Production of Volatile Fatty Acids from Cheese Whey and Their Recovery Using Gas-Permeable Membranes
Abstract
1. Introduction
2. Results and Discussion
2.1. Batch Experiments
2.1.1. Bioconversion of Organic Matter to VFA
2.1.2. VFA Composition
2.2. Kinetic Study
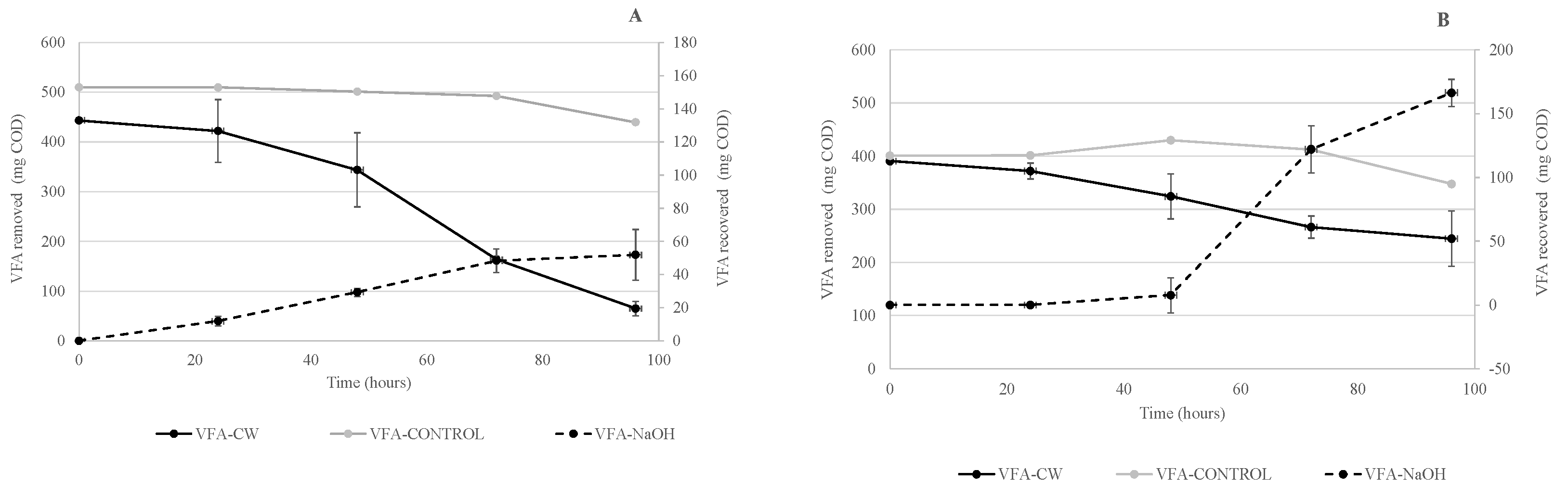
2.3. VFA-Recovery Experiments
3. Materials and Methods
3.1. Origin of Cheese Whey and Inoculum
3.2. VFA Production Experiments
3.2.1. Batch Experiments with Initial pH Control
3.2.2. Batch Experiments with Sequential pH Control
3.3. VFA Recovery Experiments
3.4. Analytical Methods and Yields
4. Conclusions
Author Contributions
Funding
Data Availability Statement
Conflicts of Interest
References
- OECD/Food and Agriculture Organization of the United Nations. Dairy and dairy products. In OECDFAO Agricultural Outlook 2020–2029; OECD Publishing, Paris/Food and Agriculture Organization of the United Nations: Rome, Italy, 2020. [Google Scholar]
- Asunis, F.; De Gioannis, G.; Isipato, M.; Muntoni, A.; Polettini, A.; Pomi, R.; Rossi, A.; Spiga, D. Control of fermentation duration and pH to orient biochemicals and biofuels production from cheese whey. Bioresour. Technol. 2019, 289, 121722. [Google Scholar] [CrossRef] [PubMed]
- Asunis, F.; De Gioannis, G.; Dessì, P.; Isipato, M.; Lens, P.N.; Muntoni, A.; Polettini, A.; Pomi, R.; Rossi, A.; Spiga, D. The dairy biorefinery: Integrating treatment processes for cheese whey valorisation. J. Environ. Manag. 2020, 276, 111240. [Google Scholar] [CrossRef] [PubMed]
- Comino, E.; Rosso, M.; Riggio, V. Development of a pilot scale anaerobic digester for biogas production from cow manure and whey mix. Bioresour. Technol. 2009, 100, 5072–5078. [Google Scholar] [CrossRef] [PubMed]
- Owusu-Agyeman, I.; Balachandran, S.; Plaza, E.; Cetecioglu, Z. Co-fermentation of municipal waste streams: Effects of pretreatment methods on volatile fatty acids production. Biomass Bioenergy 2021, 145, 1059. [Google Scholar] [CrossRef]
- Singhania, R.R.; Patel, A.K.; Christophe, G.; Fontanille, P.; Larroche, C. Biological upgrading of volatile fatty acids, key intermediates for the valorization of biowaste through dark anaerobic fermentation. Bioresour. Technol. 2013, 145, 166–174. [Google Scholar] [CrossRef] [PubMed]
- Amabile, C.; Abate, T.; Muñoz, R.; Chianese, S.; Musmarra, D. Production of poly (3-hydroxybutyrate) and poly (3-hydroxybutyrate-co-3-hydroxyvalerate) from methane and volatile fatty acids: Properties, metabolic routes and current trend. Sci. Total Environ. 2024, 927, 172138. [Google Scholar] [CrossRef] [PubMed]
- Lukitawesa, R.J.; Millati, R.; Sárvári-Horváth, I.; Taherzadeh, M.J. Factors influencing volatile fatty acids production from food wastes via anaerobic digestion. Bioengineered 2020, 11, 39–52. [Google Scholar] [CrossRef] [PubMed]
- Greses, S.; Tomás-Pejó, E.; Gónzalez-Fernández, C. Agroindustrial waste as a resource for volatile fatty acids production via anaerobic fermentation. Bioresour. Technol. 2020, 297, 122. [Google Scholar] [CrossRef] [PubMed]
- Atasoy, M.; Eyice, O.; Cetecioglu, Z. A comprehensive study of volatile fatty acids production from batch reactor to anaerobic sequencing batch reactor by using cheese processing wastewater. Bioresour. Technol. 2020, 311, 123529. [Google Scholar] [CrossRef]
- Magdalena, J.A.; Greses, S.; González-Fernández, C. Impact of organic loading rate in volatile fatty acids production and population dynamics using microalgae biomass as substrate. Sci. Rep. 2019, 9, 18374. [Google Scholar] [CrossRef]
- Iglesias-Iglesias, R.; Fernandez-Feal, M.M.D.C.; Kennes, C.; Veiga, M.C. Valorization of agro-industrial wastes to produce volatile fatty acids: Combined effect of substrate/inoculum ratio and initial alkalinity. Environ. Technol. 2021, 42, 3889–3899. [Google Scholar] [CrossRef] [PubMed]
- Esteban-Gutiérrez, M.; García-Aguirre, J.; Irizar, I.; Aymerich, E. From sewage sludge and agri-food waste to VFA: Individual acid production potential and up-scaling. Waste Manag. 2018, 77, 203–212. [Google Scholar] [CrossRef] [PubMed]
- Lu, Y.; Zhang, Q.; Wang, X.; Zhou, X.; Zhu, J. Effect of pH on volatile fatty acid production from anaerobic digestion of potato peel waste. Bioresour. Technol. 2020, 316, 123851. [Google Scholar] [CrossRef] [PubMed]
- Pramanik, S.K.; Suja, F.B.; Porhemmat, M.; Pramanik, B.K. Performance and Kinetic Model of a Single-Stage Anaerobic Digestion System Operated at Different Successive Operating Stages for the Treatment of Food Waste. Processes 2019, 7, 600. [Google Scholar] [CrossRef]
- Pérez-Morales, J.; Morales-Zarate, E.; Hernández-García, H.; Méndez-Acosta, H.O.; Hernández-Martínez, E. Mathematical modelling of volatile fatty acids production from cheese whey: Evaluation of pH and substrate-inoculum ratio effects. Fuel 2021, 287, 119510. [Google Scholar] [CrossRef]
- Aydin, S.; Yesil, H.; Tugtas, A.E. Recovery of mixed volatile fatty acids from anaerobically fermented organic wastes by vapor permeation membrane contactors. Bioresour. Technol. 2018, 250, 548–555. [Google Scholar] [CrossRef]
- Jones, R.J.; Fernández-Feito, R.; Massanet-Nicolau, J.; Dinsdale, R.; Guwy, A. Continuous recovery and enhanced yields of volatile fatty acids from a continually-fed 100 L food waste bioreactor by filtration and electrodialysis. Waste Manag. 2021, 122, 81–88. [Google Scholar] [CrossRef]
- García-González, M.C.; Vanotti, M.B. Recovery of ammonia from swine manure using gas-permeable membranes: Effect of waste strength and pH. Waste Manag. 2015, 38, 455–461. [Google Scholar] [CrossRef]
- Molinuevo-Salces, B.; Riaño, B.; Vanotti, M.B.; Hernández-González, D.; García-González, M.C. Pilot-scale demonstration of membrane-based nitrogen recovery from swine manure. Membranes 2020, 10, 270. [Google Scholar] [CrossRef]
- Yesil, H.; Tugtas, A.; Bayrakdar, A.; Calli, B. Anaerobic fermentation of organic solid wastes: Volatile fatty acid production and separation. Water Sci. Technol. 2014, 69, 2132–2138. [Google Scholar] [CrossRef]
- García-Aguirre, J.; Aymerich, E.; González-Martinez, J.G.; Esteban-Gutiérrez, M. Selective VFA production potential from organic waste streams: Assessing temperature and pH influence. Bioresour. Technol. 2017, 244, 1081–1088. [Google Scholar] [CrossRef]
- Braga, J.K.; Soares, L.A.; Motteran, F.; Sakamoto, I.K.; Varesche, M.B.A. Effect of 2-bromoethanesulfonate on anaerobic consortium to enhance hydrogen production utilizing sugarcane bagasse. Int. J. Hydrogen Energy 2016, 41, 22812–22823. [Google Scholar] [CrossRef]
- Calero, R.R.; Lagoa-Costa, B.; Fernandez-Feal, M.M.C.; Kennes, C.; Veiga, M.C. Volatile fatty acids production from cheese whey: Influence of pH, solid retention time and organic loading rate. J. Chem. Technol. Biotechnol. 2017, 93, 1742–1747. [Google Scholar] [CrossRef]
- Montecchio, D.; Gazzola, G.; Gallipoli, A.; Gianico, A.; Braguglia, C.M. Medium chain Fatty acids production from Food Waste via homolactic fermentation and lactate/ethanol elongation: Electron balance and thermodynamic assessment. Waste Manag. 2024, 177, 289–297. [Google Scholar] [CrossRef] [PubMed]
- Agler, M.T.; Wrenn, B.A.; Zinder, S.H.; Angenent, L.T. Waste to bioproduct conversion with undefined mixed cultures: The carboxylate platform. Trends Biotechnol. 2011, 29, 70–78. [Google Scholar] [CrossRef] [PubMed]
- Cabrera, F.; Serrano, A.; Torres, Á.; Rodriguez-Gutierrez, G.; Jeison, D.; Fermoso, F.G. The accumulation of volatile fatty acids and phenols through a pH-controlled fermentation of olive mill solid waste. Sci. Total Environ. 2019, 657, 1501–1507. [Google Scholar] [CrossRef] [PubMed]
- Maspolim, Y.; Zhou, Y.; Guo, C.; Xiao, K.; Ng, W.J. The effect of pH on solubilization of organic matter and microbial community structures in sludge fermentation. Bioresour. Technol. 2015, 190, 289–298. [Google Scholar] [CrossRef] [PubMed]
- Nguyen, D.D.; Jeon, B.H.; Jeung, J.H.; Rene, E.R.; Banu, J.R.; Ravindran, B.; Vu, C.M.; Ngo, H.H.; Guo, W.; Chang, S.W. Thermophilic Anaerobic Digestion of Model Organic Wastes: Evaluation of Biomethane Production and Multiple Kinetic Models Analysis. Bioresour. Technol. 2019, 280, 269–276. [Google Scholar] [CrossRef]
- Yesil, H.; Calli, B.; Tugtas, A.E. A hybrid dry-fermentation and membrane contactor system: Enhanced volatile fatty acid (VFA) production and recovery from organic solid wastes. Water Res. 2021, 192, 116831. [Google Scholar] [CrossRef]
- APHA. Standard Methods for the Examination of Water and Wastewater, 21st ed.; American Public Health Association, American Water Works Association, Water Environment Federation: Washington, DC, USA, 2005. [Google Scholar]



| Experiment | Initial pH | Final pH | TCOD Initial (g L−1) | TCOD Final (g L−1) | VFA Final (g COD L−1) | Bioconversion (%) |
|---|---|---|---|---|---|---|
| CW_5.5 | 5.50 | 5.09 | 19.53 (1.87) | 21.24 (5.17) | 7.12 (0.14) | 36.47 |
| CW_10 | 10.00 | 7.52 | 19.53 (1.87) | 17.23 (0.54) | 8.82 (0.00) | 45.14 |
| CW_BES | 7.41 | 5.85 | 19.87 (2.29) | 19.69 (2.71) | 8.22 (0.27) | 41.40 |
| CW_5.5c | 5.70 | 6.00 | 17.07 (0.22) | 16.50 (1.00) | 9.17 (0.59) | 53.72 |
| CW_10c | 9.40 | 9.90 | 17.66 (0.80) | 16.30 (0.92) | 6.80 (0.94) | 38.45 |
| Experiment | 1st-Order Model | 2st-Order Model | ||||||||
|---|---|---|---|---|---|---|---|---|---|---|
| k1 | VFAmax | SSE | r2 | BIC | k2 | VFAmax | SSE | r2 | BIC | |
| CW_5.5 | 0.247 | 7.80 | 2.10 | 0.9507 | 0.2 | 0.026 | 9.90 | 1.53 | 0.9565 | −1.07 |
| CW_10 | 0.458 | 9.62 | 2.77 | 0.9687 | 1.3 | 0.034 | 12.32 | 4.11 | 0.9476 | 2.88 |
| CW_5.5c | 0.475 | 9.21 | 2.25 | 0.9671 | 0.47 | 0.051 | 10.92 | 3.88 | 0.9434 | 2.65 |
| CW_10c | 0.338 | 7.00 | 0.73 | 0.9882 | −4.03 | 0.064 | 7.38 | 0.04 | 0.9986 | −15.65 |
| Parameter | Unit | Effluent 1 (E1) | Effluent 2 (E2) |
|---|---|---|---|
| Acetic acid | mg COD L−1 | 368 (45) | 1300 (334) |
| Propionic acid | mg COD L−1 | 176 (20) | n.d. |
| Isobutyric acid | mg COD L−1 | n.d. | 31 (0) |
| Butyric acid | mg COD L−1 | 467 (55) | 25 (0) |
| Isovaleric acid | mg COD L−1 | 32 (3) | 48 (11) |
| Valeric acid | mg COD L−1 | 31 (2) | n.d. |
| Hexanoic acid | mg COD L−1 | 22 (1) | n.d. |
| Heptanoic acid | mg COD L−1 | n.d. | n.d. |
| Parameter | Unit | Value |
|---|---|---|
| pH | - | 6.31 (0.00) |
| Conductivity | uS cm−1 | 5400 (0.00) |
| TS | % | 6.42 (0.16) |
| VS | % | 5.93 (0.14) |
| Alkalinity | mg L−1 | 954 (24) |
| N-NH4+ | mg L−1 | 155 (2) |
| TKN | mg L−1 | 2781 (38) |
| TCOD | mg L−1 | 138,276 (6970) |
| SCOD | mg L−1 | 121,950 (3920) |
Disclaimer/Publisher’s Note: The statements, opinions and data contained in all publications are solely those of the individual author(s) and contributor(s) and not of MDPI and/or the editor(s). MDPI and/or the editor(s) disclaim responsibility for any injury to people or property resulting from any ideas, methods, instructions or products referred to in the content. |
© 2024 by the authors. Licensee MDPI, Basel, Switzerland. This article is an open access article distributed under the terms and conditions of the Creative Commons Attribution (CC BY) license (https://creativecommons.org/licenses/by/4.0/).
Share and Cite
Molinuevo-Salces, B.; da Silva-Lacerda, V.; García-González, M.C.; Riaño, B. Production of Volatile Fatty Acids from Cheese Whey and Their Recovery Using Gas-Permeable Membranes. Recycling 2024, 9, 65. https://doi.org/10.3390/recycling9040065
Molinuevo-Salces B, da Silva-Lacerda V, García-González MC, Riaño B. Production of Volatile Fatty Acids from Cheese Whey and Their Recovery Using Gas-Permeable Membranes. Recycling. 2024; 9(4):65. https://doi.org/10.3390/recycling9040065
Chicago/Turabian StyleMolinuevo-Salces, Beatriz, Viviane da Silva-Lacerda, María Cruz García-González, and Berta Riaño. 2024. "Production of Volatile Fatty Acids from Cheese Whey and Their Recovery Using Gas-Permeable Membranes" Recycling 9, no. 4: 65. https://doi.org/10.3390/recycling9040065
APA StyleMolinuevo-Salces, B., da Silva-Lacerda, V., García-González, M. C., & Riaño, B. (2024). Production of Volatile Fatty Acids from Cheese Whey and Their Recovery Using Gas-Permeable Membranes. Recycling, 9(4), 65. https://doi.org/10.3390/recycling9040065

