Automated Measurement of Effective Radiation Dose by 18F-Fluorodeoxyglucose Positron Emission Tomography/Computed Tomography
Abstract
1. Introduction
2. Materials and Method
2.1. FDG PET/CT Protocol
2.2. Collection and Preprocessing of PET/CT Data
2.3. Effective Dose Calculation
2.4. Automated Effective Dose Calculation Program
2.5. Verification of the Automated ED Calculation Program
2.6. External Validation of the Automated ED Calculation Program
2.7. Statistical Analysis
3. Results
3.1. Comparison of PET/CT EDs: Automated Program vs. Conventional Methods
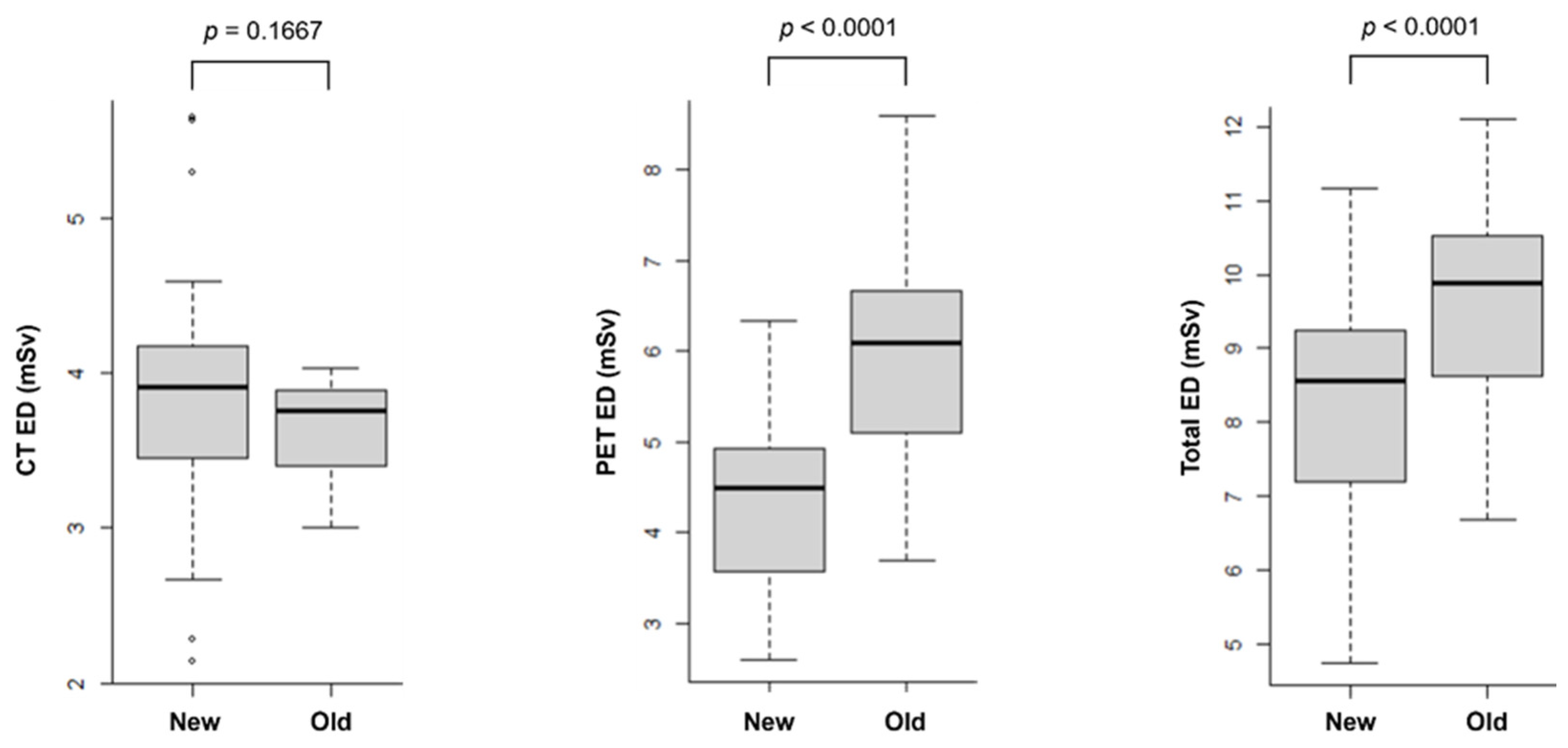
3.2. Comparison of PET/CT EDs: Older Scanner vs. Newer Scanner
3.3. External Validation of the Automated ED Calculation Program
4. Discussion
5. Conclusions
Supplementary Materials
Author Contributions
Funding
Institutional Review Board Statement
Informed Consent Statement
Data Availability Statement
Conflicts of Interest
References
- UNEP. Radiation Effects and Sources. In What Is Radiation? What Does Radiation Do to Us? Where Does Radiation Come from? UNED, ed.; UNSCEAR: Vienna, Austria, 2016; pp. 1–10, 13–17, 27–37. [Google Scholar]
- Richardson, D.B.; Leuraud, K.; Laurier, D.; Gillies, M.; Haylock, R.; Kelly-Reif, K.; Bertke, S.; Daniels, R.D.; Thierry-Chef, I.; Moissonnier, M.; et al. Cancer mortality after low dose exposure to ionising radiation in workers in France, the United Kingdom, and the United States (INWORKS): Cohort study. BMJ 2023, 382, e074520. [Google Scholar] [CrossRef] [PubMed]
- Martin, C.J.; Barnard, M. How much should we be concerned about cumulative effective doses in medical imaging? J. Radiol. Prot. 2022, 42, 011514. [Google Scholar] [CrossRef] [PubMed]
- Lim, H.; Choi, J.; Kim, J.H.; Cheong, H.K.; Ha, M. Estimation of Cancer Incidence and Mortality Risks Attributed to Diagnostic Medical Radiation Exposure in Korea, 2013. J. Korean Med. Sci. 2018, 33, e211. [Google Scholar] [CrossRef] [PubMed]
- Hustinx, R.; Benard, F.; Alavi, A. Whole-body FDG-PET imaging in the management of patients with cancer. Semin. Nucl. Med. 2002, 32, 35–46. [Google Scholar] [CrossRef]
- Kojima, S.; Zhou, B.; Teramukai, S.; Hara, A.; Kosaka, N.; Matsuo, Y.; Suzuki, H.; Torigoe, S.; Suzuki, T.; Uno, K.; et al. Cancer screening of healthy volunteers using whole-body 18F-FDG-PET scans: The Nishidai clinic study. Eur. J. Cancer 2007, 43, 1842–1848. [Google Scholar] [CrossRef]
- Hosono, M.; Takenaka, M.; Monzen, H.; Tamura, M.; Kudo, M.; Nishimura, Y. Cumulative radiation doses from recurrent PET-CT examinations. Br. J. Radiol. 2021, 94, 20210388. [Google Scholar] [CrossRef]
- Kwon, H.W.; Kim, J.P.; Lee, H.J.; Paeng, J.C.; Lee, J.S.; Cheon, G.J.; Lee, D.S.; Chung, J.K.; Kang, K.W. Radiation Dose from Whole-Body F-18 Fluorodeoxyglucose Positron Emission Tomography/Computed Tomography: Nationwide Survey in Korea. J. Korean Med. Sci. 2016, 31 (Suppl. S1), S69–S74. [Google Scholar] [CrossRef]
- Huang, B.; Law, M.W.; Khong, P.L. Whole-body PET/CT scanning: Estimation of radiation dose and cancer risk. Radiology 2009, 251, 166–174. [Google Scholar] [CrossRef]
- Elojeimy, S.; Tipnis, S.; Huda, W. Relationship between radiographic techniques (kilovolt and milliampere-second) and CTDI(VOL). Radiat. Prot. Dosim. 2010, 141, 43–49. [Google Scholar] [CrossRef]
- Son, H.K.; Lee, S.H.; Nam, S.; Kim, H.J. Radiation dose during CT scan with PET/CT clinical protocols. In Proceedings of the 2006 IEEE Nuclear Science Symposium Conference Record, San Diego, CA, USA, 29 October–1 November 2006; pp. 2210–2214. [Google Scholar]
- Adeleye, B.; Chetty, N. Radiation dose from 18F-FDG PET/CT procedures: Influence of specific CT model and protocols. Radioprotection 2018, 53, 107–113. [Google Scholar] [CrossRef]
- Lee, C. A review of organ dose calculation tools for patients undergoing compuated tomography scans. J. Radiat. Prot. Res. 2021, 46, 151–159. [Google Scholar] [CrossRef]
- De Mattia, C.; Campanaro, F.; Rottoli, F.; Colombo, P.E.; Pola, A.; Vanzulli, A.; Torresin, A. Patient organ and effective dose estimation in CT: Comparison of four software applications. Eur. Radiol. Exp. 2020, 4, 14. [Google Scholar] [CrossRef] [PubMed]
- Inoue, Y.; Nagahara, K.; Inoki, Y.; Hara, T.; Miyatake, H. Clinical evaluation of CT radiation dose in whole-body 18F-FDG PET/CT in relation to scout imaging direction and arm position. Ann. Nucl. Med. 2019, 33, 169–176. [Google Scholar] [CrossRef] [PubMed]
- Inoue, Y.; Nagahara, K.; Tanaka, Y.; Miyatake, H.; Hata, H.; Hara, T. Methods of CT Dose Estimation in Whole-Body 18F-FDG PET/CT. J. Nucl. Med. 2015, 56, 695–700. [Google Scholar] [CrossRef]
- Quinn, B.; Dauer, Z.; Pandit-Taskar, N.; Schoder, H.; Dauer, L.T. Radiation dosimetry of 18F-FDG PET/CT: Incorporating exam-specific parameters in dose estimates. BMC Med. Imaging 2016, 16, 41. [Google Scholar] [CrossRef]
- Quinn, B.M.; Gao, Y.; Mahmood, U.; Pandit-Taskar, N.; Behr, G.; Zanzonico, P.; Dauer, L.T. Patient-adapted organ absorbed dose and effective dose estimates in pediatric 18F-FDG positron emission tomography/computed tomography studies. BMC Med. Imaging 2020, 20, 9. [Google Scholar] [CrossRef]
- Ribeiro, A.S.F.; Husson, O.; Drey, N.; Murray, I.; May, K.; Thurston, J.; Oyen, W.J.G. Radiation exposure awareness from patients undergoing nuclear medicine diagnostic 99mTc-MDP bone scans and 2-deoxy-2-(18F) fluoro-D-glucose PET/computed tomography scans. Nucl. Med. Commun. 2020, 41, 582–588. [Google Scholar] [CrossRef]
- Ukkola, L.; Oikarinen, H.; Henner, A.; Haapea, M.; Tervonen, O. Patient information regarding medical radiation exposure is inadequate: Patients’ experience in a university hospital. Radiography 2017, 23, e114–e119. [Google Scholar] [CrossRef]
- Wasserthal, J.; Breit, H.C.; Meyer, M.T.; Pradella, M.; Hinck, D.; Sauter, A.W.; Heye, T.; Boll, D.T.; Cyriac, J.; Yang, S.; et al. TotalSegmentator: Robust Segmentation of 104 Anatomic Structures in CT Images. Radiol. Artif. Intell. 2023, 5, e230024. [Google Scholar] [CrossRef]
- Christner, J.A.; Kofler, J.M.; McCollough, C.H. Estimating effective dose for CT using dose-length product compared with using organ doses: Consequences of adopting International Commission on Radiological Protection publication 103 or dual-energy scanning. AJR Am. J. Roentgenol. 2010, 194, 881–889. [Google Scholar] [CrossRef]
- Valentin, J. Managing Patient Dose in Multi-Detector Computed Tomography(MDCT); ICRP Publication 102; The International Commission on Radiological Protection: Ottawa, ON, Canada, 2007; Volume 37, pp. 1–79. [Google Scholar] [CrossRef]
- Mattsson, S.; Johansson, L.; Leide Svegborn, S.; Liniecki, J.; Nosske, D.; Riklund, K.A.; Stabin, M.; Taylor, D.; Bolch, W.; Carlsson, S.; et al. Radiation Dose to Patients from Radiopharmaceuticals: A Compendium of Current Information Related to Frequently Used Substances. Ann. ICRP 2015, 44, 7–321. [Google Scholar] [CrossRef] [PubMed]
- Baldi, D.; Tramontano, L.; Alfano, V.; Punzo, B.; Cavaliere, C.; Salvatore, M. Whole Body Low Dose Computed Tomography Using Third-Generation Dual-Source Multidetector with Spectral Shaping: Protocol Optimization and Literature Review. Dose Response 2020, 18, 1559325820973131. [Google Scholar] [CrossRef] [PubMed]
- Sabri, A.S.A.; Wong, J.H.D. Estimation of effective dose for whole body 18F-FDG PET/CT examination. J. Phys. Conf. Ser. 2019, 1248, 012006. [Google Scholar] [CrossRef]
- Tonkopi, E.; Ross, A.A.; MacDonald, A. JOURNAL CLUB: CT dose optimization for whole-body PET/CT examinations. AJR Am. J. Roentgenol. 2013, 201, 257–263. [Google Scholar] [CrossRef]
- Jensen, A.; Kjelgaard-Hensen, M. Diagnostic test validation. In Schalm’s Veterinary Hematology; Wiley-Blackwell: Hoboken, NJ, USA, 2011. [Google Scholar]
- Ferrara, D.; Shiyam Sundar, L.K.; Chalampalakis, Z.; Geist, B.K.; Gompelmann, D.; Gutschmayer, S.; Hacker, M.; Kertész, H.; Kluge, K.; Idzko, M.; et al. Low-dose and standard-dose whole-body [18F]FDG-PET/CT imaging: Implications for healthy controls and lung cancer patients. Front. Phys. 2024, 12, 1378521. [Google Scholar] [CrossRef]
- Brix, G.; Lechel, U.; Glatting, G.; Ziegler, S.I.; Munzing, W.; Muller, S.P.; Beyer, T. Radiation exposure of patients undergoing whole-body dual-modality 18F-FDG PET/CT examinations. J. Nucl. Med. 2005, 46, 608–613. [Google Scholar]
- Alberts, I.; Sachpekidis, C.; Prenosil, G.; Viscione, M.; Bohn, K.P.; Mingels, C.; Shi, K.; Ashar-Oromieh, A.; Rominger, A. Digital PET/CT allows for shorter acquisition protocols or reduced radiopharmaceutical dose in [18F]-FDG PET/CT. Ann. Nucl. Med. 2021, 35, 485–492. [Google Scholar] [CrossRef]
- Gordic, S.; Alkadhi, H.; Hodel, S.; Simmen, H.P.; Brueesch, M.; Frauenfelder, T.; Wanner, G.; Sprengel, K. Whole-body CT-based imaging algorithm for multiple trauma patients: Radiation dose and time to diagnosis. Br. J. Radiol. 2015, 88, 20140616. [Google Scholar] [CrossRef]
- Newman, B.; Ganguly, A.; Kim, J.E.; Robinson, T. Comparison of different methods of calculating CT radiation effective dose in children. AJR Am. J. Roentgenol. 2012, 199, W232–W239. [Google Scholar] [CrossRef]
- Lee, C. How to estimate effective dose for CT patients. Eur. Radiol. 2020, 30, 1825–1827. [Google Scholar] [CrossRef]
- Abuzaid, M.M.; Tekin, H.O.; Elshami, W.; Almisned, G.; Ene, A.; Zakaly, H.M.H. Radiation dose assessment in multiple injured patients using whole-body computed tomography. J. Radiat. Res. Appl. Sci. 2022, 15, 100465. [Google Scholar] [CrossRef]
- Hemke, R.; Yang, K.; Husseini, J.; Bredella, M.A.; Simeone, F.J. Organ dose and total effective dose of whole-body CT in multiple myeloma patients. Skelet. Radiol. 2020, 49, 549–554. [Google Scholar] [CrossRef] [PubMed]
- Saeed, M.K. A comparison of the CT-dosimetry software packages based on stylized and boundary representation phantoms. Radiography 2020, 26, e214–e222. [Google Scholar] [CrossRef] [PubMed]
- Gao, Y.; Quinn, B.; Mahmood, U.; Long, D.; Erdi, Y.; St Germain, J.; Pandit-Taskar, N.; Xu, X.G.; Bolch, W.E.; Dauer, L.T. A comparison of pediatric and adult CT organ dose estimation methods. BMC Med. Imaging 2017, 17, 28. [Google Scholar] [CrossRef]
- Kopp, M.; Loewe, T.; Wuest, W.; Brand, M.; Wetzl, M.; Nitsch, W.; Schmidt, D.; Beck, M.; Schmidt, B.; Uder, M.; et al. Individual Calculation of Effective Dose and Risk of Malignancy Based on Monte Carlo Simulations after Whole Body Computed Tomography. Sci. Rep. 2020, 10, 9475. [Google Scholar] [CrossRef]





| Number of Patients (%) | Mean ± SD | ||
|---|---|---|---|
| Group 1 (n = 30) | |||
| Age (years) | 60 ± 11 | ||
| Sex | Male/female | 12:18 (40.0:60.0) | |
| Weight (kg) | 60.4 ± 12.5 | ||
| Type of Cancers | Lung | 8 (26.7) | |
| Endometrial | 7 (23.3) | ||
| Esophageal | 3 (10.0) | ||
| Ovary | 3 (10.0) | ||
| Renal cell | 2 (6.7) | ||
| Breast | 1 (3.3) | ||
| Cervix | 1 (3.3) | ||
| Colon | 1 (3.3) | ||
| Lymphoma | 1 (3.3) | ||
| Nasal | 1 (3.3) | ||
| Rectal | 1 (3.3) | ||
| Vocal cord | 1 (3.3) | ||
| Group 2 (n = 42) | |||
| Age (years) | 60 ± 12 | ||
| Sex | Male/female | 24:18 (57.1:42.9) | |
| Weight (kg) | 59.4 ± 11.3 | ||
| Type of Cancers | Lymphoma | 7 (16.7) | |
| Lung | 6 (14.3) | ||
| Stomach | 5 (11.9) | ||
| Breast | 4 (9.5) | ||
| Rectal | 3 (7.1) | ||
| Renal cell | 3 (7.1) | ||
| Cervix | 2 (4.8) | ||
| Colon | 2 (4.8) | ||
| Pancreatic | 2 (4.8) | ||
| Prostate | 2 (4.8) | ||
| AoV | 1 (2.4) | ||
| Esophageal | 1 (2.4) | ||
| GB | 1 (2.4) | ||
| Head and Neck | 1 (2.4) | ||
| Klatskin | 1 (2.4) | ||
| Ovary | 1 (2.4) |
| Patient | PET ED | Automated Program | Physician | CT-Expo | WB CF (0.0082 *) | WB CF (0.015 *) | |||||
|---|---|---|---|---|---|---|---|---|---|---|---|
| CT | Total | CT | Total | CT | Total | CT | Total | CT | Total | ||
| 1 | 6.52 | 4.46 | 10.98 | 4.42 | 10.94 | 5.80 | 12.32 | 3.08 | 9.60 | 5.63 | 12.15 |
| 2 | 5.76 | 4.06 | 9.82 | 4.01 | 9.77 | 5.30 | 11.06 | 2.84 | 8.60 | 5.19 | 10.95 |
| 3 | 5.96 | 4.55 | 10.51 | 4.52 | 10.48 | 5.90 | 11.86 | 3.12 | 9.08 | 5.72 | 11.68 |
| 4 | 5.38 | 4.12 | 9.50 | 4.06 | 9.44 | 5.30 | 10.68 | 2.81 | 8.19 | 5.14 | 10.52 |
| 5 | 5.14 | 3.89 | 9.03 | 3.85 | 8.99 | 5.10 | 10.24 | 2.68 | 7.82 | 4.91 | 10.05 |
| 6 | 5.15 | 4.25 | 9.40 | 4.19 | 9.34 | 5.60 | 10.75 | 2.94 | 8.09 | 5.38 | 10.53 |
| 7 | 4.93 | 4.50 | 9.43 | 4.31 | 9.24 | 5.60 | 10.53 | 2.99 | 7.92 | 5.47 | 10.40 |
| 8 | 4.69 | 4.31 | 9.00 | 4.25 | 8.94 | 5.60 | 10.29 | 2.95 | 7.64 | 5.39 | 10.08 |
| 9 | 4.46 | 3.82 | 8.28 | 3.79 | 8.25 | 4.90 | 9.36 | 2.59 | 7.05 | 4.74 | 9.20 |
| 10 | 4.64 | 4.25 | 8.89 | 4.20 | 8.84 | 5.60 | 10.24 | 2.96 | 7.60 | 5.41 | 10.05 |
| 11 | 4.57 | 3.78 | 8.35 | 3.74 | 8.31 | 4.90 | 9.47 | 2.59 | 7.16 | 4.73 | 9.30 |
| 12 | 4.77 | 4.08 | 8.85 | 4.03 | 8.80 | 5.40 | 10.17 | 2.85 | 7.62 | 5.22 | 9.99 |
| 13 | 4.58 | 3.92 | 8.50 | 3.88 | 8.46 | 5.10 | 9.68 | 2.69 | 7.27 | 4.92 | 9.50 |
| 14 | 4.68 | 3.86 | 8.54 | 3.82 | 8.50 | 5.00 | 9.68 | 2.68 | 7.36 | 4.90 | 9.58 |
| 15 | 4.16 | 3.74 | 7.90 | 3.68 | 7.84 | 4.80 | 8.96 | 2.57 | 6.73 | 4.70 | 8.86 |
| 16 | 4.37 | 3.85 | 8.22 | 3.80 | 8.17 | 4.90 | 9.27 | 2.62 | 6.99 | 4.79 | 9.16 |
| 17 | 4.23 | 3.40 | 7.63 | 3.34 | 7.57 | 4.50 | 8.73 | 2.39 | 6.62 | 4.37 | 8.60 |
| 18 | 4.23 | 3.46 | 7.69 | 3.40 | 7.63 | 4.50 | 8.73 | 2.40 | 6.63 | 4.40 | 8.63 |
| 19 | 3.49 | 4.01 | 7.50 | 3.95 | 7.44 | 5.10 | 8.59 | 2.73 | 6.22 | 4.99 | 8.48 |
| 20 | 4.11 | 3.65 | 7.76 | 3.62 | 7.73 | 4.70 | 8.81 | 2.50 | 6.61 | 4.58 | 8.69 |
| 21 | 3.67 | 3.53 | 7.20 | 3.48 | 7.15 | 4.60 | 8.27 | 2.44 | 6.11 | 4.47 | 8.14 |
| 22 | 4.01 | 3.76 | 7.77 | 3.73 | 7.74 | 4.90 | 8.91 | 2.59 | 6.60 | 4.73 | 8.74 |
| 23 | 4.23 | 3.36 | 7.59 | 3.31 | 7.54 | 4.50 | 8.73 | 2.38 | 6.61 | 4.35 | 8.58 |
| 24 | 3.67 | 3.14 | 6.81 | 3.12 | 6.79 | 4.10 | 7.77 | 2.17 | 5.84 | 3.97 | 7.64 |
| 25 | 3.76 | 3.00 | 6.76 | 2.97 | 6.73 | 3.90 | 7.66 | 2.08 | 5.84 | 3.80 | 7.56 |
| 26 | 3.63 | 2.65 | 6.28 | 2.62 | 6.25 | 3.50 | 7.13 | 1.84 | 5.47 | 3.37 | 7.00 |
| 27 | 4.8 | 2.96 | 7.76 | 2.92 | 7.72 | 3.80 | 8.60 | 2.03 | 6.83 | 3.71 | 8.51 |
| 28 | 3.62 | 2.92 | 6.54 | 2.88 | 6.50 | 3.80 | 7.42 | 2.00 | 5.62 | 3.66 | 7.28 |
| 29 | 3.62 | 2.91 | 6.53 | 2.87 | 6.49 | 3.80 | 7.42 | 2.02 | 5.64 | 3.70 | 7.32 |
| 30 | 2.07 | 1.91 | 3.98 | 1.89 | 3.96 | 2.90 | 4.97 | 1.35 | 3.42 | 2.47 | 4.54 |
Disclaimer/Publisher’s Note: The statements, opinions and data contained in all publications are solely those of the individual author(s) and contributor(s) and not of MDPI and/or the editor(s). MDPI and/or the editor(s) disclaim responsibility for any injury to people or property resulting from any ideas, methods, instructions or products referred to in the content. |
© 2024 by the authors. Licensee MDPI, Basel, Switzerland. This article is an open access article distributed under the terms and conditions of the Creative Commons Attribution (CC BY) license (https://creativecommons.org/licenses/by/4.0/).
Share and Cite
Eom, Y.; Park, Y.-J.; Lee, S.; Lee, S.-J.; An, Y.-S.; Park, B.-N.; Yoon, J.-K. Automated Measurement of Effective Radiation Dose by 18F-Fluorodeoxyglucose Positron Emission Tomography/Computed Tomography. Tomography 2024, 10, 2144-2157. https://doi.org/10.3390/tomography10120151
Eom Y, Park Y-J, Lee S, Lee S-J, An Y-S, Park B-N, Yoon J-K. Automated Measurement of Effective Radiation Dose by 18F-Fluorodeoxyglucose Positron Emission Tomography/Computed Tomography. Tomography. 2024; 10(12):2144-2157. https://doi.org/10.3390/tomography10120151
Chicago/Turabian StyleEom, Yujin, Yong-Jin Park, Sumin Lee, Su-Jin Lee, Young-Sil An, Bok-Nam Park, and Joon-Kee Yoon. 2024. "Automated Measurement of Effective Radiation Dose by 18F-Fluorodeoxyglucose Positron Emission Tomography/Computed Tomography" Tomography 10, no. 12: 2144-2157. https://doi.org/10.3390/tomography10120151
APA StyleEom, Y., Park, Y.-J., Lee, S., Lee, S.-J., An, Y.-S., Park, B.-N., & Yoon, J.-K. (2024). Automated Measurement of Effective Radiation Dose by 18F-Fluorodeoxyglucose Positron Emission Tomography/Computed Tomography. Tomography, 10(12), 2144-2157. https://doi.org/10.3390/tomography10120151

