Light Intensity and Photoperiod Interaction Affects the Survival, Development, Molting and Apoptosis-Related Genes of Swimming Crab Portunus trituberculatus Larvae
Abstract
1. Introduction
2. Material and Method
2.1. Experimental Design and Management
2.2. Gene Expression Analysis
2.3. Calculations
2.4. Statistical Analysis
3. Results
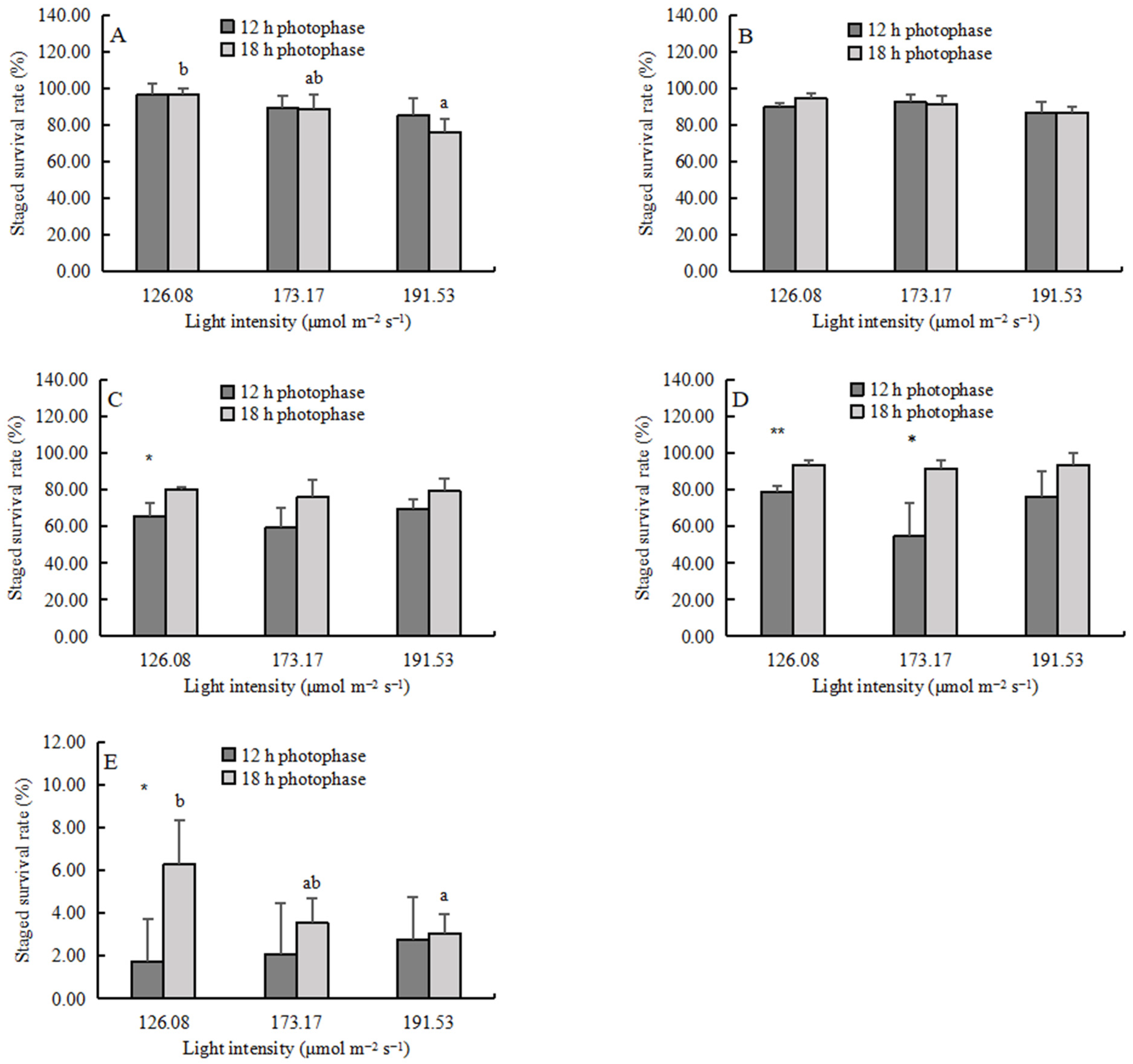
3.1. The Staged Survival Rate
3.2. The Cumulative Survival Rate
3.3. The Cumulative Development Duration
3.4. The Molting and Apoptosis-Related Gene Expression
4. Discussion
5. Conclusions
Author Contributions
Funding
Institutional Review Board Statement
Conflicts of Interest
References
- Dai, A.Y.; Yang, S.L.; Song, Y.Z. Marine Crabs in China Sea; Marine Publishing Company: Beijing, China, 1986. [Google Scholar]
- Lu, J.K.; Li, R.H.; Bekaert, M.; Migaud, H.; Liu, X.; Chen, Q.W.; Zhang, W.R.; Mu, C.K.; Song, W.W.; Wang, C.L. Development and validation of SNP genotyping assays to identify genetic sex in the swimming crab Portunus trituberculatus. Aquac. Rep. 2021, 20, 100731. [Google Scholar] [CrossRef]
- Fisheries Bureau of Agriculture Ministry of China. China Fishery Statistical Yearbook; China Agriculture Press: Beijing, China, 2021; pp. 22–38. [Google Scholar]
- Wang, J.C.; Peng, K.W.; Lu, H.D.; Li, R.H.; Song, W.W.; Liu, L.; Wang, H.; Wang, C.L.; Shi, C. The effect of tank colour on growth performance, stress response and carapace colour of juvenile swimming crab Portunus trituberculatus. Aquac. Res. 2019, 50, 2735–2742. [Google Scholar] [CrossRef]
- Shi, C.; Wang, J.C.; Peng, K.W.; Mu, C.K.; Ye, Y.F.; Wang, C.L. The effect of tank colour on background preference, survival and development of larval swimming crab Portunus trituberculatus. Aquaculture 2019, 504, 454–461. [Google Scholar] [CrossRef]
- Dou, J.; Zhang, G.L.; Shi, C.; Song, C.B.; Mu, C.K.; Ye, Y.F.; Wang, C.L. High-intensity light of full-spectrum LED promotes survival rate but not development of the larval swimming crab Portunus trituberculatus. Aquac. Eng. 2021, 93, 102158. [Google Scholar] [CrossRef]
- Andrés, M.; Rotllant, G.; Zeng, C.S. Survival, development and growth of larvae of the blue swimmer crab, Portunus pelagicus, cultured under different photoperiod conditions. Aquaculture 2010, 300, 218–222. [Google Scholar] [CrossRef]
- Ravi, R.; Manisseri, M.K. The effect of different pH and photoperiod regimens on the survival rate and developmental period of the larvae of Portunus pelagicus (Decapoda, Brachyura, Portunidae). Iran. J. Fish. Sci. 2013, 12, 490–499. [Google Scholar]
- Hamasaki, K.; Ogiso, Y.; Dan, S.; Kitada, S. Survival, development and growth of larvae of the coconut crab, Birgus latro, cultured under different photoperiod conditions. Aquac. Res. 2016, 47, 2506–2517. [Google Scholar] [CrossRef]
- Castejón, D.; Rotllant, G.; Giménez, L.; Torres, G.; Guerao, G. Influence of temperature and light regime on the larval development of the common spider crab Maja brachydactyla Balss, 1922 (Brachyura: Majidae). Aquac. Res. 2018, 49, 3548–3558. [Google Scholar] [CrossRef]
- Ichikawa, T.; Hamasaki, K.; Murakami, K. Larval survival, development and growth in the horsehair crab, Erimacrus isenbeckii, cultured under different photoperiod conditions. Aquac. Res. 2018, 49, 2511–2517. [Google Scholar] [CrossRef]
- Chen, S.J.; Migaud, H.; Shi, C.; Song, C.B.; Wang, C.L.; Ye, Y.F.; Ren, Z.M.; Wang, H.; Mu, C.K. Light intensity impacts on growth, molting and oxidative stress of juvenile mud crab Scylla paramamosain. Aquaculture 2021, 545, 737159. [Google Scholar] [CrossRef]
- Li, N.; Zhou, J.; Wang, H.; Wang, C.; Mu, C.; Shi, C.; Liu, L. Effects of light intensity on growth performance, biochemical composition, fatty acid composition and energy metabolism of Scylla paramamosain during indoor overwintering. Aquac. Rep. 2020, 18, 100443. [Google Scholar] [CrossRef]
- Li, N.; Zhou, J.; Wang, H.; Wang, C.; Mu, C.; Shi, C.; Liu, L. Effect of light intensity on digestion and immune responses, plasma cortisol and amino acid composition of Scylla paramamosain during indoor overwintering. Aquac. Res. 2020, 51, 5005–5014. [Google Scholar] [CrossRef]
- Minagawa, M. Effects of photoperiod on survival, feeding and development of larvae of the red frog crab. Ranina ranina. Aquaculture 1994, 120, 105–114. [Google Scholar] [CrossRef]
- Gardner, C.; Maguire, G.B. Effect of photoperiod and light intensity on survival, development and cannibalism of larvae of the Australian giant crab Pseudocarcinus gigas (Lamarck). Aquaculture 1998, 165, 51–63. [Google Scholar] [CrossRef]
- Livak, K.J.; Schmittgen, T.D. Analysis of relative gene expression data using real-time quantitative PCR and the 2−△△CT method. Methods 2001, 25, 402–408. [Google Scholar] [CrossRef]
- Bermudes, M.; Ritar, A.J. Response of early stage spiny lobster Jasus edwardsii phyllosoma larvae to changes in temperature and photoperiod. Aquaculture 2008, 281, 63–69. [Google Scholar] [CrossRef]
- McConaugha, J.R.; Tester, P.A.; McConaugha, C.S. Feeding and growth in meroplanktonic larvae of Callinectes sapidus (Crustacea: Portunidae). In Memoirs of the Queensland Museum, Proceedings of the 1990 International Crustacean Conference, Brisbane, Australia, 2–7 July 1990; Davie, P., Quinn, R.H., Eds.; Queensland Museum: Brisbane, Australia; p. 320.
- Gardner, C.; Northam, M. Use of prophylactic chemical treatments for mycosis of giant crab Pseudocarcinus gigas larvae in intensive culture. Aquaculture 1997, 158, 203–214. [Google Scholar] [CrossRef]
- Fitzgibbon, Q.P.; Battaglene, S.C. Effect of photoperiod on the culture of early-stage phyllosoma and metamorphosis of spiny lobster (Sagmariasus verreauxi). Aquaculture 2012, 368–369, 48–54. [Google Scholar] [CrossRef]
- Chang, E.S.; Mykles, D.L. Regulation of crustacean molting: A review and our perspectives. Gen. General. Comp. Endocrinol. 2011, 172, 323–330. [Google Scholar] [CrossRef]
- Mykles, D.L. Ecdysteroid metabolism in crustaceans. J. Steroid Biochem. Mol. Biol. 2011, 127, 196–203. [Google Scholar] [CrossRef] [PubMed]
- Xie, X.; Zhou, Y.Q.; Liu, M.X.; Tao, T.; Jiang, Q.H.; Zhu, D.F. The nuclear receptor E75 from the swimming crab, Portunus trituberculatus: cDNA cloning, transcriptional analysis, and putative roles on expression of ecdysteroid-related genes. Comp. Biochem. Physiol. Part B 2016, 200, 69–77. [Google Scholar] [CrossRef] [PubMed]
- Song, Y.; Villeneuve, D.L.; Toyota, K.; Lguchi, T.; Tollefsen, K.E. Ecdysone receptor agonism leading to lethal molting disruption in arthropods: Review and adverse outcome pathway development. Environ. Sci. Technol. 2017, 51, 4142–4157. [Google Scholar] [CrossRef]
- Watson, R.D.; Spaziani, E. Effects of eyestalk removal on cholesterol uptake and ecdysone secretion by crab (Cancer antennarius) Y-organs in vitro. Gen. General. Comp. Endocrinol. 1985, 57, 360–370. [Google Scholar] [CrossRef] [PubMed]
- Kim, H.W.; Batista, L.A.; Hoppes, J.L.; Lee, K.J.; Mykles, D.L. A crustacean nitric oxide synthase expressed in nerve ganglia, Y-organ, gill and gonad of the tropical land crab, Gecarcinus lateralis. J. Exp. Biol. 2004, 207, 2845–2857. [Google Scholar] [CrossRef] [PubMed]
- Covi, J.A.; Chang, E.S.; Mykles, D.L. Neuropeptide signaling mechanisms in crustacean and insect molting glands. Invertebr. Reprod. Dev. 2012, 56, 33–49. [Google Scholar] [CrossRef]
- Wang, F.; Dong, S.L.; Dong, S.S.; Huang, G.Q.; Zhu, C.B.; Mu, Y.C. The effect of light intensity on the growth of Chinese shrimp Fenneropenaeus chinensis. Aquaculture 2004, 234, 475–483. [Google Scholar] [CrossRef]
- Yu, K.; Shi, C.; Ye, Y.; Li, R.; Mu, C.; Ren, Z.; Wang, C. The effects of overwintering temperature on the survival of female adult mud crab, Scylla paramamosain, under recirculating aquaculture systems as examined by histological analysis of the hepatopancreas and expression of apoptosis-related genes. Aquaculture 2023, 565, 739080. [Google Scholar] [CrossRef]
- Liu, J.; Lin, A.N. Role of JNK activation in apoptosis: A double-edged sword. Cell. Res. 2005, 15, 36–42. [Google Scholar] [CrossRef]
- Dhanasekaran, D.N.; Reddy, E.P. JNK signaling in apoptosis. Oncogene 2008, 27, 6245–6251. [Google Scholar] [CrossRef]
- Xu, H.; Dou, J.; Wu, Q.; Ye, Y.; Song, C.; Mu, C.; Wang, C.; Ren, Z.; Shi, C. Investigation of the light intensity effect on growth, molting, hemolymph lipid, and antioxidant capacity of juvenile swimming crab Portunus trituberculatus. Front. Mar. Sci. 2022, 9, 851. [Google Scholar] [CrossRef]
- Shi, Y.; Nikulenkov, F.; Zawacka-Pankau, J.; Li, H.; Gabdoulline, R.; Xu, J.; Eriksson, S.; Hedström, E.; Issaeva, N.; Kel, A.; et al. ROS-dependent activation of JNK converts p53 into an efficient inhibitor of oncogenes leading to robust apoptosis. Cell. Death Differ. 2014, 21, 612–623. [Google Scholar] [CrossRef] [PubMed]
- Fridman, J.S.; Lowe, S.W. Control of apoptosis by p53. Oncogene 2003, 22, 9030–9040. [Google Scholar] [CrossRef] [PubMed]
- Polyak, K.; Xia, Y.; Zweier, J.L.; Kinaler, K.W.; Vogelstein, B. A model for p53-induced apoptosis. Nature 1997, 389, 300–305. [Google Scholar] [CrossRef] [PubMed]
- Cadet, J.L.; Harrington, B.; Ordonez, S. Bcl-2 overexpression attenuates dopamine-induced apoptosis in an immortalized neural cell line by suppressing the production of reactive oxygen species. Synapse 2000, 35, 228–233. [Google Scholar] [CrossRef]






| Light Intensity (μmol m−2 s−1) | |||
|---|---|---|---|
| Photoperiod | 126.08 (LI) | 173.17 (MI) | 191.53 (HI) |
| 12 h photophase (12) | 12-LI | 12-MI | 12-HI |
| 18 h photophase (18) | 18-LI | 18-MI | 18-HI |
| Gene | Sequence (5′ to 3′) | Size (bp) | Access Number |
|---|---|---|---|
| jnk | F:TAGACTTCGGACTTGCTCG | 195 | MK287992 |
| R:GGTCAATATGATCTGTGCC | |||
| p53 | F:GAAAGTCGCCATCGTGTA | 338 | MH155953 |
| R:CCAACAACAGTCCCAGAG | |||
| bcl-2 | F:TCCTCCATAGCGTCCCTTACCT | 251 | MH155954 |
| R:CCAGCAGGGATTTCTAAGGAC | |||
| ecr | F:TAAGTGATGACGACTCGGATGC | 150 | KC354381 |
| R:ACGAGCAAGCCTTTAGCAGTG | |||
| rxr | F:AGCGTCAGAGGACAAAAGGC | 136 | KF061043 |
| R:TGGTCCAGTGGCTGCTCAT | |||
| e75 | F:CGAGAGCCTAGTGATGTA | 118 | KM016226 |
| R:ATGAGTGATGAGCGAGTA | |||
| mih | F:TATCAAGTGCAGGAACTCAG | 110 | EU869539 |
| R:GGAACATACAAGCCTAAACA | |||
| β-actin | F:CGAAACCTTCAACACTCCCG | 154 | FJ641977 |
| R:GATAGCGTGAGGAAGGGCATA |
| Item | Life Stage | Light Intensity (F, P) | Photoperiod (F, P) | Light Intensity X Photoperiod (F, P) |
|---|---|---|---|---|
| Staged survival rate (SSR, %) | Zoea I | 5.517, 0.004 | 0.742, 0.400 | 0.387, 0.685 |
| Zoea II | 3.211, 0.064 | 0.443, 0.514 | 1.104, 0.353 | |
| Zoea III | 1.245, 0.311 | 16.185, 0.001 | 0.229, 0.798 | |
| Zoea IV | 2.382, 0.121 | 24.535, 0.000 | 1.241, 0.313 | |
| Megalopa | 0.222, 0.803 | 7.643, 0.013 | 1.238, 0.314 | |
| Cumulative survival rate (CSR, %) | Zoea I | 5.517, 0.014 | 0.742, 0.400 | 0.387, 0.685 |
| Zoea II | 11.898, 0.001 | 0.159, 0.695 | 1.323, 0.291 | |
| Zoea III | 10.652, 0.001 | 18.280, 0.000 | 3.830, 0.041 | |
| Zoea IV | 12.124, 0.000 | 62.521, 0.000 | 4.315, 0.029 | |
| Megalopa | 1.319, 0.292 | 19.050, 0.000 | 2.417, 0.117 | |
| Cumulative development duration (CDD, days) | Zoea I | 1.314, 0.277 | 0.214, 0.645 | 0.210, 0.811 |
| Zoea II | 0.060, 0.942 | 0.017, 0.895 | 0.163, 0.850 | |
| Zoea III | 3.213, 0.046 | 11.286, 0.001 | 18.179, 0.000 | |
| Zoea IV | 1.023, 0.364 | 1.186, 0.280 | 3.492, 0.035 | |
| Megalopa | 0.128, 0.880 | 4.413, 0.039 | 2.559, 0.084 | |
| Gene expression | ||||
| p53 | Juvenile crab | 2.203, 0.153 | 14.772, 0.002 | 05.106, 025 |
| jnk | 0.766, 0.486 | 30.646, 0.000 | 1.426, 0.278 | |
| bcl-2 | 3.510, 0.063 | 83.400, 0.000 | 2.000, 0.178 | |
| e75 | 1.293, 0.310 | 0.055, 0.819 | 1.454, 0.272 | |
| ecr | 0.410, 0.673 | 11.296, 0.006 | 0.086, 0.918 | |
| rxr | 1.744, 0.216 | 25.261, 0.000 | 2.615, 0.114 | |
| mih | 0.670, 0.530 | 0.648, 0.436 | 1.082, 0.370 |
Disclaimer/Publisher’s Note: The statements, opinions and data contained in all publications are solely those of the individual author(s) and contributor(s) and not of MDPI and/or the editor(s). MDPI and/or the editor(s) disclaim responsibility for any injury to people or property resulting from any ideas, methods, instructions or products referred to in the content. |
© 2023 by the authors. Licensee MDPI, Basel, Switzerland. This article is an open access article distributed under the terms and conditions of the Creative Commons Attribution (CC BY) license (https://creativecommons.org/licenses/by/4.0/).
Share and Cite
Zhao, Y.; Dou, J.; Xu, H.; Ma, Z.; Ye, Y.; Mu, C.; Song, W.; Ren, Z.; Wang, C.; Shi, C. Light Intensity and Photoperiod Interaction Affects the Survival, Development, Molting and Apoptosis-Related Genes of Swimming Crab Portunus trituberculatus Larvae. Fishes 2023, 8, 221. https://doi.org/10.3390/fishes8050221
Zhao Y, Dou J, Xu H, Ma Z, Ye Y, Mu C, Song W, Ren Z, Wang C, Shi C. Light Intensity and Photoperiod Interaction Affects the Survival, Development, Molting and Apoptosis-Related Genes of Swimming Crab Portunus trituberculatus Larvae. Fishes. 2023; 8(5):221. https://doi.org/10.3390/fishes8050221
Chicago/Turabian StyleZhao, Yun, Juan Dou, Hanying Xu, Zhen Ma, Yangfang Ye, Changkao Mu, Weiwei Song, Zhiming Ren, Chunlin Wang, and Ce Shi. 2023. "Light Intensity and Photoperiod Interaction Affects the Survival, Development, Molting and Apoptosis-Related Genes of Swimming Crab Portunus trituberculatus Larvae" Fishes 8, no. 5: 221. https://doi.org/10.3390/fishes8050221
APA StyleZhao, Y., Dou, J., Xu, H., Ma, Z., Ye, Y., Mu, C., Song, W., Ren, Z., Wang, C., & Shi, C. (2023). Light Intensity and Photoperiod Interaction Affects the Survival, Development, Molting and Apoptosis-Related Genes of Swimming Crab Portunus trituberculatus Larvae. Fishes, 8(5), 221. https://doi.org/10.3390/fishes8050221

