Effect of Single-Ion Anisotropy on Magnetocaloric Properties of Frustrated Spin-s Ising Nanoclusters
Abstract
1. Introduction
2. Model and Method
2.1. Model
2.2. Method of Exact Enumeration
2.2.1. Ground State
2.2.2. Thermodynamic and Magnetocaloric Properties
3. Results
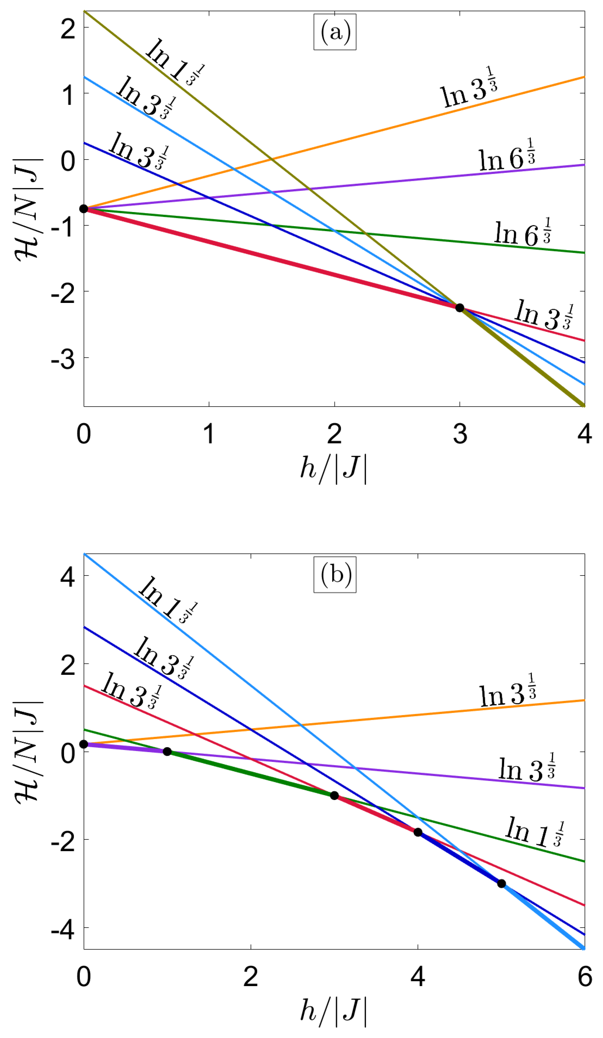
3.1. Ground State
3.1.1. T Cluster
3.1.2. 2CS Cluster
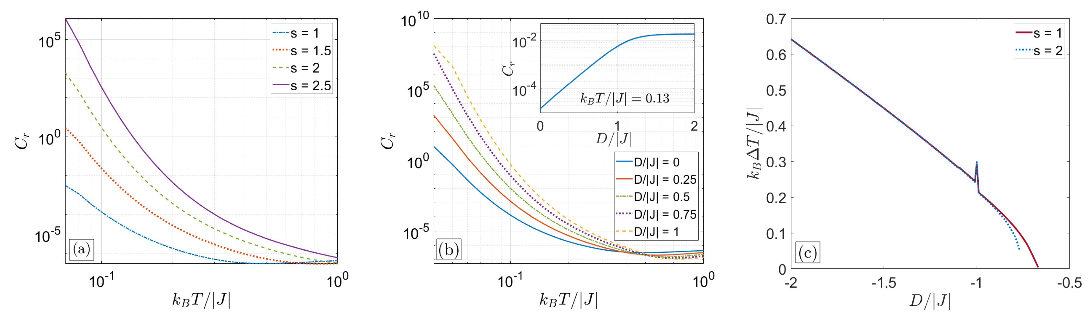
3.2. Finite Temperatures
3.2.1. T Cluster
3.2.2. 2CS Cluster
4. Discussion
Author Contributions
Funding
Conflicts of Interest
Abbreviations
| MCE | magnetocaloric effect |
| T | triangular cluster |
| 2CS | two corner-sharing tetrahedra cluster |
| GS | ground state |
References
- Shen, J.; Kirschner, J. Tailoring magnetism in artificially structured materials: The new frontier. Surf. Sci. 2002, 500, 300–322. [Google Scholar] [CrossRef]
- Lounis, S.; Mavropoulos, P.; Zeller, R.; Dederichs, P.H.; Blügel, S. Noncollinear magnetism of Cr and Mn nanoclusters on Ni(111): Changing the magnetic configuration atom by atom. Phys. Rev. B 2007, 75, 174436. [Google Scholar] [CrossRef]
- Pedersen, K.; Bendix, J.; Clérac, R. Single-molecule magnet engineering: Building-block approaches. Chem. Commun. 2014, 50, 4396–4415. [Google Scholar] [CrossRef] [PubMed]
- Kahn, O. Molecular Magnetism; VCH Publishers, Inc.: Hoboken, NJ, USA, 1993; p. 393. [Google Scholar]
- Gatteschi, D.; Sessoli, R.; Villain, J. Molecular Nanomagnets; Oxford University Press on Demand: Oxford, UK, 2006; Volume 5. [Google Scholar]
- Furrer, A.; Waldmann, O. Magnetic cluster excitations. Rev. Mod. Phys. 2013, 85, 367–420. [Google Scholar] [CrossRef]
- Spichkin, Y.; Zvezdin, A.; Gubin, S.; Mischenko, A.; Tishin, A. Magnetic molecular clusters as promising materials for refrigeration in low-temperature regions. J. Phys. D Appl. Phys. 2001, 34, 1162–1166. [Google Scholar] [CrossRef]
- Evangelisti, M.; Luis, F.; de Jongh, L.J.; Affronte, M. Magnetothermal properties of molecule-based materials. J. Mater. Chem. 2006, 16, 2534–2549. [Google Scholar] [CrossRef]
- Manoli, M.; Johnstone, R.; Parsons, S.; Murrie, M.; Affronte, M.; Evangelisti, M.; Brechin, E. A Ferromagnetic Mixed-Valent Mn Supertetrahedron: Towards Low-Temperature Magnetic Refrigeration with Molecular Clusters. Angew. Chem. Int. Ed. 2007, 46, 4540–4544. [Google Scholar] [CrossRef]
- Manoli, M.; Collins, A.; Parsons, S.; Candini, A.; Evangelisti, M.; Brechin, E.K. Mixed-valent Mn supertetrahedra and planar discs as enhanced magnetic coolers. J. Am. Chem. Soc. 2008, 130, 11129–11139. [Google Scholar] [CrossRef] [PubMed]
- Evangelisti, M.; Candini, A.; Ghirri, A.; Affronte, M.; Brechin, E.K.; McInnes, E.J. Spin-enhanced magnetocaloric effect in molecular nanomagnets. Appl. Phys. Lett. 2005, 87, 072504. [Google Scholar] [CrossRef]
- Shaw, R.; Laye, R.H.; Jones, L.F.; Low, D.M.; Talbot-Eeckelaers, C.; Wei, Q.; Milios, C.J.; Teat, S.; Helliwell, M.; Raftery, J.; et al. 1,2,3-Triazolate-bridged tetradecametallic transition metal clusters [M14(L)6O6(OMe)18X6](M = FeIII, CrIII and VIII/IV) and related compounds: Ground-state spins ranging from S = 0 to S = 25 and spin-enhanced magnetocaloric effect. Inorg. Chem. 2007, 46, 4968–4978. [Google Scholar] [CrossRef]
- Evangelisti, M.; Candini, A.; Affronte, M.; Pasca, E.; de Jongh, L.; Scott, R.; Brechin, E. Magnetocaloric effect in spin-degenerated molecular nanomagnets. Phys. Rev. B 2009, 79, 104414. [Google Scholar] [CrossRef]
- Zhitomirsky, M. Enhanced magnetocaloric effect in frustrated magnets. Phys. Rev. B 2003, 67, 104421. [Google Scholar] [CrossRef]
- Schnack, J.; Schmidt, R.; Richter, J. Enhanced magnetocaloric effect in frustrated magnetic molecules with icosahedral symmetry. Phys. Rev. B 2007, 76, 054413. [Google Scholar] [CrossRef]
- Sosin, S.; Prozorova, L.; Smirnov, A.; Golov, A.; Berkutov, I.; Petrenko, O.; Balakrishnan, G.; Zhitomirsky, M. Magnetocaloric effect in pyrochlore antiferromagnet Gd2Ti2O7. Phys. Rev. B 2005, 71, 094413. [Google Scholar] [CrossRef]
- Sharples, J.W.; Collison, D.; McInnes, E.J.; Schnack, J.; Palacios, E.; Evangelisti, M. Quantum signatures of a molecular nanomagnet in direct magnetocaloric measurements. Nat. Commun. 2014, 5, 1–6. [Google Scholar] [CrossRef] [PubMed]
- Pineda, E.M.; Lorusso, G.; Zangana, K.H.; Palacios, E.; Schnack, J.; Evangelisti, M.; Winpenny, R.E.; McInnes, E.J. Observation of the influence of dipolar and spin frustration effects on the magnetocaloric properties of a trigonal prismatic {Gd 7} molecular nanomagnet. Chem. Sci. 2016, 7, 4891–4895. [Google Scholar] [CrossRef]
- Orendáč, M.; Gabáni, S.; Gažo, E.; Pristáš, G.; Shitsevalova, N.; Siemensmeyer, K.; Flachbart, K. Rotating magnetocaloric effect and unusual magnetic features in metallic strongly anisotropic geometrically frustrated TmB 4. Sci. Rep. 2018, 8, 1–10. [Google Scholar] [CrossRef]
- Fitta, M.; Pełka, R.; Konieczny, P.; Bałanda, M. Multifunctional molecular magnets: Magnetocaloric effect in octacyanometallates. Crystals 2019, 9, 9. [Google Scholar] [CrossRef]
- Strečka, J.; Karl’ová, K.; Madaras, T. Giant magnetocaloric effect, magnetization plateaux and jumps of the regular Ising polyhedra. Phys. B Condens. Matter 2015, 466, 76–85. [Google Scholar] [CrossRef]
- Karl’ová, K.; Strečka, J.; Madaras, T. The Schottky-type specific heat as an indicator of relative degeneracy between ground and first-excited states: The case study of regular Ising polyhedra. Phys. B Condens. Matter 2016, 488, 49–56. [Google Scholar] [CrossRef]
- Millane, R.; Goyal, A.; Penney, R. Ground states of the antiferromagnetic Ising model on finite triangular lattices of simple shape. Phys. Lett. A 2003, 311, 347–352. [Google Scholar] [CrossRef]
- Žukovič, M.; Bobák, A. Entropy of spin clusters with frustrated geometry. Phys. Lett. A 2014, 378, 1773–1779. [Google Scholar] [CrossRef][Green Version]
- Žukovič, M. Thermodynamic and magnetocaloric properties of geometrically frustrated Ising nanoclusters. J. Magn. Magn. Mater. 2015, 374, 22–35. [Google Scholar] [CrossRef]
- Žukovič, M.; Semjan, M. Magnetization process and magnetocaloric effect in geometrically frustrated Ising antiferromagnet and spin ice models on a ‘Star of David’nanocluster. J. Magn. Magn. Mater. 2018, 451, 311–318. [Google Scholar] [CrossRef]
- Mohylna, M.; Žukovič, M. Magnetocaloric properties of frustrated tetrahedra-based spin nanoclusters. Phys. Lett. A 2019, 383, 2525–2534. [Google Scholar] [CrossRef]
- Haldar, S.; Ramasesha, S. Magnetocaloric effect in molecular spin clusters and their assemblies: Exact and Monte Carlo studies using exact cluster eigenstates. J. Magn. Magn. Mater. 2020, 500, 166424. [Google Scholar] [CrossRef]
- Kowalewska, P.; Szałowski, K. Magnetocaloric properties of V6 molecular magnet. J. Magn. Magn. Mater. 2020, 496, 165933. [Google Scholar] [CrossRef]
- Szałowski, K.; Kowalewska, P. Magnetocaloric Effect in Cu5-NIPA Molecular Magnet: A Theoretical Study. Materials 2020, 13, 485. [Google Scholar] [CrossRef]
- Szałowski, K. Low-Temperature Magnetocaloric Properties of V12 Polyoxovanadate Molecular Magnet: A Theoretical Study. Materials 2020, 13, 4399. [Google Scholar] [CrossRef]
- Efremov, D.V.; Klemm, R.A. Spin anisotropy effects in dimer single molecule magnets. Phys. Rev. B 2006, 74, 064408. [Google Scholar] [CrossRef]
- Klemm, R.A.; Efremov, D.V. Single-ion and exchange anisotropy effects and multiferroic behavior in high-symmetry tetramer single-molecule magnets. Phys. Rev. B 2008, 77, 184410. [Google Scholar] [CrossRef]
- Hucht, A.; Sahoo, S.; Sil, S.; Entel, P. Effect of anisotropy on small magnetic clusters. Phys. Rev. B 2011, 84, 104438. [Google Scholar] [CrossRef]
- Shapira, Y.; Bindilatti, V. Magnetization-step studies of antiferromagnetic clusters and single ions: Exchange, anisotropy, and statistics. J. Appl. Phys. 2002, 92, 4155–4185. [Google Scholar] [CrossRef]
- Sharples, J.W.; Collison, D. Reprint of “Coordination compounds and the magnetocaloric effect”. Polyhedron 2013, 66, 15–27, ICMM 2012. [Google Scholar] [CrossRef]
- Yüksel, Y.; Akıncı, Ü.; Vatansever, E. Influence of modified surface effects on the magnetocaloric properties of ferromagnetic thin films. Thin Solid Films 2018, 646, 67–74. [Google Scholar] [CrossRef]
- Zad, H.A.; Ohanyan, V. Magnetocaloric Effect in the Distorted Ising-Heisenberg Double Sawtooth Spin Ladders. arXiv 2018, arXiv:1805.05607. [Google Scholar]
- Zad, H.A. Enhanced Magnetocaloric Effect in a Mixed Spin-(1/2,1) Ising-Heisenberg Two-Leg Honeycomb Ladder with Strong-Rung Interaction. arXiv 2020, arXiv:2006.07208. [Google Scholar]
- Viitala, E.; Merikoski, J.; Manninen, M.; Timonen, J. Antiferromagnetic order and frustration in small clusters. Phys. Rev. B 1997, 55, 11541. [Google Scholar] [CrossRef]
- Viitala, E.; Merikoski, J.; Timonen, J.; Manninen, M. Properties of small antiferromagnetic Ising clusters. Z. Phys. D Atoms Mol. Clust. 1997, 40, 173–176. [Google Scholar] [CrossRef]
- Parkinson, J.; Timonen, J. Small clusters with Heisenberg antiferromagnetic exchange. J. Phys. Condens. Matter 2000, 12, 8669. [Google Scholar] [CrossRef]
- KarǏová, K.; Strečka, J.; Richter, J. Enhanced magnetocaloric effect in the proximity of magnetization steps and jumps of spin-1/2 XXZ Heisenberg regular polyhedra. J. Phys. Condens. Matter 2017, 29, 125802. [Google Scholar] [CrossRef]
- Karl’ová, K.; Strečka, J. Magnetization process and magnetocaloric effect of the spin-1/2 XXZ Heisenberg cuboctahedron. J. Low Temp. Phys. 2017, 187, 727–733. [Google Scholar] [CrossRef]
- Chen, Y.; Wu, Y. The low-temperature properties of the spin-one Heisenberg antiferromagnetic chain with the single-ion anisotropy. Solid State Commun. 2013, 159, 49–54. [Google Scholar] [CrossRef]









Publisher’s Note: MDPI stays neutral with regard to jurisdictional claims in published maps and institutional affiliations. |
© 2020 by the authors. Licensee MDPI, Basel, Switzerland. This article is an open access article distributed under the terms and conditions of the Creative Commons Attribution (CC BY) license (http://creativecommons.org/licenses/by/4.0/).
Share and Cite
Mohylna, M.; Žukovič, M. Effect of Single-Ion Anisotropy on Magnetocaloric Properties of Frustrated Spin-s Ising Nanoclusters. Magnetochemistry 2020, 6, 56. https://doi.org/10.3390/magnetochemistry6040056
Mohylna M, Žukovič M. Effect of Single-Ion Anisotropy on Magnetocaloric Properties of Frustrated Spin-s Ising Nanoclusters. Magnetochemistry. 2020; 6(4):56. https://doi.org/10.3390/magnetochemistry6040056
Chicago/Turabian StyleMohylna, Mariia, and Milan Žukovič. 2020. "Effect of Single-Ion Anisotropy on Magnetocaloric Properties of Frustrated Spin-s Ising Nanoclusters" Magnetochemistry 6, no. 4: 56. https://doi.org/10.3390/magnetochemistry6040056
APA StyleMohylna, M., & Žukovič, M. (2020). Effect of Single-Ion Anisotropy on Magnetocaloric Properties of Frustrated Spin-s Ising Nanoclusters. Magnetochemistry, 6(4), 56. https://doi.org/10.3390/magnetochemistry6040056

