A Novel Topology Optimization Protocol Based on an Improved Crow Search Algorithm for the Perception Layer of the Internet of Things
Abstract
1. Introduction
- A.
- MOTIVATIONS
- B.
- CONTRIBUTIONS
- (1)
- A mathematical model was established by reviewing the existing cluster routing protocol of WSNs.
- (2)
- A novel cluster routing protocol optimization method was developed using the enhanced crow search algorithm.
- (3)
- The results of the simulations were utilized to verify the suggested algorithm’s efficacy and efficiency.
- (4)
- The performance metrics of the proposed CM-CSA algorithms were compared to those of the PSO, AFSA, and basic CSA algorithms.
2. Related Work
3. Mathematical Model
4. Crow Search Algorithm
5. Cauchy Mutation Crow Search Algorithm
- (1)
- Global optimum individual’s Cauchy mutation method
- (2)
- New adaptive step size
- (3)
- New location update strategy
6. Application of CM-CSA Algorithm in the Clustering of WSNs
- (1)
- Initially clustering
- (2)
- Determining the ideal number of WSN clusters using the CM-CSA algorithm
- (3)
- Stable operation stage
- (4)
- Algorithm evaluation
7. Algorithm Simulation and Result Analysis
7.1. CEC Benchmark Function Test
7.2. Simulation Environment Construction
7.3. Comparison and Analysis of Simulation Results
- (1)
- Comparison of network clustering effect
- (2)
- Comparison of average network energy consumption
- (3)
- Comparison of the number of surviving nodes in the network
- (4)
- Comparison of the number of cluster heads
- (5)
- Comparison of cluster head energy consumption
- (6)
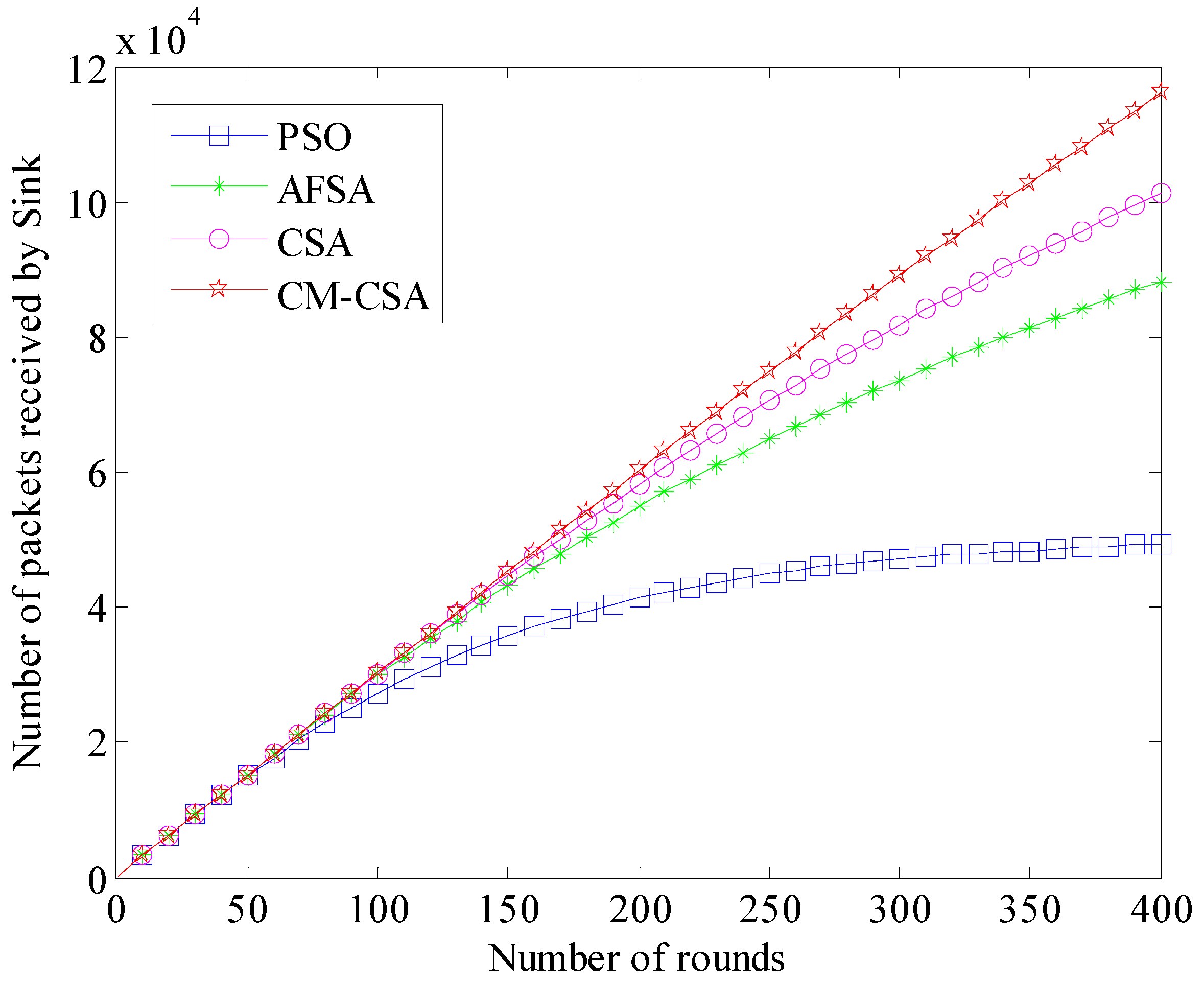
- The number of packets received by the sink
- (7)
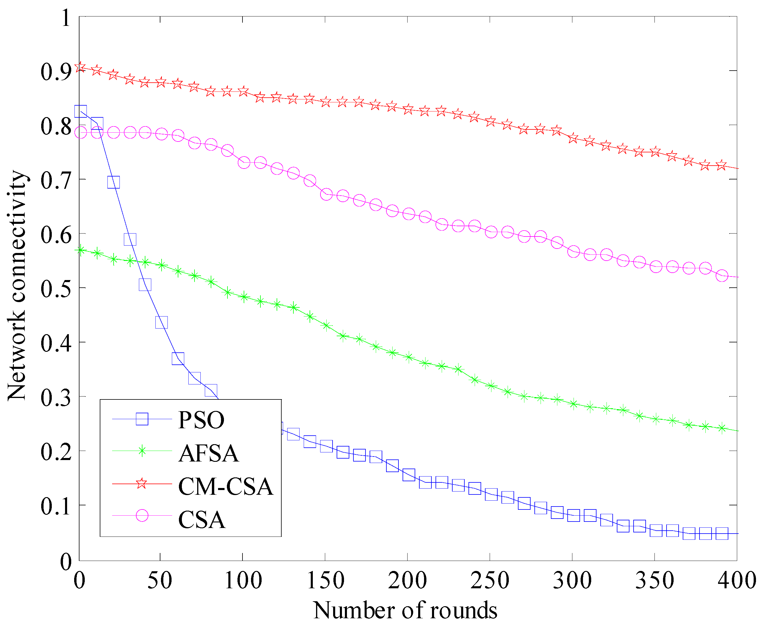
- Network connectivity comparison
- (8)
- Network reliability comparison
- (9)
- Comparison of network load balance
8. Conclusions
Author Contributions
Funding
Data Availability Statement
Conflicts of Interest
References
- Yang, Y.; Zhang, C. A Multi-Objective Carnivorous Plant Algorithm for Solving Constrained Multi-Objective Optimization Problems. Biomimetics 2023, 8, 136. [Google Scholar] [CrossRef]
- Yu, X.; Hu, Z.; Wang, X.; Luo, W. Ranking teaching–learning-based optimization algorithm to estimate the parameters of solar models. Eng. Appl. Artif. Intell. 2023, 123, 106225. [Google Scholar] [CrossRef]
- Cao, L.; Yue, Y.; Cai, Y.; Zhang, Y. A Novel Coverage Optimization Strategy for Heterogeneous Wireless Sensor Networks Based on Connectivity and Reliability. IEEE Access 2021, 9, 18424–18442. [Google Scholar] [CrossRef]
- Cao, L.; Yue, Y.; Zhang, Y.; Cai, Y. Improved crow search algorithm optimized extreme learning machine based on classification algorithm and application. IEEE Access 2021, 9, 20051–20066. [Google Scholar] [CrossRef]
- Yu, X.; Luo, W. Reinforcement learning-based multi-strategy cuckoo search algorithm for 3D UAV path planning. Expert Syst. Appl. 2023, 223, 119910. [Google Scholar] [CrossRef]
- Yue, Y.; Cao, L.; Lu, D.; Hu, Z.; Xu, M.; Wang, S.; Li, B.; Ding, H. Review and empirical analysis of sparrow search algorithm. Artif. Intell. Rev. 2023. [Google Scholar] [CrossRef]
- Wang, C.; Li, J.; Yang, Y.; Ye, F. Combining Solar Energy Harvesting with Wireless Charging for Hybrid Wireless Sensor Networks. IEEE Trans. Mob. Comput. 2018, 17, 560–576. [Google Scholar] [CrossRef]
- Kumar, N.; Vidyarthi, D.P. A green routing algorithm for IoT-enabled software defined wireless sensor network. IEEE Sens. J. 2018, 18, 9449–9460. [Google Scholar] [CrossRef]
- Yue, Y.; He, P. A comprehensive survey on the reliability of mobile wireless sensor networks: Taxonomy, challenges, and future directions. Inf. Fusion 2018, 44, 188–204. [Google Scholar] [CrossRef]
- Wang, S.; You, H.; Yue, Y. A novel topology optimization of coverage-oriented strategy for wireless sensor networks. Int. J. Distrib. Sens. Netw. 2021, 17, 1–14. [Google Scholar] [CrossRef]
- Rao, P.C.S.; Jana, P.K.; Banka, H. A particle swarm optimization based energy efficient cluster head selection algorithm for wireless sensor networks. Wirel. Netw. 2017, 23, 2005–2020. [Google Scholar] [CrossRef]
- Venkataraman, R. EODC: An energy optimized dynamic clustering protocol for wireless sensor network using PSO approach. Int. J. Comput. Commun. Control 2019, 14, 183–198. [Google Scholar]
- Su, S.; Zhao, S. An optimal clustering mechanism based on Fuzzy-C means for wireless sensor networks. Sustain. Comput. Inform. Syst. 2018, 18, 127–134. [Google Scholar] [CrossRef]
- Omeke, K.G.; Mollel, M.S.; Ozturk, M.; Ansari, S.; Zhang, L.; Abbasi, Q.H.; Imran, M.A. DEKCS: A Dynamic Clustering Protocol to Prolong Underwater Sensor Networks. IEEE Sens. J. 2021, 21, 9457–9464. [Google Scholar] [CrossRef]
- Kumar, S. Compartmental Modeling of Opportunistic Signals for Energy Efficient Optimal Clustering in WSN. IEEE Commun. Lett. 2018, 22, 173–176. [Google Scholar] [CrossRef]
- Phanish, D.; Coyle, E.J. Application-Based Optimization of Multi-Level Clustering in Ad Hoc and Sensor Networks. IEEE Trans. Wirel. Commun. 2017, 16, 4460–4475. [Google Scholar] [CrossRef]
- Maheswari, M.; Karthika, R.A. A Novel QoS Based Secure Unequal Clustering Protocol with Intrusion Detection System in Wireless Sensor Networks. Wirel. Pers. Commun. 2021, 118, 1535–1557. [Google Scholar] [CrossRef]
- Wang, J.; Gao, Y.; Liu, W.; Sangaiah, A.K.; Kim, H.J. An improved routing schema with special clustering using PSO algorithm for heterogeneous wireless sensor network. Sensors 2019, 19, 671. [Google Scholar] [CrossRef]
- Prithi, S.; Sumathi, S. LD2FA-PSO: A novel Learning Dynamic Deterministic Finite Automata with PSO algorithm for secured energy efficient routing in Wireless Sensor Network. Ad. Hoc. Netw. 2020, 97, 102024. [Google Scholar] [CrossRef]
- Sengottuvelan, P.; Prasath, N. BAFSA: Breeding artificial fish swarm algorithm for optimal cluster head selection in wireless sensor networks. Wirel. Pers. Commun. 2017, 94, 1979–1991. [Google Scholar] [CrossRef]
- Prithi, S.; Sumathi, S. Automata Based Hybrid PSO–GWO Algorithm for Secured Energy Efficient Optimal Routing in Wireless Sensor Network. Wirel. Pers. Commun. 2021, 117, 545–559. [Google Scholar] [CrossRef]
- Kumar, M.; Ch, A. OBC-WOA: Opposition-Based Chaotic Whale Optimization Algorithm for Energy Efficient Clustering in Wireless Sensor Network. Int. J. Intell. Eng. Syst. 2019, 12, 249–258. [Google Scholar] [CrossRef]
- Hussien, A.G.; Amin, M.; Wang, M.; Liang, G.; Alsanad, A.; Gumaei, A.; Chen, H. Crow Search Algorithm: Theory, Recent advances, and Applications. IEEE Access 2020, 8, 173548–173565. [Google Scholar] [CrossRef]
- Sayed, G.I.; Hassanien, A.E.; Azar, A.T. Feature selection via a novel chaotic crow search algorithm. Neural Comput. Appl. 2019, 31, 171–188. [Google Scholar] [CrossRef]
- Gupta, D.; Sundaram, S.; Khanna, A.; Hassanien, A.E.; De Albuquerque, V.H.C. Improved diagnosis of Parkinson’s disease using optimized crow search algorithm. Comput. Electr. Eng. 2018, 68, 412–424. [Google Scholar] [CrossRef]
- Farid, M.; Hamdi, A. A Modified Crow Search Algorithm (MCSA) for Solving Economic Load Dispatch Problem. Appl. Soft Comput. 2018, 71, 51–65. [Google Scholar]
- Díaz, P.; Pérez-Cisneros, M.; Cuevas, E.; Avalos, O.; Gálvez, J.; Hinojosa, S.; Zaldivar, D. An Improved Crow Search Algorithm Applied to Energy Problems. Energies 2018, 11, 571. [Google Scholar] [CrossRef]
- Ouadfel, S.; Elaziz, M.A. Enhanced Crow Search Algorithm for Feature Selection. Expert Syst. Appl. 2020, 159, 113572. [Google Scholar] [CrossRef]
- Rizk-Allah, R.M.; Hassanien, A.E.; Slowik, A. Multi-objective orthogonal opposition-based crow search algorithm for large-scale multi-objective optimization. Neural Comput. Appl. 2020, 32, 13715–13746. [Google Scholar] [CrossRef]
- Tripathi, A.; Gupta, H.P.; Dutta, T.; Mishra, R.; Shukla, K.K.; Jit, S. Coverage and connectivity in WSNs: A survey, research issues and challenges. IEEE Access 2018, 6, 26971–26992. [Google Scholar] [CrossRef]
- Fu, W.; Yang, Y.; Hong, G.; Hou, J. WSN deployment strategy for real 3D terrain coverage based on greedy algorithm with DEM probability coverage model. Electronics 2021, 10, 2028. [Google Scholar] [CrossRef]
- Le, N.T.; Jang, Y.M. Energy-efficient coverage guarantees scheduling and routing strategy for wireless sensor networks. Int. J. Distrib. Sens. Netw. 2015, 11, 612383. [Google Scholar] [CrossRef]
- Xie, T.; Zhang, C.; Zhang, Z.; Yang, K. Utilizing active sensor nodes in smart environments for optimal communication coverage. IEEE Access 2018, 7, 11338–11348. [Google Scholar] [CrossRef]
- Silva, I.; Guedes, L.A.; Portugal, P.; Vasques, F. Reliability and availability evaluation of wireless sensor networks for industrial applications. Sensors 2012, 12, 806–838. [Google Scholar] [CrossRef] [PubMed]
- Yang, J.; Chen, J.; Huo, Y.; Liu, Y. A novel cluster-based wireless sensor network reliability model using the expectation maximization algorithm. J. Sens. 2021, 2021, 8869544. [Google Scholar] [CrossRef]
- Khoshraftar, K.; Heidari, B. A hybrid method based on clustering to improve the reliability of the wireless sensor networks. Wirel. Pers. Commun. 2020, 113, 1029–1049. [Google Scholar] [CrossRef]
- Mahmood, M.A.; Seah, W.K.G.; Welch, I. Reliability in wireless sensor networks: A survey and challenges ahead. Comput. Netw. 2015, 79, 166–187. [Google Scholar] [CrossRef]
- Randhawa, S.; Jain, S. MLBC: Multi-objective load balancing clustering technique in wireless sensor networks. Appl. Soft Comput. 2019, 74, 66–89. [Google Scholar] [CrossRef]
- Bai, Y.; Cao, L.; Wang, S.; Ding, H.; Yue, Y. Data Collection Strategy Based on OSELM and Gray Wolf Optimization Algorithm for Wireless Sensor Networks. Comput. Intell. Neurosci. 2022, 2022, 4489436. [Google Scholar] [CrossRef]
- Ardiansyah, A.Y.; Sarno, R. Performance analysis of wireless sensor network with load balancing for data transmission using xbee zb module. Indones. J. Electr. Eng. Comput. Sci. 2020, 18, 88–100. [Google Scholar] [CrossRef]











|
|---|
| Step 1: Start |
|
| Step 4: Update the parameter . |
|
| Step 6: Use Formula (13) to adaptively adjust the step length fl. |
| Step 7: Use Formula (14) to perform displacement update operation. |
| Step 8: Check the feasibility of the new location. |
| Step 9: Calculate the fitness of the new position and update the memory value. |
|
| Step 11: Output the optimal solution and the optimal individual. Step 12: End. |
| Step | Implementation Steps of Clustering Data Collection for WSNs |
|---|---|
| 1 |
|
| 2 | Step 2: Cluster head selection. |
| 3 |
|
| 4 |
|
| 5 |
|
| 6 |
|
| 7 |
|
| 8 |
|
| 9 |
|
| 10 |
|
| 11 |
|
| 12 |
|
| 13 | Step 4: Data transfer between clusters. |
| 14 | Step 5: Stable operation of the network. |
| 15 | End |
| Function | Equation | Dimension | Bounds | Optimum |
|---|---|---|---|---|
| F1 | 30 | [−100,100] | 0 | |
| F2 | 30 | [−100,100] | 0 | |
| F3 | 30 | [−10,100] | 0 | |
| F4 | 30 | [−100,100] | 0 | |
| F5 | 30 | [−1.28,1.28] | 0 | |
| F6 | 30 | [−500,500] | 0 | |
| F7 | 30 | [−100,100] | 0 | |
| F8 | 30 | [−5.12,5.12] | 0 | |
| F9 | 30 | [−32,32] | 0 | |
| F10 | 30 | [−65,65] | 0 |
| Function | Algorithm | Mean | Std | Best |
|---|---|---|---|---|
| F1 | PSO | 65.066373 | 12.231686 | 38.688703 |
| FA | 517.992251 | 1526.295420 | 9.142594 | |
| SCA | 7283.128602 | 7731.478783 | 458.277701 | |
| AFSA | 4.96 × 104 | 1.67 × 105 | 7.63 × 103 | |
| CSA | 1.27 × 103 | 5.50 × 103 | 1.47 × 10−6 | |
| CM-CSA | 1.02 × 102 | 9.31 × 102 | 3.36 × 10−7 | |
| F2 | PSO | 1.559970 | 0.119099 | 1.309212 |
| FA | 2.684358 | 0.597503 | 1.780876 | |
| SCA | 2.602636 | 1.178328 | 0.791869 | |
| AFSA | 3.61 × 10 | 1.28 × 10−1 | 2.02 × 10 | |
| CSA | 1.21 | 2.11 | 1.35 × 10−2 | |
| CM-CSA | 5.03 × 10 | 2.67 × 102 | 1.29 × 10−7 | |
| F3 | PSO | 3180.719584 | 791.918414 | 1794.991035 |
| FA | 3511.842488 | 2686.516869 | 846.406105 | |
| SCA | 6830.271763 | 12,443.989131 | 33.533474 | |
| AFSA | 2.64 × 103 | 1.18 × 104 | 3.52 × 102 | |
| CSA | 3.47 × 10 | 2.18 × 10 | 2.50 × 10−1 | |
| CM-CSA | 3.15 × 10 | 1.86 × 10 | 2.56 × 10−2 | |
| F4 | PSO | 1.43 × 10 | 1.95 | 8.09 × 10−1 |
| FA | 6.27 | 1.7 | 3.16 | |
| SCA | 8.478817 | 8.899730 | 3.850588 | |
| AFSA | 1.16 × 103 | 1.78 × 103 | 2.73 × 103 | |
| CSA | 3.37 × 10−2 | 1.10 × 10−3 | 2.04 × 10−4 | |
| CM-CSA | 1.47 × 10−1 | 7.09 × 10−3 | 2.88 × 10−5 | |
| F5 | PSO | 95.000827 | 14.253399 | 60.619186 |
| FA | 8.869441 | 2.482767 | 3.959825 | |
| SCA | 0.044490 | 0.032707 | 0.006100 | |
| AFSA | 1.15 | 2.99 × 10 | 1.48 | |
| CSA | 9.39 × 10−2 | 2.07 × 10−1 | 2.39 × 10−2 | |
| CM-CSA | 2.50 × 10−2 | 6.86 × 10−3 | 2.28 × 10−4 | |
| F6 | PSO | 311.245852 | 97.179060 | 97.579370 |
| FA | 219.176033 | 129.775277 | 59.693352 | |
| SCA | 2021.5515 | 4320.47 | 268.504861 | |
| AFSA | 6.66 | 4.02 × 10−1 | 1.37 × 10−2 | |
| CSA | 2.73 × 10−1 | 2.85 × 10−1 | 1.74 × 10−3 | |
| CM-CSA | 3.02 × 10−2 | 2.27 × 10−2 | 4.48 × 10−4 | |
| F7 | PSO | 3.87 × 10 | 5.81 × 10 | 4.14 × 10 |
| FA | 1.50 × 102 | 3.23 × 10 | 8.54 × 10−2 | |
| SCA | 5.47 × 10 | 4.75 × 10−1 | 4.15 × 10−2 | |
| AFSA | 8.54 | 5.14 × 10−1 | 8.11 × 10−2 | |
| CSA | 2.16 × 10−1 | 2.87 × 10−1 | 1.87 × 10−2 | |
| CM-CSA | 4.56 × 10−2 | 2.85 × 10−2 | 8.67 × 10−3 | |
| F8 | PSO | 7.42 × 10 | 9.57 | 5.71 × 10−1 |
| FA | 3.68 | 6.76 × 10−1 | 4.91 × 10−2 | |
| SCA | 5.51 × 10 | 7.36 × 10−1 | 9.54 × 10−2 | |
| AFSA | 6.58 × 10 | 4.02 × 10−1 | 1.37 × 10−2 | |
| CSA | 2.73 × 10−1 | 2.85 × 10−1 | 1.98 × 10−3 | |
| CM-CSA | 3.02 × 10−2 | 2.27 × 10−2 | 5.17 × 10−4 | |
| F9 | PSO | 4.98 × 102 | 5.12 × 102 | 2.17 × 102 |
| FA | 3.67 × 102 | 5.49 × 10−1 | 4.82 × 10−2 | |
| SCA | 8.98 × 10 | 7.49 × 10−1 | 6.57 × 10−1 | |
| AFSA | 5.69 | 3.14 × 10−1 | 3.98 × 10−1 | |
| CSA | 4.61 × 10−1 | 2.49 × 10−1 | 2.69 × 10−2 | |
| CM-CSA | 4.28 × 10−2 | 3.57 × 10−1 | 6.81 × 10−7 | |
| F10 | PSO | 7.84 × 102 | 2.97 × 102 | 8.54 × 10 |
| FA | 2.61 × 10 | 5.42 × 10−1 | 3.64 × 10−2 | |
| SCA | 5.24 × 103 | 3.67 × 10 | 1.47 × 10 | |
| AFSA | 6.21 × 10 | 6.51 × 10−1 | 2.97 × 10−1 | |
| CSA | 2.64 × 10−1 | 2.85 × 10−1 | 4.65 × 10−2 | |
| CM-CSA | 5.68 × 10−1 | 4.32 × 10−2 | 2.59 × 10−5 |
Disclaimer/Publisher’s Note: The statements, opinions and data contained in all publications are solely those of the individual author(s) and contributor(s) and not of MDPI and/or the editor(s). MDPI and/or the editor(s) disclaim responsibility for any injury to people or property resulting from any ideas, methods, instructions or products referred to in the content. |
© 2023 by the authors. Licensee MDPI, Basel, Switzerland. This article is an open access article distributed under the terms and conditions of the Creative Commons Attribution (CC BY) license (https://creativecommons.org/licenses/by/4.0/).
Share and Cite
Bai, Y.; Cao, L.; Chen, B.; Chen, Y.; Yue, Y. A Novel Topology Optimization Protocol Based on an Improved Crow Search Algorithm for the Perception Layer of the Internet of Things. Biomimetics 2023, 8, 165. https://doi.org/10.3390/biomimetics8020165
Bai Y, Cao L, Chen B, Chen Y, Yue Y. A Novel Topology Optimization Protocol Based on an Improved Crow Search Algorithm for the Perception Layer of the Internet of Things. Biomimetics. 2023; 8(2):165. https://doi.org/10.3390/biomimetics8020165
Chicago/Turabian StyleBai, Yang, Li Cao, Binhe Chen, Yaodan Chen, and Yinggao Yue. 2023. "A Novel Topology Optimization Protocol Based on an Improved Crow Search Algorithm for the Perception Layer of the Internet of Things" Biomimetics 8, no. 2: 165. https://doi.org/10.3390/biomimetics8020165
APA StyleBai, Y., Cao, L., Chen, B., Chen, Y., & Yue, Y. (2023). A Novel Topology Optimization Protocol Based on an Improved Crow Search Algorithm for the Perception Layer of the Internet of Things. Biomimetics, 8(2), 165. https://doi.org/10.3390/biomimetics8020165

