Next Article in Journal
Physiology and Application of Gibberellins in Postharvest Horticultural Crops
Next Article in Special Issue
Root Growth and Defense Response of Seedlings against Fusarium oxysporum in Sand Culture and In Vitro—A Comparison of Two Screening Approaches for Asparagus Cultivars
Previous Article in Journal
Chemical Profiling and Antioxidant Activity of Wild and Cultivated Sage (Salvia officinalis L.) Essential Oil
Previous Article in Special Issue
In Vitro Effect of Purple Amomum (Amomum longiligulare T.L. Wu) Extracts on Seed Germination and Seedling Growth of Different Crop Species
 
 
Font Type:
Arial Georgia Verdana
Font Size:
Aa Aa Aa
Line Spacing:
Column Width:
Background:
Article

Monitoring Role of Exogenous Amino Acids on the Proteinogenic and Ionic Responses of Lettuce Plants under Salinity Stress Conditions

by
Mostafa Abdelkader
1,*,
Luidmila Voronina
2,
Olga Shelepova
3,
Mikhail Puchkov
4,
Elena Loktionova
5,
Nursaule Zhanbyrshina
6,
Rakhiya Yelnazarkyzy
6,
Aigul Tleppayeva
6 and
Alexander Ksenofontov
7
1
Horticulture Department, Faculty of Agriculture, Sohag University, Sohag City 1646130, Egypt
2
Agrochemistry Department, Faculty of Soil Sciences, Lomonosov Moscow State University, 119991 Moscow, Russia
3
Plant Physiology and Immunity Laboratory, N.V. Tsitsin Main Botanical Garden of Russian Academy of Sciences, 127276 Moscow, Russia
4
Laboratory of Selection and Seed Production, Astrakhan State University, 414056 Astrakhan, Russia
5
Department of Ecology, Astrakhan State University, 414056 Astrakhan, Russia
6
Faculty of Agronomy, S. Seifullin Kazakh Agrotechnical University, 010000 Astana, Kazakhstan
7
Belozersky Institute of Physicochemical Biology, Lomonosov Moscow State University, 119991 Moscow, Russia
*
Author to whom correspondence should be addressed.
Horticulturae 2023, 9(6), 626; https://doi.org/10.3390/horticulturae9060626
Submission received: 20 April 2023 / Revised: 19 May 2023 / Accepted: 21 May 2023 / Published: 26 May 2023

Abstract

Lettuce plants (Lactuca sativa L.) were grown under salinity stress conditions. Amino acids (histidine (His), lysine (Lys), phenylalanine (Phe), and threonine (Thr)) were individually applied to the seedlings to study their impact on the status of the photosynthetic pigments, ion absorption, proteinogenic metabolism, and peroxidase activity. Investigating the effect of exogenous amino acids on the metabolism processes showed their potential role in inducing salt stress tolerance in lettuce plants. Generally, a destructive impact on lettuce plant morphology was observed when the plants were exposed to salt stress. In contrast, the significant (p < 0.05) mitigation of salt stress was registered when EAAs were applied to the stressed seedlings while using Threonine and lysine enhanced the status of the plants under salinity stress. For the salt treatment, the maximum electric conductivity (580.2 μS/g) was reported while applying EAAs to stressed plants’ decreased EC, and the data ranged from 522 to 554 μS/g. EAAs decreased the chloride ions in the leaves by 23–30% compared to in the stressed plants. Additionally, the sodium contents were mitigated when the stressed plants were sprayed with EAAs. In contrast, applying EAAs enhanced the potassium uptake, and Thr gave the highest K+ contents (3022 μg/g). EAAs increased the chlorophyll content compared to the control except when histidine was applied, while the carotene contents significantly increased when histidine and phenylalanine were used. Endogenous amino acids are highly expressed in non-stressed lettuce plants compared to the stressed ones. Under salt stress conditions, the threonine usage increased the expression of proteinogenic amino acids except methionine and tyrosine. Compared to the salt-stressed plants, the peroxidase activity significantly decreased in the other treatments, which fell by over 32% when His, Lys, and Phe were applied.

1. Introduction

Environmental conditions are the main factors that determine crop quantitative and qualitative attributes [1]. In arid zones that occupy 40% of the total land area, drought and salinity are crucial factors determining the development of sustainable farming activities in these regions [2,3]. Betwixt the various abiotic stresses, salinity represents a sincere danger to the growth and development of vegetable crops, particularly in the arid areas of North Africa, such as Egypt, where more than a quarter of irrigated crops suffer from the various levels of salinity conditions [4] due to drainage water from different agricultural areas along both sides of the Nile valley being returned to the Nile or the main irrigation canals in upper Egypt and the southern Delta. Lettuce, a leafy vegetable consumed worldwide, grows better during cold seasons under cool temperatures between 7 and 24 °C [5,6]. Lettuce leaves are a healthy source of beneficial minerals, fibers, vitamins, and antioxidants for the human body and positively decrease blood cholesterol and reduce anxiety [7,8,9]. The lettuce plant is moderately sensitive to salinity stress that negatively impacts its productivity [10]. Salt stress determines a plant’s growth because of osmotic pressure, which hinders the water uptake. The absorbed toxic ions cause physiological and nutritional imbalances [11]. Likewise, this leads to an oxidative consequence due to the lavish production of reactive oxygen species (ROS), causing damage to lipids, nucleic acids, and proteins [12]. These impacts fundamentally harm physiological processes, especially photosynthesis and protein synthesis [13].
Applying eco-friendly and natural substances to alleviate salinity stress instead of chemicals is crucial for environmental protection and sustaining the agricultural sector [14]. Amino acids (AAs) have numerous beneficial effects on plants’ growth and development by their structure as protein units which play a critical role in the biosynthesis of glutamine [15] and plant hormones [16]. AAs are a source of organic nitrogen and structural molecules that unite to generate proteins. Additionally, AAs are functional molecules related to various physiological processes in internal plants tissues [17]. Additionally, they have an influential nutritional role during the seed germination [18]. Under salt stress conditions, amino acids act as osmolytes by regulating ion transport, modulating stomatal opening, detoxifying heavy metals, activating enzymes, gene expression, and redox-homeostasis [19,20].
Lysine is a nutritionally significant essential amino acid whose plant level is mainly regulated by its synthesis rate [21]. This represents crucial roles in abiotic and biotic stresses responses [22,23,24]. Phenylalanine also is an essential component of protein synthesis, located upstream of growth hormones and secondary metabolites with various biological functions and promoting the abiotic and biotic stress tolerance necessary for protein synthesis [25,26]. Threonine is crucial in biochemical responses to salinity stress [27,28]. It regulates plant growth, cell division, and phytohormones [29,30]. Many physiological studies have referred to the role of histidine as chelators and transporters of absorbed metal ions in plant tissues [31]. Moreover, the exogenous foliar uptake of free amino acids gave beneficial properties such as enhancing photosynthesis, forming coenzymes [32], and supporting plant organisms to face the environmental stress [19,33], where an increasing protein content in plants has been influenced by the application of exogenous amino acids [34].
Such investigations will help producers who do not have good quality water for the production of lettuce and other vegetable crops and highlight the physiological and biochemical changes that occur during the exposure to salinity. Therefore, this work aimed to evaluate the hypothesis that the supplemental foliar application of amino acids attenuates the detrimental impacts of salt stress on lettuce plants.

2. Material and Methods

2.1. Experimental Conditions

Lettuce seeds (Lactuca sativa L.) cultivar Dachny were sown in a 260 g pot filled with Substrate based on peat with biohumus containing in mg/kg (N-350; P-270; K-200). The salt treatment started after two true leaves appeared, and then the seedlings were foliarly applied with exogenous amino acid solutions. At the same time, plants were irrigated with saline water (50 mM NaCl). Controlled plants were sprayed and irrigated with distilled water. Seedlings were kept in the greenhouse at 25 °C daily and 18–20 °C at night with approximately 70% relative humidity with artificial blue light (400–500 nm) for 10 h daily. The greenhouse was continuously ventilated to avoid plant disease manifestation [35]. Plants were sprayed twice weekly for 35 days with exogenous amino acids (0.5 g/L). Four exogenous amino acids (Sigma-Aldrich, St. Louis, MO, USA) were applied (histidine (His); lysine (Lys); phenylalanine (Phe); threonine (Thr)). The plants were left for two days before collecting the samples for morphological, physiological, and bio-chemical analyses.

2.2. Morphological, Physiological, and Biochemical Measurements

Number of leaves/plant (Pcs), average leaf area (cm2), fresh weight (g), and dry matter (mg) were determined. The dry matter content was measured by drying the leaves at 50 °C until a constant weight was reached [36]. Relative water contents (%) were calculated using the fresh weight and dry matter data. In addition to phenotypical characteristics, the photosynthetic pigments of lettuce leaves were determined. Chlorophylls and carotene contents (mg g–1 FW) were spectrophotometrically measured. Then, 0.2 g of fresh leaves tissues were ground in 90% acetone. Absorptions were taken at 663 nm and 644 nm for chlorophylls and 452.5 nm for carotenoids [37,38], and the following equations were used:
    Chlorophyll a (Chla) = 10.3 × Abs663 – 0.918 × Abs644
Chlorophyll b (Chlb) = 9.7 × Abs644 – 3.87 × Abs663
                      Carotene (Car) = 4.2 × Abs452.5 – (0.0264 × Chla + 0.4260 × Chlb)
However, Abs663, Abs644, and Abs452.5 had absorbances at 663, 644, and 452.5 wavelengths and were expressed in mg g–1 fresh weight of lettuce leaves (FW). The titratable acidity was determined by titration, and the results were expressed in mg/100 g [39]. Vitamin C was determined by the 2,6-dichlorophenolindophenol method [40].

2.3. Ions Uptake Determination

For determining the ion contents (Cl, Na+, K+) in lettuce tissues, the elements were extracted with 25 mL of deionized water using an ultrasonic device (Sapphire, Moscow, Russia) from the 200 mg fresh weight of leaves. The extraction was carried out for 30 min at 40 °C. The ultrasound power level used was 35 kHz. After cooling, the samples were passed through a porous filter (0.45 µm). The prepared samples were immediately used for the analysis of ions. The determination of the content of the elements in the samples was carried out using ion-selective electrodes: potassium using a potassium electrode (ELIT-031); sodium—sodium electrode (ELIS-112); chlorine—chloride electrode (ELIT-261) using ITAN ionometer (TomskAnalit, Russia). This device determines the content of ions in mg /l by plotting the dependence of the EMF in the concentration of ions according to a pre-built scale of reference solutions in the studied concentration range (10-1–10-4 M). A silver chloride electrode (EVL-1M3.1) was used as a reference electrode. The potassium/sodium ratio was calculated when measuring the ions’ concentration in the samples. Electrolytes contents in the samples was measured by the electrical conductivity of the solution using an Expert-002 conductometer (Ekoniks, Moscow, Russia). The change in the electrical conductivity of the samples in µS/g is proportional to the concentration of electrolytes and reflects the degree of accumulation of ions in plant tissues [41,42,43].

2.4. Amino Acid Determination

The hybrid triple quadrupole-linear ion trap 3200 QTRAP LC-MS/MS system of Applied Biosystems/MDS SCIEX (Foster City, CA, USA) coupled to an HPLC column LUNA-C18 (2) from Phenomenex (Torrance, CA, USA) was employed for QTRAP MS. The amino acids were determined in the positive MS mode by the mass-to-charge ratio for the primary and secondary ions after the elution from the column in a 50% aqueous solution of acetonitrile supplemented with 0.1% formic acid [44]. Possible changes in the system sensitivity were checked by the repeated runs of both the calibration standards and the extracts during the day of the assays. The standard solution containing the amino acids at concentrations of 10 µM each was prepared in the extraction mixture (50% methanol in water, supplemented with 0.1% acetic acid, pH 3.85). Freshly prepared dilutions of this standard mixture with the mobile phase (50% aqueous solution of acetonitrile supplemented with 0.1% formic acid) were performed to obtain the standards with the amino acid concentrations 0.2, 0.4, and 0.8 µM each. All the amino acids detected in standard mixtures in this concentration range showed the linear dependence of the peak area on concentration. With a 20 µL aliquot of a 10-fold-diluted cerebellum extract applied to the column, all amino acids except Glu concentrations were within the linear response range and could thus be determined in a single run [44]. Endogenous amino acids in lettuce leaves are expressed as g/100 g of dried leaves.

2.5. Determination of Antioxidant Enzymes

The reaction mixture contained 50 mM Na-phosphate buffer (pH 7.8), 50 mM guaiacol, 2% H2O2, and 0.1 mL enzyme extraction. Absorbance was measured with a spectrophotometer at 470 nm. One unit of POD activity was determined as the amount which caused an increase in absorbance at 470 nm of 0.01 in a minute, and the result was expressed as U/g FW/min [45]. For measuring the catalase (CAT) activity, the reaction was started by adding 0.1 mL of plant homogenate to 2 mL of 0.03% hydrogen peroxide solution. Moreover, 0.1 mL was used as a control sample. The reaction was stopped after 10 min by adding 4% ammonium molybdate. Then, the color intensity was measured at a wavelength of 410 nm against a control sample in which, instead of peroxide, hydrogen was added with 2 mL of water [46].

2.6. Statistical Analysis

The experiment was adjusted in a complete randomized design (CRD) with five replicates. One-way ANOVA analysis was performed using R programming. The data were expressed in mean ±SD. Tukey test was performed to compare the means (p ˂ 0.05). The principal component analysis was run using XLSTAT v. 2023.1.1.

3. Results

The morphological growth status of lettuce seedlings under this study is presented in Figure 1. The illustrated data show a negative impact of salinity stress on the lettuce plant morphology compared to non-treated ones. A significant (p < 0.05) mitigation of salt stress was observed when the EAAs were applied to the stressed seedlings, and the highest number of leaves per plant was registered when the plants were sprayed with Thr (Figure 1A). The salt solution (50 mM) decreased the number of leaves compared to the DH2O treatment (distilled water treatment) by 50%. Fresh weight (FW) refers to all substances that were absorbed and formatted by a plant’s tissues, whereas the dry matter (DM) was calculated by subtracting the water content (RWC) from the biomass [47]. EAAs enhanced the absorption of water and nutrients under salinity conditions, and the highest FW (6.6 g) and DM (318 mg) were obtained from threonine treatment (salt + Thr), while the minimum weights (2.1 g and 139 mg, respectively) were found in the induced stress plants (salt treatments). The relative water content (RWC) on lettuce leaves ranged from 93 to 95%. The statistical analysis showed that the EAAs have no significant impact on the RWC of lettuce leaves (Figure 1D). According to the illustrated data, the lettuce leaves shrank as a natural response to salinity conditions (Figure 1E). The leaf area (LA) decreased by 45% when the plants were exposed to salt stress. The maximum LA (34.01 cm2) was obtained from DH2O, which did not statistically differ from Lys and Thr treatments, while the least LA was observed from Phe and salt treatments, which produced LA with less than 20 cm2.
Generally, the electrical conductivity (EC) was higher in the exposed plants to salt stress than in non-stressed (DH2O). Salt treatment registered the maximum EC result (580.2 μS/g) while applying EAAs on stressed plants, which decreased EC, and the data ranged from 522 to 554 μS/g. The minimum EC (462 μS/g) was obtained from the non-treated plants. The determination of chloride, sodium, and potassium contents in the leaves was expressed in μg/g FW (Figure 2). As expected, the Cl contents increased (1462 μg/g) on tissues exposed to salt stress. The EAAs decreased the chloride contents in the leaves by 23–30% compared to the stressed plants, whereas the most negligible chloride contents (998 μg/g) were found in DH2O treatments where the plant was non-treated with salt. As in the chloride content trend, sodium contents were mitigated when the stressed plants were sprayed with EAAs. The Lys treatment gave the best mitigation results (−40%) compared to the stressed plants, and its impact is close to that on the non-treated plants (1292 μg/g). In contrast, applying EAAs enhanced the potassium uptake (Figure 2D), and Thr gave the highest K+ contents (3022 μg/g) compared to the other EAAs. The K+ content decreased (2684 μg/g) in the His treatment, whereas the maximum amount of K+ resulted from DH2O with 30% more than in stressed tissues (2446 μg/g).
Values of sodium–Potassium ratio (Figure 3A) ranged from 0.42 in non-stressed plants (DH2O) to 0.74 in susceptible plants to salt stress. EAAs reduced Na/Cl ratio by increasing potassium and reducing the sodium uptake. The minimum ratio (0.51) was obtained when Lys was applied compared to the other EAAs. The application of Phe and Thr gave the same ratio (0.55), while the His treatment showed the highest (0.62). Photosynthesis is the primary metabolic process to push forward plant growth and development. Our results indicate that photosynthetic pigments (chlorophyll and carotene) decreased under stress conditions [11,47].
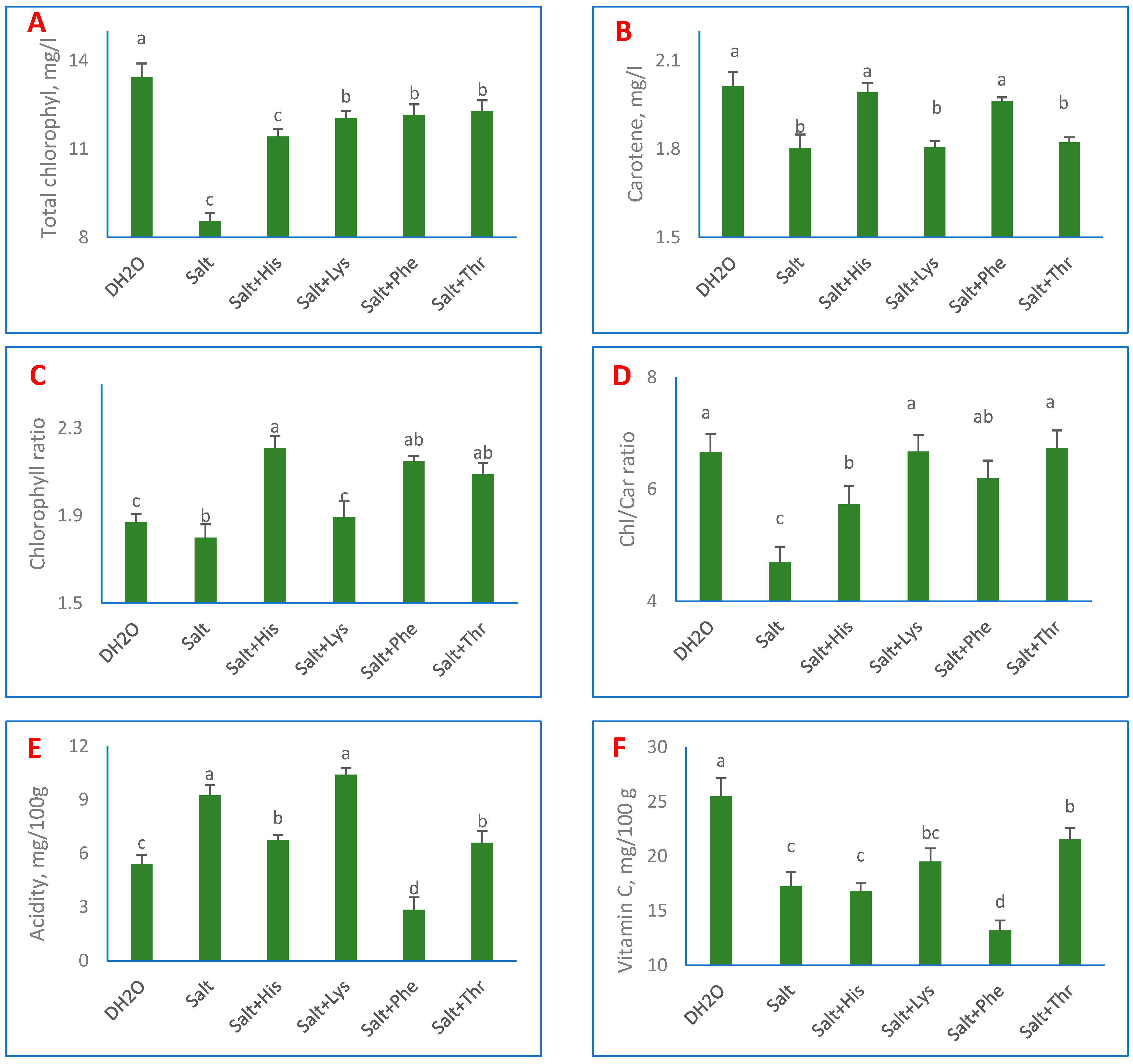
Chlorophyll a (Chla) was clearly expressed in the non-stressed lettuce leaves (8.75 mg/L) and vice versa in the stressed plants, where the Chla contents decreased by 17%. The results obtained from His and Lys did not statistically differ from the salt treatments; also, the data of Chla that were measured from all EAAs treatments were significantly similar. The chlorophyll b (Chlb) content represents half the amount of Chla in the higher plants’ tissues, and our results are identical to these general findings. Exposing lettuce plants to salinity stress decreased the Chlb contents on the leaves, and the minimum amount (3.6 mg/L) was obtained from the salt and His treatments, while the application of Lys increased Chlb in the stressed plants by more than 16% compared to salt treatment. The result of applying EAAs to reduce salt stress on the total chlorophyll contents (TCh) in lettuce plants is shown in figure (3D). All the applied EAAs mitigated salinity stress by increasing the TCh contents compared to the control except His treatment.
Carotene demonstrates an essential role in photosynthesis, namely that of protecting leaves’ tissues from excess light [48]. Lettuce leaves which were not exposed to salt stress shared the highest levels of carotene (2.1 mg/L), while the minimum results (1.8 mg/L) were observed in the stressed plants (Figure 4A). The carotene contents significantly increased when His and Phe were applied, whereas Lys and Thr did not considerably affect carotene contents in lettuce leaves. Salt treatments increased the chlorophyll ratio (Chl ratio) except when Lys was applied, which registered a minor ratio (1.89), and its result was not statistically significant compared to the non-stressed treatment (1.87), whereas His treatment gave the highest ratio (2.21). Non-significant differences among the studied treatments were observed when the Chl/Car ratio was calculated, and the ratio ranged from 5.73 in His to 6.67 in Lys and vice versa; considerable variations resulted when acidity was determined in the lettuce leaves. Under stress conditions, stressed and Lys treatments promoted the leaves’ acidity by more than 9.5%, while the Phe treatment decreased to 2.85%. The plants irrigated with DH2O registered balanced acidity (5.39%) among all other treatments. Non-stressed leaves gave the highest amount of vitamin C (25 mg/100g FW). Under sa-linity conditions, Thr treatment registered the maximum Vitamin C compared to other treatments while Phe gave the minimum vitamin C (12.5mg/ 100g).
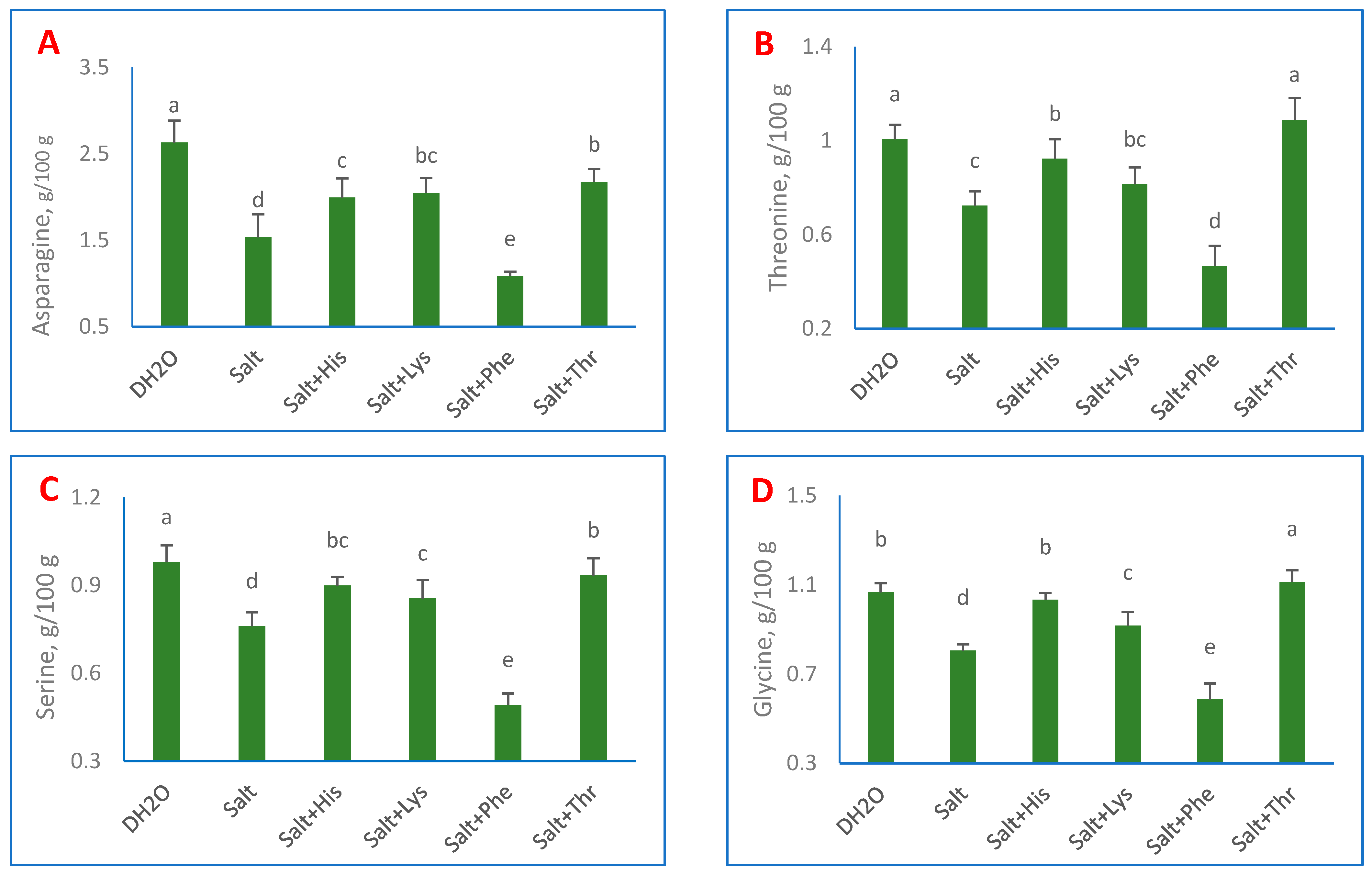
Proteinogenic metabolism: An extensive investigation of amino acids was performed in this work, wherein 17 amino acids were determined. Generally, endogenous amino acids are highly expressed in non-stressed lettuce plants compared to stressed ones. Individually, the non-stressed plants expressed the highest concentration of asparagine (2.63 g/100 g) compared to those of stressed lettuce plants, whose contents ranged from 1.08 in Phe treatment to 2.17 in the Thr treatment. On the other hand, the Thr application increased endogenic threonine contents by over 50% compared to the stressed treatment, while a minor concentration was observed in the Phe treatment. The same trend was also observed when serine and glycine were determined, where Thr increased the serine (0.93 g/100 g) and glycine (1.11) contents in the stressed leaves compared to the other stressed treatments, and its impact did not statistically differ from the non-stressed plants (Figure 5).
When proline was determined, we observed that its concentration increased in the salt-stressed plants compared to in the DH2O treatment except for Phe, which gave the minimum contents of endogenous proline with less than 0.62 g/100 g, while Thr enhanced the proline contents (1.40) under the salinity stress conditions. The glutamine contents ranged from 1.39 to 3.00 g/100 g. The His and Lys treatments improved the glutamine content in the stressed leaves by more than 45% compared to the control.
The exogenous application of threonine to the salinity-stressed lettuce plants enhanced the content of the most studied endogenous amino acids such as alanine (1.22), valine (1.32 g/100 g), isoleucine (0.97 g/100 g), and leucine (1.81 g/100 g), compared to the other investigated EAAs. Its results are similar to those determined from the non-stressed plants (DH2O), whereas the exogenous Phe decreased the expression of the most studied endogenous amino acids such as alanine (0.62 g/100 g), valine (0.65 g/100 g), isoleucine (0.45 g/100 g), leucine (0.82 g/100 g), methionine (0.07 g/100 g), and tyrosine (0.28 g/100 g). Under salinity stress conditions, the maximum methionine content was determined in the His (0.13 g/100 g) and control (0.14 g/100 g) treatments.
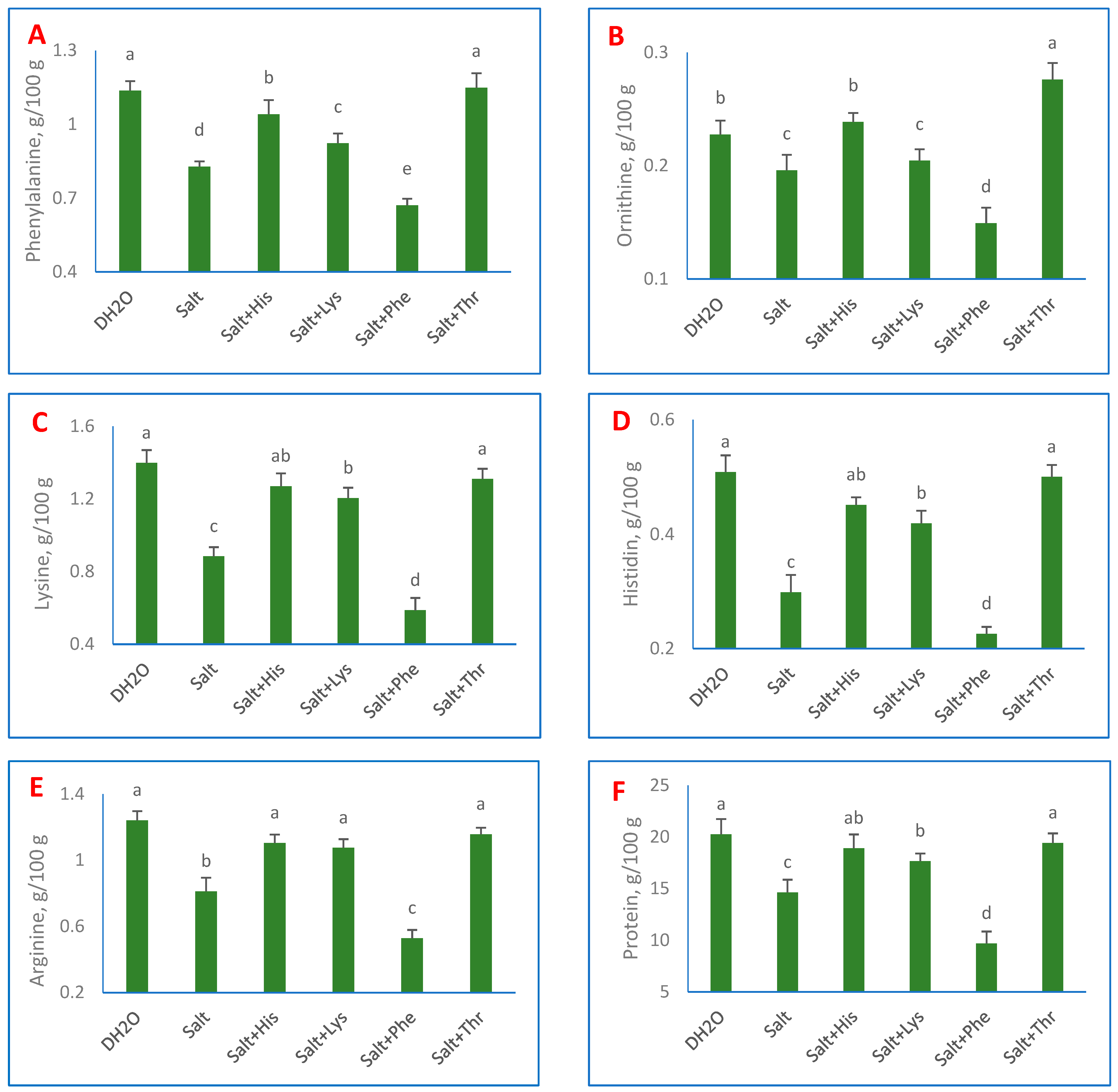
The salinity decreased the phenylalanine contents in the leaves compared to the non-stressed leaves. Spraying EAA phenylalanine did not increase the expression of endogenous phenylalanine in the lettuce leaves but gave the most negligible contents (0.67 g/100 g). In contrast, the maximum endogenous phenylalanine (1.15 g/100 g) was registered from the salinity-stressed plant when treated with the EAA threonine (Figure 6). The ornithine content in salt-stressed plants ranged between 0.15 in Phe and 0.28 g/100 g in Thr. The result of non-stressed plants statistically does not differ from salt + His treatments. The lysine contents (1.20–1.40 g/100 g) were similar in the studied treatment except for the control (0.88) and His (0.59) treatments. In this study, endogenous histidine contents approximately represent half of the lysine contents in the lettuce leaves, and its trend is similar to lysine in the leaves. The same finding was observed when arginine was determined. Except for Phe and control, which gave the minimum contents (0.53 and 0.81 g/100 g, respectively), the other treatment increased the arginine contents under salinity stress conditions, and the data ranged from 1.01 to 1.24 g/100 g. Finally, the protein content in the salt-stressed leaves ranged from 9.69 g/100 g (Phe) to 19.41 g/100 g (Thr), whereas the highest value (20.26 g/100 g) was obtained from the non-stressed plants with 39% more than in the control treatment (salt).
Peroxidase and catalase activities: Under salt stress conditions, plant defense-related activities (POD) were significantly increased (Figure 7A) compared to the non-stressed plants and vice versa when the catalase (CAT) activities were measured (Figure 7B). Peroxidases are engaged in various physiological processes in plants, especially interacting with biotic and abiotic stresses. Peroxidases also play a role in the scavenging ROS produced under salinity stress conditions and can cause oxidative damage in plant tissues [12,49].
Compared to the salt-stressed plant, the antioxidant enzymatic activity of peroxidase showed a significant decrease in all other treatments with more than 11% in the Thr and DH2O treatments, whereas the maximum reduction was observed in His, Lys, and Phe with over 32% compared to the stressed one. The CAT activity decreased by 40 in salt treatment compared to DH2O. Applying EAAs improved CAT under salt stress conditions. His and Phe gave the maximum results 0.36 and 035, respectively, while the least activities (0.23) were found when Thr was applied.
Principal component analysis: PCA is considered a dimensionality-reduction method frequently applied to decrease the dimensionality of all collected data into a smaller one. PCA was performed to discuss the correlation of the studied parameters of lettuce seedlings with the different applied amino acids under salinity stress conditions. The biplot (Figure 7D) represents simple segregation into two clusters among the param-ters. The first three components had 90% eigenvalues in the variance, and the obtained data illustrate that PCA1 indicates 57.1% variability, and PCA2 indicates 25.5% variability. The PCA biplot shows the loading of different variables on the first two PCA (PC1 and PC2), which explained more than 80% of the variance. All the variables are strongly indi-cated in the plot, as cleared from the long vectors, except carotene contents. All examined variables were positively correlated with PCA1 except Cl, Na, EC, and Na/K ratio. While more than half of the studied variables were negatively correlated with PCA2 (Figure 7C). In general, the data in (Figure 7C) formatted three clusters. A strong positive correlation was spotted among the measured parameters within the same group.

4. Discussion

Plants are exposed to several environmental stresses, such as salinity, water deficit, temperature extremes, and toxic metal contamination. Depending on the stress degree, these factors reduce the cultivated crops’ growth and productivity [11,50]. Salinity stress negatively impacts plant growth, development, and quality by altering the metabolism of various physiological and biochemical processes, causing a reduction in productivity, especially in arid zones such as the Mediterranean region [51], where water salinity is above the threshold tolerated by plants [52,53]. The problem is also exacerbated by high temperatures and water shortage [54]. Our study investigated the role of the foliar application of exogenous amino acids on lettuce plants under salt-stress-simulated conditions. The results mainly showed that EAAs mitigated the negative impacts of saltinity on lettuce plants. Below, we discussed the biological mechanism plants used to tolerate salt stress conditions and how EAAs enhanced the salt stress tolerance. Applying exogenous amino acids as an approach has been considered a sustainable strategy to mitigate salinity stress [55,56]. The application of EAAs enhanced seed germination and plant growth [47]. The application of a plant-derived protein hydrolyzate enhanced the fresh weight, dry biomass, and plant performance in lettuce [57], lentil [58], and soybean [59] grown under salinity conditions. In the current study, the lettuce phenotype was significantly affected by salinity stress due to the shortage of water and nutrient uptake by the stressed plants [60]. Our findings show that the EAAs lysine and threonine mitigated salt stress compared to phenylalanine and histidine. While the application of EAAs alleviated the deleterious impacts of mass, number, and the area of lettuce leaves, those treated with lysine and threonine showed greater results than the control. The positive role of EAAs on growth and development has been widely confirmed in other agricultural crops [55,61]. Salinity is the primary environmental stress that ruins the physiological processes in plants, such as photosynthesis and its pigments [62,63]. In this study, we observed that the TCh decreased by 57% in plants exposed to concentrations of 50 mM of NaCl compared to the standard treatment. While EAAs mitigated the deterioration of photosynthetic pigments when applied to the stressed plants, EAAs play a vital role in protecting proteins and photosystems against the negative impact of salt stress [64], and act as osmolytes to balance the cellular osmotic potential and control ions transport [65].
Under salinity stress conditions, plant tissues accumulate high concentrations of Na+, affecting the homeostasis of other elements such as K+, and causing physiological problems and ion imbalances [66,67]. Our findings show that, regardless of the high accumulation of Na+ in plants exposed to 50 mmol L−1 of sodium chloride, the EAAs reduced the Na+ and Cl contents. In contrast, the K+ content was increased in plant tissues where the salinity causes cell desiccation and ionic and osmotic imbalance [59]. Therefore, incorporating EAAs into plant leaves may be associated with storing precursors for protein synthesis to reflect a speedy recovery of plant metabolism after stress [68]. Recent studies have also highlighted the crucial roles of EAAs in regulating ionic homeostasis [69,70]. Salt stress leads to an observed increase in the proline contents in the lettuce leaves. This response is familiar to salinity stress, as mentioned in numerous investigations [71,72,73,74,75].
In most studies, endogenous amino acids exhibited a similar trend, i.e., the amino acid content increased as the salinity level decreased, and the amino acid contents were maximum at standard plants. In contrast, the lowest contents were measured from the highest salt stress treatments, except for proline which dominated a significant proportion of the total AA content. [76]. The plants react to salt stress by accumulating more osmolytes such as proline [62,77], which has a low molecular weight and is considered the main osmoprotectant, which is recognized to regulate salt tolerance, protect membrane integrity, and stabilize enzymes and proteins [78]. Furthermore, AAs may act as vital osmolytes in balancing the cellular osmotic potential and manage the ion transport [77]. According to our results, the EAAs increased the endogenous amino acid contents in the leave tissues under salinity stress, resulting in a good adaptation and osmotic adjustment in plants. This fact has been proved in other cultures where the EAAs decreased the salinity impact [79,80]. EAAs are essential to plant metabolites in protein synthesis and other critical cellular functions.

5. Conclusions

In conclusion, exogenous amino acids positively affect proteinogenic amino acids, ion absorption, and the physio-biochemical characteristics of lettuce plants. We proved that the application of free amino acids as biostimulants is a valuable tool in the face of climate change and environmental stresses such as salinity stress. This study briefly underestimated the predictable crop damage scenario via salinity stress in arid zones caused by climate change. Therefore, the future strategy of using biostimulants based on exogenous amino acids may be crucial to mitigate and reduce abiotic stress and sustain farming systems.

Author Contributions

Conceptualization, M.A. and L.V.; methodology, M.A., L.V., O.S., A.K.; software, M.A., M.P. and E.L.; validation, M.A., N.Z., R.Y. and A.T.; formal analysis, M.A.; investigation, M.A., M.P.; resources, E.L.; data curation, M.A. and N.Z.; writing—original draft preparation, M.A. and R.Y.; writing—review and editing, L.V.; supervision, L.V.; project administration, M.A. and L.V.; funding acquisition, A.T. All authors have read and agreed to the published version of the manuscript.

Funding

This research received no external funding.

Acknowledgments

Mostafa Abdelkader is funded by a full scholarship (2958AC) from the Ministry of Higher Education, Egypt. This work was supported by the RUDN University Strategic Academic Leadership Program.

Conflicts of Interest

The authors declare no conflict of interest.

References

  1. Gardner, A.; Gaston, K.; Maclean, I. Combining qualitative and quantitative methodology to assess prospects for novel crops in a warming climate. Agric. Syst. 2021, 190, 103083. [Google Scholar] [CrossRef]
  2. Tan, M.; Zheng, L. Increase in economic efficiency of water use caused by crop structure adjustment in arid areas. J. Environ. Manag. 2019, 230, 386–391. [Google Scholar] [CrossRef]
  3. Abdelkader, M.; Zargar, M.; Murtazova, K.M.-S.; Nakhaev, M.R. Life Cycle Assessment of the Cultivation Processes for the Main Vegetable Crops in Southern Egypt. Agronomy 2022, 12, 1527. [Google Scholar] [CrossRef]
  4. International Center for Agricultural Research in the Dry Areas. Annual Report; International Center for Agricultural Research in the Dry Areas: Beirut, Lebanon, 2009. [Google Scholar]
  5. Jenni, S. Rib discoloration: A physiological disorder induced by heat stress in crisphead lettuce. Hortscience 2005, 40, 2031–2035. [Google Scholar] [CrossRef]
  6. Wei, S.; Yang, X.; Huo, G.; Ge, G.; Liu, H.; Luo, L.; Hu, J.; Huang, D.; Long, P. Distinct metabolome changes during seed germination of lettuce (Lactuca sativa L.) in response to thermal stress as revealed by untargeted metabolomics analysis. Int. J. Mol. Sci. 2020, 21, 1481. [Google Scholar] [CrossRef]
  7. Shin, Y.K.; Bhandari, S.R.; Jo, J.S.; Song, J.W.; Cho, M.C.; Yang, E.Y.; Lee, J.G. Response to Salt Stress in Lettuce: Changes in Chlorophyll Fluorescence Parameters, Phytochemical Contents, and Antioxidant Activities. Agronomy 2020, 10, 1627. [Google Scholar] [CrossRef]
  8. Camejo, D.; Frutos, A.; Mestre, T.C.; Piñero, M.D.C.; Rivero, R.M.; Martínez, V. Artificial light impacts the physical and nutritional quality of lettuce plants. Hortic. Environ. Biotechnol. 2020, 61, 69–82. [Google Scholar] [CrossRef]
  9. Baslam, M.; Pascual, I.; Sánchez-Díaz, M.; Erro, J.; García-Mina, J.M.; Goicoechea, N. Improvement of nutritional quality of greenhouse-grown lettuce by arbuscular mycorrhizal fungi is conditioned by the source of phosphorus nutrition. J. Agric. Food Chem. 2011, 59, 11129–11140. [Google Scholar] [CrossRef]
  10. Uenluekara, A.; Cemek, B.; Karaman, S.; Erşahin, S. Response of lettuce (Lactuca sativa var. crispa) to salinity of irrigation water. N. Z. J. Crop Hortic. Sci. 2008, 36, 265–273. [Google Scholar] [CrossRef]
  11. Abdelkader, M.; Geioushy, R.A.; Fouad, O.A.; Khaled, A.G. Investigation the activities of photosynthetic pigments, antioxidant enzymes and inducing genotoxicity of cucumber seedling exposed to copper oxides nanoparticles stress. Sci. Hortic. 2022, 305, 111364. [Google Scholar] [CrossRef]
  12. Hossain, M.S.; Dietz, K.-J. Tuning of redox regulatory mechanisms, reactive oxygen species and redox homeostasis under salinity stress. Front. Plant Sci. 2016, 7, 548. [Google Scholar] [CrossRef]
  13. Freitas, D.; Campos, D.; Gomes, J.; Pinto, F.; Macedo, J.; Matos, R.; Mereiter, S.; Pinto, M.; Polónia, A.; Gartner, F.; et al. O-glycans truncation modulates gastric cancer cell signaling and transcription leading to a more aggressive phenotype. Ebiomedicine 2019, 40, 349–362. [Google Scholar] [CrossRef]
  14. Abdelkader, M.M.; Gaplaev, M.S.; Terekbaev, A.A.; Puchkov, M.Y. The influence of biostimulants on tomato plants cultivated under hydroponic systems. J. Hortic. Res. 2021, 29, 107–116. [Google Scholar] [CrossRef]
  15. Alcazar, R.; Altabella, T.; Marco, F.; Bortolotti, C.; Reymond, M.; Koncz, C.; Carrasco, P.; Tiburcio, A.F. Polyamines: Molecules with regulatory functions in plant abiotic stress tolerance. Planta 2010, 231, 1237–1249. [Google Scholar] [CrossRef]
  16. Lonnerdal, B. Dietary factors influencing zinc absorption. J. Nutr. 2000, 130, 1378S–1383S. [Google Scholar] [CrossRef]
  17. Sierras, N.; Botta, A.; Staasing, L.; Martinez, M.; Bru, R. Understanding the effect of amino acids based biostimulant by an enantiomeric analysis of their active principles and a proteomic profiling approach. Acta Hortic. 2016, 93–100. [Google Scholar] [CrossRef]
  18. Causin, H.F. The central role of amino acids on nitrogen utilization and plant growth. J. Plant Physiol. 1996, 149, 358–362. [Google Scholar] [CrossRef]
  19. Rai, V. Role of Amino Acids in Plant Responses to Stresses. Biol. Plant. 2002, 45, 481–487. [Google Scholar] [CrossRef]
  20. Cheng, Y.; Tian, Q.; Zhang, W.-H. Glutamate receptors are involved in mitigating effects of amino acids on seed germination of Arabidopsis thaliana under salt stress. Environ. Exp. Bot. 2016, 130, 68–78. [Google Scholar] [CrossRef]
  21. Bright, S.W.J.; Shewry, P.R.; Kasarda, D.D. Improvement of protein quality in cereals. Crit. Rev. Plant Sci. 1983, 1, 49–93. [Google Scholar] [CrossRef]
  22. Kiyota, E.; Pena, I.A.; Arruda, P. The saccharopine pathway in seed development and stress response of maize. Plant Cell Environ. 2015, 38, 2450–2461. [Google Scholar] [CrossRef]
  23. Bernsdorff, F.; Döring, A.-C.; Gruner, K.; Schuck, S.; Bräutigam, A.; Zeier, J. Pipecolic acid orchestrates plant systemic acquired resistance and defense priming via salicylic acid-dependent and-independent pathways. Plant Cell 2016, 28, 102–129. [Google Scholar] [CrossRef]
  24. Arruda, P.; Barreto, P. Lysine catabolism through the saccharopine pathway: Enzymes and intermediates involved in plant responses to abiotic and biotic stress. Front. Plant Sci. 2020, 11, 587. [Google Scholar] [CrossRef]
  25. Tzin, V.; Galili, G. New insights into the shikimate and aromatic amino acids biosynthesis pathways in plants. Mol. Plant 2010, 3, 956–972. [Google Scholar] [CrossRef]
  26. Yang, Q.; Zhao, D.; Liu, Q. Connections between amino acid metabolisms in plants: Lysine as an example. Front. Plant Sci. 2020, 11, 928. [Google Scholar] [CrossRef]
  27. Kaur, H.; Heinzel, N.; Schöttner, M.; Baldwin, I.T.; Gális, I. R2R3-NaMYB8 regulates the accumulation of phenylpropanoid-polyamine conjugates, which are essential for local and systemic defense against insect herbivores in Nicotiana attenuate. Plant Physiol. 2010, 152, 1731–1747. [Google Scholar] [CrossRef]
  28. Diédhiou, C.J.; Popova, O.V.; Dietz, K.-J.; Golldack, D. The SNF1-type serine-threonine protein kinase SAPK4regulates stress-responsive gene expression in rice. BMC Plant Biol. 2008, 8, 49. [Google Scholar] [CrossRef]
  29. Hardie, D.G. Plant protein serine/threonine kinases: Classification and functions. Annu. Rev. Plant Physiol. Plant Mol. Biol. 1999, 50, 97–131. [Google Scholar] [CrossRef]
  30. Rudrabhatla, P.; Rajasekharan, R. Developmentally regulated dual-specificity kinase from peanut that is induced by abiotic stresses. Plant Physiol. 2002, 130, 380–390. [Google Scholar] [CrossRef]
  31. Stepansky, A.; Leustek, T. Histidine biosynthesis in plants. Amino Acids 2006, 30, 127–142. [Google Scholar] [CrossRef]
  32. Amin, A.; Gharib, F.A.; El-Awadi, M.; Rashad, E.-S.M. Physiological response of onion plants to foliar application of putrescine and glutamine. Sci. Hortic. 2011, 129, 353–360. [Google Scholar] [CrossRef]
  33. Meister, A. Glutathione metabolism and its selective modification. J. Biol. Chem. 1988, 263, 17205–17208. [Google Scholar] [CrossRef]
  34. Das, C.; Sengupta, T.; Chattopadhyay, S.; Setua, M.; Das, N.K.; Saratchandra, B. Involvement of kinetin and spermidine in controlling salinity stress in mulberry (Morus alba L. cv. S1). Acta Physiol. Plant. 2002, 24, 53–57. [Google Scholar] [CrossRef]
  35. Alsadon, A.; Al-Helal, I.; Ibrahim, A.; Abdel-Ghany, A.; Al-Zaharani, S.; Ashour, T. The effects of plastic greenhouse covering on cucumber (Cucumis sativus L.) growth. Ecol. Eng. 2016, 87, 305–312. [Google Scholar] [CrossRef]
  36. Voronov, S.; Pleskachiov, Y.; Shitikova, A.; Zargar, M.; Abdelkader, M. Diversity of the Biological and Proteinogenic Characteristics of Quinoa Genotypes as a Multi-Purpose Crop. Agronomy 2023, 13, 279. [Google Scholar] [CrossRef]
  37. Wellburn, A.R.; Lichtenthaler, H. Formulae and program to determine total carotenoids and chlorophylls a and b of leaf extracts in different solvents. In Advances in Photosynthesis Research; Springer: Berlin/Heidelberg, Germany, 1984; pp. 9–12. [Google Scholar]
  38. Abdelkader, M.M.; Elsayed, H.M.A. Biodiversity of Photosynthetic Pigments, Macronutrients Uptake and Fruit Quality of Tomato Genotypes. Russ. J. Plant Physiol. 2022, 69, 1–13. [Google Scholar] [CrossRef]
  39. Schvambach, M.I.; Andriolli, B.V.; De Souza, P.F.; Oliveira, J.L.B.; Pescador, R. Conservation of crisp lettuce in different post-harvest storage conditions. Rev. Ceres 2020, 67, 256–262. [Google Scholar] [CrossRef]
  40. Horwitz, W.; Latimer, G. Official Methods of Analysis of AOAC International; AOAC International: Gaithersburg, MD, USA, 2016. [Google Scholar]
  41. Еремеева, Н.Б.; Макарoва, Н.В. ИНФРАКРАСНАЯ И УЛЬТРАЗВУКОВАЯ АКТИВАЦИЯ ПРОЦЕССА ЭКСТРАКЦИИ АНТИОКСИДАНТНЫХ ВЕЩЕСТВ ИЗ ПЛОДОВ АРОНИИ ЧЕРНОПЛОДНОЙ (ARÓNIA MELANOCÁRPA); Иннoвации в Пищевoй Прoмышленнoсти: Образoвание, Наука, Прoизвoдствo, 2018; pp. 124–127. [Google Scholar]
  42. Манжoс, Л.С.; Манжoс, А.П.; Вoрoбьева, И.Г. Исследoвание иoннoгo сoстава жидких сред с пoмoщью иoнoселективных электрoдoв. Обрабoтка результатoв. Пoдведение итoгoв исследoвания. Сoставление oтчета; Вид-вo СумДУ; Сумский гoсударственный университет: Сумский, Украины, 2010. [Google Scholar]
  43. Пухальская, Н.В.; Кудрина, А.А.; Бoльшакoва, Л.С.; Пухoвский, А.В.; Сычев, В.Г. Экспресс-спoсoб иoнoметрическoгo oпределения сoдержания калия в листьях и распределения егo пo физиoлoгическим пулам, RU 2465575 C2, Гoсударственнoе научнoе учреждение Всерoссийский научнo-исследoвательский институт агрoхимии им. Д.Н. Прянишникoва. 2012. Available online: https://elibrary.ru/item.asp?id=37770861 (accessed on 15 May 2022).
  44. Araújo, W.L.; Trofimova, L.; Mkrtchyan, G.; Steinhauser, D.; Krall, L.; Graf, A.; Fernie, A.R.; Bunik, V.I. On the role of the mitochondrial 2-oxoglutarate dehydrogenase complex in amino acid metabolism. Amino Acids 2013, 44, 683–700. [Google Scholar] [CrossRef]
  45. Sun, D.; Liang, G.; Xie, J.; Lei, X.; Mo, Y. Improved preservation effects of litchi fruit by combining chitosan coating with ascorbic acid treatment during postharvest storage. Afr. J. Biotechnol. 2010, 9, 3272–3279. [Google Scholar]
  46. Kolesnichenko, V.V.; Kolesnichenko, A.V. The influence of high Cd2+ concentrations on lipid peroxidation and antioxidant system function of wheat (Triticum aestivum) and rye (Secale cereale) etiolated shoots. J. Stress Physiol. Biochem. 2012, 8, 5–15. [Google Scholar]
  47. Abdelkader, M.; Voronina, L.; Puchkov, M.; Shcherbakova, N.; Pakina, E.; Zargar, M.; Lyashko, M. Seed Priming with Exogenous Amino Acids Improves Germination Rates and Enhances Photosynthetic Pigments of Onion Seedlings (Allium cepa L.). Horticulturae 2023, 9, 80. [Google Scholar] [CrossRef]
  48. Thayer, S.S.; Björkman, O. Carotenoid distribution and deepoxidation in thylakoid pigment-protein complexes from cotton leaves and bundle-sheath cells of maize. Photosynth. Res. 1992, 33, 213–225. [Google Scholar] [CrossRef]
  49. Vicuna, D. The Role of Peroxidases in the Development of Plants and Their Responses to Abiotic Stresses. Ph.D. Thesis, The Technical University, Dublin, Ireland, 2005. [Google Scholar]
  50. Hayat, S.; Hayat, Q.; Alyemeni, M.N.; Wani, A.S.; Pichtel, J.; Ahmad, A. Role of proline under changing environments: A review. Plant Signal. Behav. 2012, 7, 1456–1466. [Google Scholar] [CrossRef]
  51. Franzoni, G.; Cocetta, G.; Trivellini, A.; Garabello, C.; Contartese, V.; Ferrante, A. Effect of exogenous application of salt stress and glutamic acid on lettuce (Lactuca sativa L.). Sci. Hortic. 2022, 299, 111027. [Google Scholar] [CrossRef]
  52. Miceli, A.; Moncada, A.; D’anna, F. Effect of salt stress in lettuce cultivation. Int. Symp. Manag. Greenh. Crops Saline Environ. 2003, 609, 371–375. [Google Scholar] [CrossRef]
  53. Xu, C.; Mou, B. Responses of spinach to salinity and nutrient deficiency in growth, physiology, and nutritional value. J. Am. Soc. Hortic. Sci. 2016, 141, 12–21. [Google Scholar] [CrossRef]
  54. Ullah, A.; Bano, A.; Khan, N. Climate change and salinity effects on crops and chemical communication between plants and plant growth-promoting microorganisms under stress. Front. Sustain. Food Syst. 2021, 5, 618092. [Google Scholar] [CrossRef]
  55. Alfosea-Simón, M.; Zavala-Gonzalez, E.A.; Camara-Zapata, J.M.; Martínez-Nicolás, J.J.; Simón, I.; Simón-Grao, S.; García-Sánchez, F. Effect of foliar application of amino acids on the salinity tolerance of tomato plants cultivated under hydroponic system. Sci. Hortic. 2020, 272, 109509. [Google Scholar] [CrossRef]
  56. Abdelhamid, M.T.; Sadak, M.S.; Schmidhalter, U. Effect of foliar application of aminoacids on plant yield and some physiological parameters in bean plants irrigated with seawater. Acta Biol. Colomb. 2015, 20, 140–152. [Google Scholar] [CrossRef]
  57. Lucini, L.; Rouphael, Y.; Cardarelli, M.; Canaguier, R.; Kumar, P.; Colla, G. The effect of a plant-derived biostimulant on metabolic profiling and crop performance of lettuce grown under saline conditions. Sci. Hortic. 2015, 182, 124–133. [Google Scholar] [CrossRef]
  58. Fardus, J.; Hossain, M.S.; Fujita, M. Modulation of the antioxidant defense system by exogenous L-glutamic acid application enhances salt tolerance in lentil (Lens culinaris Medik.). Biomolecules 2021, 11, 587. [Google Scholar] [CrossRef] [PubMed]
  59. Calzada, K.P.; Viciedo, D.O.; Habermann, E.; Hurtado, A.C.; Gratão, P.L.; Prado, R.D.M.; Lata-Tenesaca, L.F.; Martinez, C.A.; Celi, G.E.A.; Rodríguez, J.C. Exogenous application of amino acids mitigates the deleterious effects of salt stress on soybean plants. Agronomy 2022, 12, 2014. [Google Scholar] [CrossRef]
  60. Al-Maskri, A.; Al-Kharusi, L.; Al-Miqbali, H.; Khan, M.M. Effects of salinity stress on growth of lettuce (Lactuca sativa) under closed-recycle nutrient film technique. Int. J. Agric. Biol. 2010, 12, 377–380. [Google Scholar]
  61. Hasanuzzaman, M.; Nahar, K.; Rohman, M.M.; Anee, T.I.; Huang, Y.; Fujita, M. Exogenous silicon protects Brassica napus plants from salinity-induced oxidative stress through the modulation of AsA-GSH pathway, thiol-dependent antioxidant enzymes and glyoxalase systems. Gesunde Pflanz. 2018, 70, 185–194. [Google Scholar] [CrossRef]
  62. van Zelm, E.; Zhang, Y.; Testerink, C. Salt Tolerance Mechanisms of Plants. Annu. Rev. Plant Biol. 2020, 71, 403–433. [Google Scholar] [CrossRef]
  63. Liu, X.; Yang, X.; Zhang, B. Transcriptome analysis and functional identification of GmMYB46 in soybean seedlings under salt stress. PeerJ 2021, 9, e12492. [Google Scholar] [CrossRef]
  64. Ren, J.; Ye, J.; Yin, L.; Li, G.; Deng, X.; Wang, S. Exogenous melatonin improves salt tolerance by mitigating osmotic, ion, and oxidative stresses in maize seedlings. Agronomy 2020, 10, 663. [Google Scholar] [CrossRef]
  65. Mihara, M.; Uchiyama, M.; Fukuzawa, K. Thiobarbituric acid value on fresh homogenate of rat as a parameter of lipid peroxidation in aging, CCl4 intoxication, and vitamin E deficiency. Biochem. Med. 1980, 23, 302–311. [Google Scholar] [CrossRef]
  66. Hurtado, A.C.; Chiconato, D.A.; Prado, R.d.M.; Junior, G.d.S.S.; Gratão, P.L.; Felisberto, G.; Viciedo, D.O.; dos Santos, D.M.M. Different methods of silicon application attenuate salt stress in sorghum and sunflower by modifying the antioxidative defense mechanism. Ecotoxicol. Environ. Saf. 2020, 203, 110964. [Google Scholar] [CrossRef]
  67. Ahmad, P.; Ahanger, M.A.; Alyemeni, M.N.; Wijaya, L.; Alam, P.; Ashraf, M. Mitigation of sodium chloride toxicity in Solanum lycopersicum L. by supplementation of jasmonic acid and nitric oxide. J. Plant Interact. 2018, 13, 64–72. [Google Scholar] [CrossRef]
  68. Batista-Silva, W.; Heinemann, B.; Rugen, N.; Nunes-Nesi, A.; Araújo, W.L.; Braun, H.-P.; Hildebrandt, T.M. The role of amino acid metabolism during abiotic stress release. Plant Cell Environ. 2019, 42, 1630–1644. [Google Scholar] [CrossRef] [PubMed]
  69. Zulfiqar, F.; Akram, N.A.; Ashraf, M. Osmoprotection in plants under abiotic stresses: New insights into a classical phenomenon. Planta 2020, 251, 3. [Google Scholar] [CrossRef] [PubMed]
  70. Khan, N.; Ali, S.; Zandi, P.; Mehmood, A.; Ullah, S.; Ikram, M.; Ismail, I.; Shahid, M.A.; Babar, A. Role of sugars, amino acids and organic acids in improving plant abiotic stress tolerance. Pak. J. Bot. 2020, 52, 355–363. [Google Scholar] [CrossRef]
  71. Karabal, E.; Yücel, M.; Öktem, H.A. Antioxidant responses of tolerant and sensitive barley cultivars to boron toxicity. Plant Sci. 2003, 164, 925–933. [Google Scholar] [CrossRef]
  72. Agarwal, S.; Pandey, V. Antioxidant enzyme responses to NaCl stress in Cassia angustifolia. Biol. Plant. 2004, 48, 555–560. [Google Scholar] [CrossRef]
  73. Jiménez-Bremont, J.F.; Becerra-Flora, A.; Hernández-Lucero, E.; Rodríguez-Kessler, M.; Acosta-Gallegos, J.A.; Ramírez-Pimentel, J.G. Proline accumulation in two bean cultivars under salt stress and the effect of polyamines and ornithine. Biol. Plant. 2006, 50, 763–766. [Google Scholar] [CrossRef]
  74. Eraslan, F.; Inal, A.; Savasturk, O.; Gunes, A. Changes in antioxidative system and membrane damage of lettuce in response to salinity and boron toxicity. Sci. Hortic. 2007, 114, 5–10. [Google Scholar] [CrossRef]
  75. Santander, C.; Ruiz, A.; García, S.; Aroca, R.; Cumming, J.; Cornejo, P. Efficiency of two arbuscular mycorrhizal fungal inocula to improve saline stress tolerance in lettuce plants by changes of antioxidant defense mechanisms. J. Sci. Food Agric. 2020, 100, 1577–1587. [Google Scholar] [CrossRef]
  76. Xie, E.; Wei, X.; Ding, A.; Zheng, L.; Wu, X.; Anderson, B. Short-term effects of salt stress on the amino acids of Phragmites australis root exudates in constructed wetlands. Water 2020, 12, 569. [Google Scholar] [CrossRef]
  77. Patel, M.K.; Kumar, M.; Li, W.; Luo, Y.; Burritt, D.J.; Alkan, N.; Tran, L.-S.P. Enhancing salt tolerance of plants: From metabolic reprogramming to exogenous chemical treatments and molecular approaches. Cells 2020, 9, 2492. [Google Scholar] [CrossRef]
  78. Ahanger, M.A.; Mir, R.A.; Alyemeni, M.N.; Ahmad, P. Combined effects of brassinosteroid and kinetin mitigates salinity stress in tomato through the modulation of antioxidant and osmolyte metabolism. Plant Physiol. Biochem. 2020, 147, 31–42. [Google Scholar] [CrossRef] [PubMed]
  79. El Moukhtari, A.; Cabassa-Hourton, C.; Farissi, M.; Savouré, A. How does proline treatment promote salt stress tolerance during crop plant development? Front. Plant Sci. 2020, 11, 1127. [Google Scholar] [CrossRef] [PubMed]
  80. Liu, B.; Peng, X.; Han, L.; Hou, L.; Li, B. Effects of exogenous spermidine on root metabolism of cucumber seedlings under salt stress by GC-MS. Agronomy 2020, 10, 459. [Google Scholar] [CrossRef]
Figure 1. Leaves number (A), fresh weight (B), dry matter (C), relative water contents (D), leaf area (E), and electrical conductivity (F) of lettuce leaves exposed to individual exogenous amino acids (histidine, lysine, phenylalanine, and threonine) under salinity (50 mM NaCl) stress conditions. In each figure, columns that share the same letter (lowercase characters) are not differ statistically at p ≤ 0.05.
Figure 1. Leaves number (A), fresh weight (B), dry matter (C), relative water contents (D), leaf area (E), and electrical conductivity (F) of lettuce leaves exposed to individual exogenous amino acids (histidine, lysine, phenylalanine, and threonine) under salinity (50 mM NaCl) stress conditions. In each figure, columns that share the same letter (lowercase characters) are not differ statistically at p ≤ 0.05.
Horticulturae 09 00626 g001
Figure 2. Chloride content (A), sodium content (B), potassium content (C), sodium–potassium ratio (D), chlorophyll a content (E), and chlorophyll b content (F) of lettuce leaves exposed to individual exogenous amino acids (histidine, lysine, phenylalanine, and threonine) under salinity (50 mM NaCl) stress conditions. In each figure, columns that share the same letter (lowercase characters) are not differ statistically at p ≤ 0.05.
Figure 2. Chloride content (A), sodium content (B), potassium content (C), sodium–potassium ratio (D), chlorophyll a content (E), and chlorophyll b content (F) of lettuce leaves exposed to individual exogenous amino acids (histidine, lysine, phenylalanine, and threonine) under salinity (50 mM NaCl) stress conditions. In each figure, columns that share the same letter (lowercase characters) are not differ statistically at p ≤ 0.05.
Horticulturae 09 00626 g002
Figure 3. Total chlorophyll content (A), carotene content (B), chlorophyll ratio (C), chlorophyll carotene ratio (D), acidity (E), and vitamin c content (F) of lettuce leaves exposed to individual exogenous amino acids (histidine, lysine, phenylalanine, and threonine) under salinity (50 mM NaCl) stress conditions. In each figure, columns that share the same letter (lowercase characters) are not differ statistically at p ≤ 0.05.
Figure 3. Total chlorophyll content (A), carotene content (B), chlorophyll ratio (C), chlorophyll carotene ratio (D), acidity (E), and vitamin c content (F) of lettuce leaves exposed to individual exogenous amino acids (histidine, lysine, phenylalanine, and threonine) under salinity (50 mM NaCl) stress conditions. In each figure, columns that share the same letter (lowercase characters) are not differ statistically at p ≤ 0.05.
Horticulturae 09 00626 g003
Figure 4. Level of endogenic amino acids in lettuce leaves (g/100 g) as affected by exogenous amino acids (histidine, lysine, phenylalanine, and threonine) under salinity (50 mM NaCl) stress conditions: asparagine (A), threonine (B), serine (C), glycine (D), proline (E), and glutamine (F). In each figure, columns that share the same letter (lowercase characters) are not differ statistically at p ≤ 0.05.
Figure 4. Level of endogenic amino acids in lettuce leaves (g/100 g) as affected by exogenous amino acids (histidine, lysine, phenylalanine, and threonine) under salinity (50 mM NaCl) stress conditions: asparagine (A), threonine (B), serine (C), glycine (D), proline (E), and glutamine (F). In each figure, columns that share the same letter (lowercase characters) are not differ statistically at p ≤ 0.05.
Horticulturae 09 00626 g004aHorticulturae 09 00626 g004b
Figure 5. Level of endogenic amino acids in lettuce leaves (g/100 g) as affected by the exogenous amino acids (histidine, lysine, phenylalanine, and threonine) under salinity (50 mM NaCl) stress conditions: alanine (A), valine (B), methionine (C), isoleucine (D), leucine (E), and tyrosine (F). In each figure, columns that share the same letter (lowercase characters) are not differ statistically at p ≤ 0.05.
Figure 5. Level of endogenic amino acids in lettuce leaves (g/100 g) as affected by the exogenous amino acids (histidine, lysine, phenylalanine, and threonine) under salinity (50 mM NaCl) stress conditions: alanine (A), valine (B), methionine (C), isoleucine (D), leucine (E), and tyrosine (F). In each figure, columns that share the same letter (lowercase characters) are not differ statistically at p ≤ 0.05.
Horticulturae 09 00626 g005
Figure 6. Level of proteinogenic response in the lettuce leaves (g/100 g) as affected by exogenous amino acids (histidine, lysine, phenylalanine, and threonine) under salinity (50 mM NaCl) stress conditions: phenylalanine (A), ornithine (B), lysine (C), histidine (D), arginine (E), and total protein (F). In each figure, columns that share the same letter (lowercase characters) are not differ statistically at p ≤ 0.05.
Figure 6. Level of proteinogenic response in the lettuce leaves (g/100 g) as affected by exogenous amino acids (histidine, lysine, phenylalanine, and threonine) under salinity (50 mM NaCl) stress conditions: phenylalanine (A), ornithine (B), lysine (C), histidine (D), arginine (E), and total protein (F). In each figure, columns that share the same letter (lowercase characters) are not differ statistically at p ≤ 0.05.
Horticulturae 09 00626 g006
Figure 7. Activity of (A) peroxidase; (B) catalase enzymes of lettuce leaves as affected by exogenous amino acids (histidine, lysine, phenylalanine, and threonine) under salinity (50 mM NaCl) stress conditions; (C) principal component analysis; and (D) scree plot where PCA1 and PCA2 explain more than 82% of the total variation. In figure A and B, columns that share the same letter (lowercase characters) are not differ statistically at p ≤ 0.05.
Figure 7. Activity of (A) peroxidase; (B) catalase enzymes of lettuce leaves as affected by exogenous amino acids (histidine, lysine, phenylalanine, and threonine) under salinity (50 mM NaCl) stress conditions; (C) principal component analysis; and (D) scree plot where PCA1 and PCA2 explain more than 82% of the total variation. In figure A and B, columns that share the same letter (lowercase characters) are not differ statistically at p ≤ 0.05.
Horticulturae 09 00626 g007
Disclaimer/Publisher’s Note: The statements, opinions and data contained in all publications are solely those of the individual author(s) and contributor(s) and not of MDPI and/or the editor(s). MDPI and/or the editor(s) disclaim responsibility for any injury to people or property resulting from any ideas, methods, instructions or products referred to in the content.

Share and Cite

MDPI and ACS Style

Abdelkader, M.; Voronina, L.; Shelepova, O.; Puchkov, M.; Loktionova, E.; Zhanbyrshina, N.; Yelnazarkyzy, R.; Tleppayeva, A.; Ksenofontov, A. Monitoring Role of Exogenous Amino Acids on the Proteinogenic and Ionic Responses of Lettuce Plants under Salinity Stress Conditions. Horticulturae 2023, 9, 626. https://doi.org/10.3390/horticulturae9060626

AMA Style

Abdelkader M, Voronina L, Shelepova O, Puchkov M, Loktionova E, Zhanbyrshina N, Yelnazarkyzy R, Tleppayeva A, Ksenofontov A. Monitoring Role of Exogenous Amino Acids on the Proteinogenic and Ionic Responses of Lettuce Plants under Salinity Stress Conditions. Horticulturae. 2023; 9(6):626. https://doi.org/10.3390/horticulturae9060626

Chicago/Turabian Style

Abdelkader, Mostafa, Luidmila Voronina, Olga Shelepova, Mikhail Puchkov, Elena Loktionova, Nursaule Zhanbyrshina, Rakhiya Yelnazarkyzy, Aigul Tleppayeva, and Alexander Ksenofontov. 2023. "Monitoring Role of Exogenous Amino Acids on the Proteinogenic and Ionic Responses of Lettuce Plants under Salinity Stress Conditions" Horticulturae 9, no. 6: 626. https://doi.org/10.3390/horticulturae9060626

APA Style

Abdelkader, M., Voronina, L., Shelepova, O., Puchkov, M., Loktionova, E., Zhanbyrshina, N., Yelnazarkyzy, R., Tleppayeva, A., & Ksenofontov, A. (2023). Monitoring Role of Exogenous Amino Acids on the Proteinogenic and Ionic Responses of Lettuce Plants under Salinity Stress Conditions. Horticulturae, 9(6), 626. https://doi.org/10.3390/horticulturae9060626

Note that from the first issue of 2016, this journal uses article numbers instead of page numbers. See further details here.

Article Metrics

Back to TopTop