Chemical Synthesis and Structure–Activity Relationship Studies of the Coagulation Factor Xa Inhibitor Tick Anticoagulant Peptide from the Hematophagous Parasite Ornithodoros moubata
Abstract
1. Introduction
2. Materials and Methods
2.1. Reagents
2.2. Peptide Synthesis
2.3. Assignment of Disulphide Pairings
2.4. Disulphide Folding Kinetics
2.5. Spectroscopic Measurements
2.6. Hydrogen–Deuterium Exchange Mass Spectrometry (HDX-MS)
2.7. Factor Xa Inhibition Assays
2.8. Computational Methods
3. Results
3.1. Chemical Synthesis and Disulphide Oxidative Renaturation of Wild-Type TAP
3.2. Spectroscopic Characterization of Synthetic Wild-Type TAP
3.3. Probing the Structure and Dynamics of Synthetic TAP by HDX-MS
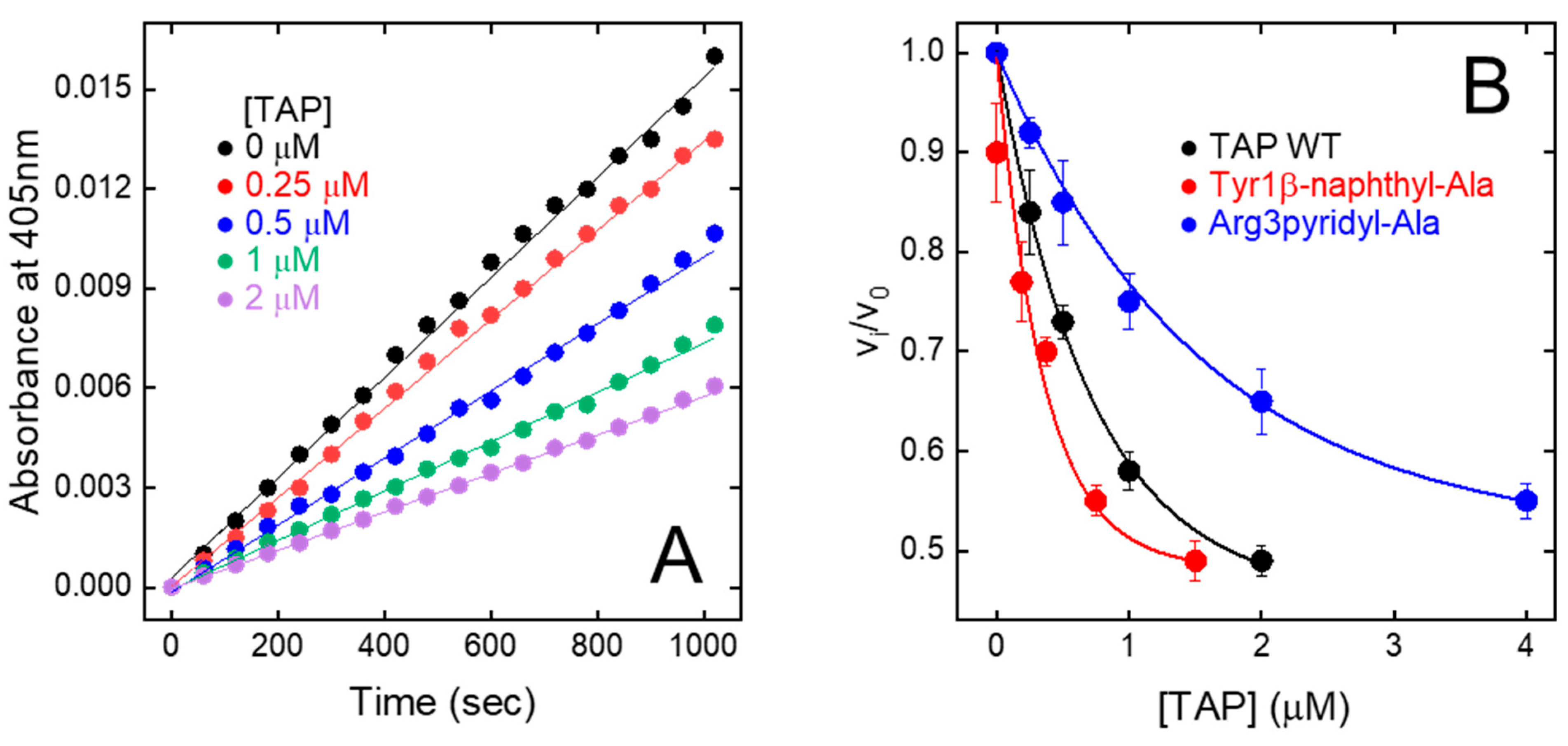
3.4. Inhibition of fXa Amidolytic Activity by Wild-Type Synthetic TAP
3.5. Design, Synthesis, and SAR Studies of Synthetic TAP Analogues Containing Non-Coded Amino Acids
4. Discussion
Supplementary Materials
Author Contributions
Funding
Institutional Review Board Statement
Data Availability Statement
Acknowledgments
Conflicts of Interest
References
- Koh, C.Y.; Kini, R.M. Molecular diversity of anticoagulants from haematophagous animals. Thromb. Haemost. 2009, 102, 437–453. [Google Scholar] [CrossRef] [PubMed]
- Corral-Rodríguez, M.A.; Macedo-Ribeiro, S.; Barbosa Pereira, P.J.; Fuentes-Prior, P. Tick-derived Kunitz-type inhibitors as antihemostatic factors. Insect Biochem. Mol. Biol. 2009, 39, 579–595. [Google Scholar] [CrossRef] [PubMed]
- Corral-Rodríguez, M.A.; Macedo-Ribeiro, S.; Pereira, P.J.; Fuentes-Prior, P. Leech-derived thrombin inhibitors: From structures to mechanisms to clinical applications. J. Med. Chem. 2010, 53, 3847–3861. [Google Scholar] [CrossRef]
- Kazimírová, M.; Štibrániová, I. Tick salivary compounds: Their role in modulation of host defences and pathogen transmission. Front. Cell. Infect. Microbiol. 2013, 3, 43. [Google Scholar] [CrossRef] [PubMed]
- Jmel, M.A.; Voet, H.; Araújo, R.N.; Tirloni, L.; Sá-Nunes, A.; Kotsyfakis, M. Tick Salivary Kunitz-Type Inhibitors: Targeting Host Hemostasis and Immunity to Mediate Successful Blood Feeding. Int. J. Mol. Sci. 2023, 24, 1556. [Google Scholar] [CrossRef] [PubMed]
- Di Cera, E. Thrombin as procoagulant and anticoagulant. J. Thromb. Haemost. 2007, 5 (Suppl. 1), 196–202. [Google Scholar] [CrossRef] [PubMed]
- Haynes, L.M.; Bouchard, B.A.; Tracy, P.B.; Mann, K.G. Prothrombin activation by platelet-associated prothrombinase proceeds through the prethrombin-2 pathway via a concerted mechanism. J. Biol. Chem. 2012, 287, 38647–38655. [Google Scholar] [CrossRef]
- Lee, C.J.; Ansell, J.E. Direct thrombin inhibitors. Br. J. Clin. Pharmacol. 2011, 72, 581–592. [Google Scholar] [CrossRef] [PubMed]
- Waxman, L.; Smith, D.E.; Arcuri, K.E.; Vlasuk, G.P. Tick anticoagulant peptide (TAP) is a novel inhibitor of blood coagulation factor Xa. Science 1990, 248, 593–596. [Google Scholar] [CrossRef] [PubMed]
- Wei, A.; Alexander, R.S.; Duke, J.; Ross, H.; Rosenfeld, S.A.; Chang, C.H. Unexpected binding mode of tick anticoagulant peptide complexed to bovine factor Xa. J. Mol. Biol. 1998, 283, 147–154. [Google Scholar] [CrossRef]
- Krishnaswamy, S.; Vlasuk, G.P.; Bergum, P.W. Assembly of the prothrombinase complex enhances the inhibition of bovine factor Xa by tick anticoagulant peptide. Biochemistry 1994, 33, 7897–7907. [Google Scholar] [CrossRef] [PubMed]
- Yeh, C.H.; Fredenburgh, J.C.; Weitz, J.I. Oral direct factor Xa inhibitors. Circ. Res. 2012, 111, 1069–1078. [Google Scholar] [CrossRef] [PubMed]
- Schaffer, L.W.; Davidson, J.T.; Vlasuk, G.P.; Siegl, P.K. Antithrombotic efficacy of recombinant tick anticoagulant peptide. A potent inhibitor of coagulation factor Xa in a primate model of arterial thrombosis. Circulation 1991, 84, 1741–1748. [Google Scholar] [CrossRef] [PubMed]
- Sitko, G.R.; Ramjit, D.R.; Stabilito, I.I.; Lehman, D.; Lynch, J.J.; Vlasuk, G.P. Conjunctive enhancement of enzymatic thrombolysis and prevention of thrombotic reocclusion with the selective factor Xa inhibitor, tick anticoagulant peptide. Comparison to hirudin and heparin in a canine model of acute coronary artery thrombosis. Circulation 1992, 85, 805–815. [Google Scholar] [CrossRef] [PubMed]
- Fioravanti, C.; Burkholder, D.; Francis, B.; Siegl, P.K.; Gibson, R.E. Antithrombotic activity of recombinant tick anticoagulant peptide and heparin in a rabbit model of venous thrombosis. Thromb. Res. 1993, 71, 317–324. [Google Scholar] [CrossRef] [PubMed]
- Ragosta, M.; Gimple, L.W.; Gertz, S.D.; Dunwiddie, C.T.; Vlasuk, G.P.; Haber, H.L.; Powers, E.R.; Roberts, W.C.; Sarembock, I.J. Specific factor Xa inhibition reduces restenosis after balloon angioplasty of atherosclerotic femoral arteries in rabbits. Circulation 1994, 89, 1262–1271. [Google Scholar] [CrossRef] [PubMed]
- Lynch, J.J., Jr.; Sitko, G.R.; Mellott, M.J.; Nutt, E.M.; Lehman, E.D.; Friedman, P.A.; Dunwiddie, C.T.; Vlasuk, G.P. Maintenance of canine coronary artery patency following thrombolysis with front loaded plus low dose maintenance conjunctive therapy. A comparison of factor Xa versus thrombin inhibition. Cardiovasc. Res. 1994, 28, 78–85. [Google Scholar] [CrossRef] [PubMed]
- Biemond, B.J.; Friederich, P.W.; Levi, M.; Vlasuk, G.P.; Büller, H.R.; ten Cate, J.W. Comparison of sustained antithrombotic effects of inhibitors of thrombin and factor Xa in experimental thrombosis. Circulation 1996, 93, 153–160. [Google Scholar] [CrossRef] [PubMed]
- Stoll, P.; Bassler, N.; Hagemeyer, C.E.; Eisenhardt, S.U.; Chen, Y.C.; Schmidt, R.; Schwarz, M.; Ahrens, I.; Katagiri, Y.; Pannen, B.; et al. Targeting ligand-induced binding sites on GPIIb/IIIa via single-chain antibody allows effective anticoagulation without bleeding time prolongation. Arterioscler. Thromb. Vasc. Biol. 2007, 27, 1206–1212. [Google Scholar] [CrossRef]
- Hagemeyer, C.E.; Tomic, I.; Jaminet, P.; Weirich, U.; Bassler, N.; Schwarz, M.; Runge, M.S.; Bode, C.; Peter, K. Fibrin-targeted direct factor Xa inhibition: Construction and characterization of a recombinant factor Xa inhibitor composed of an anti-fibrin single-chain antibody and tick anticoagulant peptide. Thromb. Haemost. 2004, 92, 47–53. [Google Scholar] [CrossRef]
- Hanjaya-Putra, D.; Haller, C.; Wang, X.; Dai, E.; Lim, B.; Liu, L.; Jaminet, P.; Yao, J.; Searle, A.; Bonnard, T.; et al. Platelet-targeted dual pathway antithrombotic inhibits thrombosis with preserved hemostasis. JCI Insight 2018, 3, e99329. [Google Scholar] [CrossRef] [PubMed]
- Bienvenu, L.A.; Maluenda, A.; McFadyen, J.D.; Searle, A.K.; Yu, E.; Haller, C.; Chaikof, E.L.; Peter, K.; Wang, X. Combined Antiplatelet/Anticoagulant Drug for Cardiac Ischemia/Reperfusion Injury. Circ. Res. 2020, 127, 1211–1213. [Google Scholar] [CrossRef] [PubMed]
- Ngo, A.T.P.; Aslan, J.E.; McCarty, O.J.T. Bleeding TAPs out. J. Thromb. Haemost. 2019, 17, 247–249. [Google Scholar] [CrossRef]
- Chang, J.Y.; Li, L. Divergent folding pathways of two homologous proteins, BPTI and tick anticoagulant peptide: Compartmentalization of folding intermediates and identification of kinetic traps. Arch. Biochem. Biophys. 2005, 437, 85–95. [Google Scholar] [CrossRef]
- Antuch, W.; Güntert, P.; Billeter, M.; Hawthorne, T.; Grossenbacher, H.; Wüthrich, K. NMR solution structure of the recombinant tick anticoagulant protein (rTAP), a factor Xa inhibitor from the tick Ornithodoros moubata. FEBS Lett. 1994, 352, 251–257. [Google Scholar] [CrossRef] [PubMed]
- Cierpicki, T.; Otlewski, J. NMR structures of two variants of bovine pancreatic trypsin inhibitor (BPTI) reveal unexpected influence of mutations on protein structure and stability. J. Mol. Biol. 2002, 321, 647–658. [Google Scholar] [CrossRef]
- Ascenzi, P.; Bocedi, A.; Bolognesi, M.; Spallarossa, A.; Coletta, M.; De Cristofaro, R.; Menegatti, E. The bovine basic pancreatic trypsin inhibitor (Kunitz inhibitor): A milestone protein. Curr. Protein Pept. Sci. 2003, 4, 231–251. [Google Scholar] [CrossRef]
- De Filippis, V.; Quarzago, D.; Vindigni, A.; Di Cera, E.; Fontana, A. Synthesis and characterization of more potent analogues of hirudin fragment 1-47 containing non-natural amino acids. Biochemistry 1998, 37, 13507–13515. [Google Scholar] [CrossRef]
- Chang, J.Y. The disulfide folding pathway of tick anticoagulant peptide (TAP), a Kunitz-type inhibitor structurally homologous to BPTI. Biochemistry 1996, 35, 11702–11709. [Google Scholar] [CrossRef]
- Pontarollo, G.; Acquasaliente, L.; Peterle, D.; Frasson, R.; Artusi, I.; De Filippis, V. Non-canonical proteolytic activation of human prothrombin by subtilisin from Bacillus subtilis may shift the procoagulant-anticoagulant equilibrium toward thrombosis. J. Biol. Chem. 2017, 292, 15161–15179. [Google Scholar] [CrossRef]
- Acquasaliente, L.; Peterle, D.; Tescari, S.; Pozzi, N.; Pengo, V.; De Filippis, V. Molecular mapping of alpha-thrombin (alphaT)/beta2-glycoprotein I (beta2GpI) interaction reveals how beta2GpI affects alphaT functions. Biochem. J. 2016, 473, 4629–4650. [Google Scholar] [CrossRef] [PubMed]
- Acquasaliente, L.; Pierangelini, A.; Pagotto, A.; Pozzi, N.; De Filippis, V. From haemadin to haemanorm: Synthesis and characterization of full-length haemadin from the leech Haemadipsa sylvestris and of a novel bivalent, highly potent thrombin inhibitor (haemanorm). Protein Sci. 2023, 32, e4825. [Google Scholar] [CrossRef] [PubMed]
- Peterle, D.; Pontarollo, G.; Spada, S.; Brun, P.; Palazzi, L.; Sokolov, A.V.; Spolaore, B.; Polverino de Laureto, P.; Vasilyev, V.B.; Castagliuolo, I.; et al. A serine protease secreted from Bacillus subtilis cleaves human plasma transthyretin to generate an amyloidogenic fragment. Commun. Biol. 2020, 3, 764. [Google Scholar] [CrossRef] [PubMed]
- Konermann, L.; Pan, J.; Liu, Y.H. Hydrogen exchange mass spectrometry for studying protein structure and dynamics. Chem. Soc. Rev. 2011, 40, 1224–1234. [Google Scholar] [CrossRef] [PubMed]
- Peterle, D.; Wales, T.E.; Engen, J.R. Simple and Fast Maximally Deuterated Control (maxD) Preparation for Hydrogen-Deuterium Exchange Mass Spectrometry Experiments. Anal. Chem. 2022, 94, 10142–10150. [Google Scholar] [CrossRef] [PubMed]
- Monnaie, D.; Arosio, D.; Griffon, N.; Rose, T.; Rezaie, A.R.; Di Cera, E. Identification of a binding site for quaternary amines in factor Xa. Biochemistry 2000, 39, 5349–5354. [Google Scholar] [CrossRef] [PubMed]
- Vriend, G. WHAT IF: A molecular modeling and drug design program. J. Mol. Graph. 1990, 8, 52–56, 29. [Google Scholar] [CrossRef]
- Lim-Wilby, M.S.; Hallenga, K.; de Maeyer, M.; Lasters, I.; Vlasuk, G.P.; Brunck, T.K. NMR structure determination of tick anticoagulant peptide (TAP). Protein Sci. 1995, 4, 178–186. [Google Scholar] [CrossRef] [PubMed]
- Baker, N.A.; Sept, D.; Joseph, S.; Holst, M.J.; McCammon, J.A. Electrostatics of nanosystems: Application to microtubules and the ribosome. Proc. Natl. Acad. Sci. USA 2001, 98, 10037–10041. [Google Scholar] [CrossRef]
- Fogolari, F.; Corazza, A.; Yarra, V.; Jalaru, A.; Viglino, P.; Esposito, G. Bluues: A program for the analysis of the electrostatic properties of proteins based on generalized Born radii. BMC Bioinform. 2012, 13 (Suppl. 4), S18. [Google Scholar] [CrossRef]
- Sangster, J. Octanol-Water Partition Coefficients of Simple Organic Compounds. J. Phys. Chem. Ref. Data 1989, 18, 1111–1229. [Google Scholar] [CrossRef]
- Lien, E.J.; Guo, Z.R.; Li, R.L.; Su, C.T. Use of dipole moment as a parameter in drug-receptor interaction and quantitative structure-activity relationship studies. J. Pharm. Sci. 1982, 71, 641–655. [Google Scholar] [CrossRef]
- Pozzi, N.; Zerbetto, M.; Acquasaliente, L.; Tescari, S.; Frezzato, D.; Polimeno, A.; Gohara, D.W.; Di Cera, E.; De Filippis, V. Loop Electrostatics Asymmetry Modulates the Preexisting Conformational Equilibrium in Thrombin. Biochemistry 2016, 55, 3984–3994. [Google Scholar] [CrossRef]
- De Filippis, V.; de Laureto, P.P.; Toniutti, N.; Fontana, A. Acid-induced molten globule state of a fully active mutant of human interleukin-6. Biochemistry 1996, 35, 11503–11511. [Google Scholar] [CrossRef]
- Sowole, M.A.; Konermann, L. Effects of protein-ligand interactions on hydrogen/deuterium exchange kinetics: Canonical and noncanonical scenarios. Anal. Chem. 2014, 86, 6715–6722. [Google Scholar] [CrossRef]
- Masson, G.R.; Burke, J.E.; Ahn, N.G.; Anand, G.S.; Borchers, C.; Brier, S.; Bou-Assaf, G.M.; Engen, J.R.; Englander, S.W.; Faber, J.; et al. Recommendations for performing, interpreting and reporting hydrogen deuterium exchange mass spectrometry (HDX-MS) experiments. Nat. Methods 2019, 16, 595–602. [Google Scholar] [CrossRef]
- Engen, J.R.; Komives, E.A. Complementarity of Hydrogen/Deuterium Exchange Mass Spectrometry and Cryo-Electron Microscopy. Trends Biochem. Sci. 2020, 45, 906–918. [Google Scholar] [CrossRef]
- Richardson, J.L.; Fuentes-Prior, P.; Sadler, J.E.; Huber, R.; Bode, W. Characterization of the residues involved in the human alpha-thrombin-haemadin complex: An exosite II-binding inhibitor. Biochemistry 2002, 41, 2535–2542. [Google Scholar] [CrossRef]
- Jordan, S.P.; Mao, S.S.; Lewis, S.D.; Shafer, J.A. Reaction pathway for inhibition of blood coagulation factor Xa by tick anticoagulant peptide. Biochemistry 1992, 31, 5374–5380. [Google Scholar] [CrossRef] [PubMed]
- Dunwiddie, C.T.; Neeper, M.P.; Nutt, E.M.; Waxman, L.; Smith, D.E.; Hofmann, K.J.; Lumma, P.K.; Garsky, V.M.; Vlasuk, G.P. Site-directed analysis of the functional domains in the factor Xa inhibitor tick anticoagulant peptide: Identification of two distinct regions that constitute the enzyme recognition sites. Biochemistry 1992, 31, 12126–12131. [Google Scholar] [CrossRef]
- Lin, Z.; Johnson, M.E. Proposed cation-pi mediated binding by factor Xa: A novel enzymatic mechanism for molecular recognition. FEBS Lett. 1995, 370, 1–5. [Google Scholar] [CrossRef] [PubMed]
- Mao, S.S.; Huang, J.; Welebob, C.; Neeper, M.P.; Garsky, V.M.; Shafer, J.A. Identification and characterization of variants of tick anticoagulant peptide with increased inhibitory potency toward human factor Xa. Biochemistry 1995, 34, 5098–5103. [Google Scholar] [CrossRef]
- Roberts, H.R.; Hoffman, M.; Monroe, D.M. A cell-based model of thrombin generation. Semin. Thromb. Hemost. 2006, 32 (Suppl. 1), 32–38. [Google Scholar] [CrossRef]
- Versteeg, H.H.; Heemskerk, J.W.; Levi, M.; Reitsma, P.H. New fundamentals in hemostasis. Physiol. Rev. 2013, 93, 327–358. [Google Scholar] [CrossRef]
- De Filippis, V.; Lancellotti, S.; Maset, F.; Spolaore, B.; Pozzi, N.; Gambaro, G.; Oggianu, L.; Calò, L.A.; De Cristofaro, R. Oxidation of Met1606 in von Willebrand factor is a risk factor for thrombotic and septic complications in chronic renal failure. Biochem. J. 2012, 442, 423–432. [Google Scholar] [CrossRef]
- Patmore, S.; Dhami, S.P.S.; O’Sullivan, J.M. Von Willebrand factor and cancer; metastasis and coagulopathies. J. Thromb. Haemost. 2020, 18, 2444–2456. [Google Scholar] [CrossRef]
- Sokolov, A.V.; Acquasaliente, L.; Kostevich, V.A.; Frasson, R.; Zakharova, E.T.; Pontarollo, G.; Vasilyev, V.B.; De Filippis, V. Thrombin inhibits the anti-myeloperoxidase and ferroxidase functions of ceruloplasmin: Relevance in rheumatoid arthritis. Free Radic. Biol. Med. 2015, 86, 279–294. [Google Scholar] [CrossRef] [PubMed]
- Levi, M.; de Jonge, E.; van der Poll, T.; ten Cate, H. Disseminated intravascular coagulation. Thromb. Haemost. 1999, 82, 695–705. [Google Scholar] [CrossRef] [PubMed]
- Iba, T.; Levy, J.H.; Levi, M.; Thachil, J. Coagulopathy in COVID-19. J. Thromb. Haemost. 2020, 18, 2103–2109. [Google Scholar] [CrossRef]
- Hirsh, J.; Eikelboom, J.W.; Chan, N.C. Fifty years of research on antithrombotic therapy: Achievements and disappointments. Eur. J. Intern. Med. 2019, 70, 1–7. [Google Scholar] [CrossRef]
- Wardrop, D.; Keeling, D. The story of the discovery of heparin and warfarin. Br. J. Haematol. 2008, 141, 757–763. [Google Scholar] [CrossRef]
- Coppens, M.; Eikelboom, J.W.; Gustafsson, D.; Weitz, J.I.; Hirsh, J. Translational success stories: Development of direct thrombin inhibitors. Circ. Res. 2012, 111, 920–929. [Google Scholar] [CrossRef]
- Karcioglu, O.; Zengin, S.; Ozkaya, B.; Ersan, E.; Yilmaz, S.; Afacan, G.; Abuska, D.; Hosseinzadeh, M.; Yeniocak, S. Direct (New) Oral Anticoagulants (DOACs): Drawbacks, Bleeding and Reversal. Cardiovasc. Hematol. Agents Med. Chem. 2022, 20, 103–113. [Google Scholar] [CrossRef]
- Yu, H.; Kumar, S.; Frederiksen, J.W.; Kolyadko, V.N.; Pitoc, G.; Layzer, J.; Yan, A.; Rempel, R.; Francis, S.; Krishnaswamy, S.; et al. Aptameric hirudins as selective and reversible EXosite-ACTive site (EXACT) inhibitors. Nat. Commun. 2024, 15, 3977. [Google Scholar] [CrossRef]
- Agten, S.M.; Watson, E.E.; Ripoll-Rozada, J.; Dowman, L.J.; Wu, M.C.L.; Alwis, I.; Jackson, S.P.; Pereira, P.J.B.; Payne, R.J. Potent Trivalent Inhibitors of Thrombin through Hybridization of Salivary Sulfopeptides from Hematophagous Arthropods. Angew. Chem. Int. Ed. Engl. 2021, 60, 5348–5356. [Google Scholar] [CrossRef]
- Tombling, B.J.; Lammi, C.; Lawrence, N.; Gilding, E.K.; Grazioso, G.; Craik, D.J.; Wang, C.K. Bioactive Cyclization Optimizes the Affinity of a Proprotein Convertase Subtilisin/Kexin Type 9 (PCSK9) Peptide Inhibitor. J. Med. Chem. 2021, 64, 2523–2533. [Google Scholar] [CrossRef]
- Jin, A.H.; Muttenthaler, M.; Dutertre, S.; Himaya, S.W.A.; Kaas, Q.; Craik, D.J.; Lewis, R.J.; Alewood, P.F. Conotoxins: Chemistry and Biology. Chem. Rev. 2019, 119, 11510–11549. [Google Scholar] [CrossRef]
- Bode, W.; Huber, R. Natural protein proteinase inhibitors and their interaction with proteinases. Eur. J. Biochem. 1992, 204, 433–451. [Google Scholar] [CrossRef]
- Berndt, K.D.; Güntert, P.; Orbons, L.P.; Wüthrich, K. Determination of a high-quality nuclear magnetic resonance solution structure of the bovine pancreatic trypsin inhibitor and comparison with three crystal structures. J. Mol. Biol. 1992, 227, 757–775. [Google Scholar] [CrossRef] [PubMed]
- Fontana, A.; De Filippis, V.; de Laureto, P.P.; Scaramella, E.; Zambonin, M.; Ballesteros, A.; Plou, F.J.; Iborra, J.L.; Halling, P.J. Rigidity of Thermophilic Enzymes. In Progress in Biotechnology; Elsevier: Amsterdam, The Netherlands, 1998; Volume 15, pp. 277–294. [Google Scholar]
- Jackson, S.E. Ubiquitin: A small protein folding paradigm. Org. Biomol. Chem. 2006, 4, 1845–1853. [Google Scholar] [CrossRef] [PubMed]
- Wang, C.; Xi, J.; Begley, T.P.; Nicholson, L.K. Solution structure of ThiS and implications for the evolutionary roots of ubiquitin. Nat. Struct. Biol. 2001, 8, 47–51. [Google Scholar] [CrossRef]







| TAP Analogues | KI (pM) b | r c | vdW Volume (Å3) d | Log P e | μ (Deybe) f | pKa g |
|---|---|---|---|---|---|---|
| Tyr1 (wild-type) | 186 ± 5 | 1.00 | 138 | 1.97 | −1.57 | 10.5 |
| Tyr1p-amino-Phe | 210 ± 7 | 0.89 | 109 | 1.39 | −1.84 | 4.63 |
| Tyr1p-aminomethyl-Phe | 165 ± 4 | 1.13 | 165 | −0.80 | −0.39 | 9.34 |
| Tyr1p-guanido-Phe | 343 ± 8 | 0.54 | 180 | 0.17 | - | 10.88 |
| Tyr1pyridyl-Ala | 352 ± 12 | 0.53 | 122 | 1.74 | −2.26 | 5.25 |
| Tyr1β-naphthyl-Ala | 71 ± 3 | 2.62 | 180 | 4.00 | 0.30 | - |
| Arg3 (wild-type) | 186 ± 5 | 1.00 | 148 | −0.06 | - | 12.0 |
| Arg3p-aminomethyl-Phe | 2.4·104 ± 5·102 | 0.008 | 165 | −0.80 | 11.11 | 9.34 |
| Arg3p-guanido-Phe | 1.5·104 ± 3·102 | 0.012 | 180 | 0.17 | - | 10.88 |
| Arg Arg3pyridyl-Ala | 290 ± 7 | 0.64 | 122 | 1.74 | −2.26 | 5.25 |
Disclaimer/Publisher’s Note: The statements, opinions and data contained in all publications are solely those of the individual author(s) and contributor(s) and not of MDPI and/or the editor(s). MDPI and/or the editor(s) disclaim responsibility for any injury to people or property resulting from any ideas, methods, instructions or products referred to in the content. |
© 2024 by the authors. Licensee MDPI, Basel, Switzerland. This article is an open access article distributed under the terms and conditions of the Creative Commons Attribution (CC BY) license (https://creativecommons.org/licenses/by/4.0/).
Share and Cite
De Filippis, V.; Acquasaliente, L.; Pierangelini, A.; Marin, O. Chemical Synthesis and Structure–Activity Relationship Studies of the Coagulation Factor Xa Inhibitor Tick Anticoagulant Peptide from the Hematophagous Parasite Ornithodoros moubata. Biomimetics 2024, 9, 485. https://doi.org/10.3390/biomimetics9080485
De Filippis V, Acquasaliente L, Pierangelini A, Marin O. Chemical Synthesis and Structure–Activity Relationship Studies of the Coagulation Factor Xa Inhibitor Tick Anticoagulant Peptide from the Hematophagous Parasite Ornithodoros moubata. Biomimetics. 2024; 9(8):485. https://doi.org/10.3390/biomimetics9080485
Chicago/Turabian StyleDe Filippis, Vincenzo, Laura Acquasaliente, Andrea Pierangelini, and Oriano Marin. 2024. "Chemical Synthesis and Structure–Activity Relationship Studies of the Coagulation Factor Xa Inhibitor Tick Anticoagulant Peptide from the Hematophagous Parasite Ornithodoros moubata" Biomimetics 9, no. 8: 485. https://doi.org/10.3390/biomimetics9080485
APA StyleDe Filippis, V., Acquasaliente, L., Pierangelini, A., & Marin, O. (2024). Chemical Synthesis and Structure–Activity Relationship Studies of the Coagulation Factor Xa Inhibitor Tick Anticoagulant Peptide from the Hematophagous Parasite Ornithodoros moubata. Biomimetics, 9(8), 485. https://doi.org/10.3390/biomimetics9080485

