Magnetic Losses in Soft Ferrites
Abstract
1. Introduction
2. Basic Phenomenology and Theoretical Approach to Energy Losses
2.1. Eddy Current Losses
2.2. Spin Damping, DW Motion, Rotations, and Broadband Permeability
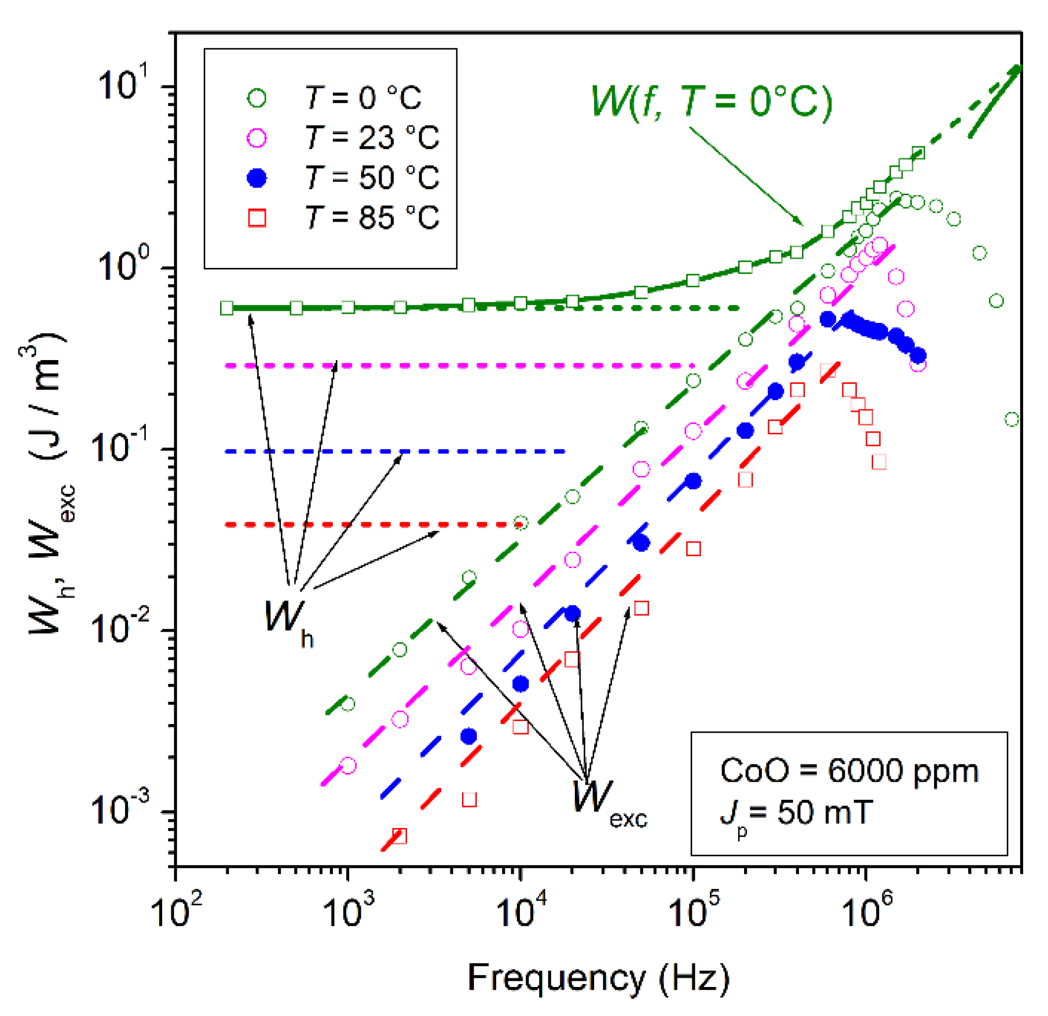
2.3. The Energy Loss by Spin Damping and Its Decomposition
3. A Few Applicative Examples of Mn-Zn Ferrites
3.1. Energy Loss versus Sintering Temperature
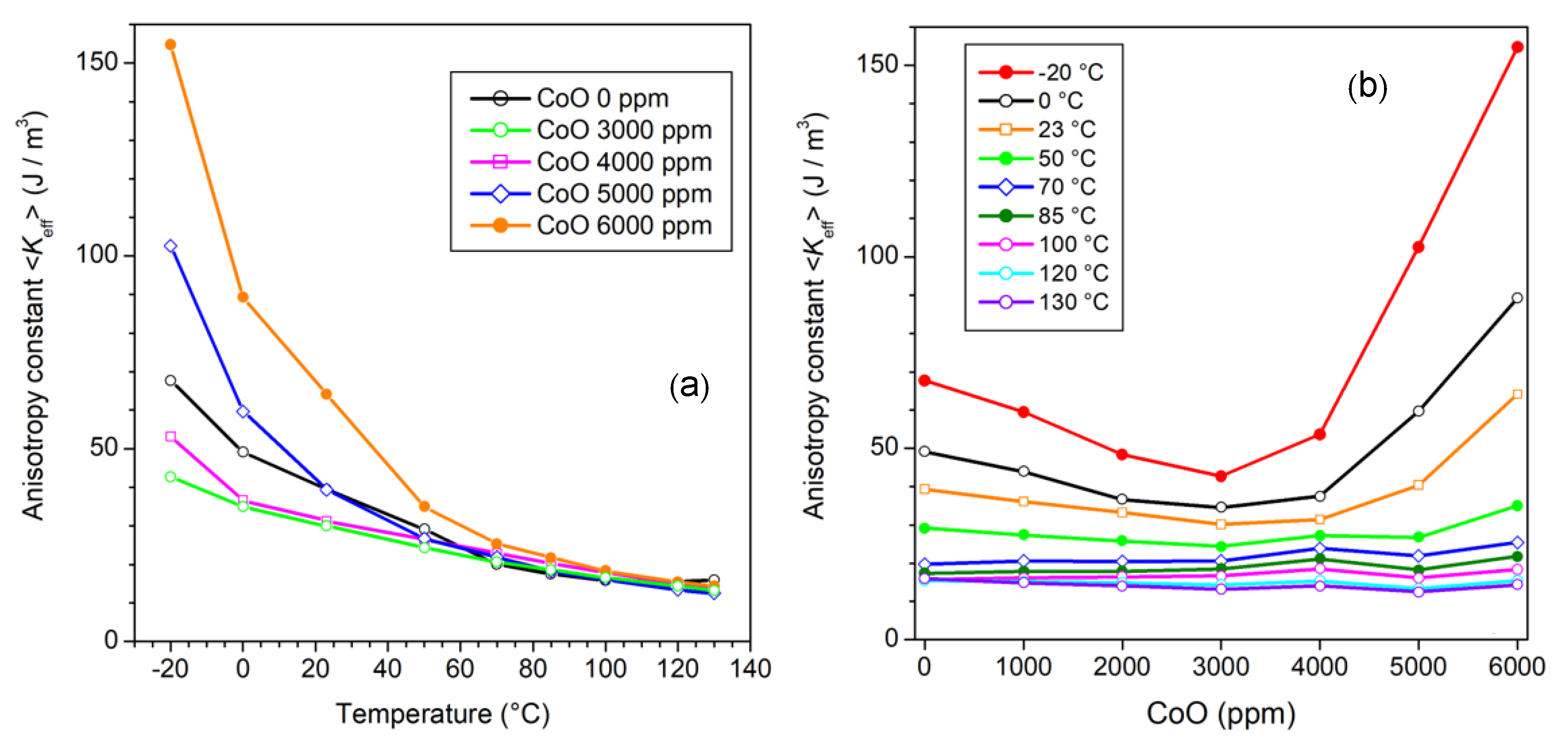
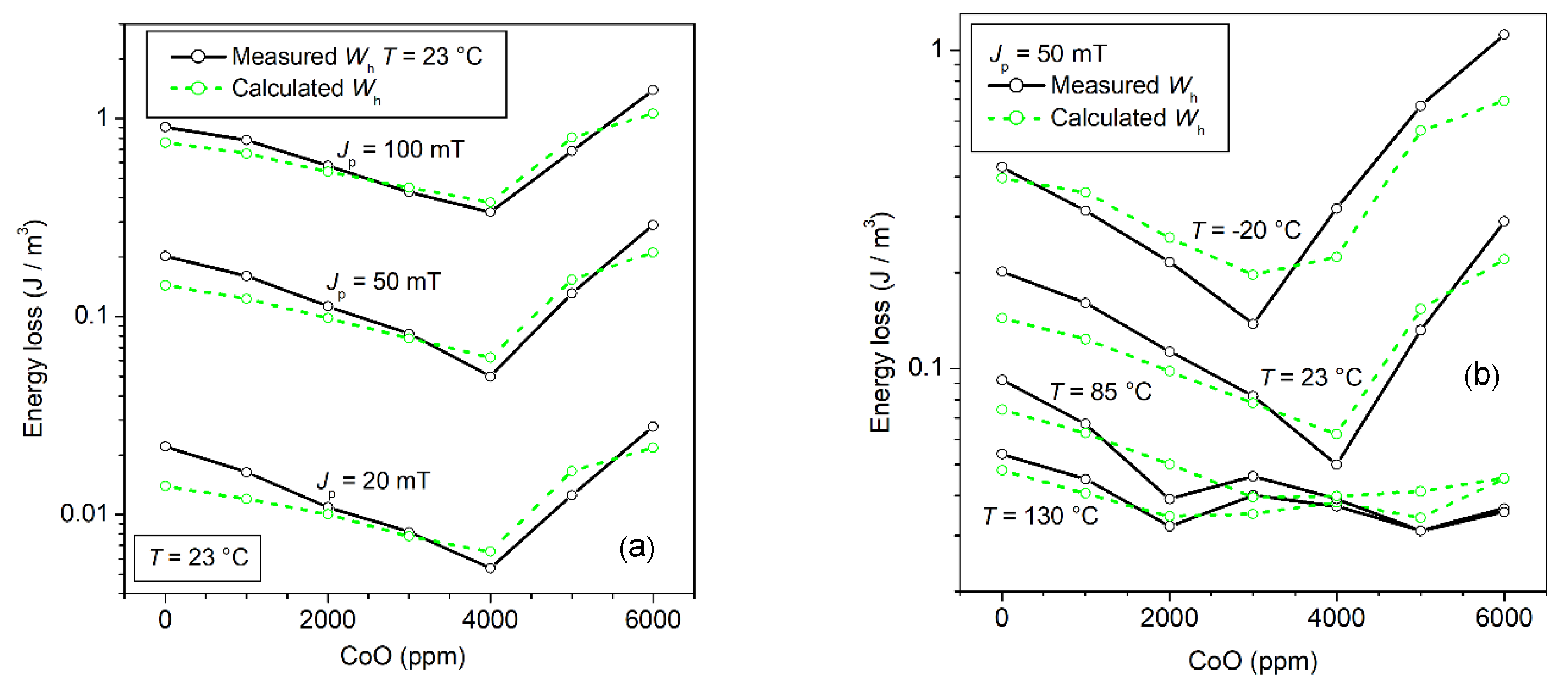
3.2. Effect of the Working Temperature and the Role of CoO Doping
3.3. Magnetic Losses in Ni-Zn Ferrites
4. Conclusions
Supplementary Materials
Author Contributions
Funding
Institutional Review Board Statement
Informed Consent Statement
Data Availability Statement
Acknowledgments
Conflicts of Interest
References
- Suhl, H. Theory of the magnetic damping constant. IEEE Trans. Magn. 1998, 34, 1834–1838. [Google Scholar] [CrossRef]
- Shokrollahi, H.; Janghorban, K. Influence of additives on the magnetic properties, microstructure and densification of Mn-Zn soft ferrites. Mater. Sci. Eng. B 2007, 141, 91–107. [Google Scholar] [CrossRef]
- Znidarsic, A.; Limpel, M.; Drofenik, M. Effect of dopants on the magnetic properties of MnZn ferrites for high frequency power supplies. IEEE Trans. Magn. 1995, 31, 950–953. [Google Scholar] [CrossRef]
- Hanuszkiewicz, J.; Holz, D.; Eleftheriou, E.; Zaspalis, V.T. Materials processing issues influencing the frequency stability of the initial magnetic permeability of MnZn ferrites. J. Appl. Phys. 2008, 103, 103907. [Google Scholar] [CrossRef]
- Ahmed, T.T.; Rahman, I.Z.; Rahman, M.A. Study on the properties of copper substitute NiZn ferrites. J. Mater. Proc. Technol. 2004, 153–154, 797–803. [Google Scholar] [CrossRef]
- De Lau, J.G.M.; van Grenou, A.B. High-frequency properties of Ni-Zn-Co ferrites in relation to iron content and microstructure. J. Phys. 1977, C1–C38, 17–22. [Google Scholar] [CrossRef][Green Version]
- Lucas, A.; Lebourgeois, L.; Mazaleyrat, F.; Laboure, E. Temperature dependence of core loss in cobalt substituted Ni-Zn-Cu ferrites. J. Magn. Magn. Mater. 2011, 323, 735–739. [Google Scholar] [CrossRef]
- Fiorillo, F. Measurements of magnetic materials. Metrologia 2010, 47, S114–S142. [Google Scholar] [CrossRef]
- Reinert, J.; Brockmeyer, A.; De Doncker, R.W. Calculation of losses in ferro- and ferrimagnetic materials based on the modified Steinmetz equation. IEEE Trans. Ind. Appl. 2001, 37, 1055–1061. [Google Scholar] [CrossRef]
- Venkatachalam, K.; Sullivan, C.R.; Abdallah, T.; Tacca, H. Accurate prediction of ferrite core loss with nonsinusoidal waveforms using only Steinmetz parameters. In Proceedings of the IEEE Workshop on Computers in Power Electronics, Mayaguez, PR, USA, 3–4 June 2002; pp. 36–41. [Google Scholar] [CrossRef]
- Van den Bossche, A.P.; Van de Sype, D.M.; Valchev, V.C. Ferrite loss measurement and models in half bridge and full bridge waveforms. In Proceedings of the IEEE 36th Power Electronics Specialists Conference, 16 June 2005; pp. 1535–1539. [Google Scholar] [CrossRef]
- Mülethaler, J.; Biela, J.; Kolar, J.W.; Ecklebe, A. Improved core loss calculation for magnetic components employed in power electronic systems. IEEE Trans. Power. Electron. 2012, 27, 964–973. [Google Scholar] [CrossRef]
- Barg, S.; Ammous, K.; Mejibri, H.; Ammous, A. An improved empirical formulation for magnetic core losses estimation under nonsinusoidal induction. IEEE Trans. Power. Electron. 2017, 32, 2146–2154. [Google Scholar] [CrossRef]
- Wilson, P.R.; Ross, J.N.; Brown, A.D. Modeling frequency-dependent losses in ferrite cores. IEEE Trans. Magn. 2004, 40, 1537–1541. [Google Scholar] [CrossRef]
- Herrera, G. Domain wall dispersions: Relaxation and resonance in Ni-Zn ferrite doped with V2O3. J. Appl. Phys. 2010, 108, 103901. [Google Scholar] [CrossRef]
- Stoyka, K.; Di Capua, G.; Della Cioppa, A.; Femia, N.; Spagnuolo, G. Identification of ferrite core inductors parameters by evolutionary algorithms. In Proceedings of the 2015 IEEE International Conference on Industrial Informatics (INDIN), Cambridge, UK, 22–24 July 2015; pp. 1648–1653. [Google Scholar] [CrossRef]
- Lodi, M.; Oliveri, A.; Storace, M. Behavioral models for ferrite-core inductors in switch-mode power supplies: A survey. In Proceedings of the 2019 IEEE 5th International forum on Research and Technology for Society and Industry (RTSI), Florence, Italy, 9–12 September 2019; pp. 242–247. [Google Scholar] [CrossRef]
- Bertotti, G. Hysteresis in Magnetism; Academic Press: San Diego, CA, USA, 1998; pp. 391–430. [Google Scholar]
- Chevalier, T.; Kedous-Lebouc, A.; Cornut, B.; Cester, C. A new dynamic hysteresis model for electrical steel sheet. Physica B 2000, 275, 197–201. [Google Scholar] [CrossRef]
- Primal, H.P.; Ghanim, A.M.; Quondam Antonio, S.; Faba, A.; Cardelli, E. Time domain modeling of soft ferrite inductors for power converter applications. In Proceedings of the 26th IEEE International Conference on Electronics, Circuits and Systems (ICECS), Genoa, Italy, 27–29 November 2019; pp. 847–850. [Google Scholar] [CrossRef]
- Stoppels, D.; Boonen, P.G.T.; Damen, J.P.M.; van Hoof, L.A.H.; Prijs, K. Monocrystalline high-saturation magnetization ferrites for video recording head application. II. Mn-Zn ferrites with large FeII contents. J. Magn. Magn. Mater. 1983, 37, 123–130. [Google Scholar] [CrossRef]
- van Groenou, A.B.; Schulkes, J.A.; Annis, D.A. Magnetic anisotropy of some Nickel Zinc ferrite crystals. J. Appl. Phys. 1967, 38, 1133–1134. [Google Scholar] [CrossRef]
- Fiorillo, F.; Beatrice, C. A comprehensive approach to broadband characterization of soft ferrites. Int. J. Appl. Electromagn. Mech. 2015, 48, 283–294. [Google Scholar] [CrossRef]
- Fiorillo, F.; Beatrice, C.; Bottauscio, O.; Carmi, E. Eddy current losses in Mn-Zn ferrites. IEEE Trans. Magn. 2014, 50, 6300109. [Google Scholar] [CrossRef]
- Stoppels, D. Developments in soft magnetic power ferrites. J. Magn. Magn. Mater. 1996, 160, 323–328. [Google Scholar] [CrossRef]
- Saotome, H.; Sakaki, Y. Iron loss analysis of Mn-Zn ferrite cores. IEEE Trans. Magn. 1997, 33, 728–734. [Google Scholar] [CrossRef]
- Inoue, O.; Matsutani, N.; Kugimiya, K. Low-loss MnZn-ferrites: Frequency dependence of minimum power loss temperature. IEEE Trans. Magn. 1993, 29, 3532–3534. [Google Scholar] [CrossRef]
- Suh, J.J.; Song, B.M.; Han, Y.H. Temperature dependende of power loss of Mn-Zn ferrites at high frequency. IEEE Trans. Magn. 2000, 36, 3402–3404. [Google Scholar] [CrossRef]
- Fujita, A.; Gotoh, S. Temperature dependence of core loss in Co-substituted MnZn ferrites. J. Appl. Phys. 2003, 93, 7477–7479. [Google Scholar] [CrossRef]
- Sun, K.; Lan, Z.; Yu, Z.; Li, L.; Jiang, X.; Ji, H. Temperature dependence of core losses at high frequency for MnZn ferrites. Physica B 2010, 405, 1018–1021. [Google Scholar] [CrossRef]
- Tung, M.J.; Chang, W.C.; Liu, C.S.; Liu, T.Y.; Chen, C.J.; Tseng, T.Y. Study of loss mechanisms of Mn-Zn ferrites in the frequency from 1 MHz to 10 MHz. IEEE Trans. Magn. 1993, 29, 3526–3528. [Google Scholar] [CrossRef]
- Roshen, W.A. Magnetic loss in soft ferrites. J. Appl. Phys. 2007, 101, 09M522. [Google Scholar] [CrossRef]
- Fiorillo, F.; Beatrice, C.; Bottauscio, O.; Manzin, A.; Chiampi, M. Approach to magnetic losses and their frequency dependence in Mn-Zn ferrites. Appl. Phys. Lett. 2006, 89, 122513. [Google Scholar] [CrossRef]
- Bertotti, G. General properties of power losses in soft ferromagnetic materials. IEEE Trans. Magn. 1988, 24, 621–630. [Google Scholar] [CrossRef]
- Dillon, J.F.; Earl, H.E., Jr. Domain wall motion and ferrimagnetic resonance in a manganese ferrite. J. Appl. Phys. 1959, 30, 202–213. [Google Scholar] [CrossRef]
- de la Barrière, O.; Appino, C.; Fiorillo, F.; Ragusa, C.; Lecrivain, M.; Rocchino, L.; Ben Ahmed, H.; Gabsi, M.; Mazaleyrat, F.; Lo Bue, M. Characterization and prediction of magnetic losses in soft magnetic composites under distorted induction waveforms. IEEE Trans. Magn. 2013, 49, 1318–1326. [Google Scholar] [CrossRef]
- Goodenough, J.B. Summary of losses in magnetic materials. IEEE Trans. Magn. 2002, 38, 3398–3408. [Google Scholar] [CrossRef]
- Peuzin, J.C. Les matériaux doux pour l’électronique hautes fréquences. In Magnétisme; du Trémolet de Lacheisserie, E., Ed.; Presses Universitaires de Grenoble: Grenoble, France, 1999; Volume 2, pp. 155–211. [Google Scholar]
- Beatrice, C.; Tsakaloudi, V.; Dobák, S.; Zaspalis, V.; Fiorillo, F. Magnetic losses versus sintering treatment in Mn-Zn ferrites. J. Magn. Magn. Mater. 2017, 429, 129–137. [Google Scholar] [CrossRef]
- Magni, A.; Bottauscio, O.; Beatrice, C.; Caprile, A.; Ferrara, E.; Fiorillo, F. Magnetization process in thin laminations up to 1 GHz. IEEE Trans. Magn. 2012, 48, 1363–1366. [Google Scholar] [CrossRef]
- Ferrara, E.; Fiorillo, F.; Beatrice, C.; Dobák, S.; Ragusa, C.; Magni, A.; Appino, C. Characterization and assessment of the wideband magnetic properties of nanocrystallyne alloys and soft ferrites. J. Mater. Res. 2018, 33, 2120–2137. [Google Scholar] [CrossRef]
- Beatrice, C.; Dobák, S.; Tsakaloudi, V.; Ragusa, C.; Fiorillo, F. The temperature dependence of magnetic losses in CoO-doped Mn-Zn ferrites. J. Appl. Phys. 2019, 126, 143902. [Google Scholar] [CrossRef]
- Pascard, H. Basic concepts for high permeability in soft ferrites. J. Phys. IV 1998, 8, 377–384. [Google Scholar] [CrossRef]
- Wang, S.; Chiang, Y.; Hsu, Y.; Chen, C. Effects of additives on the loss characteristics of M-Zn ferrites. J. Magn. Magn. Mater. 2014, 365, 119–125. [Google Scholar] [CrossRef]
- Petzold, J. Applications of nanocrystalline soft magnetic materials for modern electronic devices. Scr. Mater. 2003, 48, 895–901. [Google Scholar] [CrossRef]
- Tsakaloudi, V.; Kogias, G.; Zaspalis, V.T. A new power MnZn ferrite for broad temperature range applications. AIP Adv. 2019, 9, 035212. [Google Scholar] [CrossRef]
- Mori, K.; Yasuhara, K.; Nakahata, I.; Nishikawa, K. High temperature stability of Co-doped MnZn ferrites for automobiles. J. Jpn. Soc. Powder Metall. 2014, 61-S1, 224–226. [Google Scholar] [CrossRef]
- Beatrice, C.; Dobák, S.; Tsakaloudi, V.; Ragusa, C.; Fiorillo, F.; Zaspalis, V. Magnetic loss, permeability, and anisotropy compensation in CoO-doped Mn-Zn ferrites. AIP Adv. 2018, 8, 047803. [Google Scholar] [CrossRef]
- Dobák, S.; Beatrice, C.; Fiorillo, F.; Tsakaloudi, V.; Ragusa, C. Magnetic loss decomposition in Co-doped Mn-Zn ferrites. IEEE Magn. Lett. 2019, 10, 7100205. [Google Scholar] [CrossRef]
- Bertotti, G. Direct relation between hysteresis and dynamic losses in soft magnetic materials. J. Phys. 1985, 46, 389–392. [Google Scholar] [CrossRef]


















| Sample | Ts | ts | δ | <s> | σDC | σ10 MHz | Js |
|---|---|---|---|---|---|---|---|
| (°C) | (h) | (kg/m3) | (μm) | (Ω−1 m−1) | (Ω−1 m−1) | (T) | |
| A | 1325 | 3 | 4830 | 11.4 | 0.146 | 56.8 | 0.55 |
| D | 1340 | 3 | 4850 | 12.3 | 0.214 | 82 | 0.55 |
| G | 1360 | 3 | 4900 | 15.1 | 0.220 | 80 | 0.55 |
| I | 1360 | 7 | 4890 | 19.8 | 0.215 | 71 | 0.55 |
Publisher’s Note: MDPI stays neutral with regard to jurisdictional claims in published maps and institutional affiliations. |
© 2022 by the authors. Licensee MDPI, Basel, Switzerland. This article is an open access article distributed under the terms and conditions of the Creative Commons Attribution (CC BY) license (https://creativecommons.org/licenses/by/4.0/).
Share and Cite
Dobák, S.; Beatrice, C.; Tsakaloudi, V.; Fiorillo, F. Magnetic Losses in Soft Ferrites. Magnetochemistry 2022, 8, 60. https://doi.org/10.3390/magnetochemistry8060060
Dobák S, Beatrice C, Tsakaloudi V, Fiorillo F. Magnetic Losses in Soft Ferrites. Magnetochemistry. 2022; 8(6):60. https://doi.org/10.3390/magnetochemistry8060060
Chicago/Turabian StyleDobák, Samuel, Cinzia Beatrice, Vasiliki Tsakaloudi, and Fausto Fiorillo. 2022. "Magnetic Losses in Soft Ferrites" Magnetochemistry 8, no. 6: 60. https://doi.org/10.3390/magnetochemistry8060060
APA StyleDobák, S., Beatrice, C., Tsakaloudi, V., & Fiorillo, F. (2022). Magnetic Losses in Soft Ferrites. Magnetochemistry, 8(6), 60. https://doi.org/10.3390/magnetochemistry8060060

