Abstract
Salicylic acid (SA) is one of the strongest candidates to be used as a salinity moderator. A hydroponic experiment was conducted to evaluate the effect of foliar application of SA (0.00, 0.75 and 1.50 mM) on growth, productivity, and some physiological and biochemical parameters of French beans (Phaseolus vulgaris L.) continuously exposed to three NaCl levels (0, 50 and 100 mM). NaCl treatment significantly reduced vegetative growth parameters (between 16–50%), membrane stability (10–15%), relative water content (25–31%), chlorophyll content (21–42%), macro- and micronutrient levels (13–52% and 4–49%, respectively), growth promoters (auxins, gibberellins, and cytokinins; 11–28%), and yield of green pods (22–39%), while the phenolic compounds contents (35–55%), total antioxidant capacity (34–51%), proline (60–100%) and malondialdehyde (18–51%) contents, peroxidase activity (35–41%), Na+ (122–152%) and Cl− (170%) ions and abscisic acid (20–30%) contents were significantly increased compared to the non-salt-stressed controls. Foliar application of SA at 0.75 mM was able to overcome the adverse effects of NaCl stress to variable extent, which allowed for close to 90% of the yield of control plants to be reached. In conclusion, this study demonstrated that foliar spraying of SA helped to reduce the harmful effects of NaCl stress on French bean via regulation of some physiological and biochemical processes. This could be the basis of an effective and low-cost strategy to cope with salt stress.
Keywords:
French bean; Phaseolus vulgaris; salicylic acid; salinity; antioxidant; hormones; growth; yield 1. Introduction
Salinity is considered as one of the most serious global problems particularly in the arid and semi-arid regions of the world which affects many metabolic processes of plants and reduces the growth and productivity of many crops [1]. Over 400 million hectares are affected by either salinity or sodicity, which are over 6% of the world land area [2]. Approximately 20% of total cultivated and 33% of irrigated agricultural lands are affected by salinity [1,2]. Salinity causes adverse effects at molecular, biochemical, and physiological levels, negatively affecting crop productivity [3]. Increasing concentrations of Na+ and Cl− in the rhizosphere decrease the soil water potential [4] resulting in drought or osmotic stress [5] and subsequently suppress the uptake of essential mineral nutrients such as N, P, K, Ca and Mn [6,7]. Reactive oxygen species (ROS) are also generated by salt stress, which causes oxidative stress in plants [8]. Superoxide anion radical, hydrogen peroxide, hydroxyl radical, and singlet oxygen can cause serious damage on proteins, nucleic acids, and membrane lipids [9], damage chloroplasts [10], and degrade the photosynthetic pigments and reduce photosynthesis which is considered as one of the most important processes responsible for reduced plant growth and productivity [11].
However, plants are capable of developing various mechanisms to counteract these negative effects of salt and protect their cells against oxidative damage [12]. Moreover, it is possible to enhance these salt-acclimation mechanisms by the application of some plant growth regulators such as salicylic acid (SA) [13,14]. This phytohormone has been widely used as a salt stress-ameliorating compound in many crops (i.e., strawberry, tomato, soybean, cucumber, mustard, rice, barley, maize, among others) [14,15,16,17] as well as in model plants [18,19]. SA has been shown to play a key role in the regulation of important physiological processes including uptake of nutrients, photosynthesis, antioxidant defense system, carbohydrate and nitrogen metabolism upon salinity, which in turn provides plant protection against salt stress [13,14,20,21]. Recent omics studies reveled that SA induced the expression of genes involved in antioxidant metabolism, osmotic regulation, ionic homeostasis, and photosynthesis as well as the upregulation of proteins involved in signal transduction and defense response [21,22]. In addition, due to its biodegradability and low-cost, SA can be considered as one of the strongest candidates for salinity ameliorators [16,21]. However, most of the studies using exogenous SA have been performed by applying SA prior the stress treatment, but few studies analyze the effects of SA on salt-stressed plants.
The present study aimed to study the effects of the exogenous application of SA on growth, productivity, and some physiological and biochemical parameters in salt-stressed French bean (Phaseolus vulgaris L.), with the attempt to improve its salinity tolerance. This species belongs to the Fabaceae family and is considered one of the most important vegetable crops, globally consumed for its high content of proteins, minerals, and vitamins [23]. French bean is a salt-sensitive plant [24], and its cultivation is a challenge especially in arid and semiarid regions [25]. Yield losses caused by salinity have led to the development of new approaches to alleviate them. Among them, apart from transgenesis, the use of both beneficial microorganisms and natural extracts (or compounds isolated from them) seems to be the most immediate and sustainable methods that can be applied in a near future on French bean plants [26,27,28].
Due to the relevance of this crop, there are many studies dealing with the effects of salt stress on different aspects of plant performance. However, the number of works that simultaneously study the impact of this stressor on biochemistry, physiology, and productivity parameters is scarce. Thus, the multi-level approach proposed in the present study would provide deeper insight into the underlying mechanisms that make SA a valuable tool for enhancing crop productivity under salinity conditions.
2. Materials and Methods
2.1. Plant Material, Experimental Design and Growth Conditions
Hydroponic experiments were conducted at Polytechnical University of Cartagena (Spain) and Ain Shams University (Egypt) in two consecutive years. The seeds of French beans (Phaseolus vulgaris L. cv. Saxa) were purchased from Gartenland GmbH Aschersleben (Germany) and were germinated between two rolled filter papers with 10 mL of distilled water at 24 ± 1 °C in dark condition. After the emerging radicles elongated to ~10 mm, seeds were transferred to plastic beakers (diameter, 7.1 cm; height, 9.5 cm) filled with 250 mL of Hoagland’s nutrient solution (HNS) (H2395, Sigma-Aldrich, Madrid, Spain) with an aeration system. Containers were completely covered with aluminum foil to keep out light from the hydroponic culture. Plants were kept in an artificially illuminated plastic-tunnel with LED’s Grow Ecolux 10 LED panels (color distribution: 71.5% red, 14.5% blue, 3.5% yellow, 7% white 3500 K, and 3.5% UV-A; Redován, Spain) with day/night temperatures of 30/25 ± 2 °C, 12 h photoperiod (PAR 1300 μmol m−2 s−1 at 120 cm from LED panels), and relative humidity of 75 ± 5%.
At the appearance of the first trifoliate leaf, three salinity treatments were arranged: control plants supplied by HNS; plants supplied by HNS enriched with 50 mM NaCl; and plants supplied by HNS enriched with 100 mM NaCl. The selection of NaCl concentrations was based on previous studies showing that NaCl concentrations greater than 100 mM were lethal to French bean plants (data not shown). Solutions were renewed weekly.
SA (247588; purity ≥ 99%; Sigma-Aldrich, Madrid, Spain) was dissolved in a minimum amount of ethanol and then added drop by drop to water to give a final 1:1000 (v/v) ethanol/water ratio. The pH values of the solutions were set at 6.5–7.0 using 100 mM NaOH. A surfactant, Tween 20 (0.5%), was added to both the control (water) and SA treatment solutions. Seven days after exposure to salt stress, three SA treatments (0.00, 0.75 and 1.50 mM) were applied as a foliar application. These SA concentrations were chosen based on previous studies. The volume of solution sprayed per plant in each application was 100 mL, until the complete coverage of the plant foliage. SA was applied on the leaves by spraying them every week. Each experiment was carried out under a completely randomized design with three replicates and each replicate contained five plants.
2.2. Data Recorded
Plant samples were collected four weeks after the start of salt treatments and the vegetative growth traits assessed. Relative water content, membrane stability index, phenolic compounds, total antioxidant capacity, chlorophyll and proline contents, lipid peroxidation degree, peroxidase activity, some macro- and micro-nutrients and endogenous hormones levels were determined on fully expanded leaves.
2.2.1. Vegetative Growth
Root and shoot lengths were measured using a meter scale. At the end of the experiments, the plants were weighed to determine their fresh weight (FW), and then, oven-dried (80 °C for 24 h) to record their dry weight (DW). The average leaf area (cm2), defined as the relationship between the area unit and the fresh weight of the leaves [29] was calculated using the following equation:
2.2.2. Relative Water Content of Leaves
Leaf relative water content (LRWC) was determined according to [30] using the second leaf of the plants. Fresh weight (FW) was immediately recorded, and then leaves were immediately immersed in deionized water for 4 h at room temperature under constant light to obtain the turgid weight (TW). Then, the samples were dried at 80 °C for 24 h to record dry weight (DW). LRWC was calculated using the following equation:
2.2.3. Leaf Membrane Stability Index (LMSI)
LMSI was basically determined according to [30]. Foliar disks (200 mg) were immersed in two sets of glass tubes filled with 10 mL of distilled water. The first set was kept in a water bath at 40 °C for 30 min and then the electrical conductivity of the water (C1) was determined at room temperature. The second one was incubated at 100 °C for 15 min and after cooling to room temperature the electrical conductivity of the water (C2) was measured. MSI was calculated using the following equation:
2.2.4. Determination of Total Soluble Phenol, Flavonoid, Flavanol, and Hydroxycinnamic Acid Contents
The content of total soluble phenols (TSP), flavonoids, flavanols, and hydroxycinnamic acids (HCAs) were determined spectrophotometrically using a 96-plate reader (Multiskan™ GO, Thermo Scientific, Waltham, MA, USA) as described by [31]. Briefly, TSP were determined using the Folin–Ciocalteu method and gallic acid (0–1000 µM) as the standard. The results were expressed as gallic acid equivalents per gram FW. Total soluble flavonoid content was assayed using the aluminum chloride method, and the results were expressed as rutin equivalents per gram FW. Total soluble flavanols were determined using the DMAC reagent, and the results were expressed as catechin equivalents per gram FW. HCAs were assessed using the Arnow’s reagent, and the results were expressed as caffeic acid equivalents per gram FW.
2.2.5. Total Antioxidant Capacity
The total antioxidant capacity was evaluated by three different methods: the ABTS·+ [(2,2′-azino-bis(3-ethylbenzothiazoline-6-sulphonate)], DPPH· (1,1-diphenyl-2-picrylhydrazyl radical), and ferric reducing antioxidant power (FRAP) assays according to [32] but adapted for use on a plate reader spectrophotometer (Multiskan™ GO, Thermo Scientific, Waltham, MA, USA). For the leaf methanolic extracts, absorbances at 734, 517, and 593 nm (for ABTS, DPPH and FRAP assays, respectively) were read after a 3 h (ABTS and DPPH assays) or a 30 min (FRAP assay) incubation period at room temperature in the dark. As standards, gallic acid and trolox in 8 different concentrations (50 to 3000 µM) were used for the ABTS and DPPH assays. The antioxidant capacity was expressed as both gallic acid and trolox equivalents per gram FW. The FRAP assay was expressed as μmol Fe(II) per gram fresh weight. A standard curve of FeSO4·7H2O (50–5000 µM) was used for quantification.
2.2.6. Measurement of Chlorophylls
Chlorophylls (chl) were extracted with absolute methanol several times until the extract became colorless. The levels of chl a, chl b, and total chlorophylls were calculated, as previously described [31].
2.2.7. Determination of Proline and Lipid Peroxidation
Proline content was determined by the acid-ninhydrin method according to [31]. The absorbance of the reaction media at 520 nm was measured using a Multiskan™ GO Microplate Spectrophotometer (Thermo Scientific, Waltham, MA, USA) using L-proline as a standard (0–1 mM). The proline concentration in leaves was calculated from the standard curve and expressed as μmol proline per gram FW.
Lipid peroxidation was assayed using the thiobarbituric acid reactive method according to [31]. The absorbance of the reaction media containing the samples was measured at 532, 440, and 600 nm, the last two wavelengths to correct for non-specific absorbance. Values of lipid peroxidation in leaves were expressed as µmol malondialdehyde (MDA) per gram fresh weight. The MDA concentration was calculated using an extinction coefficient of 155 mM−1 cm−1.
2.2.8. Extraction and Assay of Peroxidase Activity
For the extraction of soluble guaiacol peroxidase activity (E.C. 1.11.1.7), powdered shoots (0.6 g) stored in liquid nitrogen were homogenized at 4 °C following the procedure described in [33]. Peroxidase activity was determined at 30 °C according to [34] using tetramethylbenzidine.HCl (ε652 = 39 mM−1 cm−1) as electron donor.
2.2.9. Analysis of Leaf Macro- and Micronutrients
For elemental analysis, the fourth upper leaf of plants was sampled at the fourth week after the start of salt treatment. Samples were oven-dried at 70 °C until constant weight and then, were ground and sieved to less than 1 mm. Then, the samples (0.1 g) were digested as described by [30] using a mixture of sulfuric acid (98%) and hydrogen peroxide (30%). These digests were further used to assay all the studied elements using standard methods. Briefly, total nitrogen and phosphorus contents in the samples were measured using the Kjeldahl and the ascorbic acid methods, respectively [30]. Potassium, calcium, iron, manganese, sodium, and chloride contents were determined following the procedure described by [35].
2.2.10. Determination of Endogenous Hormones
For estimation of endogenous hormones, 5 g fresh samples of the youngest fully expanded leaf, at 4 weeks after salt treatment, were frozen in liquid nitrogen and stored at −20 °C until analysis. Extraction and quantification of the endogenous hormones (auxins, gibberellins, cytokinins, and abscisic acid) were performed using the method described by [36].
2.2.11. Yield of Green Pods
The first harvest of pods was 50 days from the seed-sowing date. The number of pods per plant and the pod yield were recorded using green pods harvested during the growing season.
2.3. Statistical Analysis
All data from experiments performed at each location were combined and analyzed using the CoStat package program for Windows (Version 6.303; CoHort Software, Monterey, CA, USA). An analysis of variance on all data in this work was performed and, when appropriate, the means were compared by Duncan’s Multiple Range Test. All statistical determinations were made at p ≤ 0.05.
3. Results
3.1. Plant Growth Traits
As shown in Figure 1, the growth traits (root length, shoot length, number of leaves, leaf area, plant fresh weight and plant dry weight) of French bean plants were significantly reduced with increasing concentrations of NaCl reaching their minimum values, about 50% reduction, at 100 mM NaCl compared to the non-salt control plants. Under non-saline conditions, foliar application of SA at 0.75 mM tends to enhance (~1.1-fold) the above-mentioned traits.
Figure 1.
Effect of foliar application of salicylic acid on some vegetative growth traits of French bean (Phaseolus vulgaris L., cv. Saxa) plants grown at various NaCl concentrations. Vertical bars indicate the LSD value, and different letters in each figure indicate significant difference in mean values as determined by Duncan’s Multiple Range Test at p ≤ 0.05.
Under saline conditions, foliar application of SA at both concentrations (0.75 mM and 1.5 mM) significantly increased root length (~1.3-fold and 1.2-fold, in comparison with their respective controls) and leaf area (~1.2-fold and 1.3-fold, respectively) under 50 mM NaCl. On the other hand, SA spraying at 0.75 mM resulted in significant increases in all growth parameters compared to the water-sprayed plants. Except for leaf area, the combination of 100 mM NaCl and SA at 1.50 mM had deleterious effects on all vegetative growth parameters analyzed.
3.2. Leaf Relative Water Content and Leaf Membrane Stability Index
Salt exposure resulted in a substantial decrease in LRWC, about 25% and 30% reduction at 50 and 100 mM NaCl, respectively, as compared to plants grown under control conditions (Figure 2). LMSI also decreased to a lesser extent upon NaCl treatments in comparison to plants grown under control conditions (Figure 2).
Figure 2.
Effect of foliar application of salicylic acid on leaf relative water content and membrane stability index of French bean (Phaseolus vulgaris L., cv. Saxa) plants grown at various NaCl concentrations. Vertical bars indicate the LSD value, and different letters in each figure indicate significant difference in mean values as determined by Duncan’s Multiple Range Test at p ≤ 0.05.
Foliar spraying of SA at both concentrations under control conditions significantly increased these parameters compared to the control plants with SA at 0.75 mM giving the highest significant values. Under saline conditions, the same trend was observed for LRWC. On the other hand, spraying SA at 0.75 mM significantly increased LMSI compared to the water-sprayed plants grown in the salt stress conditions.
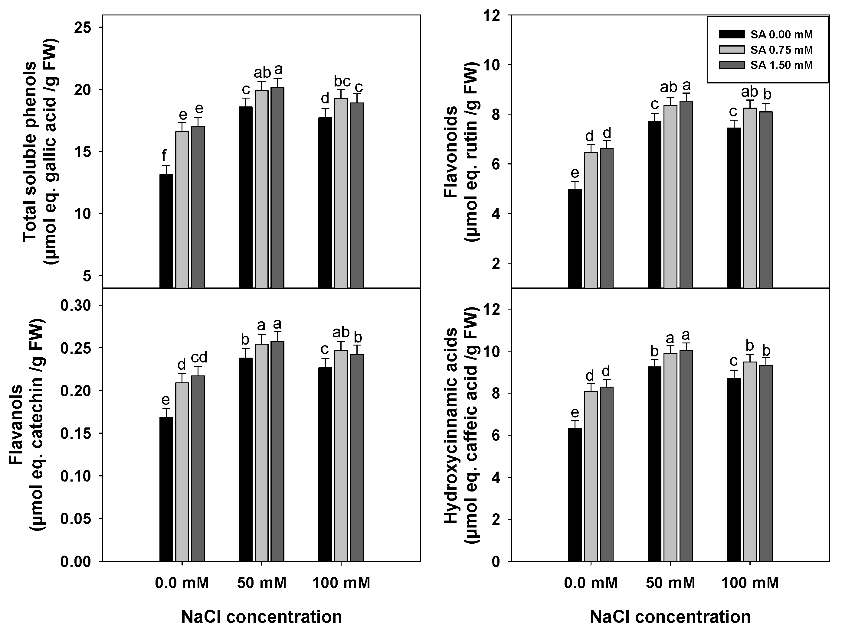
3.3. Levels of Soluble Phenolic Compounds
Plants grown under NaCl conditions showed significant increases (~1.4-fold) in the content of all the phenol groups analyzed compared to the non-salt control plants (Figure 3). Foliar application of SA at the two concentrations used in this study under non-saline conditions provoked an increase (~1.3-fold) in the levels of all the phenol groups analyzed compared to water-sprayed control. Combined treatments led to a further increase in the accumulation of phenolic compounds, particularly in the content of flavonoids, which rose about 1.7-fold over the basal values.
Figure 3.
Effect of foliar application of salicylic acid on total soluble phenols, flavonoids, flavanols and hydroxycinnamic acid in leaves of French bean (Phaseolus vulgaris L., cv. Saxa) plants grown at various NaCl concentrations. Vertical bars indicate the LSD value, and different letters in each figure indicate significant difference in mean values as determined by Duncan’s Multiple Range Test at p ≤ 0.05.
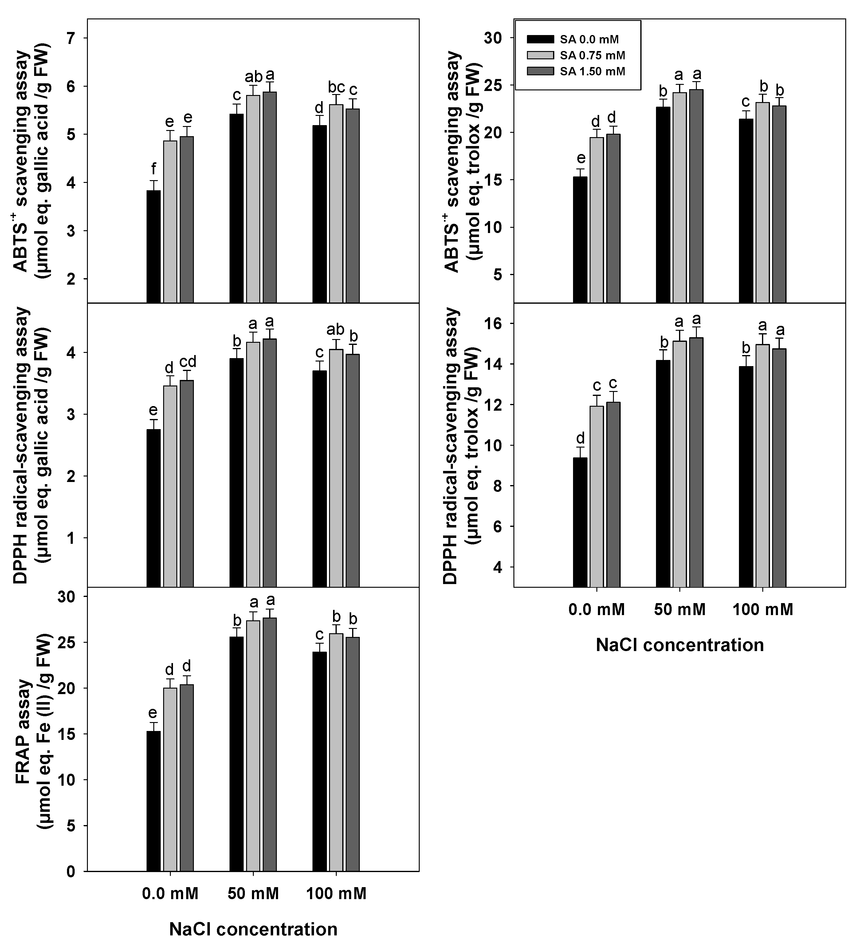
3.4. Total Antioxidant Capacity
Measurements of the total antioxidant capacities revealed that both ABTS and FRAP assays showed the highest antioxidant capacity (Figure 4). Moreover, Figure 4 clearly showed that plants grown in NaCl solutions exhibited significant increases in total antioxidant capacity (up to ~1.7-fold in FRAP assay) in leaves of French bean plants compared to the controls. Under non-saline conditions, application of SA at the concentrations used significantly enhanced the total antioxidant capacity in control plants. Under NaCl stress (50 and 100 mM), foliar application of SA at both concentrations enhanced the total antioxidant capacity in comparison to the water-sprayed plants.
Figure 4.
Effect of foliar application of salicylic acid on total antioxidant capacity in leaves of French bean (Phaseolus vulgaris L., cv. Saxa) plants grown at various NaCl concentrations. Vertical bars indicate the LSD value, and different letters in each figure indicate significant difference in mean values as determined by Duncan’s Multiple Range Test at p ≤ 0.05.
3.5. Chlorophyll and Proline Contents, Levels of Lipid Peroxidation and Peroxidase Activity
As shown in Figure 5, salt exposure resulted in substantial decrease in the content of chl a and total chlorophylls (>20% and >45% reduction at 50 and 100 mM NaCl, respectively). Foliar application of SA at 0.75 mM under non-saline conditions led to a slight rise (~1.1-fold) in the content of chlorophylls compared to the control plants. Under 50 mM NaCl, 0.75 mM SA significantly enhanced chlorophyll contents with respect to their respective controls, particularly the levels of chl b (~1.3-fold).
Figure 5.
Effect of foliar application of salicylic acid on chlorophyll content, proline, lipid peroxidation and peroxidase activity in leaves of French bean (Phaseolus vulgaris L., cv. Saxa) plants grown at various NaCl concentrations. Vertical bars indicate the LSD value, and different letters in each figure indicate significant difference in mean values as determined by Duncan’s Multiple Range Test at p ≤ 0.05.
Salt exposure also resulted in a dose-dependent increase in the foliar content of proline (~1.6-fold and 2-fold at 50 and 100 mM NaCl, respectively) as compared with the non-salt plants (Figure 5). Similarly, SA application under non-saline conditions significantly led to a rise in the leaf proline content (~1.2-fold and ~1.3-fold at 0.75 and 1.5 mM SA, respectively) compared to the water-sprayed plants. Under the saline conditions, SA at both concentrations provoked a marked increase in the proline content (~1.8-fold, and 2.1-fold, respectively) over the basal values.
Damage to the cell membrane was measured by monitoring MDA content, as a marker of lipid peroxidation. As shown in Figure 5, increasing NaCl concentrations resulted in significant increases in foliar MDA levels (~1.2-fold, and 1.5-fold, respectively) compared to the non-salt-stressed control, indicating a higher degree of lipid peroxidation due to salt stress. Under non-saline conditions, increasing SA concentrations significantly reduced MDA content compared to the water-sprayed plants. Under 50 mM NaCl, MDA accumulation was considerably reduced by the application of 0.75 mM SA, reaching values similar to those observed in non-salt control plants.
The activity of the antioxidant peroxidase enzyme in French bean leaves was also evaluated using the non-physiological substrate TMB (Figure 5). Peroxidase activity was significantly boosted (~1.4-fold) by NaCl treatments as compared to the non-salt-stressed plants. Similarly, under non-saline conditions spraying plants with SA at 0.75 or 1.5 mM significantly increased peroxidase activity (~1.3-fold) compared to the water-sprayed plants. The combination of NaCl stress and exogenous SA treatment tended to enhance peroxidase activity (~1.5-fold).
3.6. Leaf Macro- and Micronutrient Contents
Increasing NaCl doses led to a drastic decrease in the foliar content of N, P, K, Ca, Fe, and Mn, as well as increases in the content of Na and Cl compared to control plants (Figure 6). Under 100 mM NaCl, the P and Mn levels were up to 50% lower, the N and K, Ca and Fe concentrations dropped by 40%, and 25%, respectively; whereas Na and Cl levels rose more than 2.5-fold as compared to controls.
Figure 6.
Effect of foliar application of salicylic acid on some leaf macronutrients and micronutrients of French bean (Phaseolus vulgaris L., cv. Saxa) plants grown at various NaCl concentrations. Vertical bars indicate the LSD value, and different letters in each figure indicate significant difference in mean values as determined by Duncan’s Multiple Range Test at p ≤ 0.05.
Under saline conditions, the most prominent effect of foliar application of SA at both concentrations was the significant decrease of foliar Na and Cl contents as compared to their respective controls.
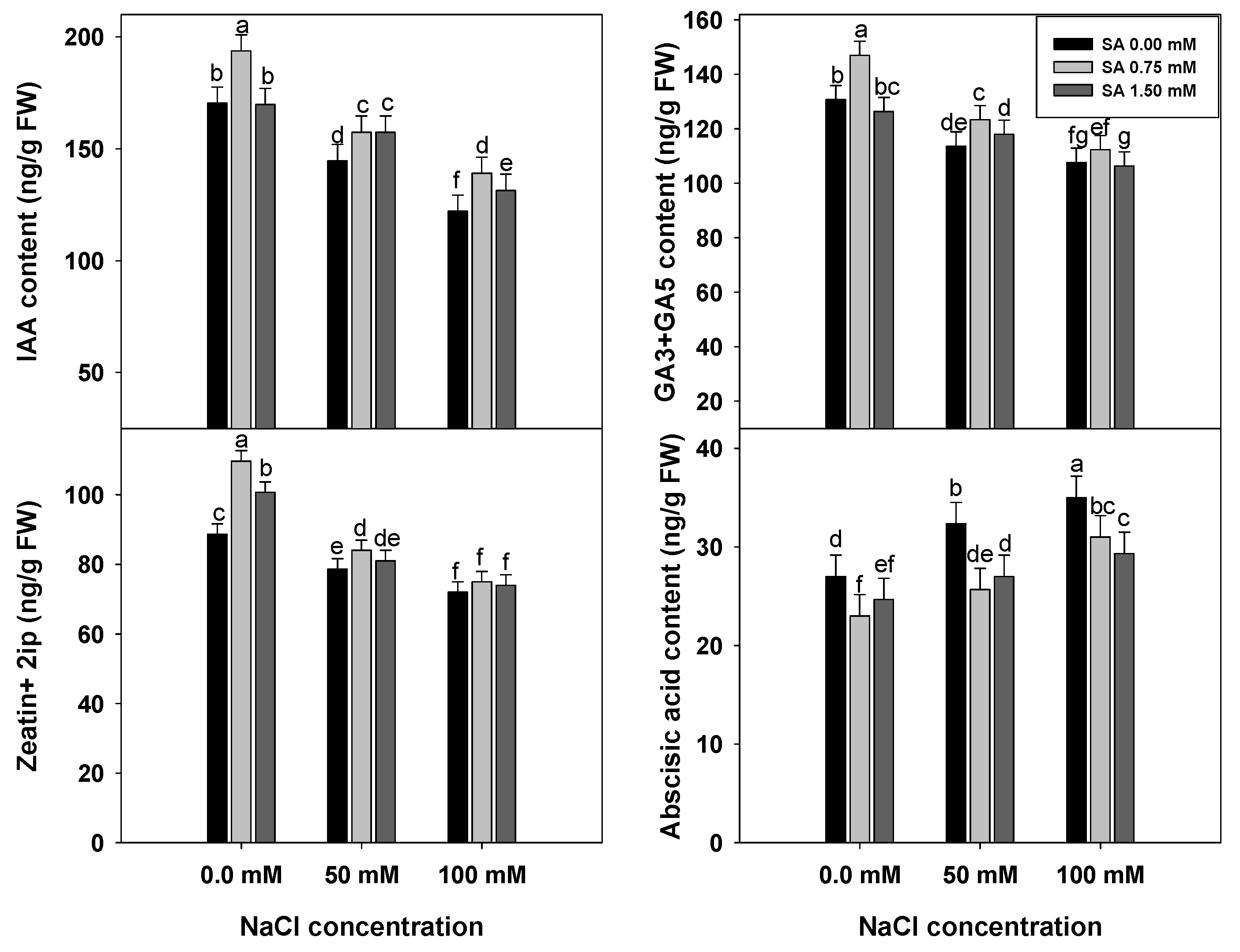
3.7. Endogenous Hormones
French bean plants grown under NaCl conditions exhibited a significant drop (between 11 and 28%) in the content of auxins, gibberellins, and cytokinins, as well as a significant increase in abscisic acid (ABA) content (20–30%) compared to the control plants (Figure 7). Under non-saline conditions, plants sprayed with SA at 0.75 mM exhibited the highest levels of growth-promoting phytohormones (auxins, gibberellins, and cytokinins), while plants sprayed with SA at 0.75 or 1.5 mM showed the lowest endogenous values of ABA in comparison with the water-sprayed plants. Under both NaCl conditions, SA at 0.75 mM enhanced the levels of growth-promoting hormones (~1.1-fold over their respective controls).
Figure 7.
Effect of foliar application of salicylic acid on the foliar endogenous level of hormones of French bean (Phaseolus vulgaris L., cv. Saxa) plants grown at various NaCl concentrations. Vertical bars indicate the LSD value, and different letters in each figure indicate significant difference in mean values as determined by Duncan’s Multiple Range Test at p ≤ 0.05.
3.8. Number of Pods and Yield of Green Pods
Plants grown in 50 mM and 100 mM NaCl solutions exhibited significant decreases in both the number of pods and yield of green pods (by 25% and 40%, respectively) compared to the control plants (Figure 8). Under non-saline conditions, the application of SA at 0.75 mM improved the number and yield of pods in comparison to the water-sprayed plants. Similarly, foliar application of SA at 0.75 mM was found to alleviate the salt-induced yield reduction (87% of the non-saline control plants). The combination of 100 mM NaCl and exogenous SA at 1.50 mM had deleterious effects on both yield parameters.
Figure 8.
Effect of foliar application of salicylic acid on number of pods and yield green pods of French bean (Phaseolus vulgaris L., cv. Saxa) plants grown at various NaCl concentrations. Vertical bars indicate the LSD value, and different letters in each figure indicate significant difference in mean values as determined by Duncan’s Multiple Range Test at p ≤ 0.05.
4. Discussion
The aim of this work was to analyze to what extent the foliar application of SA to French bean plants improves its tolerance to salt stress. Our results revealed that salt treatments significant decline growth performance at vegetative stage (Figure 1) as well as yield production (Figure 8) in French bean plants, which are in accordance with previous studies using the same plant species [37,38]. Here, we also observed that SA application at low dose (0.75 mM) not only enhanced plant growth traits under non-saline conditions, but also attenuated the negative effects of continuous exposure to salt stress. Thus, SA dose is a key factor influencing plant responses, as well as others, such as the method of application, plant species, plant developmental stage and environmental conditions [14,39].
In glycophyte species, the reduction in growth of salt-treated plants can be attributed to the excessive accumulation of Na+ and Cl− ions in the plant tissues, which lead to water and nutrient imbalances [3,4,7,12]. In this study, an increase in the foliar levels of Na+ and Cl− as well as a reduction in the concentration of K+, Ca2+, and Mn2+ were found (Figure 6). Absorption of Na+ ions is known to alter cation homeostasis and change the cytosolic K+/Na+ ratio, which is considered an important salt tolerant trait in plants [40]. In our study, foliar SA application notably reduced the accumulation of Na+ and Cl− ions and thereby, increased the K+/Na+ ratio required for proper cell functioning upon salt stress. Moreover, SA treatment also stimulated the accumulation of N and P in leaves of French bean plants (Figure 6). Similar beneficial effects of exogenous application of SA on ion homeostasis in salt-treated plants were also reported in maize [41], mungbean [42], cucumber [43], and Arabidopsis [18]. In addition, this latest study provides mechanistic evidence of the role of SA in maintaining membrane potential and thereby preventing K+ efflux through GORK (guard cell outward rectifying K+ channel) channels [18].
As mentioned, salinity reduces plant water availability affecting plant growth due to the osmotic effect of NaCl around the roots [4]. Increasing the content of compatible solutes has also been reported to confer salt stress tolerance [4,44]. Osmoprotectans are involved in maintaining cell turgor, providing the driving gradient for water uptake in salt-stressed plants [44]. In this study, the leaf relative water content decreased with increasing NaCl concentrations (Figure 2), which is in line with previous findings [45]. Exogenously applied SA enhanced the relative water content of French bean leaves under both non-saline and saline conditions (Figure 2). Several studies pointed that the SA-mediated improvement in leaf water content is mediated by the accumulation of osmolytes, particularly proline [21]. Here, a strong increase in the foliar levels of proline in SA-treated plants under salinity was observed (Figure 5). Apart from its role in osmotic adjustment, proline protects cell membranes and proteins from damage, acts as an antioxidant, and contributes to maintaining cellular redox balance [46]. Moreover, there is extensive evidence that SA upregulated proline biosynthesis enzymes and downregulated those involved in its catabolism [13]. Increased proline metabolism was reported to improve nitrogen assimilation and cell energy status and to alleviate imbalances in cellular redox by maintaining NADPH/NADP+ balance, which can be essential to withstand stress conditions [46].
It is well established that salinity can alter cell membrane integrity and chloroplast structure, as well as decrease chlorophyll content and photosynthetic rate [47]. In our study, foliar application of SA to salt-stressed French bean increased the chlorophyll contents (Figure 5). These results are consistent with studies on garden sage [48], faba bean [49], and mustard [50]. The SA-induced enhancement of chlorophyll contents in NaCl-stressed plants can be attributed to the stimulation of chlorophyll biosynthesis and/or reduction of their degradation. Taken together, these results suggest that the induction of chlorophyll content by SA application could be an important mechanism to counteract the salt stress injury in plants. Moreover, the observed enhancements of chlorophyll pigments in French bean leaves upon SA treatments could account for the recorded yield enhancement under saline conditions.
Strengthening the antioxidative networks is an important strategy to cope with salt-induced oxidative stress, which leads to overproduction of ROS [8,12,20,51,52]. Plants are equipped with large and complex enzymatic and non-enzymatic ROS-processing systems to protect themselves against ROS toxicity, as well as to use ROS as signaling molecules [52,53,54]. Phenolic compounds are a large group of secondary metabolites which showed high antioxidant and ROS-scavenging activities [55,56,57]. They have been shown to be involved in the protection of cells against oxidative damage, due to their radical scavenging properties, and their accumulation has been linked to improved stress tolerance [51,58,59,60]. In our study, SA treatments caused increases in the levels of all the soluble phenolic groups analyzed (Figure 3), in parallel with the trend observed for the total antioxidant capacity (Figure 4). Here, the total antioxidant capacity was assessed to determine the integrated effect of a wide range of antioxidants, including phenolic compounds, carotenoids, and ascorbate, among others [61]. Our results suggested that phenolics are the main contributors to the antioxidant capacity found in French bean leaves, which is in line with previous findings in the same plant species [62]. Phenolic compounds, particularly flavonoids, can also control ROS levels by a redox cycle with class III peroxidase and ascorbate, enabling the peroxidase/phenol system to fine tune H2O2 levels [63,64]. Here, the SA-induced increases in specific peroxidase activity observed (Figure 5) could contribute to the regulation of ROS levels. In fact, the increase observed in phenolics, and peroxidase activity could probably explain the lower extent of lipid peroxidation observed in leaf of SA-treated plants under saline conditions (Figure 2). Taken together, it is tempting to suggest that SA treatments could prepare French bean plants to cope with oxidative stress by increasing phenolics and peroxidase activity levels in leaf tissues.
Salt stress has been described to provoke dramatic changes in endogenous hormone levels [65]. Decreases in the contents of endogenous plant growth promoters and increases in ABA and ethylene contents have been commonly reported in response to NaCl treatments and may be determinants of the observed symptoms of salt toxicity. Restoring hormone levels to those under non-stressed conditions could be crucial to improving salt tolerance in plants. In this way, exogenous application of auxin or cytokinin to faba bean has been reported to alleviate stress in salinized plants, attenuating the negative effects of NaCl treatments on plant growth and yield, redox status, and ionic homeostasis [66]. In the present work, SA application to salt-treated French bean plants reversed to varying degrees the decreases in auxin, gibberellins, and cytokinins levels and the increases in ABA contents observed in NaCl-only treatments (Figure 7). Similar results have been previously described in other plant species [67,68] and suggest that SA plays a pivotal role as a mediator in plant responses to salt stress. In fact, SA is not only involved in the strengthening of defense systems to cope with salt excess but is also capable of promoting plant growth under salt stress conditions [69]. Both effects, especially the second one, require a complex and precise cross-talk between different phytohormone signaling pathways. SA has been reported to interact synergistically with auxins, cytokinins, and giberrellins to enhance growth and productivity in plants under salt stress [70]. However, although interactions between SA and ABA seem to be more complex, some evidence point to SA-mediated suppression of ABA signaling being crucial for expression of salt tolerance [70]. The results obtained in this study are in line with those observations and would explain the recovery of close to 90% of crop productivity in French bean plants under 50 mM NaCl sprayed with 0.75 mM SA.
5. Conclusions
This study showed that foliar spray of SA at 0.75 mM to French bean plants grown under continuous NaCl stress mitigates the adverse effects of salinity, enhancing significantly growth performance and crop production. The beneficial effects of SA seem to be related to its involvement in maintaining ion homeostasis and a proper K+/Na+ ratio, enhancement of chlorophyll contents, and strengthening of the antioxidative system, particularly the levels of soluble phenolics, peroxidase activity and proline. Partial recovering of endogenous hormone levels upon SA treatment is in line with the restoration of crop productivity. The results of the present study suggest that the application of SA could be an efficient and low-cost strategy to palliate the negative effects of NaCl on salt-sensitive crops.
Author Contributions
Conceptualization, S.M.Y. and A.A.C.; methodology, S.M.Y., A.L.-O. and M.A.F.; formal analysis, S.M.Y. and M.A.F.; investigation, S.M.Y. and A.L.-O.; writing—original draft preparation, S.M.Y.; writing—review and editing, A.A.C.; visualization, S.M.Y. and A.A.C.; supervision, S.M.Y. and A.A.C.; project administration, S.M.Y., M.A.F. and A.A.C.; funding acquisition, S.M.Y. and A.L.-O. All authors have read and agreed to the published version of the manuscript.
Funding
This research was funded by the Egyptian cultural affairs and mission sector. AL-O holds a grant from the MECD (AP2012-2559).
Data Availability Statement
The data presented in this study are available on request from the corresponding author.
Acknowledgments
This work was partially carried out at the Instituto de Biotecnología Vegetal (Universidad Politécnica de Cartagena).
Conflicts of Interest
The authors declare no conflict of interest. The funders had no role in the design of the study; in the collection, analyses, or interpretation of data; in the writing of the manuscript; or in the decision to publish the results.
References
- Shahid, S.A.; Zaman, M.; Heng, L. Soil Salinity: Historical Perspectives and a World Overview of the Problem. In Guideline for Salinity Assessment, Mitigation and Adaptation Using Nuclear and Related Techniques; Zaman, M., Shahid, S.A., Heng, L., Eds.; Springer International Publishing: Cham, Switzerland, 2018; pp. 43–53. [Google Scholar]
- Omuto, C.T.; Vargas, R.R.; el Mobarak, A.M.; Mohamed, N.; Viatkin, K.; Yigini, Y. Mapping of Salt-Affected Soils: Technical Manual; FAO: Rome, Italy, 2021; Available online: https://www.fao.org/documents/card/en/c/cb7247en (accessed on 28 November 2022).
- van Zelm, E.; Zhang, Y.; Testerink, C. Salt Tolerance Mechanisms of Plants. Annu. Rev. Plant Biol. 2020, 71, 403–433. [Google Scholar] [CrossRef]
- Munns, R.; Tester, M. Mechanisms of Salinity Tolerance. Annu. Rev. Plant Biol. 2008, 59, 651–681. [Google Scholar] [CrossRef]
- Munns, R.; Gilliham, M. Salinity Tolerance of Crops—What Is the Cost? New Phytol. 2015, 208, 668–673. [Google Scholar] [CrossRef]
- Hasegawa, P.M.; Bressan, R.A.; Zhu, J.-K.; Bohnert, H.J. Plant Cellular and Molecular Responses to High Salinity. Annu. Rev. Plant Physiol. Plant Mol. Biol. 2000, 51, 463–499. [Google Scholar] [CrossRef] [PubMed]
- Isayenkov, S.V.; Maathuis, F.J.M. Plant Salinity Stress: Many Unanswered Questions Remain. Front. Plant Sci. 2019, 10, 80. [Google Scholar] [CrossRef]
- Hernández, J.; Ferrer, M.; Jiménez, A.; Ros-Barceló, A.; Sevilla, F. Antioxidant Systems and O2−/Hydrogen Peroxide Production in the Apoplast of Pea Leaves. Its Relation with Salt-Induced Necrotic Lesions in Minor Veins. Plant Physiol. 2001, 127, 817–831. [Google Scholar] [CrossRef] [PubMed]
- Guo, Q.; Liu, L.; Rupasinghe, T.W.T.; Roessner, U.; Barkla, B.J. Salt Stress Alters Membrane Lipid Content and Lipid Biosynthesis Pathways in the Plasma Membrane and Tonoplast. Plant Physiol. 2022, 189, 805–826. [Google Scholar] [CrossRef]
- Hameed, A.; Ahmed, M.Z.; Hussain, T.; Aziz, I.; Ahmad, N.; Gul, B.; Nielsen, B.L. Effects of Salinity Stress on Chloroplast Structure and Function. Cells 2021, 10, 2023. [Google Scholar] [CrossRef]
- Ashraf, M.; Harris, P.J.C. Photosynthesis under Stressful Environments: An Overview. Photosynthetica 2013, 51, 163–190. [Google Scholar] [CrossRef]
- Acosta-Motos, J.; Ortuño, M.; Bernal-Vicente, A.; Diaz-Vivancos, P.; Sanchez-Blanco, M.; Hernandez, J. Plant Responses to Salt Stress: Adaptive Mechanisms. Agronomy 2017, 7, 18. [Google Scholar] [CrossRef]
- Khan, M.I.R.; Fatma, M.; Per, T.S.; Anjum, N.A.; Khan, N.A. Salicylic Acid-Induced Abiotic Stress Tolerance and Underlying Mechanisms in Plants. Front. Plant Sci. 2015, 6, 462. [Google Scholar] [CrossRef]
- Horváth, E.; Szalai, G.; Janda, T. Induction of Abiotic Stress Tolerance by Salicylic Acid Signaling. J. Plant Growth Regul. 2007, 26, 290–300. [Google Scholar] [CrossRef]
- Rasheed, F.; Anjum, N.A.; Masood, A.; Sofo, A.; Khan, N.A. The Key Roles of Salicylic Acid and Sulfur in Plant Salinity Stress Tolerance. J. Plant Growth Regul. 2022, 41, 1891–1904. [Google Scholar] [CrossRef]
- Nazar, R.; Umar, S.; Khan, N.A. Exogenous Salicylic Acid Improves Photosynthesis and Growth through Increase in Ascorbate-Glutathione Metabolism and S Assimilation in Mustard under Salt Stress. Plant Signal Behav. 2015, 10, e1003751. [Google Scholar] [CrossRef]
- Youssef, S.M.; Elhady, S.A.A.; Aref, R.M.; Riad, G.S. Salicylic Acid Attenuates the Adverse Effects of Salinity on Growth and Yield and Enhances Peroxidase Isozymes Expression More Competently than Proline and Glycine Betaine in Cucumber Plants. Gesunde Pflanz. 2018, 70, 75–90. [Google Scholar] [CrossRef]
- Jayakannan, M.; Bose, J.; Babourina, O.; Rengel, Z.; Shabala, S. Salicylic Acid Improves Salinity Tolerance in Arabidopsis by Restoring Membrane Potential and Preventing Salt-Induced K+ Loss via a GORK Channel. J. Exp. Bot. 2013, 64, 2255–2268. [Google Scholar] [CrossRef] [PubMed]
- Rao, S.; Du, C.; Li, A.; Xia, X.; Yin, W.; Chen, J. Salicylic Acid Alleviated Salt Damage of Populus euphratica: A Physiological and Transcriptomic Analysis. Forests 2019, 10, 423. [Google Scholar] [CrossRef]
- Arif, Y.; Singh, P.; Siddiqui, H.; Bajguz, A.; Hayat, S. Salinity Induced Physiological and Biochemical Changes in Plants: An Omic Approach towards Salt Stress Tolerance. Plant Physiol. Biochem. 2020, 156, 64–77. [Google Scholar] [CrossRef] [PubMed]
- Arif, Y.; Sami, F.; Siddiqui, H.; Bajguz, A.; Hayat, S. Salicylic Acid in Relation to Other Phytohormones in Plant: A Study towards Physiology and Signal Transduction under Challenging Environment. Environ. Exp. Bot. 2020, 175, 104040. [Google Scholar] [CrossRef]
- Kang, G.; Li, G.; Zheng, B.; Han, Q.; Wang, C.; Zhu, Y.; Guo, T. Proteomic Analysis on Salicylic Acid-Induced Salt Tolerance in Common Wheat Seedlings (Triticum aestivum L.). Biochim. Et Biophys. Acta BBA Proteins Proteom. 2012, 1824, 1324–1333. [Google Scholar] [CrossRef] [PubMed]
- Celmeli, T.; Sari, H.; Canci, H.; Sari, D.; Adak, A.; Eker, T.; Toker, C. The Nutritional Content of Common Bean (Phaseolus vulgaris L.) Landraces in Comparison to Modern Varieties. Agronomy 2018, 8, 166. [Google Scholar] [CrossRef]
- Gama, P.B.S.; Inanaga, S.; Tanaka, K. Nakazawa Physiological Response of Common Bean ( Phaseolus vulgaris L.) Seedlings to Salinity Stress. Afr. J. Biotechnol. 2007, 6, 79–088. [Google Scholar]
- Mohi-Ud-Din, M.; Talukder, D.; Rohman, M.; Ahmed, J.U.; Jagadish, S.V.K.; Islam, T.; Hasanuzzaman, M. Exogenous Application of Methyl Jasmonate and Salicylic Acid Mitigates Drought-Induced Oxidative Damages in French Bean (Phaseolus vulgaris L.). Plants 2021, 10, 2066. [Google Scholar] [CrossRef] [PubMed]
- Wekesa, C.; Asudi, G.O.; Okoth, P.; Reichelt, M.; Muoma, J.O.; Furch, A.C.U.; Oelmüller, R. Rhizobia Contribute to Salinity Tolerance in Common Beans (Phaseolus vulgaris L.). Cells 2022, 11, 3628. [Google Scholar] [CrossRef]
- Azizi, F.; Amiri, H.; Ismaili, A. Melatonin Improves Salinity Stress Tolerance of Phaseolus vulgaris L. Cv. Pak by Changing Antioxidant Enzymes and Photosynthetic Parameters. Acta Physiol. Plant 2022, 44, 40. [Google Scholar] [CrossRef]
- Ahmad, A.; Blasco, B.; Martos, V. Combating Salinity through Natural Plant Extracts Based Biostimulants: A Review. Front. Plant Sci. 2022, 13, 862034. [Google Scholar] [CrossRef]
- Koller, H.R. Leaf Area-Leaf Weight Relationships in the Soybean Canopy. Crop. Sci. 1972, 12, 180–183. [Google Scholar] [CrossRef]
- Youssef, S.M.; López-Orenes, A.; Ferrer, M.A.; Calderón, A.A. Salicylic-Acid-Regulated Antioxidant Capacity Contributes to Growth Improvement of Okra (Abelmoschus esculentus Cv. Red Balady). Agronomy 2022, 12, 168. [Google Scholar] [CrossRef]
- López-Orenes, A.; Bueso, M.C.; Conesa, H.; Calderón, A.A.; Ferrer, M.A. Seasonal Ionomic and Metabolic Changes in Aleppo Pines Growing on Mine Tailings under Mediterranean Semi-Arid Climate. Sci. Total Environ. 2018, 637–638, 625–635. [Google Scholar] [CrossRef]
- Pérez-Tortosa, V.; López-Orenes, A.; Martínez-Pérez, A.; Ferrer, M.A.; Calderón, A.A. Antioxidant Activity and Rosmarinic Acid Changes in Salicylic Acid-Treated Thymus membranaceus Shoots. Food Chem. 2012, 130, 362–369. [Google Scholar] [CrossRef]
- López-Orenes, A.; Martínez-Moreno, J.M.; Calderón, A.A.; Ferrer, M.A. Changes in Phenolic Metabolism in Salicylic Acid-Treated Shoots of Cistus heterophyllus. Plant Cell Tissue Organ Cult. PCTOC 2013, 113, 417–427. [Google Scholar] [CrossRef]
- Ferrer, M.A.; Calderón, A.A.; Muñoz, R.; Ros Barceló, A. 4-Methoxy-α-Naphthol as a Specific Substrate for Kinetic, Zymographic and Cytochemical Studies on Plant Peroxidase Activities. Phytochem. Anal. 1990, 1, 63–69. [Google Scholar] [CrossRef]
- Chapman, H.D.; Pratt, P.F. Methods of Analysis for Soils, Plants and Water; University of California: Berkeley, CA, USA, 1961. [Google Scholar]
- Shindy, W.W.; Smith, O.E. Identification of Plant Hormones from Cotton Ovules. Plant Physiol. 1975, 55, 550–554. [Google Scholar] [CrossRef] [PubMed]
- Palma, F.; Lluch, C.; Iribarne, C.; García-Garrido, J.M.; Tejera García, N.A. Combined Effect of Salicylic Acid and Salinity on Some Antioxidant Activities, Oxidative Stress and Metabolite Accumulation in Phaseolus vulgaris. Plant Growth Regul. 2009, 58, 307–316. [Google Scholar] [CrossRef]
- Al Hassan, M.; Morosan, M.; López-Gresa, M.; Prohens, J.; Vicente, O.; Boscaiu, M. Salinity-Induced Variation in Biochemical Markers Provides Insight into the Mechanisms of Salt Tolerance in Common (Phaseolus vulgaris) and Runner (P. Coccineus) Beans. Int. J. Mol. Sci. 2016, 17, 1582. [Google Scholar] [CrossRef]
- Souri, M.K.; Tohidloo, G. Effectiveness of Different Methods of Salicylic Acid Application on Growth Characteristics of Tomato Seedlings under Salinity. Chem. Biol. Technol. Agric. 2019, 6, 26. [Google Scholar] [CrossRef]
- Assaha, D.V.M.; Ueda, A.; Saneoka, H.; Al-Yahyai, R.; Yaish, M.W. The Role of Na+ and K+ Transporters in Salt Stress Adaptation in Glycophytes. Front. Physiol. 2017, 8, 509. [Google Scholar] [CrossRef] [PubMed]
- Gunes, A.; Inal, A.; Alpaslan, M.; Eraslan, F.; Bagci, E.G.; Cicek, N. Salicylic Acid Induced Changes on Some Physiological Parameters Symptomatic for Oxidative Stress and Mineral Nutrition in Maize (Zea mays L.) Grown under Salinity. J. Plant Physiol. 2007, 164, 728–736. [Google Scholar] [CrossRef]
- Khan, N.; Syeed, S.; Masood, A.; Nazar, R.; Iqbal, N. Application of Salicylic Acid Increases Contents of Nutrients and Antioxidative Metabolism in Mungbean and Alleviates Adverse Effects of Salinity Stress. Int. J. Plant Biol. 2010, 1, e1. [Google Scholar] [CrossRef]
- Mugwanya, M.; Kimera, F.; Dawood, M.; Sewilam, H. Elucidating the Effects of Combined Treatments of Salicylic Acid and L-Proline on Greenhouse-Grown Cucumber under Saline Drip Irrigation. J. Plant Growth Regul. 2022, 1–17. [Google Scholar] [CrossRef]
- Ghosh, U.K.; Islam, M.N.; Siddiqui, M.N.; Khan, M.A.R. Understanding the Roles of Osmolytes for Acclimatizing Plants to Changing Environment: A Review of Potential Mechanism. Plant Signal Behav. 2021, 16, 1913306. [Google Scholar] [CrossRef] [PubMed]
- Bayuelo-Jiménez, J.S.; Jasso-Plata, N.; Ochoa, I. Growth and Physiological Responses of Phaseolus Species to Salinity Stress. Int. J. Agron. 2012, 2012, 1–13. [Google Scholar] [CrossRef]
- Zheng, Y.; Cabassa-Hourton, C.; Planchais, S.; Lebreton, S.; Savouré, A. The Proline Cycle as an Eukaryotic Redox Valve. J. Exp. Bot. 2021, 72, 6856–6866. [Google Scholar] [CrossRef]
- Yang, Z.; Li, J.-L.; Liu, L.-N.; Xie, Q.; Sui, N. Photosynthetic Regulation under Salt Stress and Salt-Tolerance Mechanism of Sweet Sorghum. Front. Plant Sci. 2020, 10, 1722. [Google Scholar] [CrossRef]
- Es-sbihi, F.Z.; Hazzoumi, Z.; Aasfar, A.; Amrani Joutei, K. Improving Salinity Tolerance in Salvia officinalis L. by Foliar Application of Salicylic Acid. Chem. Biol. Technol. Agric. 2021, 8, 25. [Google Scholar] [CrossRef]
- Dawood, M.F.A.; Zaid, A.; Latef, A.A.H.A. Salicylic Acid Spraying-Induced Resilience Strategies Against the Damaging Impacts of Drought and/or Salinity Stress in Two Varieties of Vicia faba L. Seedlings. J. Plant Growth Regul. 2022, 41, 1919–1942. [Google Scholar] [CrossRef]
- Husen, A.; Iqbal, M.; Sohrab, S.S.; Ansari, M.K.A. Salicylic Acid Alleviates Salinity-Caused Damage to Foliar Functions, Plant Growth and Antioxidant System in Ethiopian Mustard (Brassica carinata A. Br.). Agric. Food Secur. 2018, 7, 44. [Google Scholar] [CrossRef]
- Almagro, L.; Calderón, A.A.; Pedreño, M.A.; Ferrer, M.A. Differential Response of Phenol Metabolism Associated with Antioxidative Network in Elicited Grapevine Suspension Cultured Cells under Saline Conditions. Antioxidants 2022, 11, 388. [Google Scholar] [CrossRef]
- Czarnocka, W.; Karpiński, S. Friend or Foe? Reactive Oxygen Species Production, Scavenging and Signaling in Plant Response to Environmental Stresses. Free. Radic. Biol. Med. 2018, 122, 4–20. [Google Scholar] [CrossRef]
- Noctor, G.; Reichheld, J.-P.; Foyer, C.H. ROS-Related Redox Regulation and Signaling in Plants. Semin. Cell Dev. Biol. 2018, 80, 3–12. [Google Scholar] [CrossRef] [PubMed]
- Choudhury, F.K.; Rivero, R.M.; Blumwald, E.; Mittler, R. Reactive Oxygen Species, Abiotic Stress and Stress Combination. Plant J. 2017, 90, 856–867. [Google Scholar] [CrossRef] [PubMed]
- Agati, G.; Azzarello, E.; Pollastri, S.; Tattini, M. Flavonoids as Antioxidants in Plants: Location and Functional Significance. Plant Sci. 2012, 196, 67–76. [Google Scholar] [CrossRef]
- Rice-Evans, C.; Miller, N.; Paganga, G. Antioxidant Properties of Phenolic Compounds. Trends Plant Sci. 1997, 2, 152–159. [Google Scholar] [CrossRef]
- Pannala, A.S.; Chan, T.S.; O’Brien, P.J.; Rice-Evans, C.A. Flavonoid B-Ring Chemistry and Antioxidant Activity: Fast Reaction Kinetics. Biochem. Biophys. Res. Commun. 2001, 282, 1161–1168. [Google Scholar] [CrossRef] [PubMed]
- Kiani, R.; Arzani, A.; Maibody, S.A.M.M. Polyphenols, Flavonoids, and Antioxidant Activity Involved in Salt Tolerance in Wheat, Aegilops cylindrica and Their Amphidiploids. Front. Plant Sci. 2021, 12, 646221. [Google Scholar] [CrossRef]
- Winkel-Shirley, B. Biosynthesis of Flavonoids and Effects of Stress. Curr. Opin. Plant Biol. 2002, 5, 218–223. [Google Scholar] [CrossRef]
- López-Orenes, A.; Bueso, M.C.; Párraga-Aguado, I.M.; Calderón, A.A.; Ferrer, M.A. Coordinated Role of Soluble and Cell Wall Bound Phenols Is a Key Feature of the Metabolic Adjustment in a Mining Woody Fleabane (Dittrichia viscosa L.) Population under Semi-Arid Conditions. Sci. Total Environ. 2018, 618, 1139–1151. [Google Scholar] [CrossRef]
- López-Orenes, A.; Ros-Marín, A.F.; Ferrer, M.A.; Calderón, A.A. Antioxidant Capacity as a Marker for Assessing the In Vitro Performance of the Endangered Cistus Heterophyllus. Sci. World J. 2013, 2013, 1–10. [Google Scholar] [CrossRef]
- Ha, P.T.T.; Tran, N.T.B.; Tram, N.T.N.; Kha, V.H. Total Phenolic, Total Flavonoid Contents and Antioxidant Potential of Common Bean (Phaseolus vulgaris L.) in Vietnam. AIMS Agric. Food 2020, 5, 635–648. [Google Scholar] [CrossRef]
- Pérez, F. Ascorbic Acid and Flavonoid-Peroxidase Reaction as a Detoxifying System of H2O2 in Grapevine Leaves. Phytochemistry 2002, 60, 573–580. [Google Scholar] [CrossRef]
- Ferreres, F.; Figueiredo, R.; Bettencourt, S.; Carqueijeiro, I.; Oliveira, J.; Gil-Izquierdo, A.; Pereira, D.M.; Valentão, P.; Andrade, P.B.; Duarte, P.; et al. Identification of Phenolic Compounds in Isolated Vacuoles of the Medicinal Plant Catharanthus roseus and Their Interaction with Vacuolar Class III Peroxidase: An H2O2 Affair? J. Exp. Bot. 2011, 62, 2841–2854. [Google Scholar] [CrossRef] [PubMed]
- Müller, M.; Munné-Bosch, S. Rapid and Sensitive Hormonal Profiling of Complex Plant Samples by Liquid Chromatography Coupled to Electrospray Ionization Tandem Mass Spectrometry. Plant Method. 2011, 7, 37. [Google Scholar] [CrossRef] [PubMed]
- Latef, A.A.H.A.; Akter, A.; Tahjib-Ul-Arif, M. Foliar Application of Auxin or Cytokinin Can Confer Salinity Stress Tolerance in Vicia faba L. Agronomy 2021, 11, 790. [Google Scholar] [CrossRef]
- Shaki, F.; Maboud, H.E.; Niknam, V. Effects of Salicylic Acid on Hormonal Cross Talk, Fatty Acids Profile, and Ions Homeostasis from Salt-Stressed Safflower. J. Plant Interact. 2019, 14, 340–346. [Google Scholar] [CrossRef]
- Torun, H.; Novák, O.; Mikulík, J.; Strnad, M.; Ayaz, F.A. The Effects of Exogenous Salicylic Acid on Endogenous Phytohormone Status in Hordeum vulgare L. under Salt Stress. Plants 2022, 11, 618. [Google Scholar] [CrossRef]
- Yu, Z.; Duan, X.; Luo, L.; Dai, S.; Ding, Z.; Xia, G. How Plant Hormones Mediate Salt Stress Responses. Trends Plant Sci. 2020, 25, 1117–1130. [Google Scholar] [CrossRef]
- Abdoli, S.; Ghassemi-Golezani, K. Salicylic Acid: An Effective Growth Regulator for Mitigating Salt Toxicity in Plants. J. Plant Physiol. Breed. 2021, 11, 1–15. [Google Scholar]
Disclaimer/Publisher’s Note: The statements, opinions and data contained in all publications are solely those of the individual author(s) and contributor(s) and not of MDPI and/or the editor(s). MDPI and/or the editor(s) disclaim responsibility for any injury to people or property resulting from any ideas, methods, instructions or products referred to in the content. |
© 2023 by the authors. Licensee MDPI, Basel, Switzerland. This article is an open access article distributed under the terms and conditions of the Creative Commons Attribution (CC BY) license (https://creativecommons.org/licenses/by/4.0/).







