Germanium–Cobalt–Indium Nanostructures as Anodes of Lithium-Ion Batteries for Room- and Low-Temperature Performance
Abstract
:1. Introduction
2. Results
2.1. Morphological and Physical Studies
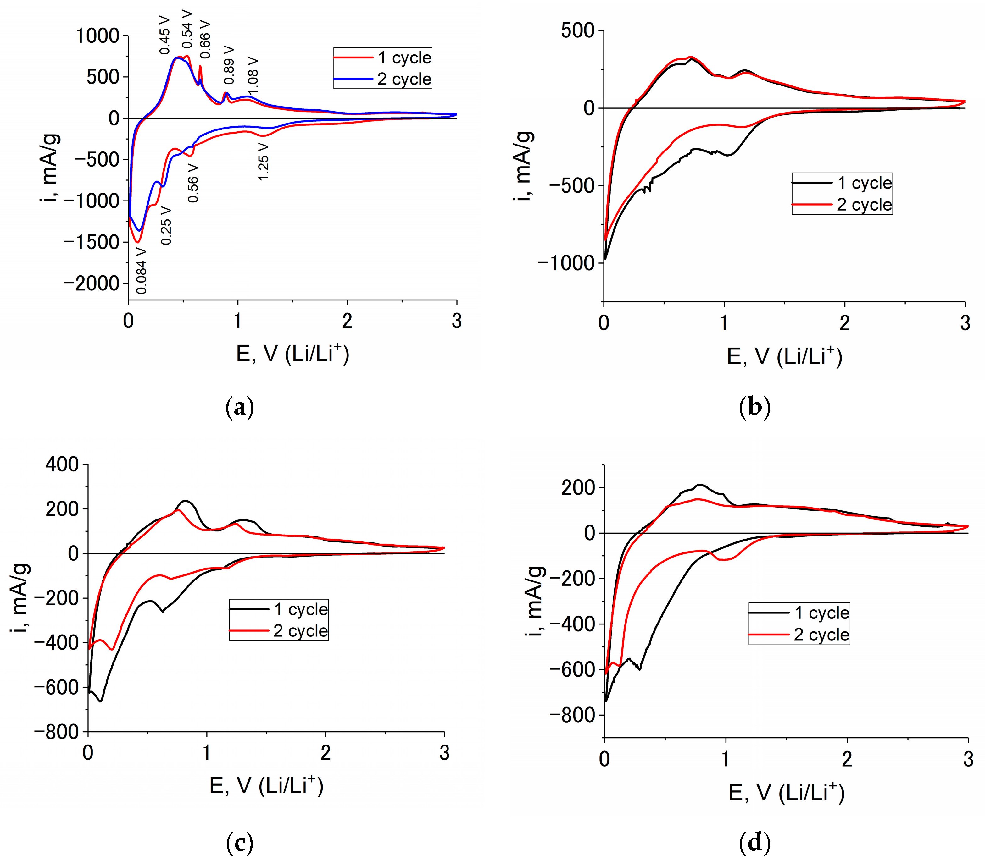
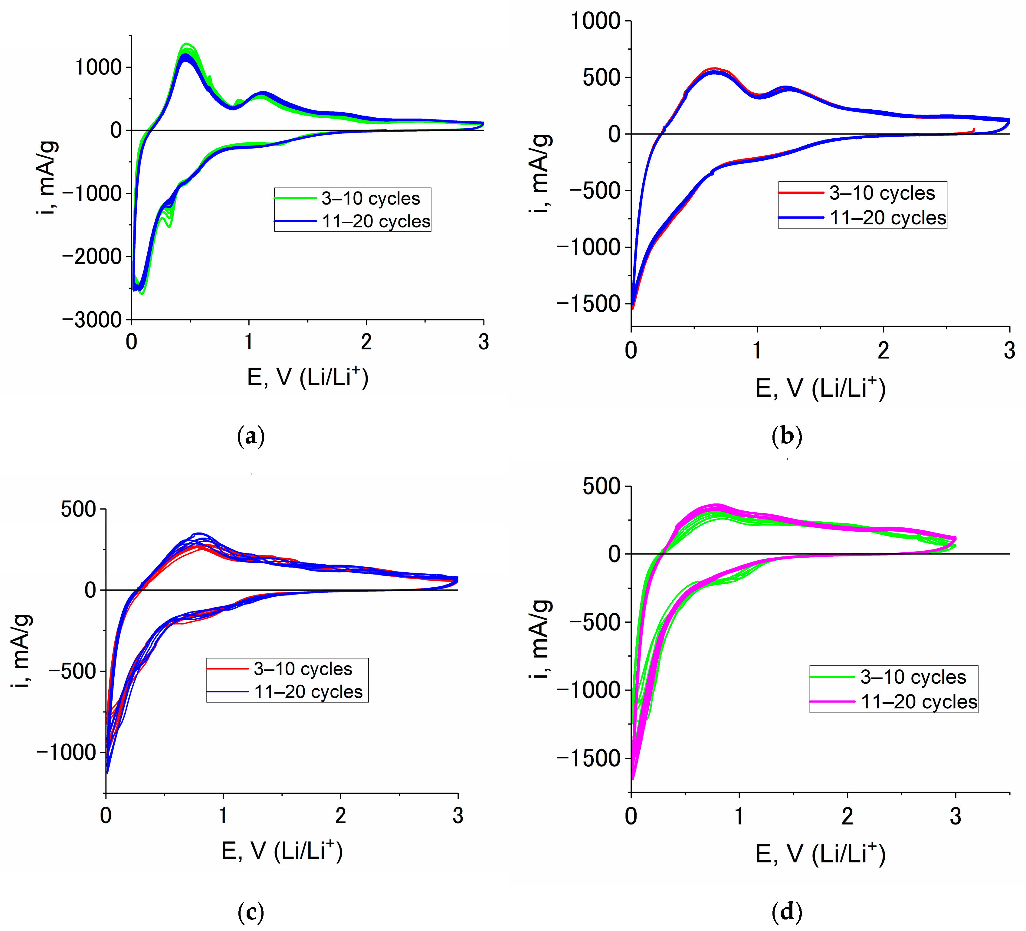
2.2. Electrochemical Studies
3. Discussion
4. Materials and Methods
4.1. Samples Preparation
4.2. Samples Physical Characterization of Ge–Co–In Nanostructures
4.3. Electrochemical Characterization
4.3.1. Electrochemical Setup
4.3.2. Electrochemical Measurements
5. Conclusions
Author Contributions
Funding
Data Availability Statement
Conflicts of Interest
References
- Kim, T.; Song, W.; Son, D.-Y.; Ono, L.K.; Qi, Y. Lithium-ion batteries: Outlook on present, future, and hybridized technologies. J. Mater. Chem. A 2019, 7, 2942–2964. [Google Scholar]
- Mahmud, S.; Rahman, M.; Kamruzzaman, M.; Ali, M.O.; Emon, M.S.A.; Khatun, H.; Ali, M.R. Recent advances in lithium-ion battery materials for improved electrochemical performance: A review. Results Eng. 2022, 15, 100472. [Google Scholar]
- Mukanova, A.; Jetybayeva, A.; Myung, S.-T.; Kim, S.-S.; Bakenov, Z. A mini-review on the development of Si-based thin film anodes for Li-ion batteries. Mater. Today Energy 2018, 9, 49–66. [Google Scholar]
- Wu, S.; Han, C.; Iocozzia, J.; Lu, M.; Ge, R.; Xu, R.; Lin, Z. Germanium-Based Nanomaterials for Rechargeable Batteries. Angew. Chem. Int. Ed. 2016, 55, 7898–7923. [Google Scholar]
- Hu, Z.L.; Zhang, S.; Zhang, C.J.; Cui, G.L. High performance germanium-based anode materials. Coordin. Chem. Rev. 2016, 326, 34–85. [Google Scholar]
- Sangster, J.; Pelton, A.D. The Ge-Li (germanium-lithium) system. J. Phase Equil. 1997, 18, 289–294. [Google Scholar]
- Morris, A.J.; Grey, C.P.; Pickard, C.J. Thermodynamically stable lithium silicides and germanides from density functional theory calculations. Phys. Rev. B 2014, 90, 054111. [Google Scholar]
- Graetz, J.; Ahn, C.C.; Yazami, R.; Fultz, B. Nanocrystalline and thin film germanium electrodes with high lithium capacity and high-rate capabilities. J. Electrochem. Soc. 2004, 151, A698–A702. [Google Scholar]
- Gavrilin, I.M.; Kudryashova, Y.O.; Kuz’mina, A.A.; Kulova, T.L.; Skundin, A.M.; Emets, V.V.; Volkov, R.L.; Dronov, A.A.; Borgardt, N.I.; Gavrilov, S.A. High-rate and low-temperature performance of germanium nanowires anode for lithium-ion batteries. J. Electroanalyt. Chem. 2021, 888, 115209. [Google Scholar]
- Kulova, T.L.; Skundin, A.M.; Gavrilin, I.M.; Kudryashova, Y.O.; Martynova, I.K.; Novikova, S.A. Binder-Free Ge-Co-P Anode Material for Lithium-Ion and Sodium-Ion Batteries. Batteries 2022, 8, 89. [Google Scholar]
- Nzereogu, P.U.; Omah, A.D.; Ezema, F.I.; Iwuoha, E.I.; Nwanya, A.C. Anode materials for lithium-ion batteries: A review. Appl. Surf. Sci. Adv. 2022, 9, 100233. [Google Scholar] [CrossRef]
- Chen, X.; Huang, Y.; Zhang, K. Cobalt nanofibers coated with layered nickel silicate coaxial core-shell composites as excellent anode materials for lithium-ion batteries. J. Colloid Interface Sci. 2018, 513, 788–796. [Google Scholar] [CrossRef]
- Cetinkaya, T.; Uysal, M.; Guler, M.O.; Akbulut, H. Developing lithium-ion battery silicon/cobalt core-shell electrodes for enhanced electrochemical properties. Int. J. Hydrog. Energy 2014, 39, 21405–21413. [Google Scholar] [CrossRef]
- Chen, X.; Huang, Y.; Han, X.; Zhang, K. Synthesis of cobalt nanofibers and nickel sulfide nanosheets hierarchical core-shell composites for anode materials of lithium-ion batteries. Electrochim. Acta 2018, 284, 418–426. [Google Scholar] [CrossRef]
- Chen, X.; Huang, Y.; Zhang, K.; Zhang, W. Cobalt fibers anchored with tin disulfide nanosheets as high-performance anode materials for lithium-ion batteries. J. Colloid Interface Sci. 2017, 506, 291–299. [Google Scholar] [CrossRef] [PubMed]
- Huang, X.H.; Wu, J.B.; Cao, Y.Q.; Zhang, P.; Lin, Y.; Guo, R.Q. Cobalt nanosheet arrays supported silicon film as anode materials for lithium-ion batteries. Electrochim. Acta 2016, 203, 213–220. [Google Scholar] [CrossRef]
- Suh, S.; Choi, H.; Eom, K.S.; Kim, H.-J. Enhancing the electrochemical properties of a Si anode by introducing cobalt metal as a conductive buffer for lithium-ion batteries. J. Alloys Compd. 2020, 827, 154102. [Google Scholar] [CrossRef]
- Park, H.; Kim, K.; Jeong, K.; Kang, J.S.; Choe, H.-H.; Thirumalraj, B.; Sung, Y.-E.; Han, H.N.; Kim, J.-H.; Dunand, D.C.; et al. Integrated porous cobalt oxide/cobalt anode with micro- and nano-pores for lithium-ion battery. Appl. Surf. Sci. 2020, 525, 146592. [Google Scholar] [CrossRef]
- Zhang, Z.; Yan, X.; Li, C.; Song, H.; Mao, C.; Peng, H.; Li, G. Nitrogen-doped carbon sphere encapsulating antimony-cobalt antimony binary nanoseeds as promising anode material for high performance lithium-ion battery. J. Alloys Compd. 2020, 821, 153500. [Google Scholar] [CrossRef]
- Zhu, J.; Sun, T.; Chen, J.; Shi, W.; Zhang, X.; Lou, X.; Mhaisalkar, S.; Hng, H.H.; Boey, F.; Ma, J.; et al. Controlled Synthesis of Sb Nanostructures and Their Conversion to CoSb3 Nanoparticle Chains for Li-Ion Battery Electrodes. Chem. Mater. 2010, 22, 5333–5339. [Google Scholar] [CrossRef]
- Park, M.-G.; Song, J.H.; Sohn, J.-S.; Lee, C.K.; Park, C.-M. Co–Sb intermetallic compounds and their disproportionated nanocomposites as high-performance anodes for rechargeable Li-ion batteries. J. Mater. Chem. A 2014, 2, 11391–11399. [Google Scholar] [CrossRef]
- Xie, J.; Zhao, X.B.; Cao, G.S.; Zhao, M.J.; Su, S.F. Solvothermal synthesis and electrochemical performances of nanosized CoSb3 as anode materials for Li-ion batteries. J. Power Sources 2005, 140, 350–354. [Google Scholar] [CrossRef]
- Fei, H.; Liu, X.; Li, Z. Hollow Cobalt Coordination Polymer Microspheres: A Promising Anode Material for Lithium-ion Batteries with High Performance. Chem. Eng. J. 2015, 281, 453–458. [Google Scholar] [CrossRef]
- Ashraf, S.; Mehek, R.; Iqbal, N.; Noor, T.; Ali, G.; Wahab, A.; Qayyum, A.A.; Ahmad, A. ZIF 67 derived Co–Sn composites with N-doped nanoporous carbon as anode material for Li-ion batteries. Mater. Chem. Phys. 2021, 270, 124824. [Google Scholar] [CrossRef]
- Wang, D.; Zhou, J.; Li, J.; Jiang, X.; Wang, Y.; Gao, F. Cobalt-boron nanoparticles anchored on graphene as anode of lithium-ion batteries. Chem. Eng. J. 2019, 360, 271–279. [Google Scholar] [CrossRef]
- Skoda, D.; Kazda, T.; Munster, L.; Hanulikova, B.; Styskalik, A.; Eloy, P.; Debecker, D.P.; Vilcakova, J.; Cech, O.; Simonikova, L.; et al. Microwave-assisted synthesis of platelet-like cobalt metal-organic framework, its transformation to porous layered cobalt-carbon nanocomposite discs and their utilization as anode materials in sodium-ion batteries. J. Energy Storage 2020, 27, 101113. [Google Scholar] [CrossRef]
- Zhao, W.; Chen, J.; Lei, Y.; Du, N.; Yang, D. A novel three-dimensional architecture of Co–Ge nanowires towards high-rate lithium and sodium storage. J. Alloys Compd. 2020, 815, 152281. [Google Scholar] [CrossRef]
- Kim, D.-H.; Park, C.M. Co–Ge compounds and their electrochemical performance as high-performance Li-ion battery anodes. Mater. Today Energy 2020, 18, 100530. [Google Scholar] [CrossRef]
- Jing, Y.-Q.; Qu, J.; Jia, X.-Q.; Zhai, X.-Z.; Chang, W.; Zeng, M.-J.; Li, X.; Yu, Z.-Z. Constructing tunable core-shell Co5Ge3@Co nanoparticles on reduced graphene oxide by an interfacial bonding promoted Kirkendall effect for high lithium storage performances. Chem. Eng. J. 2021, 408, 127266. [Google Scholar] [CrossRef]
- Dadd, A.T.; Hubberstey, P. Solubilities of silicon and of germanium in liquid lithium. Lithium–germanium partial phase diagram. J. Chem. Soc. Faraday Trans. 1 F 1981, 77, 1865. [Google Scholar] [CrossRef]
- Zhou, X.; Zhang, F.; Liu, S.; Du, Y.; Jin, B. Phase equilibria and thermodynamic investigation of the In–Li system. Calphad 2020, 70, 101779. [Google Scholar] [CrossRef]
- Kennedy, T.; Mullane, E.; Geaney, H.; Osiak, M.; O’Dwyer, C.; Ryan, K.M. High-Performance Germanium Nanowire-Based Lithium-Ion Battery Anodes Extending over 1000 Cycles Through in Situ Formation of a Continuous Porous Network. Nano Lett. 2014, 14, 716–723. [Google Scholar] [CrossRef] [PubMed]
- Kulova, T.L.; Gavrilin, I.M.; Kudryashova, Y.O.; Skundin, A.M.; Gavrilov, S.A. Cyclability enhancement and decreasing the irreversible capacity of anodes based on germanium nanowires for lithium-ion batteries. Mendeleev Commun. 2021, 31, 842–843. [Google Scholar] [CrossRef]













Disclaimer/Publisher’s Note: The statements, opinions and data contained in all publications are solely those of the individual author(s) and contributor(s) and not of MDPI and/or the editor(s). MDPI and/or the editor(s) disclaim responsibility for any injury to people or property resulting from any ideas, methods, instructions or products referred to in the content. |
© 2023 by the authors. Licensee MDPI, Basel, Switzerland. This article is an open access article distributed under the terms and conditions of the Creative Commons Attribution (CC BY) license (https://creativecommons.org/licenses/by/4.0/).
Share and Cite
Gavrilov, S.A.; Gavrilin, I.M.; Martynova, I.K.; Kulova, T.L.; Kovtushenko, E.V.; Skundin, A.M.; Poliakov, M.V.; Volkova, L.S.; Novikova, S.A. Germanium–Cobalt–Indium Nanostructures as Anodes of Lithium-Ion Batteries for Room- and Low-Temperature Performance. Batteries 2023, 9, 445. https://doi.org/10.3390/batteries9090445
Gavrilov SA, Gavrilin IM, Martynova IK, Kulova TL, Kovtushenko EV, Skundin AM, Poliakov MV, Volkova LS, Novikova SA. Germanium–Cobalt–Indium Nanostructures as Anodes of Lithium-Ion Batteries for Room- and Low-Temperature Performance. Batteries. 2023; 9(9):445. https://doi.org/10.3390/batteries9090445
Chicago/Turabian StyleGavrilov, Sergey A., Ilya M. Gavrilin, Irina K. Martynova, Tatiana L. Kulova, Evgeniya V. Kovtushenko, Alexander M. Skundin, Maksim V. Poliakov, Lidiya S. Volkova, and Svetlana A. Novikova. 2023. "Germanium–Cobalt–Indium Nanostructures as Anodes of Lithium-Ion Batteries for Room- and Low-Temperature Performance" Batteries 9, no. 9: 445. https://doi.org/10.3390/batteries9090445
APA StyleGavrilov, S. A., Gavrilin, I. M., Martynova, I. K., Kulova, T. L., Kovtushenko, E. V., Skundin, A. M., Poliakov, M. V., Volkova, L. S., & Novikova, S. A. (2023). Germanium–Cobalt–Indium Nanostructures as Anodes of Lithium-Ion Batteries for Room- and Low-Temperature Performance. Batteries, 9(9), 445. https://doi.org/10.3390/batteries9090445

