Abstract
Root zone heating can solve the problems associated with the yield and decline in the quality caused by low-temperature stress in cucumber during winter and early spring. An experiment was performed to investigate the effects of different heating methods on the root zone temperature, growth and photosynthetic characteristics, fruit quality, and yield of cucumber. Using traditional soil cultivation (CK1) and sand cultivation (CK2) in a greenhouse as the controls, four heating treatments were set up: soil-ridge sand-embedded cultivation (T1), water-heated soil cultivation (T2), water-heated sand cultivation (T3), and water-curtain and floor-heating cultivation (T4). The results indicated that heating treatments T2 and T4 had better warming and insulation effects than the other treatments during both day and night, with an average temperature increase throughout the day of 0.8–1.2 °C compared with CK1. The chlorophyll content of leaves under the T2 and T4 treatments increased, and the photosynthetic rate and the overall plant growth were significantly higher than in the other treatments. Compared with the control, the fruit yield increased most significantly under the T2 and T4; the soluble sugar, soluble solids, and Vc contents in the fruit increased; while the nitrate content in the fruit decreased, effectively improving the fruit’s quality and yield. It was finally determined that the T2 and T4 heating treatments are the most effective in solving the low-temperature problem. Moreover, as T2 consumed relatively more electricity, the use of a water-curtain and floor-heating system in winter and spring should be considered in order to boost the yield and improve the quality.
1. Introduction
In China, solar greenhouses are widely used horticultural facilities, which makes it possible to grow crops at a low cost in the cold season. As solar greenhouses generally use only solar radiation to heat the indoor environmental [1], the nighttime air temperature of solar greenhouses becomes lower after entering the cold winter season [2]. As a result, the plant root absorption of water [3] and leaf photosynthesis [4,5] decrease, as well as the effective nutrients [6,7,8], contributing to a decrease [5]. To address the issue of low-temperature stress inhibiting normal crop growth, the heat storage and insulation of the back wall can be improved by adjusting the back wall’s building materials and structure in order to provide a warming effect [9]. The direct use of coal and natural gas heating or air conditioning has been considered to increase the indoor temperature, and the experimental results showed that the system could increase the minimum air temperature at night by 2.8 °C [10]. Nevertheless, these heating methods consume too much energy. Hence, researchers have employed solar heating to replace non-renewable resource-based heating, thus reducing the energy consumption [11,12]. Wang [13] has developed a water-curtain collector floor-heating system that converts solar radiation energy into heat energy to increase the indoor temperature. This is considered a feasible low-energy heating method. At night, this system, which uses water circulated from the water tank, could increase the indoor temperature by 5.4 °C and the crop rhizosphere temperature by 1.6 °C.
It has been reported that an increase in the soil temperature—within a certain range—benefits the activity of microorganisms in the soil while promoting the decomposition of organic fertilizers and materials in the soil, as well a more vigorous growth of plant roots [14,15,16]. Thus, local heating of the soil provides an effective means to tackle low-temperature stress. The feasibility of this method has also been confirmed after the application of soil local heating in studies on cucumber and lettuce [17,18,19], which could lead to a yield-increasing effect. Li [20] has proposed a new cultivation method—namely, soil ridge substrate-embedded cultivation (SRSC)—to increase the root zone temperature and promote crop production, which can effectively accumulate heat and result in a slow heat dissipation. Hu [21] has simulated the heating of irrigation water to raise the soil temperature and the simulation results, suggested that it is feasible. Considering that there are few studies on the use of rootzone heating methods for winter cultivation in solar greenhouses, it is necessary to conduct experimental studies on root zone heating and compare the different heating methods in solar greenhouses in northern regions of China.
Based on the winter climate characteristics of Ningxia, an experiment was conducted to compare the effects of different rootzone heating measures in order to explore the warming effect of different heating methods in winter solar greenhouse cucumber production. The results lay a theoretical foundation for the application of solar greenhouses in winter crop production in northern regions.
2. Materials and Methods
2.1. Experimental Setup
The experiment was conducted in greenhouse No. 7 (Yinchuan-II type daylight greenhouse) located in Ningxia Horticulture Industrial Park Research Development Zone, Ningxia Horticulture Industrial Park, from 20 September to 15 March 2021. The greenhouse faces south and extends east–west. The test greenhouse was 60 m long, with a span of 8 m, a ridge height of 4 m, a back wall height of 2.5 m, and a wall thickness of 95 cm. The trial was conducted using a cold-resistant cucumber West 1934. The seedlings were planted in rows when the plants had two stem leaves and a terminal bud, at a planting density of 25 cm between the plants and 70 cm between the rows, on 20 September 2021.
2.2. Experiment Design
The experiment was conducted to compare the different root zone heating treatments for winter greenhouse cucumber cultivation. In particular, we set up six treatments, indicated as CK1, CK2, T1, T2, T3, and T4 (see Table 1 for more details).
Table 1.
List of treatments, cultivation methods, and heating methods used in the experiment conducted for root zone heating of cucumber.
We used traditional soil cultivation CK1 (Figure 1a) and sand cultivation CK2 (Figure 1b) in the greenhouse as the controls, planted with Bijou No. 3 cucumbers to facilitate the determination of the effects of different treatments on the same crop in the greenhouse.
Figure 1.
The various root zone heating methods adopted in this trial: soil cultivation (a); sand cultivation (b); soil-ridged sand-embedded cultivation (c); water heating system (d); water-curtain and floor-heating system (e). Soil (1), sand (2), barbed wire cultivation tank (3), mulching film (4), non-woven fabrics (5), water pump (6), floating ball valve (7), bucket (8), temperature sensor (9), self-priming pump (10), waterproof heating tape (11), intelligent temperature control system (12), maximum water level line (13), minimum water level line (14), water curtain heat collection device (15), floor heating pipe heat release device (16), circulating water pump (17), insulated water bucket (18), floor heating inlet pipe (19), floor heating outlet pipe (20), water supply line of the water curtain heat collection device (21), return pipe of the water curtain heat collection device (22).
T1, soil-ridged sand-embedded cultivation (SSC): the barbed wire tank troughs or wire mesh (0.3 m × 0.2 m × 6 m) are embedded into the ridges in the soil. The cultivation beds were 6 m long, with a 40 cm upper width, a 50 cm bottom width, and a height of 20 cm. The sand was filled in the middle of the bed, where the wire mesh was installed. On the bottom of the sand, a non-woven fabric of a 0.12 mm thickness was added to facilitate a water heat exchange (Figure 1c).
T2, water heating soil cultivation (Figure 1d): water is injected through a pipe into the bucket from the water stop line when the system is opened, through the access to 220 V power to open the automatic thermostat (by a timing switch). Waterproof silicone heating access to a 220 V power supply is placed at the bottom of the bucket and connected to an automatic temperature controller. When the temperature is lower than 30 °C, heating is started; when the water level is lower than the lowest line of the bucket to open the automatic ball valve, or when the water temperature is 30 ≤ T ≤ 35 °C, water is pumped through, using an insulated intelligent temperature controller connected to the water pump outlet and the greenhouse drip irrigation system.
T3, water heating sand cultivation: same as T2, except with the use of sand.
T4, water-curtain and floor-heating system (Figure 1e): a carbon black PVC salt film was chosen as the water curtain heat collection device (1) and a floor heating pipe heat release device (2) was laid under the cultivation tank. When the circulating water pump (3) started, the water in the bucket (4) first passes through the floor heating pipe water supply line (5), flows to the floor heating pipe heat release device (2), then passes through the floor heating pipe outlet pipe (6) and the water supply line of the water curtain heat collection device (7), creating a water flow in the cavity above the water curtain heat collection device (1), then flows through the guide silk to form the water curtain, and, finally, returns to the bucket through the return pipe of the water curtain heat collection device (8), thus completing the heat transfer.
With the water pump driving the water, the circulating water flowing through the water curtain heat collection device absorbs solar energy and stores heat to raise its temperature during the day. After which, the water exchanges heat with the deep soil at the bottom of the plant cultivation tank when flowing through the floor-heating pipe. Then, the heat stored in the soil and as it flows in the pipe is passively released at night, thus increasing the temperature of the plant root zone and the indoor air temperature, realizing the heat transfer through the heat exchange between the soil and air.
2.3. Measurement and Methods
2.3.1. Greenhouse Environment and Root Zone Temperature
The test points for measuring the internal environment of the greenhouse were located on the central wall of the greenhouse. The air temperature and humidity sensors, soil temperature and humidity sensors, carbon dioxide sensors, and light sensors were installed 1.5 m above the ground. The MP-508C soil temperature and humidity sensors were buried at a depth of 10 cm in the soil ridges of the different treatments, in order to measure the soil temperature and humidity.
2.3.2. Plant Biomass
In September 2021, two weeks after the planting of each crop, five cucumber plants were randomly selected from each treatment, and the plant growth was measured every 15 days, for a total of 5 times. The plant height (cm) was measured from the soil surface to the top-most growing point. The stem diameter (mm), leaf length, and the width (cm) of the largest functional leaf were measured, and the leaf area was calculated using the following formula: leaf area = 2/3 × leaf length × width. After the last harvest, the whole plant was dug up and the roots were scanned with a root scanner (SCAN-GXY-A, Beijing, China), and the dry and fresh weights (g) were determined.
2.3.3. Photosynthetic Characteristics
Five cucumber plants were randomly selected from each replicate during the full fruit period, and the third topmost fully expanded functional leaf was selected for the photosynthetic measurements. In the morning, the net photosynthetic rate, transpiration rate, intercellular CO2 concentration, and stomatal conductance were measured from 5 leaves using a photosynthesis system (YOKE INSTRUMENT, Shanghai, China), and the average value was calculated. Similarly, an SPAD-502 chlorophyll meter (Konica Minolta, Tokyo, Japan) was used to measure the SPAD values of the cucumber leaves (the third leaf from top to bottom); again, each leaf was repeated five times, and the average value was taken.
2.3.4. Fruit Yield
The cucumber yield for each treatment was measured. The quality and quantity of each harvested fruit in each plot was recorded, and the average fruit quality and average yield per plant was calculated and converted to the yield per unit area.
2.4. Statistical Analysis
All the statistical analyses were performed using the IBM SPSS 20.0 software (IBM SPSS Statistics, IBM Corporation, Armonk, NY, USA). Different lowercase letters represent significant differences between the treatments (one-way ANOVA, p < 0.05), according to Duncan’s multiple range test. The figures were plotted using Microsoft Excel 2013 (Microsoft Corporation, Redmond, WA, USA).
3. Results and Analysis
3.1. Changes in Air Temperature in the Greenhouse
The peak indoor temperature changes were the same in November and December of 2021. The lowest temperature appeared at around 8:00 a.m., and the highest temperature appeared at around 13:00 p.m. (Figure 2). The average indoor temperature over 5 days and nights in November was 18.94 °C, with an average daytime indoor temperature of 23.92 °C and an average night-time indoor temperature of 15.02 °C. The highest indoor temperature over the 5 days ranged from 24.92 to 35.92 °C, and the average highest temperature was 30.65 °C; meanwhile, the lowest temperature over the 5 days ranged from 11.54 to 13.36 °C, and the average lowest temperature was 12.65 °C. The maximum indoor temperature during the 5 days ranged from 29.47 to 32.83 °C, and the maximum average temperature was 31.45 °C; meanwhile, the minimum temperature during the 5 days ranged from 8.82 to 9.99 °C, and the minimum average temperature was 9.45 °C. The maximum solar radiation in November was 312.9 W/m2 (3 November) and 277 W/m2 in December (26 December), and a typical sunny day (29 November) presented a maximum temperature of 35.16 °C and a minimum temperature of 14.45 °C. A typical cloudy day (28 November) had a maximum temperature of 24.61 °C and a minimum temperature of 14.59 °C. At this time, the minimum temperature was below 10 °C, and the cucumber growth was inhibited; in the case of a continuous low temperature, there may also be frost damage. Therefore, it was necessary to implement greenhouse heating measures.
Figure 2.
Temperature and horizontal solar radiation fluctuation in the greenhouse from 26 to 30 November and 26 to 30 December.
3.2. Effect of Different Heating Treatments on Root Zone Temperature
The root zone temperature under different heating methods from 26 to 30 November 2021 showed the same trend as the indoor temperature change in the greenhouse with time, where the highest temperature of the root zone of each treatment appeared around 16:00 p.m. and the lowest temperature appeared around 8:00 a.m. (see Figure 3). The root zone temperature under T3 was significantly higher than that of T1, and was earlier than that of T2 and T4, indicating that the irrigation water heated by the sand cultivation conducted heat faster; however, the night-time temperature under T2 was higher than that of T3, indicating that the thermal insulation effect of sandy soil was weaker than that under the soil cultivation. The root zone temperature ender T1 was higher than that of CK2, indicating that the outer soil had a buffering effect on the temperature changes.
Figure 3.
Variation in root zone temperature under different treatments (26–30 November).
The resistance to a low temperature is ranked as follows: T4 > T2 > T1 > CK1 > T3 > CK2. T1, T2, T3, and T4 all had a higher resistance to a low temperature than CK1 and CK2 (Table 2), and the maximum temperatures under T3 were 0.7–2.4 °C higher than those of the other treatments. The reason for this is that T3 is a sand culture, which has strong heat absorption properties. Soil had the highest temperature only during the day, which indicated that the T3 treatment presented a good heat absorption. T2 and T3 were heated with irrigation water during the day, such that the average daytime temperatures were higher than the average temperatures under the heated treatments T1 and T4; meanwhile, T4 was heated at night using the heat stored in the water curtain collector-floor heating system during the day, such that the average night-time temperatures under T4 were significantly higher than the unheated CK1 and CK2 treatments, as well as higher than under T1, T2, and T3.
Table 2.
The average temperature of the root zone under different heating methods (26–30 November).
3.3. Effects of Different Heating Treatments on the Growth and Dry Matter Accumulation of Cucumber
The different heating treatments promoted plant growth. The plant height, stem diameter, leaf area, and number of leaves increased with the increasing root zone temperature (Table 3). Under the different temperature treatments and compared with CK1, the plant height increased by 16.9% and 15.6% in T2 and T4, and 17.2% and 16.4% in T1 and T3, respectively; the stem diameter increased by 13.6% and 11.8% in T2 and T4, respectively; and the leaf area increased by 9.5% in T2 and T4, respectively. However, compared with CK2, the leaf area increased by 8.7% and 10.5% in T1 and T3, respectively. T2 and T4 were 9.7% and 10.1% higher than CK1, and T1 and T3 were 5.2% and 6.5% higher than CK2. The number of leaves under the T2 and T4 treatments were 29.1% and 16.5% higher than CK1, and T1 and T3 were 16.4% and 2.1% higher than CK2, respectively. The chlorophyll content is ranked as follows: T1 > T2 > T4 > T3 > CK1 > CK2.
Table 3.
Effect of different heating treatments on the growth parameters of cucumber.
The increase in the root zone temperature due to root zone warming significantly enhanced the growth potential of plants, both above and below ground (Figure 4). The fresh root weight was 4.1% and 2.5% higher under the T2 and T4 treatments compared to CK1, and 8.1% and 11.5% higher under T1 and T3, compared to CK, respectively. The effects of different heating treatments on the fresh root weight of the lower part of the plant were different, but not significant. Root dry weight was 14.7% and 9.5% higher under T2 and T4 than CK1, and 12% and 0.9% higher under T1 and T3 than CK2, respectively. The lower dry weight of plants in the T2 treatment was still significantly higher than those of CK1 and CK2, and no significant differences were shown between the other treatments, which indicated that the heating conditions in T2 promoted the fresh shoot weight of the plants, being 6.5% and 1.9% higher in the T2 and T4 treatments than CK1, 15.6% and 8% higher in T1 and T3 than CK2, 6.6% and 0.5% higher in T2 and T4, and 8.1% and 0.3% higher in T1 and T3, compared to CK2. The different heating treatments had a certain promoting effect on the plant fresh shoot weight and dry shoot weight, where only the T2 heating treatment had a significant effect. The effects of the different temperature treatments on the plant height, stem diameter, leaf area, fresh shoot weight, and dry shoot weight had significant reciprocal effects, indicating that the temperature treatments could enhance the growth potential of the plants, where the promoting effect of T2 was higher than the other treatments.
Figure 4.
Effect of different heating treatments on cucumber biomass accumulation. Note: different lowercase letters in the same column in the figure indicate that the difference between different treatments reaches a significant level of p < 0.05.
3.4. Effect of Different Heating Treatments on Fruit Quality and Yield of Cucumber
As shown in Table 4, the cucumber fruit weight in T4 was the heaviest, at 58.18 g, and was significantly higher than the other treatments. The T2 and T4 treatments increased the single fruit mass by 4% and 5.6% compared to CK1, and the T1 and T3 treatments were increased by 5.4% and 4.7%, compared to CK2. The single fruit mass under T1, T2, and T3 was higher than CK1 and CK2, and the difference between CK1 and CK2 reached a significant level. The total yield of cucumber under all the heating treatments was increased, compared with CK1 and CK2, and the yield of cucumber in the T2 and T4 treatments converged, forming significant differences. The total yield under each treatment, in descending order, was as follows: T4 > T2 > T1 > T3 > CK1 > CK2. The results indicated that, among the different heating treatments, T4 had the most significant effect on the yield of the fruits.
Table 4.
Effects of different heating treatments on fruit yield.
The effects of the different heating treatments on the fruit quality of cucumber are shown in Figure 5. The soluble sugar content and soluble solids in cucumber fruit in all the heating treatments were higher than those under CK1 and CK2; the organic acid content of the T2 and T4 fruits was higher than the other fruits, where T4 was significantly higher than CK2, while there was no significant difference between the other treatments. The soluble sugar in T2 and T4 fruits were significantly higher than CK1 (8.4% and 12.5%, respectively), and T1 and T3 were higher than CK2 (11.5% and 18%, respectively). T4 had the highest soluble sugar content, followed by T2. The nitrate content in different heating treatment fruits was lower than in the controls; in T2 and T4 cucumber fruits, the nitrate contents were significantly lower than those in CK1 and CK2. The T4 fruit had the highest vitamin C content, of 17.99 mg·(100 g)−1, which was 28.0%, 19.1%, 34.6%, 37.9%, and 103.7% higher than that in T1, T2, T3, CK1, and CK2, respectively, where the difference between T4 and CK2 was significant. The soluble solids of T2 and T4 fruits were higher than that of CK1, (3.9% and 2.1%, respectively), and those in T1 and T3 were increased by 9.4% and 2.4%, respectively, compared to CK2. T4 had the highest soluble solids content. The effect of different heating treatments on the sugar–acid ratio was not significant, and only T4 showed a significant difference with CK2, while the differences between the other fruits were small and lacked significance.
Figure 5.
Effects of different heating treatments on fruit quality parameters. Note: different lowercase letters in the same column in the figure indicate that the difference between different treatments reaches a significant level of p < 0.05.
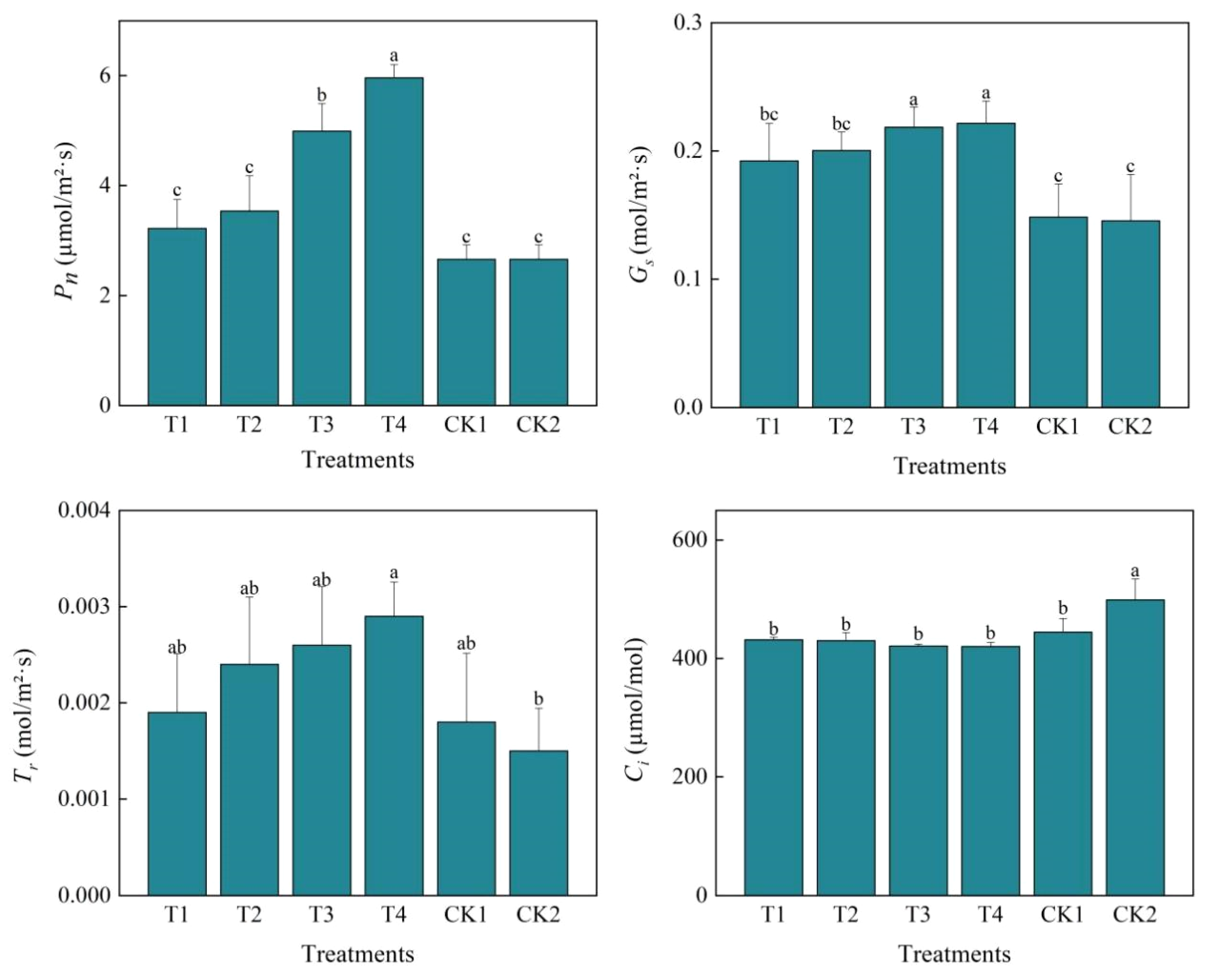
3.5. Effect of Different Heating Treatments on Photosynthetic Parameters of Cucumber Leaves
Compared with the non-heating treatments, the heating treatments significantly increased the plant leaf Pn, Gs, and Tr (Figure 6), as well as enhancing photosynthesis. The Gs of plant leaves in different heating treatments was increased, compared with CK1 and CK2, where the magnitude of the increase was in the following order: T4 > T3 > T2 > T1. As Gs increased, Pn and Tr increased with the same trend as Gs; as such, Pn and Tr remained the highest in the T4-treated plants. Among them, the Pn of the T4-treated plants was 85%, 68%, 19%, 124%, and 124% higher than that in T1, T2, T3, CK1, and CK2, and Tr was 53%, 21%, 12%, 61%, and 93% higher than that in T1, T2, T3, CK1, and CK2, respectively. The above results demonstrated that the photosynthetic capacity of the plant leaves under different heating treatments was increased when heating was applied to the root zone, where the net photosynthetic rate of the plant leaves under the T4 heating treatment was the highest, thus improving photosynthesis to produce more organic matter for the plant’s growth.
Figure 6.
Effect of different heating treatments on photosynthetic parameters of cucumber leaves. Note: different lowercase leters in the same column in the figure indicate that the difference between different treatments reaches asignificant level of p < 0.05.
3.6. PCA Analysis and Parameter Assessment
Evident separations among all the treatments were found after the PCA analysis of the root temperature, growth characteristics, and yield-related parameters (Figure 7). PC1 and PC2 explained 57.6% and 10.1% of the variation, respectively, and together these two variables explained 67.7% of the variation. AC, GS, PN, SD, VC, PH, YD, FS, SA, SL, TA, SP, NC, and RT had higher weights in PC1 than in PC2, while TR and FR had higher weights in PC2 than in PC1. T2 and T4 had different weights in PC2, compared to T1, T3, CK1, and CK2. No significant differences were found in the weights of all the treatments for PC2.
Figure 7.
Principal component (PC) analysis of the relationships among root zone temperature, plant growth, and fruit quality yield. The direction and length of arrows indicate the correlations and their strengths, respectively. Bars represent standard errors. RT, root temperature; PH, plant height; SD, stem diameter; SL, leaf; SP, SPAD; SA, leaf area; PN, photosynthetic rate; AC, organic acid; TA, total soluble sugar; NC, nitrate content; VC, vitamin C; FS, fresh shoot weight; FR, fresh root weight; YD, yield.
From Figure 7, we can see that the majority of the heating treatments were distributed in the positive half-axis of PC1, while the growth and photosynthetic parameters, quality, and the yield were also distributed in the positive half-axis of PC1, indicating that these parameters were positively correlated with the heating treatments. The analysis demonstrated that the root zone temperature (RT) was significantly correlated with the plant height, stem thickness, and the leaf area (p < 0.01), and that the root zone temperature was significantly correlated with the soluble solids, fresh shoot weight, photosynthetic rate, and the stomatal conductance (p < 0.05). In particular, T2 and T4 had significant effects on the growth, photosynthetic parameters, quality, and the yield.
3.7. Root Zone Heating Economic Benefit Analysis
According to a comparative economic analysis of the inputs and energy consumption of the different root zone heating equipment (Table 5), the highest input cost of the soil-ridged sand-embedded was RMB 3600, 1.8 times higher than that of the water heating system and 1.44 times higher than that of the water-curtain and floor-heating system. Meanwhile, the lowest input cost of the water heating system was RMB 2000; the highest daily operating cost of the water heating system was RMB 42.3/day, which was 3.6 times higher than that of the water-curtain and floor-heating system. A comprehensive analysis indicated that the heating time in the root zone of the solar greenhouse was 90 days, while the soil-ridged sand-embedded treatment is a one-time input, using the different specific heat capacities of the soil and sand for the heat exchange, and no other energy is needed for the operation. The water heating system is watered once every 3 days (5 h) for a total of 30 days, costing 1269 RMB, while the water curtain heat collection–floor heating system is run for 9 h per day, costing 1046.92 RMB. Therefore, the water-curtain and floor-heating system is the least expensive for winter production.
Table 5.
Economic comparison of different root zone heating equipment.
4. Discussion
A plant is a unified whole composed of various organs and, although the various organs differ in their morphological structure and function, their growth is mutually constrained and interdependent, commonly referred to as a correlation [22]. The above- and below-ground parts, as the two main parts of the plant body, are also correlated. The root system in the lower part of the ground is the main organ of the plant for water and nutrient uptake, while the above-ground part provides sugars, vitamins, and other substances required for root growth [23]. The results of this experiment indicated that different warming treatments had an enhancing effect on the above-ground growth potential, the dry mass of the lower part and the dry mass of the whole plant of the cucumber, where all the growth characteristics were higher under the warming treatments than in the controls. Abnormal changes in both the air temperature and root zone temperature can have adverse effects on the plants. When the temperature and root zone temperature exceed the tolerance threshold of a plant, the photosynthetic process can be inhibited, and it may even cause damage [24]. The successful use of grafted seedlings in production is also due to the rootstock’s deep root system and high absorption capacity, which provides more water and nutrients for above-ground growth experiments and justifies the increase root zone temperature by different heating methods [25,26]. The results of our experiment showed that the SPAD values, net photosynthetic rate, transpiration rate, and stomatal conductance of the leaves of cucumber seedlings showed a positive correlation with the root zone temperature. As the root zone temperature increased, these photosynthetic characteristics also showed an increasing trend (Figure 6).
The T1 treatment is a heat exchange method following the principle that the specific heat capacities of sand and soil are different, and the input cost and energy consumption are relatively low, compared with other heating treatments; however, if the internal temperature of the greenhouse does not reach the appropriate temperature for the normal growth of crops, it will be difficult to meet the normal growth of crops by relying only on the soil to receive solar radiation without its own exothermic device, and the insulation effect has difficulty in facilitating the normal growth of crops, especially at night, when the temperature may drop by about 9 °C. The T2 and T3 treatments increase the root zone temperature by heating the irrigation water—which is an intermittent heating method—only during the day, and the input cost and energy consumption of these were the highest among all the heating treatments. However, this type of heating increases the soil’s moisture, and water has a high specific heat capacity; thus, when the soil receives solar radiation, it has a good effect on increasing the soil’s temperature during the day. T3 involves sand cultivation, where sand absorbs heat and dissipates it quickly, such that the heat preservation effect at night was obviously worse than that under T2. The T4 treatment uses a water curtain heat collection–floor heating system, which operates on the principle that the system utilizes water circulation to collect, transform, and store part of the solar energy that reaches the back wall of the greenhouse during the day into the deep soil at the bottom of the plant cultivation tank and in the floor heating pipe, in order to release the stored heat at night. This heating method not only has the good effect of increasing the temperature during the day, but also has a high insulation effect at night, releasing the heat slowly and improving the ability of the soil to resist low temperatures overnight.
From the results of our experiment, we found that the sand heating method embedded in the soil ridges increased the ground temperature, compared to the control, which indicates that the sand can play a positive role in the daytime heating process; however, a heating method using a water curtain heat collection–floor heating system combined with sand cultivation was not involved in this test, and its heating effect is not yet clear. The advantages and disadvantages of different heating methods were derived from the conclusion of this test, and optimal heating treatments based on the methods described above need to be further developed.
5. Conclusions
- (1)
- The T1 treatment increased the average soil temperature at 10 cm below ground throughout the day by 11.4–21.4 °C, T2 by 12.1–22.4 °C, T3 by 11.5–23.1 °C, and T4 by 12.3–21.4 °C. Thus, it seems that the T4 treatment (water curtain–floor heating system) had the best warming effect on the root zone temperature.
- (2)
- Compared with CK1 and CK2, the different warming treatments improved the plant height, stem thickness, leaf area, fruiting number, chlorophyll, and plant root morphological parameters of cucumber, with the T2 treatment (water-heated soil cultivation) showing the most obvious performance enhancement.
- (3)
- The chlorophyll content and photosynthetic rate under T2 and T4 treatments were increased significantly compared with CK1 and CK2, and the photosynthetic capacity was notably enhanced.
- (4)
- Using different heating methods increased the soluble sugars, soluble solids, and vitamin C content in cucumber fruit, and the cucumber yield was also further increased. In particular, the results for T2 and T4 differed from CK1 and CK2 at significant levels.
- (5)
- The results of this study indicated that different root zone heating methods are effective for increasing the root zone temperature, thus enhancing the plant growth characteristics and photosynthetic characteristics, as well as the fruit yield and quality. T4 played a good role in increasing the yield and improving the quality, while having the lowest cost, in terms of energy consumption. Therefore, T4 was found to be the most suitable for the safe over-wintering cultivation of cucumber.
Author Contributions
All the authors contributed to this research. The design of the experiment was executed by X.W. and X.Z.; X.B.: conceptualization; data curation; formal analysis; investigation; supervision; and writing—original draft. X.W.: conceptualization; investigation; formal analysis; resources; funding acquisition; supervision; and writing—review and editing. X.Z.: conceptualization; investigation; project administration; resources; formal analysis; and supervision. All authors have read and agreed to the published version of the manuscript.
Funding
This work was supported by Ningxia Hui Autonomous Region Key R&D Program Project (2021BBF02026).
Data Availability Statement
The data presented in this study are available, upon reasonable request, from the authors.
Acknowledgments
This project was supported by the College of Agriculture, Ningxia University. We also thank all the trial participants for their contributions to this paper.
Conflicts of Interest
The authors declare no conflict of interest.
References
- Tong, G.; Christopher, D.M.; Li, T.; Wang, T. Passive solar energy utilization: A review of cross-section building parameter selection for Chinese solar greenhouses. Renew. Sustain. Energy Rev. 2013, 26, 540–548. [Google Scholar] [CrossRef]
- Zhang, X.; Lv, J.; Dawuda, M.M.; Xie, J.; Yu, J.; Gan, Y.; Li, J. Innovative passive heat-storage walls improve thermal performance and energy efficiency in Chinese solar greenhouses for non-arable lands. Sol. Energy 2019, 190, 561–575. [Google Scholar] [CrossRef]
- Singh, J.; Salaria, A.; Kaul, A. Impact of soil compaction on soil physical properties and root growth: A review. Int. J. Food Agric. Vet. Sci. 2015, 5, 23–32. [Google Scholar]
- Peng, N.; Wang, K.F.; Xie, X.L.; Hu, S. Effects of different utilization model on soil water redistributions, runoff and nutrition loss on red sloping lands. Res. Soil Water Conserv. 2002, 15, 53–55. [Google Scholar]
- He, Y.; Yang, J.; Zhu, B.; Zhu, Z. Low root zone temperature exacerbates the ion imbalance and photosynthesis inhibition and induces antioxidant responses in tomato plants under salinity. J. Integr. Agric. 2014, 13, 89–99. [Google Scholar] [CrossRef]
- Clarke, S.J.; Lamont, K.J.; Pan, H.Y.; Barry, L.A.; Hall, A.; Rogiers, S.Y. Spring root-zone temperature regulates root growth, nutrient uptake and shoot growth dynamics in grapevines. Aust. J. Grape. Wine. R. 2015, 21, 479–489. [Google Scholar] [CrossRef]
- Lam, V.P.; Kim, S.J.; Bok, G.J.; Lee, J.W.; Park, J.S. The effects of root temperature on growth, physiology, and accumulation of bioactive compounds of Agastache rugosa. Agriculture 2020, 10, 162. [Google Scholar] [CrossRef]
- Aidoo, M.K.; Sherman, T.; Lazarovitch, N.; Fait, A.; Rachmilevitch, S. Physiology and metabolism of grafted bell pepper in response to low root-zone temperature. Funct. Plant. Biol. 2019, 46, 339–349. [Google Scholar] [CrossRef]
- Li, Y.; Yue, X.; Zhao, L.; Xu, H.; Liu, X.; Li, T. Effect of north wall internal surface structure on heat storage-release performance and thermal environment of Chinese solar greenhouse. J. Build. Phys. 2022, 45, 507–527. [Google Scholar] [CrossRef]
- He, X.; Wang, P.; Song, W.; Wu, G.; Ma, C.; Li, M. Experimental study on the feasibility and thermal performance of a multifunctional air conditioning system using surplus air thermal energy to heat a Chinese solar greenhouse. Renew Energy 2022, 198, 1148–1161. [Google Scholar] [CrossRef]
- Xia, T.; Li, Y.; Wu, X.; Fan, Z.; Shi, W.; Liu, X.; Li, T. Performance of a new active solar heat storage–release system for Chinese assembled solar greenhouses used in high latitudes and cold regions. Energy Rep. 2022, 8, 784–797. [Google Scholar] [CrossRef]
- Xu, W.; Guo, H.; Ma, C. An active solar water wall for passive solar greenhouse heating. Appl. Energy 2022, 308, 118270. [Google Scholar] [CrossRef]
- Wang, Z.W.; Li, M.; Liu, W.Q.; Liu, Y.F. Study on optimization design of water curtain heat collection-ground heating heating system in desert greenhouse in South Xinjiang. Agric. Eng. Technol. 2020, 40, 42–46. [Google Scholar] [CrossRef]
- Fick, G.W.; Holt, D.A.; Lugg, D.G. Environmental physiology and crop growth. Alfalfa Alfalfa Improv. 1998, 29, 163–194. [Google Scholar] [CrossRef]
- Escuredo, O.; Seijo, M.C.; Fernández-González, M.; Iglesias, I. Effects of meteorological factors on the levels of Alternaria spores on a potato crop. Int. J. Biometeorol. 2011, 55, 243–252. [Google Scholar] [CrossRef] [PubMed]
- Tryon, P.R.; Chapin, F.S., III. Temperature control over root growth and root biomass in taiga forest trees. Can. J. Forest Res. 1983, 13, 827–833. [Google Scholar] [CrossRef]
- Kang, E.X.; Luo, J.J.; Qiu, H.Z.; Chen, N.L.; Su, D.; He, B.L. Effects of low temperature and light stress on gas exchange and chlorophyll fluorescence of pumpkin seedlings. In Advanced Materials Research; Trans Tech Publications Ltd.: Bäch, Switzerland, 2012; Volume 450, pp. 537–542. [Google Scholar] [CrossRef]
- He, F.; Hou, Y.; Li, K.; Wei, X.; Liu, Y. Investigation of a root zone heating system for greenhouse seedling and its effects on micro-environment. Int. J. Agric. Biol. Eng. 2020, 13, 47–52. [Google Scholar] [CrossRef]
- Elwell, D.L.; Roller, W.L.; Short, T.H. Heat and moisture transfer in heated greenhouse soils and floors. In Proceedings of the III International Symposium on Energy in Protected Cultivation, Columbus, OH, USA, 21–26 August 1983; Volume 148, pp. 377–384. [Google Scholar] [CrossRef]
- Li, Z.K.; Fu, G.H.; Liu, W.K. Diurnal Temperature Changes of Root Zone and Lateral Side of Four Soil-Ridged Substrate-Embedded Cultivation Ridges Planted Sweet Pepper in Chinese Solar Greenhouse. J. Agric. Sci. Tech-Iran. 2018, 20, 108–115. [Google Scholar] [CrossRef]
- Hu, J.; Fan, G. CFD simulation of heating process of greenhouse irrigation water in wintering period. Appl. Eng. Agric. 2017, 33, 575–586. [Google Scholar] [CrossRef]
- Anderegg, W.R. Spatial and temporal variation in plant hydraulic traits and their relevance for climate change impacts on vegetation. New Phytol. 2015, 205, 1008–1014. [Google Scholar] [CrossRef]
- Rasmann, S.; Bennett, A.; Biere, A.; Karley, A.; Guerrieri, E. Root symbionts: Powerful drivers of plant above-and belowground indirect defenses. Insect Sci. 2017, 24, 947–960. [Google Scholar] [CrossRef] [PubMed]
- Xia, Z.Q.; Si, L.Y.; Jin, Y.; Fu, Y.F.; Wang, Q.; Lu, H.D. Effects of root zone temperature increase on physiological indexes and photosynthesis of different genotype maize seedlings. Russ. J. Plant Physl. 2021, 68, 169–178. [Google Scholar] [CrossRef]
- Ahn, S.J.; Im, Y.J.; Chung, G.C.; Cho, B.H.; Suh, S.R. Physiological responses of grafted-cucumber leaves and rootstock roots affected by low root temperature. Sci. Hortic. 1999, 81, 397–408. [Google Scholar] [CrossRef]
- Bayoumi, Y.; Abd-Alkarim, E.; El-Ramady, H.; El-Aidy, F.; Hamed, E.S.; Taha, N.; Rakha, M. Grafting improves fruit yield of cucumber plants grown under combined heat and soil salinity stresses. Horticulturae 2021, 7, 61. [Google Scholar] [CrossRef]
Publisher’s Note: MDPI stays neutral with regard to jurisdictional claims in published maps and institutional affiliations. |
© 2022 by the authors. Licensee MDPI, Basel, Switzerland. This article is an open access article distributed under the terms and conditions of the Creative Commons Attribution (CC BY) license (https://creativecommons.org/licenses/by/4.0/).






