Effect of Photolithographic Biomimetic Surface Microstructure on Wettability and Droplet Evaporation Process
Abstract
1. Introduction
2. Material and Experimental Setup
3. Results and Discussion
3.1. Effect of Microstructure Configuration on Biomimetic Surface Wettability
3.2. Effect of Microstructure Arrangement on Biomimetic Surface Wettability
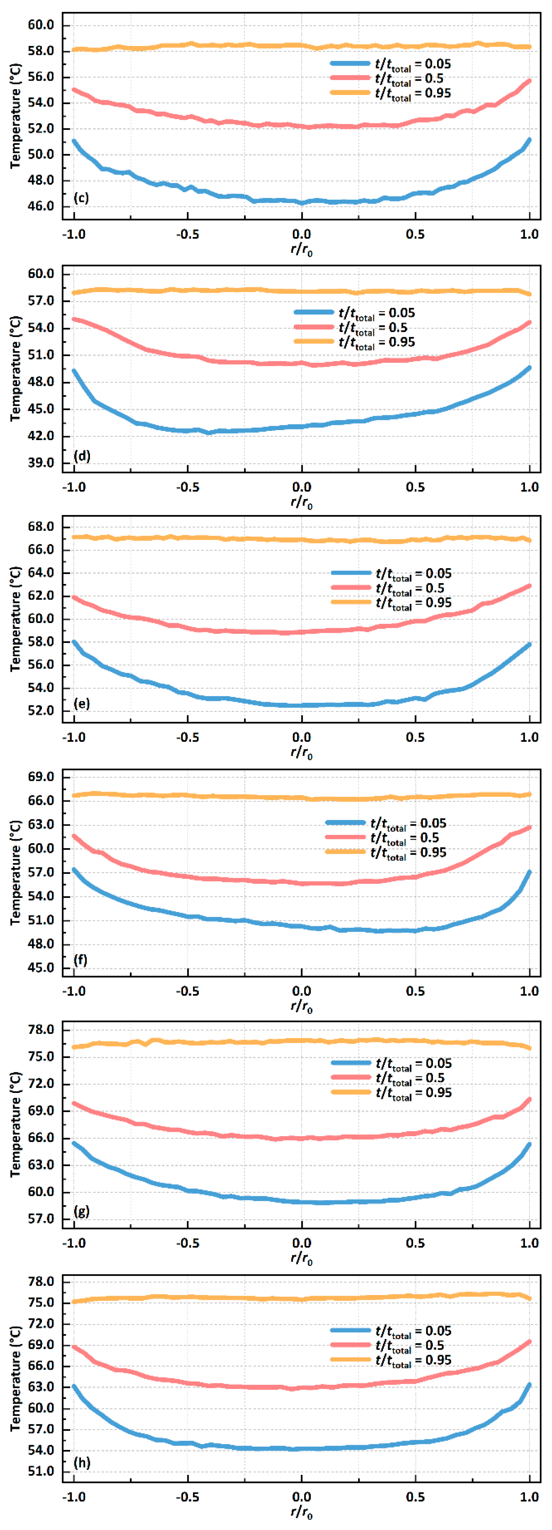
3.3. Effect of Microstructure Arrangement on Sessile Droplet’s Liquid–Vapour Interface Heat Transfer
4. Conclusions
Author Contributions
Funding
Institutional Review Board Statement
Data Availability Statement
Conflicts of Interest
References
- Roth, R.R. The foundation of bionics. Perspect. Biol. Med. 1983, 26, 229–242. [Google Scholar] [CrossRef] [PubMed]
- Bensmaia, S.J.; Tyler, D.J.; Micera, S. Restoration of sensory information via bionic hands. Nat. Biomed. Eng. 2023, 7, 443–455. [Google Scholar] [CrossRef] [PubMed]
- Han, J.; Hui, Z.; Tian, F.; Chen, G. Review on bio-inspired flight systems and bionic aerodynamics. Chin. J. Aeronaut. 2021, 34, 170–186. [Google Scholar] [CrossRef]
- Yuan, Y.; Yu, X.; Yang, X.; Xiao, Y.; Xiang, B.; Wang, Y. Bionic building energy efficiency and bionic green architecture: A review. Renew. Sustain. Energy Rev. 2017, 74, 771–787. [Google Scholar] [CrossRef]
- Li, S.; Fan, Y.; Liu, Y.; Niu, S.; Han, Z.; Ren, L. Smart bionic surfaces with switchable wettability and applications. J. Bionic Eng. 2021, 18, 473–500. [Google Scholar] [CrossRef]
- Liu, G.; Yuan, Z.; Qiu, Z.; Feng, S.; Xie, Y.; Leng, D.; Tian, X. A brief review of bio-inspired surface technology and application toward underwater drag reduction. Ocean Eng. 2020, 199, 106962. [Google Scholar] [CrossRef]
- Suresh Kumar, N.; Padma Suvarna, R.; Chandra Babu Naidu, K.; Banerjee, P.; Ratnamala, A.; Manjunatha, H. A review on biological and biomimetic materials and their applications. Appl. Phys. A 2020, 126, 445. [Google Scholar] [CrossRef]
- Stratakis, E.; Bonse, J.; Heitz, J.; Siegel, J.; Tsibidis, G.; Skoulas, E.; Papadopoulos, A.; Mimidis, A.; Joel, A.-C.; Comanns, P.; et al. Laser engineering of biomimetic surfaces. Mater. Sci. Eng. R Rep. 2020, 141, 100562. [Google Scholar] [CrossRef]
- Tan, Y.; Liu, X.; Tang, W.; Chen, J.; Zhu, Z.; Li, L.; Zhou, N.; Kang, X.; Xu, D.; Wang, L.; et al. Flexible pressure sensors based on bionic microstructures: From plants to animals. Adv. Mater. Interfaces 2022, 9, 2101312. [Google Scholar] [CrossRef]
- Li, Y.; Wu, Q.; Wu, Z.; Zhuang, Y.; Sun, L.; Fan, X.; Zhao, T.; Yi, L.; Gu, Y. Biomimetic functional material-based sensors for food safety analysis: A review. Food Chem. 2023, 405, 134974. [Google Scholar] [CrossRef]
- Zhang, P.; Li, Z.; Wang, Y.; Sun, W.; Zhu, K.; Li, Q.; Li, B.; Wang, Z.; Wang, K.; Zheng, Z.; et al. Electronic skin with biomimetic structures realizes excellent isothermal regulation. Nano Energy 2024, 121, 109189. [Google Scholar] [CrossRef]
- Buga, C.S.; Viana, J.C. A review on materials and technologies for organic large-area electronics. Adv. Mater. Technol. 2021, 6, 2001016. [Google Scholar] [CrossRef]
- Luo, C.; Xu, C.; Lv, L.; Li, H.; Huang, X.; Liu, W. Review of recent advances in inorganic photoresists. RSC Adv. 2020, 10, 8385–8395. [Google Scholar] [CrossRef] [PubMed]
- Sun, T.; Feng, L.; Gao, X.; Jiang, L. Bioinspired surfaces with special wettability. Acc. Chem. Res. 2005, 38, 644–652. [Google Scholar] [CrossRef] [PubMed]
- Shahsavan, H.; Arunbabu, D.; Zhao, B. Biomimetic modification of polymeric surfaces: A promising pathway for tuning of wetting and adhesion. Macromol. Mater. Eng. 2012, 297, 743–760. [Google Scholar] [CrossRef]
- Wu, H.; Zhang, R.; Sun, Y.; Lin, D.; Sun, Z.; Pan, W.; Downs, P. Biomimetic nanofiber patterns with controlled wettability. Soft Matter 2008, 4, 2429–2433. [Google Scholar] [CrossRef]
- Kostal, E.; Stroj, S.; Kasemann, S.; Matylitsky, V.; Domke, M. Fabrication of biomimetic fog-collecting superhydrophilic–superhydrophobic surface micropatterns using femtosecond lasers. Langmuir 2018, 34, 2933–2941. [Google Scholar] [CrossRef]
- Azad, M.; Ellerbrok, D.; Barthlott, W.; Koch, K. Fog collecting biomimetic surfaces: Influence of microstructure and wettability. Bioinspir. Biomim. 2015, 10, 016004. [Google Scholar] [CrossRef]
- Choi, Y.; Baek, K.; So, H. 3D-printing-assisted fabrication of hierarchically structured biomimetic surfaces with dual-wettability for water harvesting. Sci. Rep. 2023, 13, 10691. [Google Scholar] [CrossRef]
- Jian, Y.; Gao, H.; Yan, Y. Fabrication of a superhydrophobic micron-nanoscale hierarchical structured surface for delayed icing and reduced frosting. Surf. Interfaces 2022, 34, 102353. [Google Scholar] [CrossRef]
- Xu, J.; Xu, J.; Cao, Y.; Ji, X.; Yan, Y. Fabrication of non-flaking, superhydrophobic surfaces using a one-step solution-immersion process on copper foams. Appl. Surf. Sci. 2013, 286, 220–227. [Google Scholar] [CrossRef]
- Yin, Q.; Guo, Q.; Wang, Z.; Chen, Y.; Duan, H.; Cheng, P. 3D-printed bioinspired Cassie–baxter wettability for controllable microdroplet manipulation. ACS Appl. Mater. Interfaces 2020, 13, 1979–1987. [Google Scholar] [CrossRef] [PubMed]
- Baron, C.F.; Mimidis, A.; Puerto, D.; Skoulas, E.; Stratakis, E.; Solis, J.; Siegel, J. Biomimetic surface structures in steel fabricated with femtosecond laser pulses: Influence of laser rescanning on morphology and wettability. Beilstein J. Nanotechnol. 2018, 9, 2802–2812. [Google Scholar] [CrossRef] [PubMed]
- Stratakis, E.; Ranella, A.; Fotakis, C. Biomimetic micro/nanostructured functional surfaces for microfluidic and tissue engineering applications. Biomicrofluidics 2011, 5, 013411. [Google Scholar] [CrossRef]
- Huang, W.; He, X.; Liu, C.; Li, X.; Liu, Y.; Collier, C.P.; Srijanto, B.R.; Liu, J.; Cheng, J. Droplet evaporation on hot micro-structured superhydrophobic surfaces: Analysis of evaporation from droplet cap and base surfaces. Int. J. Heat Mass Transf. 2022, 185, 122314. [Google Scholar] [CrossRef]
- Zhang, H.; Lai, H.; Cheng, Z.; Zhang, D.; Liu, P.; Li, Y.; Liu, Y. In-situ switchable superhydrophobic shape memory microstructure patterns with reversible wettability and adhesion. Appl. Surf. Sci. 2020, 525, 146525. [Google Scholar] [CrossRef]
- Lu, L.; Yao, W.; Xie, Y.; Li, K.; Wan, Z. Study on the wettability of biomimetic stainless-steel surfaces inspired by Bauhinia Linn. leaf. Surf. Coat. Technol. 2021, 405, 126721. [Google Scholar] [CrossRef]
- Wei, D.; Wang, J.; Li, S.; Liu, Y.; Wang, D.; Wang, H. Novel corrosion-resistant behavior and mechanism of a biomimetic surface with switchable wettability on Mg alloy. Chem. Eng. J. 2021, 425, 130450. [Google Scholar] [CrossRef]
- Li, J.; Feng, Q.; Guo, N.; Wang, F.; Du, X.; Du, F. Preparation of a biomimetic superomniphobic hierarchical structure and analysis of droplet wettability. Biosurface Biotribology 2022, 8, 129–139. [Google Scholar] [CrossRef]
- Liang, Y.; Peng, J.; Li, X.; Huang, J.; Qiu, R.; Zhang, Z.; Ren, L. Wettability and contact time on a biomimetic superhydrophobic surface. Materials 2017, 10, 254. [Google Scholar] [CrossRef]
- Gou, X.; Guo, Z. Surface topographies of biomimetic superamphiphobic materials: Design criteria, fabrication and performance. Adv. Colloid Interface Sci. 2019, 269, 87–121. [Google Scholar] [CrossRef] [PubMed]
- Sun, Y.; Guo, Z. Recent advances of bioinspired functional materials with specific wettability: From nature and beyond nature. Nanoscale Horiz. 2019, 4, 52–76. [Google Scholar] [CrossRef] [PubMed]
- Johnson, A.P.; Sabu, C.; Nivitha, K.; Sankar, R.; Shirin, V.A.; Henna, T.; Raphey, V.; Gangadharappa, H.; Kotta, S.; Pramod, K. Bioinspired and biomimetic micro-and nanostructures in biomedicine. J. Control. Release 2022, 343, 724–754. [Google Scholar] [CrossRef] [PubMed]
- Guo, H.-Y.; Li, Q.; Zhao, H.-P.; Zhou, K.; Feng, X.-Q. Functional map of biological and biomimetic materials with hierarchical surface structures. Rsc Adv. 2015, 5, 66901–66926. [Google Scholar] [CrossRef]
- Hu, S.; Reddyhoff, T.; Li, J.; Cao, X.; Shi, X.; Peng, Z.; DeMello, A.J.; Dini, D. Biomimetic water-repelling surfaces with robustly flexible structures. ACS Appl. Mater. Interfaces 2021, 13, 31310–31319. [Google Scholar] [CrossRef]
- Liu, Y.; Zhang, H.; Wang, P.; He, Z.; Dong, G. 3D-printed bionic superhydrophobic surface with petal-like microstructures for droplet manipulation, oil-water separation, and drag reduction. Mater. Des. 2022, 219, 110765. [Google Scholar] [CrossRef]
- Bian, Y.; Zhu, S.; Li, X.; Tao, Y.; Nian, C.; Zhang, C.; Peng, Y.; Li, C.; Xiong, W.; Zhu, W.; et al. Bioinspired magnetism-responsive hybrid microstructures with dynamic switching toward liquid droplet rolling states. Nanoscale 2023, 15, 11945–11954. [Google Scholar] [CrossRef]
- Wang, X.; Zeng, J.; Li, J.; Yu, X.; Wang, Z.; Zhang, Y. Beetle and cactus-inspired surface endows continuous and directional droplet jumping for efficient water harvesting. J. Mater. Chem. A 2021, 9, 1507–1516. [Google Scholar] [CrossRef]
- Liu, Y.; Wu, M.; Zhang, Z.; Lu, J.; Xu, K.; Zhu, H.; Wu, Y.; Wang, B.; Lei, W. A review on applications of functional superhydrophobic surfaces prepared by laser biomimetic manufacturing. J. Mater. Sci. 2023, 58, 3421–3459. [Google Scholar] [CrossRef]
- Lasagni, A.F.; Alamri, S.; Aguilar-Morales, A.I.; Rößler, F.; Voisiat, B.; Kunze, T. Biomimetic surface structuring using laser based interferometric methods. Appl. Sci. 2018, 8, 1260. [Google Scholar] [CrossRef]
- Yang, L.; Shen, X.; Yang, Q.; Liu, J.; Wu, W.; Li, D.; Du, J.; Zhang, B.; Fan, S. Fabrication of biomimetic anisotropic super-hydrophobic surface with rice leaf-like structures by femtosecond laser. Opt. Mater. 2021, 112, 110740. [Google Scholar] [CrossRef]
- Wan, Y.; Wang, X.; Zhang, M.; Xu, J.; Yu, H. Biomimetic bamboo leaf double-sided microstructure composite surface and its delayed icing performance. Surf. Topogr. Metrol. Prop. 2022, 10, 025037. [Google Scholar] [CrossRef]
- Gao, H.; Liu, Y.; Wang, G.; Li, S.; Han, Z.; Ren, L. Biomimetic metal surfaces inspired by lotus and reed leaves for manipulation of microdroplets or fluids. Appl. Surf. Sci. 2020, 519, 146052. [Google Scholar] [CrossRef]
- Feng, R.; Song, F.; Xu, C.; Wang, X.-L.; Wang, Y.-Z. A quadruple-biomimetic surface for spontaneous and efficient fog harvesting. Chem. Eng. J. 2021, 422, 130119. [Google Scholar] [CrossRef]
- Yao, M.; Zhang, P.; Nie, J.; He, Y. The superhydrophobic fluorine-containing material prepared through biomimetic UV lithography for oil–water separation and anti-bioadhesion. Macromol. Chem. Phys. 2021, 222, 2100149. [Google Scholar] [CrossRef]
- Yu, H.; Zhang, J.; Zhang, S.; Han, Z. Bionic structures and materials inspired by plant leaves: A comprehensive review for innovative problem-solving. Prog. Mater. Sci. 2023, 139, 101181. [Google Scholar] [CrossRef]
- Arzt, E.; Quan, H.; McMeeking, R.M.; Hensel, R. Functional surface microstructures inspired by nature—From adhesion and wetting principles to sustainable new devices. Prog. Mater. Sci. 2021, 120, 100823. [Google Scholar] [CrossRef]
- Xiang, T.; Hou, J.; Xie, H.; Liu, X.; Gong, T.; Zhou, S. Biomimetic micro/nano structures for biomedical applications. Nano Today 2020, 35, 100980. [Google Scholar] [CrossRef]
- Chen, Z.; Lee, J.-B. Biocompatibility of su-8 and its biomedical device applications. Micromachines 2021, 12, 794. [Google Scholar] [CrossRef]
- Mathew, R.; Ravi Sankar, A. A review on surface stress-based miniaturized piezoresistive SU-8 polymeric cantilever sensors. Nano-Micro Lett. 2018, 10, 35. [Google Scholar] [CrossRef]
- Lee, J.B.; Choi, K.-H.; Yoo, K. Innovative SU-8 lithography techniques and their applications. Micromachines 2014, 6, 1–18. [Google Scholar] [CrossRef]














| Physical Properties | Approximate Values |
|---|---|
| Glass Transition Temperature (°C) | 210 |
| Thermal Stability (°C @ 5% wt. loss) | 315 |
| Thermal Conductivity (W/mK) | 0.3 |
| Coeff. of Thermal Expansion (ppm) | 52 |
| Adhesion Strength (mPa) | 38 |
| CS-1 | CS-2 | CS-3 | SS-1 | SS-2 | SS-3 | |
|---|---|---|---|---|---|---|
| Average height H (µm) | 15 | 50 | 30 | 30 | 30 | 40 |
| Diameter/Side Length D (µm) | 20 | 20 | 30 | 30 | 20 | 20 |
| Spacing S (µm) | 15 | 40 | 20 | 20 | 20 | 20 |
| Roughness factor (f) | 1.769 | 1.873 | 2.131 | 2.44 | 2.50 | 3.0 |
| 50 °C | 60 °C | 70 °C | 80 °C | |
|---|---|---|---|---|
| Density (g/cm3) | 0.98804 | 0.98321 | 0.97778 | 0.97180 |
| Viscosity (mPa·s) | 0.5494 | 0.4688 | 0.4061 | 0.3635 |
| Surface Tension (dyn/cm) | 67.91 | 66.18 | 64.42 | 62.61 |
| Thermal Conductivity (mW/m·K) | 640.60 | 650.91 | 659.69 | 667.02 |
Disclaimer/Publisher’s Note: The statements, opinions and data contained in all publications are solely those of the individual author(s) and contributor(s) and not of MDPI and/or the editor(s). MDPI and/or the editor(s) disclaim responsibility for any injury to people or property resulting from any ideas, methods, instructions or products referred to in the content. |
© 2024 by the authors. Licensee MDPI, Basel, Switzerland. This article is an open access article distributed under the terms and conditions of the Creative Commons Attribution (CC BY) license (https://creativecommons.org/licenses/by/4.0/).
Share and Cite
Zhang, Z.; Yan, Y. Effect of Photolithographic Biomimetic Surface Microstructure on Wettability and Droplet Evaporation Process. Biomimetics 2024, 9, 724. https://doi.org/10.3390/biomimetics9120724
Zhang Z, Yan Y. Effect of Photolithographic Biomimetic Surface Microstructure on Wettability and Droplet Evaporation Process. Biomimetics. 2024; 9(12):724. https://doi.org/10.3390/biomimetics9120724
Chicago/Turabian StyleZhang, Zhihao, and Yuying Yan. 2024. "Effect of Photolithographic Biomimetic Surface Microstructure on Wettability and Droplet Evaporation Process" Biomimetics 9, no. 12: 724. https://doi.org/10.3390/biomimetics9120724
APA StyleZhang, Z., & Yan, Y. (2024). Effect of Photolithographic Biomimetic Surface Microstructure on Wettability and Droplet Evaporation Process. Biomimetics, 9(12), 724. https://doi.org/10.3390/biomimetics9120724

