Effect of Ga and Zr Substitution on the Properties of Dy2Fe17−XZrX and Dy2Fe16Ga1−xZrx (0 ≤ x ≤ 1) Intermetallic Compounds Prepared via Arc Melting Process
Abstract
1. Introduction
2. Experimental
3. Results and Discussion
4. Conclusions
Author Contributions
Funding
Conflicts of Interest
References
- Strnat, K.J. Chapter 2—Rare-earth-cobalt permanent magnets. In Handbook of Ferromagnetic Materials; Elsevier B.V.: Amsterdam, The Netherlands, 1988; Volume 4, pp. 131–209. [Google Scholar]
- Oesterreicher, H.; McNeely, D. Studies on compounds DyFe3, Dy6Fe23 and Dy2Fe17 with al substitution for Fe I: Structural investigations. J. Less Common Met. 1977, 53, 235–243. [Google Scholar] [CrossRef]
- Pszczola, J.; Zukrowski, J.; Suwalski, J.; Kucharski, Z.; Lukasiak, M. The 161Dy and 57Fe Mössbauer studies of the Dy2Fe17−yAlycompounds. J. Magn. Magn. Mater. 1983, 40, 197. [Google Scholar] [CrossRef]
- Pfranger, R.; Plusa, D.; Szymura, S.; Wyslocki, B. Domain Structures and anisotropy constant in the compound Dy2Fe17. J. Magn. Magn. Mater. 1980, 21, 43. [Google Scholar] [CrossRef]
- Rao, K.V.S.R.; Ehrenberg, H.; Markandeyulu, G.; Varadaraju, U.V.; Venkatesan, M.; Suresh, K.G.; Murthy, V.S.; Schmidt, P.C.; Fuess, H. On the Structural and Magnetic Properties of R2Fe17—x (A, T)x (R = Rare- Earth; A = Al, Si, Ga; T = Transition Metal) Compounds. Phys. Stat. Sol. A 2002, 189, 373–388. [Google Scholar] [CrossRef]
- Plugaru, N.; Rubin, J.; Bartolome, J.; Piquer, C.; Artigas, M. Magnetic properties of RFe11.3W0.7 (R = Dy, Ho, Er, and Lu): On the R−Fe exchange interaction in the R(Fe,T)12 class of compounds. Phys. Rev. B 2002, 65, 134419. [Google Scholar] [CrossRef]
- Zinkevich, M.; Mattern, N.; Bacher, I.; Puerta, S. Formation, crystal structure and magnetic properties of (1:12) compounds in the Fe-Gd-Mo-Zr system. J. Alloys Compd. 2002, 336, 320–328. [Google Scholar] [CrossRef]
- Chen, Z.; Hadjipanayis, G.C. Effects of Cr substitution on the formation, structure and magnetic properties of Sm 2(Fe,Cr)17Cx alloys. IEEE Trans. Magn. 1997, 33, 3856–3858. [Google Scholar] [CrossRef]
- Kataoka, M.; Satoh, T.; Otsuki, E. Structure and magnetic properties of Sm3 (Fe, V) 29 NX. J. Appl. Phys. 1999, 85, 4675–4677. [Google Scholar] [CrossRef]
- Gebel, B.; Kubis, M.; Müller, K. Permanent magnets prepared from Sm10.5Fe88.5Zr1.0Ny without homogenization. J. Magn. Magn. Mater. 1997, 174, L1–L4. [Google Scholar] [CrossRef]
- Dahal, J.N.; Ali, K.S.; Mishra, S.R.; Alam, J. Structural, Magnetic, and Mössbauer Studies of Transition Metal-Doped Gd2Fe16Ga0.5TM0.5 Intermetallic Compounds (TM = Cr, Mn, Co, Ni, Cu, and Zn). Magnetochemistry 2018, 4, 54. [Google Scholar] [CrossRef]
- Coey, J.M.D.; Sun, H. Improved magnetic properties by treatment of iron-based rare earth intermetallic compounds in ammonia. J. Magn. Magn. Mater. 1990, 87, L251–L254. [Google Scholar] [CrossRef]
- Coey, J.M.D.; Sun, H.; Otani, Y.; Hurley, D.P.F. Gas-phase carbonation of R2Fe17; R = Y, Sm. J. Magn. Magn. Mater. 1991, 98, 76. [Google Scholar] [CrossRef]
- Zhong, X.P.; Radwanski, R.J.; de B-er, F.R.; Jacobs, T.H.; Buschow, K.H.J. Magnetic and crystallographic characteristics of rare-earth ternary carbides derived from R2Fe17 compounds. J. Magn. Magn. Mater. 1990, 86, 333. [Google Scholar] [CrossRef]
- Buschow, K.H.J.; Coehoorn, R.; de Waard, D.B.d.K.; Jacobs, T.H. Structure and magnetic properties of R2Fe17Nx compounds. J. Magn. Magn. Mater. 1990, 92, L35–L38. [Google Scholar] [CrossRef]
- Wang, Z.; Dunlap, R.A. Effects of Al substitutions on the magnetic anisotropy of Sm2Fe17 compounds. J. Phys. Condens. Matter 1993, 5, 1407–1414. [Google Scholar] [CrossRef]
- Yelon, W.B.; Xie, H. Neutron diffraction and Mössbauer effect study of several Nd2Fe17−xAlxsolid solutions. J. Appl. Phys. 1993, 73, 6029. [Google Scholar] [CrossRef]
- Shen, B.-G.; Cheng, Z.-H.; Gong, H.-Y.; Liang, B.; Yan, Q.-W.; Zhan, W.-S. Magnetic anisotropy of Dy2Fe17−xGax compounds. Solid State Commun. 1995, 95, 813–816. [Google Scholar] [CrossRef]
- Dahal, J.N.; Neupane, D.; Poudel, T.P. Synthesis and magnetic properties of 4: 1 hard-soft SrFe12O19-La1-xSrxMnO3 nanocomposite prepared by auto-combustion method. AIP Adv. 2019, 9, 075308. [Google Scholar] [CrossRef]
- Gubbens, P.M.; Moolenaar, A.A.; Boender, G.J.; Kraan, A.M.V.D.; Jacobs, T.H.; Buschow, K.H.J. 166Er and 57Fe Mössbauer effect in Er2Fe17Nx. J. Magn. Magn. Mater. 1991, 97, 69–72. [Google Scholar] [CrossRef]
- Betancourt, I.; Davies, H. Influence of Zr and Nb dopant additions on the microstructure and magnetic properties of nanocomposite RE2(Fe,Co)14B/α(Fe,Co) (RE = Nd–Pr) alloys. J. Magn. Magn. Mater. 2003, 261, 328–336. [Google Scholar] [CrossRef]
- Long, G.J.; Marasinghe, G.K.; Mishra, S.; Pringle, O.A.; Hu, Z.; Yelon, W.B.; Middleton, D.P.; Buschow, K.H.J.; Grandjean, F. A Magnetic, Neutron Diffraction, and Mössbauer Spectral Study of the Nd2Fe17−xAlx Solid Solutions. J. Appl. Phys. 1994, 76, 5383–5384. [Google Scholar] [CrossRef]
- Isnard, O.; Miraglia, S.; Soubeyroux, J.L.; Fruchart, D. Neutron powder diffraction study of R2Fe17Hx compounds with R = Pr and Nd. Solid State Commun. 1992, 81, 13–19. [Google Scholar] [CrossRef]
- Coey, J.M.D. New permanent magnets; manganese compounds. J. Phys. Condens. Matter. 2014, 26, 064211. [Google Scholar] [CrossRef]
- Rietveld, H.M. A profile refinement method for nuclear and magnetic structures. J. Appl. Cryst. 1969, 2, 65. [Google Scholar] [CrossRef]
- Petříček, V.; Dušek, M.; Palatinus, L. Crystallographic Computing System JANA2006: General features. Z. Kristallogr. 2014, 229, 345. [Google Scholar] [CrossRef]
- Liao, L.X.; Altounican, Z.; Ryan, D.H. Cobalt site preferences in iron rare-earth-based compounds. Phys. Rev. B 1993, 47, 11230. [Google Scholar] [CrossRef] [PubMed]
- Howard, C.J. The approximation of asymmetric neutron powder diffraction peaks by sums of Gaussians. J. Appl. Crystallogr. 1982, 15, 15615. [Google Scholar] [CrossRef]
- Pitschke, W.; Hermann, H.; Mattern, N. The influence of surface roughness on diffracted X-ray intensities in Bragg–Brentano geometry and its effect on the structure determination by means of Rietveld analysis. Powder Diff. 1993, 8, 74. [Google Scholar] [CrossRef]
- Murtaza, G.; Ahmad, R.; Rashid, M.S.; Hassan, M.; Hussnain, A.; Khan, M.A.; Haq, M.E.u.; Shafique, M.A.; Riaz, S. Structural and magnetic studies on Zr doped ZnO diluted magnetic semiconductor. Curr. Appl. Phys. 2014, 14, 176–181. [Google Scholar] [CrossRef]
- Yan-ming, H.; Qi-wei, Y.; Pan-lin, Z.; Xiang-dong, S.; Fang-wei, W.; Bao-gen, S. Magnetic properties of Dy2Fe17−xCrx and Er2Fe17−xCrx (x = 0–3) compounds. Acta Phys. Sin. 1997, 6, 440. [Google Scholar]
- Chikazumi, S.; Graham, C.D. Physics of Ferromagnetism, 2nd ed.; Oxford University Press: Oxford, UK, 2009; p. 94. [Google Scholar]
- Long, G.J.; Mishra, S.R.; Pringle, O.A.; Hu, W.B.Y.Z.; Grandjean, F.; Middleton, D.P.; Buschow, K.H.J. A magnetic, neutron diffraction, and Mossbauer spectral study of the Ce2Fe17−xGax solid solutions. J. Magn. Magn. Mater. 1997, 176, 217–232. [Google Scholar] [CrossRef]
- Zhang, Y.; Budnick, J.I.; Hines, W.A.; Shen, B.G.; Cheng, Z. Effect of Ga substitution on the Sm sublattice anisotropy in Sm2Fe17−xGax (0 <x <8). J. Appl. Phys. 1999, 85, 4663–4665. [Google Scholar]
- Rai, K.; Ali, K.S.S.; Mishra, S.R.; Khanra, S.; Ghosh, K. A structural, magnetic, and Mössbauer study of the Dy2Fe17−xZrx solid solutions. J. Magn. Magn. Mater. 2014, 353, 51–56. [Google Scholar] [CrossRef]
- Bara, J.J.; Pedziwiatr, A.T.; Zarek, W. Investigations of crystal and magnetic properties of Dy-Fe intermetallic compounds. J. Magn. Magn. Mater. 1982, 27, 168–174. [Google Scholar] [CrossRef]
- Valeanu, M.; Plugaru, N.; Burzo, E. Effect of nitrogenation on the magnetic properties of Y2Fe17−xMx compounds, with M = Al, Ga or Si. Solid State Commun. 1994, 89, 519. [Google Scholar] [CrossRef]
- Neél, L. Propriétés magnétiques de l’état métallique et énergie d’interaction entre atoms magnétiques. Ann. Phys. 1936, 5, 232. [Google Scholar] [CrossRef]
- Li, Z.W.; Morris, A.H. Negative exchange interactions and Curie temperatures for Sm2Fe17 and Sm2Fe17Ny. Phys. Rev. B 1997, 55, 3670. [Google Scholar] [CrossRef]
- Long, G.J.; Isnard, O.; Grandjean, F. A Mossbauer spectral study of the magnetic properties of Ho2Fe17 and Ho2Fe17D3.8. J. Appl. Phys. 2002, 91, 1423. [Google Scholar] [CrossRef]
- Grandjean, F.; Isnard, O.; Long, G.J. Magnetic and Mossbauer spectral evidence for the suppression of the magnetic spin reorientation in Tm2Fe17 by deuterium. Phys. Rev. B 2002, 65, 064429. [Google Scholar] [CrossRef]








| x | a (Å) | c (Å) | V (Å3) | Robs (%) | wRobs (%) | Rp (%) | wRp (%) | |
|---|---|---|---|---|---|---|---|---|
| Dy2Fe17−xZrx | 0 | 8.45541(11) | 8.29036(4) | 513.303(18) | 4.17 | 5.95 | 10.65 | 14.49 |
| 0.25 | 8.46147(19) | 8.29361(13) | 515.456(21) | 3.13 | 4.16 | 12.32 | 15.43 | |
| 0.5 | 8.46963(16) | 8.30442(12) | 516.913(16) | 4.16 | 4.33 | 11.91 | 17.21 | |
| 0.75 | 8.4749(14) | 8.30836(11) | 517.725(21) | 4.52 | 5.11 | 9.32 | 10.12 | |
| 1 | 8.53823(17) | 8.33743(19) | 522.429(13) | 5.01 | 6.99 | 9.96 | 10.21 | |
| Dy2Fe16Ga1−xZrx | 0 | 8.46324(3) | 8.29025(3) | 514.013(26) | 5.97 | 6.17 | 10.21 | 12.13 |
| 0.25 | 8.46943(15) | 8.28922(7) | 514.265(28) | 5.65 | 6.97 | 13.64 | 16.98 | |
| 0.5 | 8.48437(12) | 8.29985(5) | 517.221(23) | 4.52 | 5.11 | 9.32 | 10.12 | |
| 0.75 | 8.51833(7) | 8.32536(7) | 519.498(13) | 5.21 | 6.12 | 12.21 | 11.21 | |
| 1 | 8.53823(17) | 8.33743(19) | 522.429(13) | 5.01 | 6.99 | 9.96 | 10.21 |
| x | Fe(4f) | Fe(6g) | Fe(12j) | Fe(12k) | Zr(4f) | Zr(6g) | Zr(12j) | Zr(12k) | |
| Site occupancy for Dy2Fe17−xZrx (%) | 0.00 | 16.9(59) | 24.3(6) | 49.5(95) | 50.9(31) | 0 | 0 | 0 | 0 |
| 0.25 | 16.5(2) | 24.1(7) | 52.0(1) | 48.0(4) | 0.4(3) | 0.52(6) | 0.74(1) | 0.68(13) | |
| 0.50 | 15.7(1) | 24.3(4) | 48.5(12) | 47.5(7) | 0.47(14) | 1.32(15) | 1.41(3) | 2.11(17) | |
| 0.75 | 15.9(2) | 23.9(5) | 47.7(1) | 47.1(17) | 0.73(8) | 1.40(3) | 2.20(6) | 2.20(15) | |
| 1.00 | 15.6(4) | 22.6(4) | 31.5(1) | 47.0(3) | 0.98(7) | 2.61(6) | 3.14(3) | 2.84(11) | |
| x | Ga(4f) | Ga(6g) | Ga(12j) | Ga(12k) | Zr(4f) | Zr(6g) | Zr(12j) | Zr(12k) | |
| Site occupancy for Dy2Fe16Ga1−xZrx (%) | 0.00 | 0.86(21) | 1.36(15) | 3.57(16) | 3.14(23) | 0 | 0 | 0 | 0 |
| 0.25 | 0.88(43) | 1.13(43) | 2.13(12) | 2.16(11) | 0.27(12) | 0.38(14) | 0.71(36) | 0.72(41) | |
| 0.50 | 0.49(31) | 0.73(42) | 1.47(13) | 1.47(32) | 0.49(41) | 0.73(32) | 1.43(32) | 1.45(11) | |
| 0.75 | 0.14(22) | 0.37(62) | 0.74(16) | 0.73(31) | 0.62(21) | 1.51(21) | 1.85(22) | 1.92(13) | |
| 1.00 | 0 | 0 | 0 | 0 | 0.98(7) | 2.61(6) | 3.14(3) | 2.84(11) |
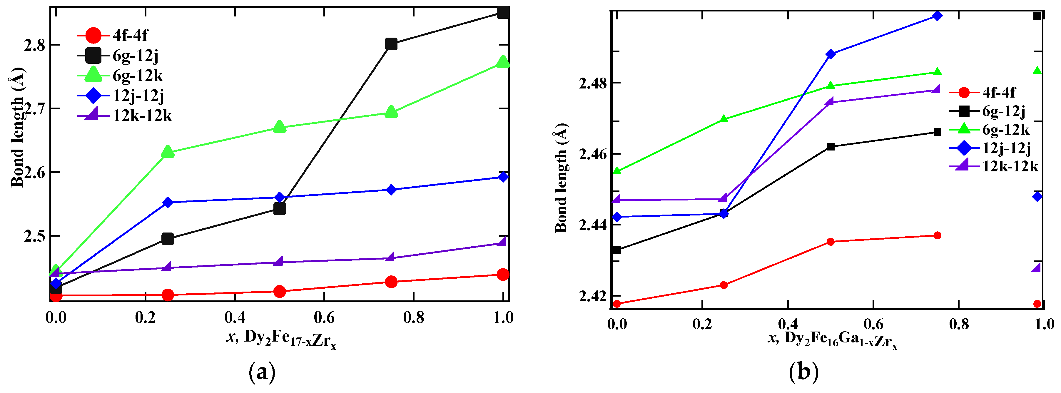
| x | Bond length Dy2Fe17−xZrx (Å) | Bond length Dy2Fe16Ga1−xZrx (Å) | Dy2Fe17−xZrx | Dy2Fe16Ga1−xZrx | |||||||||
|---|---|---|---|---|---|---|---|---|---|---|---|---|---|
| 4f–4f | 6g–12j | 6g–12k | 12j–12j | 12k–12k | 4f–4f | 6g–12j | 6g–12k | 12j–12j | Ms (emu/g) | Tc (K) | Ms | Tc (K) | |
| 0.00 | 2.406 | 2.418 | 2.443 | 2.425 | 2.44 | 2.418 | 2.433 | 2.455 | 2.442 | 62.94 | 408 | 61.58 | 488 |
| 0.25 | 2.407 | 2.495 | 2.63 | 2.552 | 2.449 | 2.423 | 2.443 | 2.469 | 2.443 | 60.78 | 456 | 60.48 | 500.1 |
| 0.50 | 2.412 | 2.542 | 2.669 | 2.56 | 2.458 | 2.435 | 2.462 | 2.479 | 2.488 | 58.57 | 503.9 | 57.25 | 505.1 |
| 0.75 | 2.427 | 2.801 | 2.693 | 2.572 | 2.464 | 2.437 | 2.466 | 2.483 | 2.499 | 55.04 | 510 | 56.39 | 502.5 |
| 1.00 | 2.439 | 2.851 | 2.772 | 2.592 | 2.488 | 2.439 | 2.85 | 2.771 | 2.592 | 52.07 | 425 | 52.07 | 425 |
| Composition | x | 4f | 4e | 6g4 | 6g2 | 12j8 | 12j4 | 12k8 | 12k4 | Doublet | |
|---|---|---|---|---|---|---|---|---|---|---|---|
| Dy2Fe17-xZrx | HF (kOe) | 0.00 | 261 | 248 | 217 | 202.4 | 245.6 | 189 | 199.7 | 203.7 | |
| 0.25 | 260.2 | 248.5 | 215.3 | 200.3 | 245 | 187 | 197.9 | 200.4 | |||
| 0.50 | 261.1 | 247.1 | 214.9 | 198.6 | 245.8 | 184 | 198.7 | 201.9 | |||
| 0.75 | 258.4 | 248.7 | 216.6 | 200 | 245 | 186 | 198 | 199.9 | |||
| 1.00 | 262.1 | 249 | 236.5 | 200.5 | 245.3 | 176 | 218.1 | 181.3 | 34 | ||
| IS (mm/s) | 0.00 | −0.114 | −0.228 | −0.333 | −0.33 | −0.326 | −0.33 | −0.39 | −0.39 | ||
| 0.25 | −0.096 | −0.234 | −0.341 | −0.34 | −0.331 | −0.33 | −0.39 | −0.39 | |||
| 0.50 | −0.088 | −0.028 | −0.109 | −0.11 | −0.111 | −0.11 | −0.34 | −0.34 | |||
| 0.75 | −0.092 | 0.124 | −0.135 | −0.14 | −0.091 | −0.09 | −0.39 | −0.39 | |||
| 1.00 | −0.27 | 0.158 | −0.12 | −0.12 | 0.059 | 0.06 | −0.37 | −0.37 | 0.06 | ||
| QS (mm/s) | 0.00 | 0.152 | 0.191 | 0.152 | 0.303 | −0.295 | 0.40 | 0.083 | −0.58 | ||
| 0.25 | 0.152 | 0.16 | 0.128 | 0.296 | −0.291 | 0.40 | −0.03 | −0.58 | |||
| 0.50 | 0.119 | 0.163 | 0.175 | 0.289 | −0.276 | 0.40 | 0.121 | −0.50 | |||
| 0.75 | 0.178 | 0.301 | 0.157 | 0.335 | −0.199 | 0.40 | −0.03 | −0.58 | |||
| 1.00 | 0.123 | 0.25 | −0.048 | 0.155 | −0.25 | 0.35 | 0.042 | −0.58 | −0.39 | ||
| Area (%) | 0.00 | 4.0 | 1.91 | 15.3 | 17.5 | 4.3 | 19.5 | 10.9 | 13.1 | ||
| 0.25 | 5.5 | 8.20 | 17.7 | 17.4 | 6.3 | 16.0 | 10.4 | 13.3 | |||
| 0.50 | 6.2 | 6.70 | 21.9 | 17.3 | 6.0 | 11..7 | 9.60 | 15.1 | |||
| 0.75 | 5.25 | 4.00 | 21.0 | 19.0 | 7.6 | 14.0 | 14.81 | 13.5 | |||
| 1.00 | 4.2 | 4.90 | 11.2 | 31.9 | 6.2 | 4.21 | 23.1 | 15.2 | 9. 23 | ||
| Dy2Fe16Ga1-xZrx | HF (kOe) | 0.00 | 278.7 | 249.7 | 230.2 | 214.9 | 260 | 218.2 | 196.5 | 220 | |
| 0.25 | 282.9 | 249.9 | 224.5 | 204 | 288.1 | 164.8 | 220.3 | 195.3 | |||
| 0.50 | 267.6 | 267.9 | 229 | 204 | 254.2 | 123.4 | 226.8 | 185.3 | |||
| 0.75 | 266.7 | 243.7 | 238.1 | 199.4 | 248.6 | 120.7 | 219.2 | 178.3 | |||
| 1.00 | 262.1 | 248.9 | 236.5 | 200.4 | 245.3 | 122 | 218.1 | 181.3 | 34 | ||
| IS (mm/s) | 0.00 | −0.126 | −0.301 | −0.309 | −0.309 | −0.422 | −0.422 | −0.254 | −0.254 | ||
| 0.25 | −0.257 | −0.335 | −0.356 | −0.356 | 0.215 | 0.215 | −0.301 | −0.301 | |||
| 0.50 | −0.227 | −0.509 | −0.367 | −0.367 | 0.068 | 0.068 | −0.327 | −0.327 | |||
| 0.75 | −0.252 | 0.145 | −0.37 | −0.37 | 0.041 | 0.041 | −0.373 | −0.373 | |||
| 1.00 | −0.27 | 0.158 | −0.378 | −0.378 | 0.058 | 0.058 | −0.37 | −0.370 | 0.06 | ||
| QD | 0.00 | 0.158 | 0.0107 | 0.133 | 0.259 | −0.418 | −0.48 | 0.259 | −0.58 | ||
| (mm/s) | 0.25 | 0.084 | −0.102 | −0.093 | −0.568 | 0.500 | −0.477 | 0.284 | 0.178 | ||
| 0.50 | −0.069 | −0.7 | −0.196 | 0.201 | 0.500 | −0.134 | 0.249 | 0.118 | |||
| 0.75 | −0.029 | −0.6 | −0.102 | 0.156 | 0.500 | −0.214 | 0.057 | 0.079 | |||
| 1.00 | −0.181 | −0.6 | −0.049 | 0.155 | 0.390 | −0.142 | 0.042 | 0.136 | −0.388 | ||
| Area (%) | 0.00 | 13.7 | 15.9 | 20.0 | 21.0 | 10.5 | 5.50 | 11.9 | 3.90 | ||
| 0.25 | 5.20 | 16.7 | 18.8 | 4.62 | 5.50 | 2.60 | 19.0 | 20.2 | |||
| 0.50 | 7.40 | 7.8 | 18.7 | 17.7 | 6.17 | 5.50 | 22.1 | 14.1 | |||
| 0.75 | 6.75 | 3.80 | 28.2 | 4.30 | 3.00 | 26.8 | 12.0 | 14.4 | |||
| 1.00 | 4.20 | 4.87 | 11.2 | 31.9 | 6.16 | 4.20 | 23.1 | 15.2 | 9.23 |
© 2020 by the authors. Licensee MDPI, Basel, Switzerland. This article is an open access article distributed under the terms and conditions of the Creative Commons Attribution (CC BY) license (http://creativecommons.org/licenses/by/4.0/).
Share and Cite
Dahal, J.N.; Ali, K.S.S.; Mishra, S.R.; Neupane, D. Effect of Ga and Zr Substitution on the Properties of Dy2Fe17−XZrX and Dy2Fe16Ga1−xZrx (0 ≤ x ≤ 1) Intermetallic Compounds Prepared via Arc Melting Process. Magnetochemistry 2020, 6, 9. https://doi.org/10.3390/magnetochemistry6010009
Dahal JN, Ali KSS, Mishra SR, Neupane D. Effect of Ga and Zr Substitution on the Properties of Dy2Fe17−XZrX and Dy2Fe16Ga1−xZrx (0 ≤ x ≤ 1) Intermetallic Compounds Prepared via Arc Melting Process. Magnetochemistry. 2020; 6(1):9. https://doi.org/10.3390/magnetochemistry6010009
Chicago/Turabian StyleDahal, Jiba Nath, K.S. Syed Ali, S.R. Mishra, and Dipesh Neupane. 2020. "Effect of Ga and Zr Substitution on the Properties of Dy2Fe17−XZrX and Dy2Fe16Ga1−xZrx (0 ≤ x ≤ 1) Intermetallic Compounds Prepared via Arc Melting Process" Magnetochemistry 6, no. 1: 9. https://doi.org/10.3390/magnetochemistry6010009
APA StyleDahal, J. N., Ali, K. S. S., Mishra, S. R., & Neupane, D. (2020). Effect of Ga and Zr Substitution on the Properties of Dy2Fe17−XZrX and Dy2Fe16Ga1−xZrx (0 ≤ x ≤ 1) Intermetallic Compounds Prepared via Arc Melting Process. Magnetochemistry, 6(1), 9. https://doi.org/10.3390/magnetochemistry6010009

