times in ‘Merritt’s Supreme’ and by 22 times in ‘Snowflake’. The highest Na+ concentration in the EC 5 treatment was found in ‘Passion’ (19.0 mg g−1), followed by ‘Emotion’ (12.8 mg g−1), and then by ‘Sabrina’ and ‘Selina’ (9.7 mg g−1). In the EC 10 treatment, the highest leaf Na+ concentrations were found in ‘Passion’ (35.8 mg g−1) and ‘Emotion’ (31.6 mg g−1), which correlated with those in the EC 5 treatment, the highest among all cultivars. The next highest Na+ concentrations were found in ‘Preciosa’, ‘Sabrina’ and ‘Selina’. For the cultivars ‘Bulk’ and ‘Interhydia’, leaf Na+ concentrations might have been underestimated as the plants were severely affected, and some even died before the end of the experiment. The most salt-tolerant cultivar, ‘Ayesha’, had relatively low Na+ concentrations compared to other cultivars. Notably, the cultivars ‘Snowflake’ and ‘Merritt’s Supreme’ also had low leaf Na+ concentrations.
Table 3.
Mean leaf sodium (Na+), chloride (Cl−), calcium (Ca2+) and potassium (K+) concentrations of 11 hydrangea cultivars irrigated with a nutrient solution (electrical conductivity (EC) = 1.0 dS·m−1; control) or a saline solution (EC = 5.0 dS·m−1 (EC 5) or 10.0 dS·m−1 (EC 10)) in Experiment 1. Significance of main effects and interactions denoted by ***, ** and * (p < 0.001, p < 0.01 and p < 0.05, respectively).
For leaf Cl− concentration, similar to leaf Na+ concentration, the highest increases compared to their respective controls were found with ‘Interhydia’, ‘Bulk’, ‘Snowflake’ and ‘Passion’. In the EC 5 and EC 10 treatments, the leaf Cl− concentration increased by 11 and 20 times, respectively, in ‘Passion’, and 59 and 101 times, respectively, in ‘Interhydia’. Among the control plants, the highest Na+ concentrations were observed in ‘Preciosa’, ‘Sabrina’, ‘Merritt’s Supreme’, ‘Mathilda Gutges’, ‘Passion’, ‘Emotion’ and ‘Selina’, while the lowest Na+ concentrations were found in ‘Interhydia’, ‘Bulk’ and ‘Snowflake’. As regards leaf Cl− concentration, the highest was found in ‘Preciosa’ at 10.3 mg g−1, followed by ‘Sabrina’ at 8.1 mg g−1. Similar to leaf Na+ concentration, the lowest Cl− concentrations were found in ‘Interhydia’, ‘Bulk’ and ‘Snowflake’, the three cultivars with the lowest Na+ concentrations. These results indicated that the salt-sensitive cultivars have inherently low tolerance to harmful ions of Na+ and Cl−, which is why they did not survive under high tissue Na+ and Cl− accumulation. For example, Monarda citriodora, a wildflower, showed low tissue tolerance to Na+ concentration, with 100% mortality when irrigated with saline solution at an EC as low as 2.8 dS·m−1 [25].
For leaf Ca2+ concentration, except for the cultivar ‘Bulk’, elevated salinity treatments increased leaf Ca2+ concentration. In the EC 5 treatment, the increase in Ca2+ concentration compared to the control ranged from 15% in ‘Sabrina’ to 80% in ‘Snowflake’, and 58% in ‘Sabrina’ to 120% in ‘Snowflake’ in the EC 10 treatment. It is known that Ca2+ influx into the cytoplasm is a plant response to environmental stresses, including salt stress [26]. Calcium has been shown to slow down the accumulation of Na+ within the plant and mitigate the detrimental effects of elevated Na+, particularly in the leaf tissue [27,28].
For leaf K+ concentration, there were minor but significant decreases in ‘Selina’ and ‘Passion’, and increases in ‘Emotion’, ‘Merritt’s Supreme’ and ‘Interhydia’ when treated with EC 10, compared to the control (Table 3). The maintenance of high K+ in the shoot tissue has been noted as a salt-tolerant trait in some plant species due to its ability to aid in osmotic adjustment [29]. However, in this study, no clear trends were identified with respect to leaf K+ concentration and salt tolerance.
Although Na+ is not an essential element for plants, it is considered a beneficial element to some halophyte species [30] and can also be used as a micronutrient to aid in carbon fixation in C4 and CAM (crassulacean acid metabolism) plants [31]. In some plants, Na+ can also be used as a partial replacement of K+ as an osmoticum [32]. In contrast, Cl- is an essential plant nutrient, and is needed in small quantities as a micronutrient aiding in plant metabolism, photosynthesis, osmosis and ionic balance within cells [33]. The typical leaf Na+ concentration for glycophytes is between 0.2 and 2.0 mg g−1 [34], which is the range observed in the control treatment in the present study, with an average of 1.1 mg g−1 across all cultivars. Leaf Cl− concentration is generally higher than that of Na+ due to its mobility in plants [33], and in this study the average was 4.5 mg g−1 across all cultivars, ranging from 0.6 to 10.3 mg g−1 (Table 3).
Two of the important mechanisms of salt tolerance are the exclusion of Na+ and Cl− in the leaf tissue, and the tolerance of high tissue concentrations of Na+ and Cl− [35]. Na+ and Cl− at high concentrations are harmful to healthy plant growth in glycophytes. In many cases, salt-tolerant genotypes have lower leaf Na+ and/or Cl− concentrations in leaves and stems, and this is achieved by preventing these ions from entering shoots. In other cases, plants tolerate high Na+ and Cl− concentrations by partitioning Na+ and Cl− in the cell vacuole [1,24,35]. For example, among 10 aster species, Eupatorium greggii and Viguiera stenoloba were relatively salt-tolerant with lower leaf Na+ concentrations, while another relatively salt-tolerant species, Santolina chamaecyparissus, had higher leaf Na+ concentration [16]. In cereal crops, sorghum, which is salt-tolerant, had very low Na+ and Cl− concentrations in leaves and stems, while maize genotypes had much higher Na+ and Cl− concentrations in leaves and stems at elevated salinity levels [36].
Large variations were observed in the current study regarding the relative salt tolerance among the four species and one hybrid of hydrangea (H. macrophylla, H. paniculata, H. quercifolia, H. serrata and H. serrata × macrophylla), and within cultivars of H. macrophylla based on growth reduction and leaf Na+ and Cl− concentrations. For example, H. macrophylla ‘Passion’ showed poor performance, with severe foliar salt damage, high mortality and greater reductions in leaf area and shoot DW compared to other cultivars in the same species. In our previous study with H. macrophylla ‘Smhmtau’ and ‘Smnhmsigma’, plants were treated with the same saline solutions at an EC of 5.0 dS·m−1 or 10.0 dS·m−1 for 35 days; however, the leaf Na+ and Cl− concentrations were higher than those observed in the current study [14]. The salt tolerance of plants largely varies among species and even among cultivars of the same species, as evidenced in the current study.
Leaf Na+ and Cl− concentrations have been shown to be negatively correlated with plant growth [36,37,38]. In this study, there were similar trends between shoot DW and leaf Na+ and Cl− concentrations (Na+ vs. DW: p =0.034; Cl− vs. DW: p = 0.003). Similarly, visual scores (VS) were negatively correlated with leaf Na+ and Cl− concentrations, and with relative shoot growth (VS vs. Na+, p = 0.0111; VS. vs. Cl−, p = 0.0012; VS vs. DW: p < 0.0001). That is, the greater the accumulation of Na+ and Cl− in leaves, the lower the visual quality ratings and lesser the growth that occurred.
4. Conclusions
Among the 11 cultivars of four species and one hybrid of hydrangea, based on visual quality and growth reduction, we concluded that ‘Ayesha’ (H. macrophylla), and the two hybrids ‘Sabrina’ and ‘Selina’, were the most tolerant, and a second tolerant group included ‘Mathilda Gutges’ and ‘Merritt’s Supreme’ (H. macrophylla). The next most salt-tolerant cultivars included ‘Preciosa’ (H. serrata) and ‘Passion’ (H. macrophylla), followed by ‘Snowflake’ (H. quercifolia) and ‘Emotion’ (H. macrophyalla). ‘Bulk’ of H. paniculata was the least salt-tolerant, followed by ‘Interhydia’ (H. paniculata). The salt-sensitive cultivars ‘Bulk’, ‘Interhydia’ and ‘Snowflake’ had inherently low leaf Na+ and Cl− concentrations. Salt tolerance varied with species and cultivars within the species H. macrophylla.
Author Contributions
G.N., Y.S., and T.H. conceptualized and designed the study. T.H., H.D. and C.P. performed the experiments and collected data; Y.S. analyzed data. G.N. drafted the manuscript; T.H., Y.S. and J.A. revised. All authors have read and agreed to the published version of the manuscript.
Funding
This research was supported in part by the U.S. Department of Agriculture (USDA) National Institute of Food and Agriculture Hatch Project TEX090450 and Floricultural and Nursery Research Initiative.
Acknowledgments
The authors would like to thank Oregon Hydrangea Company (Brookings, OR, USA) for donating hydrangea cuttings.
Conflicts of Interest
The authors declare no conflict of interest.
References
- Garcia-Caparros, P.; Llanderal, A.; Pestana, M.; Correia, P.J.; Lao, M.T. Tolerance mechanisms of three potted ornamental plants grown under moderate salinity. Sci. Hortic. 2016, 201, 84–91. [Google Scholar] [CrossRef]
- Miralles, J.; Valdes, R.; Franco, J.A.; Banon, S.; Sanchez-Blanco, M.J. Irrigation of Hydrangea with saline reclaimed wastewater: Effects of freshwater flushing. Acta Hortic. 2013, 1000, 229–236. [Google Scholar] [CrossRef]
- Niu, G.; Cabrera, R.I. Growth and physiological responses of landscape plants to saline water irrigation—A review. HortScience 2010, 45, 1605–1609. [Google Scholar] [CrossRef]
- Tanji, K.; Grattan, S.; Grieve, C.; Harivandi, A.; Rollins, L.; Shaw, D.; Sheikh, B.; Wu, L. A Comprehensive Literature Review on Salt Management Guide for Landscape Irrigation with Recycled Water in Coastal Southern California. Available online: http://www.salinitymanagement.org (accessed on 10 July 2020).
- Hancioglu, N.E.; Kurunc, A.; Tontul, I.; Topuz, A. Irrigation water salinity effects on oregano (Origanum onites L.) water use, yield and quality parameters. Sci. Hortic. 2019, 247, 327–334. [Google Scholar] [CrossRef]
- Shannon, M.C.; Grieve, C.M. Tolerance of vegetable crops to salinity. Sci. Hortic. 1999, 78, 5–38. [Google Scholar] [CrossRef]
- Fulcher, A.; Owen, J.; Lebude, A. Hydrangea Production: Species-specific Production Guide. Available online: https://extension.tennessee.edu/publications/Documents/PB1840-B.pdf (accessed on 11 July 2020).
- Alexander, L.W. Optimizing pollen germination and pollen viability estimates for Hydrangea macrophylla, Dichroa febrifuga, and their hybrids. Sci. Hortic. 2019, 246, 244–250. [Google Scholar] [CrossRef]
- Khaing, M.T.; Jung, H.J.; Han, T.H. Trend of hydrangea cultivar development. Trends Agric. Life Sci. 2016, 53, 63–68. [Google Scholar]
- Reed, S.M.; Jones, K.D.; Rinehart, T.A. Production and characterization of intergeneric hybrids between Dichroa febrifuga and Hydrangea macrophylla. J. Am. Soc. Hortic. Sci. 2008, 133, 84–91. [Google Scholar] [CrossRef]
- Nordli, E.; Strom, M.; Torre, S. Temperature and photoperiod control of morphology and flowering time in two greenhouse-grown Hydrangea macrophylla cultivars. Sci. Hortic. 2011, 127, 372–377. [Google Scholar] [CrossRef]
- Wu, L.; Dodge, L. A special report for the Elvenia J. Slosson Endowment Fund, Landscape salt tolerance selection guide for recycled water irrigation. University of California, Davis, CA. Available online: http://slosson.ucdavis.edu/files/215300.pdf (accessed on 10 July 2020).
- Liu, Q.; Sun, Y.; Niu, G.; Altland, J.; Chen, L.; Jiang, L. Morphological and physiological responses of ten ornamental species to saline water irrigation. HortScience 2017, 52, 1816–1822. [Google Scholar] [CrossRef]
- Conolly, N.B.; Bassuk, N.L.; MacRae, P.F. Response of five hydrangea species to foliar salt spray. J. Environ. Hortic. 2010, 2, 125–128. [Google Scholar] [CrossRef]
- Wu, S.; Sun, Y.; Niu, G.; Altland, J.; Cabrera, R. Response of 10 aster species to saline water irrigation. HortScience 2016, 51, 197–201. [Google Scholar] [CrossRef]
- Cai, X.; Sun, Y.; Starman, T.; Hall, C.; Niu, G. Response of 18 Earth-Kind® rose cultivars to salt stress. HortScience 2014, 49, 544–549. [Google Scholar] [CrossRef]
- Cavins, T.J.; Whipker, B.E.; Fonteno, W.C. Pourthru: A method for monitoring nutrition in the greenhouse. Acta Hortic. 2008, 779, 289–297. [Google Scholar] [CrossRef]
- Gavlak, R.G.; Horneck, D.A.; Miller, R.O. Plant, Soil, and Water Reference Methods for the Western Region; Western Regional Extension Publication (WREP), 125: Corvallis, OR, USA, 1994. [Google Scholar]
- Havlin, J.L.; Soltanpour, P.N. A nitric acid and plant digest method for use with inductively coupled plasma spectrometry. Commun. Soil Sci. Plant Anal. 1989, 14, 969–980. [Google Scholar] [CrossRef]
- Isaac, R.A.; Johnson, W.C. Collaborative study of wet and dry ashing techniques for the elemental analysis of plant tissue by atomic absorption spectrophotometry. J. Assoc. Off. Anal. Chem. 1975, 58, 436–440. [Google Scholar] [CrossRef]
- Chen, L.; Sun, Y.; Niu, G.; Liu, Q.; Altland, J. Relative salt tolerance of eight Japanese barberry cultivars. HortScience 2017, 52, 1810–1815. [Google Scholar] [CrossRef]
- De Oliveira, E.V.; de Lacerda, C.F.; Neves, A.L.R.; Gheyi, H.R.; Oliveira, D.R.; de Oliveira, F.I.F.; de Araujo Viana, T.V. A new method to evaluate salt tolerance of ornamental plants. Theor. Exp. Plant Physiol. 2018, 30, 173–180. [Google Scholar] [CrossRef]
- Niu, G.; Starman, T.; Byrne, D. Responses of growth and mineral nutrition of garden roses to saline water irrigation. HortScience 2013, 48, 756–761. [Google Scholar] [CrossRef]
- Niu, G.; Davis, T.D.; Masabni, J. A review of salinity tolerance research in horticultural crops. J. Arid Land Stud. 2019, 29, 53–59. [Google Scholar]
- Niu, G.; Rodriguez, D.; McKenney, S. Response of selected wildflower species to saline water irrigation. HortScience 2012, 47, 1351–1355. [Google Scholar] [CrossRef]
- Knight, H.; Trewavas, A.J.; Knight, M.R. Calcium signalling in Arabidopsis thaliana responding to drought and salinity. Plant J. 1997, 12, 1067–1078. [Google Scholar] [CrossRef] [PubMed]
- Chen, H.X.; Li, P.M.; Gao, H.Y. Alleviation of photoinhibition by calcium supplement in salt-treated Rumex leaves. Physiol. Plant. 2007, 129, 386–396. [Google Scholar] [CrossRef]
- Epstein, E. How calcium enhances plant salt tolerance. Science 1998, 280, 1906–1907. [Google Scholar] [CrossRef] [PubMed]
- Zhang, J.L.; Flowers, T.J.; Wang, S.M. Mechanisms of sodium uptake by roots of higher plants. Plant Soil 2010, 326, 45. [Google Scholar] [CrossRef]
- Flowers, T.J.; Colmer, T.D. Salinity tolerance in halophytes. New Phytol. 2008, 179, 945–963. [Google Scholar] [CrossRef]
- Epstein, E.; Bloom, A.J. Mineral Nutrition of Plants: Principles and Perspectives, 2nd ed.; Sinauer Associates, Inc.: Sunderland, MA, USA, 2005; p. 400. [Google Scholar]
- Flowers, T.J.; Làuchli, A. Sodium versus potassium: Substitution and compartmentation. In Encyclopedia of Plant Physiology; Làuchli, A., Bieleski, R.L., Eds.; Inorganic Plant Nutrition 15B; Springer: New York, NY, USA, 1983; Volume 15, pp. 651–681. [Google Scholar]
- White, P.J.; Broadley, M.R. Chloride in soils and its uptake and movement within the plant: A review. Ann. Bot. 2001, 88, 967–988. [Google Scholar] [CrossRef]
- Green, T.G.A.; Sancho, L.G.; Pintado, A.; Saco, D.; Martin, S.; Arroniz-Crespo, M.; Casermeiro, M.A.; de la Cruz Caravaca, M.T.; Cameron, S.; Rozzi, R. Sodium chloride accumulation in glycophyte plants with cyanobacterial symbionts. AoB Plants 2017, 9, plx053. [Google Scholar] [CrossRef]
- Munns, R.; Tester, M. Mechanisms of salinity tolerance. Annu. Rev. Plant Biol. 2008, 59, 651–681. [Google Scholar] [CrossRef]
- Cabrera, R.I. Revisiting the salinity tolerance of crapemyrtles (Lagerstroemia spp.). Arboric. Urban For. 2009, 35, 129–134. [Google Scholar]
- Niu, G.; Xu, W.; Rodriguez, D.; Sun, Y. Growth and physiological responses of maize and sorghum genotypes to salt stress. ISRN Agron. 2012. [Google Scholar] [CrossRef]
- Niu, G.; Sun, Y. Salt tolerance in roses—A review. Acta Hortic. 2019, 1232, 143–150. [Google Scholar] [CrossRef]
© 2020 by the authors. Licensee MDPI, Basel, Switzerland. This article is an open access article distributed under the terms and conditions of the Creative Commons Attribution (CC BY) license (http://creativecommons.org/licenses/by/4.0/).
