Abstract
Stable isotope ratios of nitrogen (δ15N) and carbon (δ13C) are ubiquitous ecological tracers used to elucidate an organism’s diet and habitat. However, the application of stable isotope ratios to reconstruct a consumer’s ecology relies upon accurate rates for isotopic turnover at both a tissue and species-specific level. This study estimated isotope turnover rates and trophic discrimination factors in four different tissues (liver, digestive tissue, muscle, and skin) with variable metabolic activity in winter flounder Pseudopleuronectes americanus using a controlled diet-switch experiment. Differences in half-lives were noted among the tissues and between the experimental diets for both δ15N and δ13C. The experimental diets of krill and mysis had variability in nutritional composition, resulting in similar turnovers in δ15N but slower turnovers in δ13C for fish fed krill. Turnovers in both δ15N and δ13C were strongly influenced by metabolism, with the contribution reaching up to 98%, as fish exhibited minimal overall growth. The results of this study demonstrate the importance of considering differences in the catabolic activity of tissue maintenance for fish exhibiting minimal growth, as well as differences in metabolic assimilation of dietary sources that vary in their protein and lipid contents.
Key Contribution:
Isotopic tissue turnover was a function of metabolic activity as opposed to growth.
1. Introduction
Understanding a consumer’s diet is critical to determining trophic interactions and habitat usage across aquatic ecosystems, and stable isotopes provide a useful method of exploring foraging locations and compositions. Naturally occurring stable isotopes of nitrogen (δ15N) and carbon (δ13C) are ubiquitous ecological tracers that have been effectively used to elucidate energy pathways related to an organism’s diet and habitat [1,2,3]. Stable isotope values of δ15N and δ13C vary across different regions owing to baseline variations in biogeochemical and oceanographic processes [2,4,5,6]. The unique location-based isotopic components of primary producers are assimilated by consumers in predictable ways, where δ15N values approximate the trophic level and δ13C values indicate the primary carbon sources, allowing inferences on the trophic ecology and foraging location to be made [6,7,8].
When applying stable isotope analysis in field studies, the temporal resolution and specific rates of isotopic fractionation between the diet and the consumer’s tissues are often uncertain [9,10]. It cannot be assumed that the tissue is in isotopic equilibrium with that of its prey, as many wild organisms diversify their dietary sources. When an organism’s diet changes over time, there is a delay in equilibration between the stable isotope ratios (SIRs) in a consumer’s tissues with those of its prey [5]. The time required to reach isotopic equilibrium varies among species and individual tissues [11,12]. Isotopic turnover is driven by catabolic and anabolic processes as a function of growth and metabolism. Thus, having empirically determined rates for isotopic turnover is critical to draw accurate conclusions in the field on both a species and tissue-specific level.
Tissue turnover rates can be lab-validated with controlled feeding experiments using isotopically distinct prey and exploring SIRs in consumer tissues across time. Once an organism is at equilibrium with their diet, switching to an isotopically distinct prey under controlled conditions can be used to estimate the rate at which the new prey has been incorporated into the consumer’s tissues. This is accomplished by sampling tissues at different time points following a diet switch [10,13,14,15]. The rate at which the turnover occurs depends on both the growth of the organism, which is a function of the mass and length gain and the addition of new tissue, and the metabolism, which replaces the pre-existing tissues with newly assimilated materials from the diet [14,15,16,17,18].
As benthic predators, flounder are critical for transferring energy from zoobenthos to larger predators [19]. Rates of isotopic change across life history stages have been explored for various species of flounder, including Paralichthys dentatus (summer flounder), Paralichthys olivaceus (Japanese flounder), and Pseudopleuronectes yokohamae (marbled flounder) [10,14,20,21,22]. Pseudopleuronectes americanus (winter flounder) is a species of economic importance in the Gulf of Maine, and the Saco River Estuary (SRE) is known to provide habitat for all life stages of winter flounder, including important nursery areas for juvenile fish [23,24,25,26,27]. Though previous work has characterized the ecology and movement of winter flounder in the SRE, the trophic interactions of these fish have yet to be investigated. The SRE represents an ecologically important habitat for many species, particularly as stock distributions are trending northward in response to climate change [28,29,30].
Establishing lab-validated rates of isotopic turnover in juvenile winter flounder will facilitate the application of stable isotope analysis to better understand SRE food webs. Through a controlled diet switch experiment, we explored fractionation values and determined turnover rates of multiple tissues, including the liver, digestive tract, muscle, and skin. We hypothesized that tissues with a higher metabolic activity would exhibit the shortest turnover times, such that the liver and digestive tissue would reach equilibrium with the new diets the quickest, followed by the muscle tissue, with the skin as the slowest to turn over. We also investigated the influence of growth and metabolism on the isotopic turnover in each tissue. Because this experiment took place over the winter, we expected the winter flounder to experience minimal growth. It was, therefore, hypothesized that any tissue turnover would be due to metabolic activity as opposed to the synthesis of new tissues. These lab-validated tissue turnover rates can be used to enhance models used in the field to explore trophic interactions specific to winter flounder in the SRE.
2. Materials and Methods
2.1. Diet Selection
A literature review was conducted to determine the preferred diets of flounder maintained in captivity [20,21,22,31,32]. These diets included Atlantic silverside (Menidia menidia), mysis shrimp (Mysida sp.), krill (Euphausiacea sp.), and sand lance (Ammodytes americanus). All the potential diets were commercially purchased and analyzed for stable isotope compositions to determine which diet would lead to sufficient variation in SIRs. Of the four diets analyzed, silverside, krill, and mysis shrimp were selected based on the largest absolute difference in isotopic signatures.
2.2. Experimental Design
Thirty-four juvenile winter flounder (P. americanus) were obtained from Biddeford Pool via bottom trawling from 10 October to 4 November 2021. The procedures followed the University of New England IACUC protocol #072121-018. The fish were transferred to the laboratory in aerated coolers filled with seawater. After the transfer, all the fish were measured for total length (cm) and wet weight or mass (g), using a fish board and a scale. Two winter flounders were then sacrificed to obtain baseline δ15N and δ13C values for wild winter flounders. The fish were placed in freezer storage at −20 °C until processing for stable isotope analysis. The remaining 32 individuals were split randomly between two tanks. The tank volume was 0.777 m3 for tank A and 0.443 m3 for tank B, and the water quality was maintained with flow-through seawater from the SRE. Two daily measurements of dissolved oxygen (DO), salinity, and temperature (°C) were recorded. Both groups were fed commercially obtained Atlantic silversides (Hikari Sales USA Inc., Hayward, CA, USA), containing 9.5% crude protein and 2.8% crude fat, at 5% of the total biomass of each group five days a week from 5 November 2021 until 14 March 2022 (129 days) to approach equilibrium with a diet of known isotopic composition.
2.3. Diet Switch
Prior to switching from the silverside diet to the isotopically distinct diets, all the winter flounder were measured for length and mass and divided based on size classes. The winter flounder were then immersed in an oxytetracycline bath of 500 mg in 1 L of seawater for six hours to mark otoliths for age and growth studies [33].
Individuals were then randomly assigned to treatment tanks to redistribute the total body mass, and feeding quantities were adjusted based on the new total biomass in each tank. Two randomly selected organisms were sacrificed, and tissues were excised and frozen to confirm that isotopic equilibrium had been approached with the silverside diet.
The remaining 12 individuals in each group (n = 24 in total) were given either commercially purchased mysis shrimp (San Francisco Bay Brand Inc., San Franscisco, CA, USA) or krill (Hikari Sales USA, Inc., Hayward, CA, USA), which were confirmed to be isotopically distinct and verified as successful in-captivity diets through a literature review. The mysis contained 6% crude protein and less than 0.5% crude fat, while the krill contained 3.2% crude protein and a minimum of 0.5% crude fat. A control group was not included because it is accepted that fish kept on a constant diet do not have isotopic value changes [31]. The fish were sacrificed, and tissues were excised and frozen at times (ti) 7, 21, 42, 70, 105, and 147 d after the diet switch. Samples of the diets were also analyzed at the start of the experiment to confirm the consistent stable isotope composition (Figure 1).
Figure 1.
Graphical representation of the experimental method, from winter flounder acquisition to diet equilibration, diet switch, and tissue sampling. Unforeseen natural mortalities occurred on November 18, 2021 (n = 3); 20 November 2021 (n = 1); and 22 November 2021 (n = 2). Masses, lengths, and photographs were taken upon discovering the mortalities, and the organisms were placed in the storage freezer until further processing for stable isotope analysis. From 22 November, there were 13 individuals in each experimental tank. These 26 total individuals were fed an adjusted diet comprising 5% of the total tank biomass in commercially purchased silversides until Day 0 of the diet switch experiment. Winter flounder are known to decrease feeding and metabolizing over the winter, so it was expected that minimal growth would occur during this season.
2.4. Stable Isotope Sample Preparation and Analysis
The frozen fish were thawed using tap water [31,32], and the total length (mm) and mass (g) of the individuals were measured. The otoliths were then removed for growth analysis [33], and muscle, skin, liver, and digestive tissues were excised and dried in a freeze drier (Labconco, Kansas City, MO, USA) for 48 hours at −4 °C. These tissues were chosen because they represent a range of metabolic activity that contributes to isotopic turnover [14]. The dried tissues were then ground into a fine powder, and a homogenized subsample of ~0.8–1.2 mg was packaged in a 4 mm × 6 mm tin capsule for stable isotope analysis.
Δ15N and δ13C values, ‰ carbon, and ‰ nitrogen were measured on an Isoprime isotope ratio mass spectrometer (Elementar, Ronkonkoma, NY, USA) at the University of New Hampshire Stable Isotope Laboratory. The masses of carbon and nitrogen in the powdered tissue samples were measured and converted to moles to calculate the final C:N ratio. Isotope data (precision ~0.2‰) were reported relative to Vienna Pee Dee Belemnite (VPDB) and atmospheric N2 for carbon and nitrogen, respectively, in δ notation as follows:
where X is 13C or 15N, and R is the ratio of 13C/12C or 15N/14N [6,34].
δX = [(Rsample/Rstandard) − 1] × 1000
2.5. Modeling
All the statistical analyses were performed in RStudio (version 4.0.3, R Foundation for Statistical Computing) and in PRISM (GraphPad, version 9.1.2, 225, San Diego, CA, USA). To evaluate growth over the course of the experiment, changes in mass for each fish were estimated using the growth model established by Fry and Arnold (1982) [15]:
where WR represents the growth relative to the initial mass when the final mass, Wt, is divided by the initial mass, Wi.
WR = Wt/Wi
The isotopic turnover in each tissue was modeled as a function of time after the diet switch had occurred, where day 7 after the diet switch was used as the starting point. The tissue turnover rate was assessed using the Hesslin et al. (1993) time-based model [35]:
where δi represents the mean initial isotope value at day 7 of the diet switch, δf represents the final isotope value of the tissue at day 147, k represents the exponential growth constant, and m is the coefficient of the isotopic turnover. K was unable to be calculated as the winter flounder experienced minimal growth over the experimental period; therefore, k values were estimated from a diet switch that used a similar model species [12]. High (k = 0.01), low (k = 0.001), and zero (k = 0) exponential growth constants were selected to cover a range of potential growth. When fitted to a curve, δi was constrained to the mean isotope value at day 7, and δf was constrained to the mean isotope value at day 147. Each tissue and isotope were assessed at each k value to estimate the effect of using different growth rates. Growth-based turnover rates were then derived from the time-based model estimates of δf to determine the length of time needed to achieve a percentage turnover in C and N. This was calculated using the model established by Tieszen et al. (1983) [36]:
where the variables are the same as those in Equation 1. Growth-based turnover rates were evaluated for both α = 50%, representing the amount of growth needed for a 50% conversion from the initial isotope values to the final isotope values, and α = 95%, representing the amount of growth needed for a full-tissue turnover. The percentage contribution of the metabolic turnover (MTO) to the overall tissue turnover was determined with the equation:
δt = δf + (δi – δf)e − (k + m)t
Tα/100 = ln (1 − α/100)/(k + m)
MTO = m/k + m
Under each diet, each tissue was assessed for discrimination factors of ∆13C and ∆15N between the tissue and diet, using an equation established by Minagawa and Wada [37]:
where δtissue and δdiet represent the final stable isotope value of the tissue at day 147 and mean isotope value of the diet, respectively.
∆tissue = δtissue – δdiet
3. Results
3.1. Experimental Design
The environmental data revealed low temperatures, particularly during the winter months, ranging from 2.1 to 17 °C in Tank A and from 3.8 to 17 °C in Tank B. Generally, consistent salinity (mean/s.d.) and DO levels were recorded in both Tank A and Tank B (Figure 2).
Figure 2.
Temperature, salinity, and dissolved oxygen parameters through the duration of the feeding experiment. Red dashed line indicates the date of the diet switch (t = 0). Tank A was switched to krill, and Tank B was switched to mysis shrimp.
Across the experimental period, minimal growth occurred in either the mass or length of each fish, with Wr values < 1 indicating mass loss (Table 1).
Table 1.
Summary of sampling regime for P. americanus during experimental feeding trial, including total length initial (TLi, cm), total length final (TLt, cm), initial mass (Wi, g), final mass (Wt, g), mass change (WR, g), time point of sampling (t, days), and treatment (Tx).
The wild winter flounder were given a diet of silversides, with an average δ15N value of 20.2‰ and an average δ13C value of −28.4‰, to equilibrate isotopic values in the tissues for 129 days. Following the stabilization period, the δ15N values of the wild winter flounder increased, while δ13C values decreased to approach the isotopic values of the initial diet in all the tissues (Figure 3).
Figure 3.
Biplots displaying average δ13C vs. δ15N values of each tissue sampled when fish were first transferred to the laboratory, to represent wild fish at day 0 (solid symbols), and after 129 days on the stabilizing diet of silverside (open symbols). Solid circles represent the isotopic values of the silverside (black), krill (dark gray), and mysis (light gray) diets fed to the fish.
3.2. Diet Switch
Following the stabilization period, the fish were randomized and placed in two experimental groups, where Tank A was given krill, and Tank B was given mysis shrimp. For Tank A fish, 148 days on the krill diet resulted in a substantial decrease in δ15N values. All the tissues decreased in δ15N values to approach the δ15N value of the krill at 5.12‰ (±0.2). Apart from the liver tissues, the δ13C values in the other tissues similarly decreased to approach the δ13C values of the krill at −26.2‰ (±1.1). Interestingly, the liver tissues had a slight increase in the δ13C value from an average of −26.31‰ (±1.04) to −25.75‰ (±2) (Table 2, Figure 4).
Table 2.
Initial (t = 7) and final (t = 148) isotope values and C:N ratios for δ15N and δ13C in each tissue in winter flounder given a diet from silverside to krill.
Figure 4.
Biplots displaying average (±standard deviation) δ13C vs. δ 15N values of each tissue sampled on days t = 7 (solid) and t = 148 (outlined) for the fish on the mysis (b) and krill (a) diets. Black circles represent the isotopic values of the diet. Solid symbols represent isotopic values on day 7, and open symbols represent isotopic values on day 147.
For the Tank B fish on the mysis diet, the δ15N values did decrease, but less substantially than those in the Tank A fish. After 148 days on the mysis shrimp diet, the δ15N value of all the tissues decreased to approach that of the diet at 10.2‰ (±0.2). The δ13C values did substantially increase in all the fish tissues, in some cases increasing above the average δ13C value of the diet at −21.2‰ (±0.2) (Table 3, Figure 4).
Table 3.
Initial (t = 7) and final (t = 148) isotope values and C:N ratios for δ15N and δ13C in each tissue in winter flounder switched from a diet of silverside to mysis.
3.3. Modeling
For each diet, the isotopic turnover in δ15N and δ13C in each tissue was modeled as a function of time, using non-linear curve fitting for high, low, and zero growth coefficients (k) to determine the coefficient of the isotopic turnover (m) and the time required to turn over 50% (t50) and 95% (t95). The isotope turnover rates were the same regardless of the growth rate used in the model; therefore, only the medium k = 0.001 results are reported as this scenario most closely resembled actual fish growth. The model in the low growth scenario fit the data well for δ15N, with r2 values ranging from 0.60 to 0.91 for both diets. The Δ13C models did not fit the data as well, with r2 values ranging from 0.04 to 0.75 for the krill diet and from 0.34 to 0.91 for the mysis diet (Table 4).
Table 4.
Estimated tissue turnover rates t50 and t95 (days) for winter flounder switched to a diet of krill or mysis for 148 days, with an exponential growth constant of k = 0.001. Here, m is the coefficient of the isotopic turnover, r2 indicates the model fit, t50 is the number of days required for 50% of the isotopic turnover to occur, and t95 is the number of days required for 95% of the isotopic turnover to occur. The percentage contribution of the metabolism to the tissue turnover (MTO) ranged from 85 to 98%. The carbon model parameters for the liver tissues in the krill-fed fish were unstable (italic font).
3.4. Nitrogen
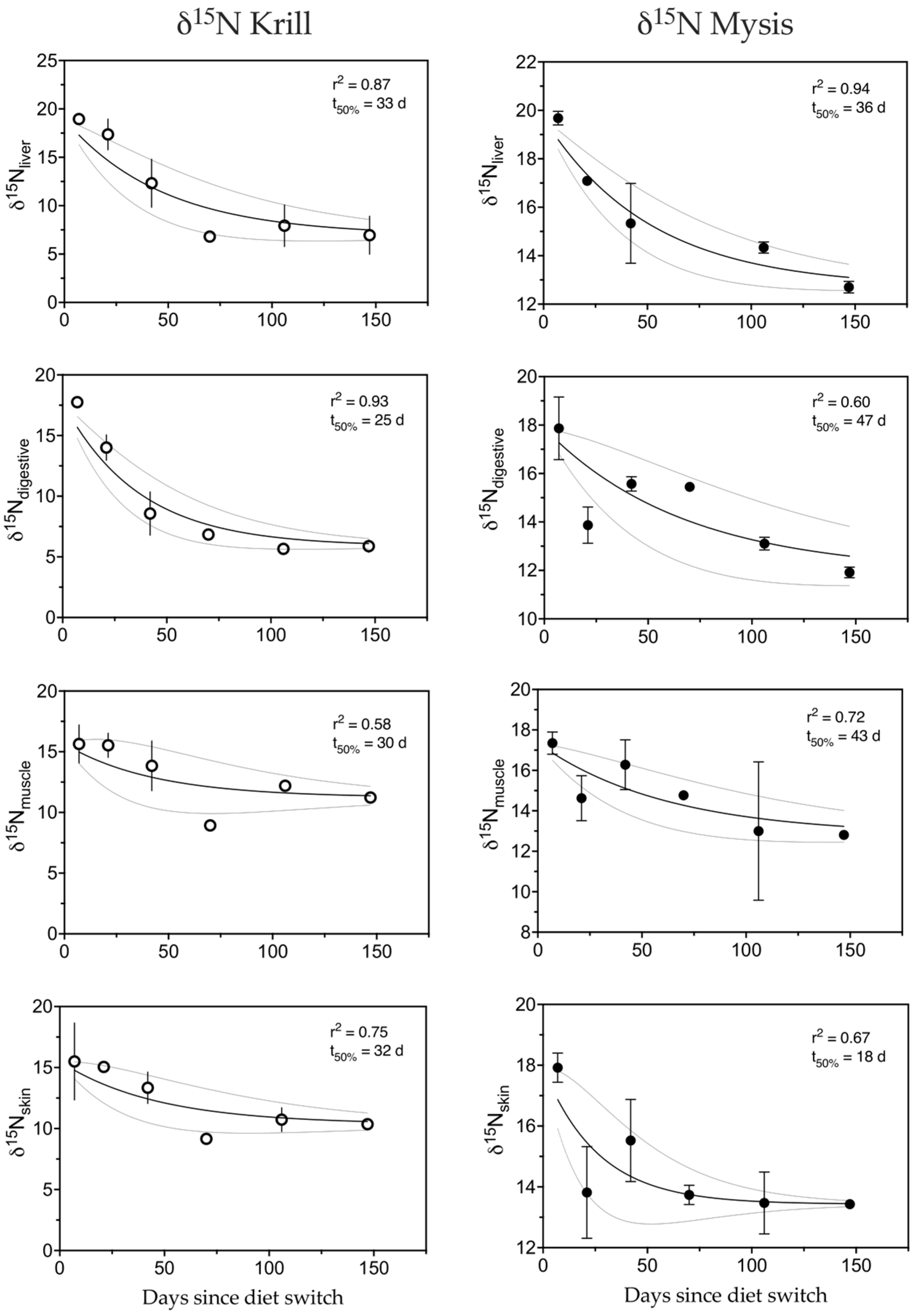
The coefficient of the isotopic turnover, m, was higher in all the tissues for the fish in Tank A on the krill diet compared to those on the mysis diet, except for the skin tissue, where m was substantially higher for the fish in Tank B. The rate of tissue turnover varied between the diets. For the Tank A fish fed the krill, the turnover in δ15N was the fastest in the digestive tissues (t50 = 25), followed by the muscle (t50 = 30), skin (t50 = 32), and, finally, the liver (t50 = 33) as the slowest. The Tank B fish fed the mysis had a different hierarchy, with the turnover occurring slower in all the tissues except the skin when compared with the Tank A fish. For the Tank B fish, the slowest turnover occurred in the digestive tissue (t50 = 47), followed by the muscle (t50 = 43), liver (t50 = 36), and, finally, the skin (t50 = 18), with the quickest among all the tissues for both treatments. (Table 2, Figure 5).
Figure 5.
Isotopic turnover in δ15N values for each tissue modeled as a function of time after the diet switch had occurred across the 147-day experimental period for fish fed krill (left, open circles) and mysis (right, solid circles). Growth-based turnover rates were then derived from the time-based model estimates to determine t50 for each tissue (top right corner); 95% confidence intervals and r2 values are included to indicate model fit.
The contribution of the metabolism (MTO) to the overall tissue turnover was substantial for both experimental groups. The metabolism accounted for a range of 95–96% for the fish given the krill and from 93 to 97% for fish fed the mysis (Table 2).
3.5. Carbon
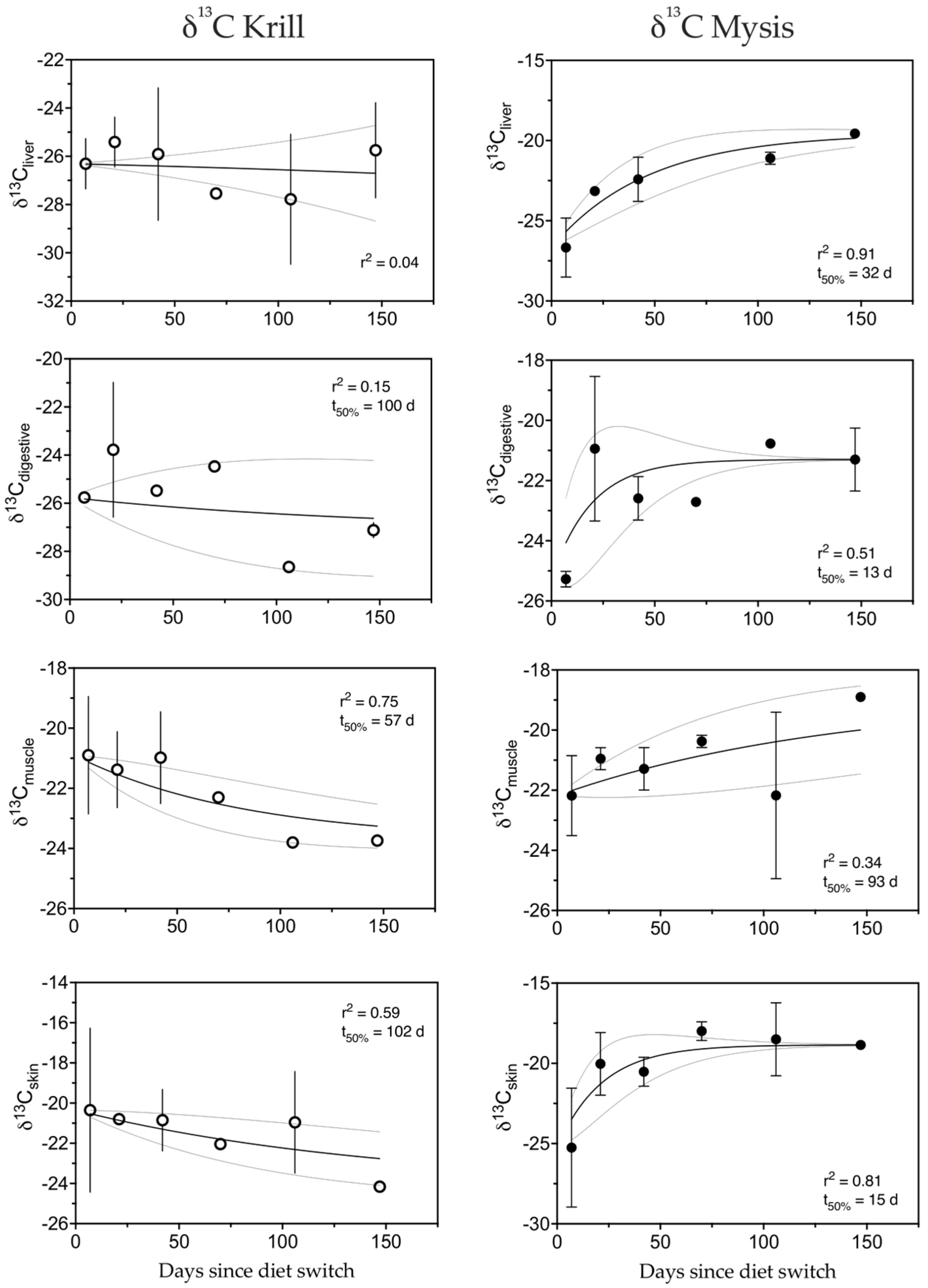
The coefficient of the isotopic turnover, m, was lower in all the tissues for the fish in Tank A on the krill diet compared to those on the mysis diet, except for the muscle tissue, where m was substantially lower for the fish in Tank B. The rate of tissue turnover was highly variable between the diets, particularly between the tissues of the fish in Tank B. For the Tank A fish fed the krill, the turnover in δ13C was fastest in the muscle tissues (t50 = 57), followed by the digestive (t50 = 100) and skin (t50 = 102) tissues. The liver tissues exhibited an uneven pattern of turnover, resulting in negative turnover rates. The turnover in δ13C for the fish in tank B on the mysis diet occurred much quicker compared to those in tank A and showed a different hierarchy. The turnover occurred very quickly in the digestive tissues (t50 = 13) and skin (t50 = 15), followed by the liver (t50 = 32), and, finally, muscle tissue, with a much slower turnover (t50 = 93) (Table 2, Figure 6).
Figure 6.
Isotopic turnover in δ13C values in each tissue over time after the diet switch had occurred across the entire experimental period for fish on the krill (left, open circles) and mysis (right, solid circles) diets. Growth-based turnover rates were then derived from the time-based model estimates to determine t50 for each tissue (except for the liver tissue in the winter flounder on the krill diet); 95% confidence intervals and r2 values are included to indicate model fit.
The MTO for δ13C exhibited a greater range than the MTO for δ15N for both experimental groups across all four tissues. The metabolism accounted for a range of 85–92% for the fish given the krill, excluding the liver tissue. For the fish given the mysis, the MTO ranged from 86 to 98% for δ13C (Table 2).
3.6. Tissue Discrimination Factors
For the fish in tank A on the krill diet, TDFs (∆ δ15N and ∆ δ13C) ranged from 0.8 to 6.1 for δ15N and from 0.4 to 2.5 for δ13C. ∆ δ15N was the highest in the muscle tissue, followed by the skin, liver, and digestive tissues. The opposite trend was found for ∆ δ13C; the muscle tissue had the highest TDF value, followed by the skin, liver, and digestive tissues.
Different TDFs were found for the fish in tank B given the mysis, where ∆ δ15N values ranged from 1.72 to 3.22 and ∆ δ13C values ranged from −0.15 to 2.45. In this group, both ∆ δ15N and ∆ δ13C values were the highest in skin, followed by the muscle, liver, and digestive tissues (Table 5).
Table 5.
Tissue discrimination factors (TDF = δtissue final–δdiet) for δ15N and δ13C values in each tissue in winter flounder on the krill and mysis diets.
4. Discussion
This study estimated isotopic turnover rates in four different tissues for juvenile winter flounder, using a controlled diet-switch experiment. Our results exemplify how a diet change results in isotopic tissue turnover; however, the mechanism of the isotopic turnover differs from those in previous studies on flounder species [14]. The winter flounder in this study experienced minimal growth, preventing the calculation of an exponential growth constant (k) as there was little to no change in the average total lengths and masses of the fish sampled over time. Values for k were, therefore, estimated from a diet switch in a model marine species, the juvenile Atlantic croaker (Micropogonias undulatus) [12] to model tissue turnover in high-, low-, and no-growth scenarios. Our winter flounder did not exhibit high growth during the experimental period; therefore, we present and discuss the low-growth scenario (k = 0.001) as it most closely resembles the actual experimental conditions. Owing to the lack of growth, the isotopic turnover that occurred during this study can be attributed to metabolic activity in existing tissues as opposed to the production of new tissues, in contrast with previous studies on juvenile winter flounder [14].
4.1. Tissue Turnover
4.1.1. Nitrogen
As expected, the rates of tissue turnover varied among tissues in relation to differences in metabolic activity. For the fish on the krill diet, the digestive tissue had the shortest half-life (26 days), followed by the skin (32 days) and muscle (30 days), with the longest half-life in the liver tissue (33 days); however, the turnover rates were very similar within 20–30 days for each tissue. Although we would expect the most metabolically active tissue to have the quickest turnover, Matley et al. [38] found that when the isotopic turnover was influenced primarily by the metabolism in adult, non-growing coral groupers (Plectropomus leopardus), the skin did, in fact, have the shortest half-life, while muscle had the longest turnover.
In contrast, the winter flounder given the mysis diet had the quickest turnover in skin tissues (18 days), followed by the liver (36 days) and muscle (43 days), with the slowest turnover in digestive tissues (47 days). The results for the winter flounder on the mysis diet are more consistent with those in previous work on various flounder species. A similar laboratory diet-switch study found consistency in isotopic turnover rates, where the liver tissue always had the shortest half-life (10 days) and the muscle tissue the slowest (85 days) [10]. In that previous study, the muscle tissue turnover was indicated to have been a result of growth processes, while similar time-based models that explored MTO attributed the isotopic turnover in the liver to be over 90% owing to metabolic activity. The MTO values reported herein are consistent with Buchheister and Latour’s [10] findings; and the fish in our study still exhibited isotopic turnover, while they did not experience substantial growth.
The variable turnover rates among the different tissues that were sampled can be attributed to the variability in the biochemical composition as well as the anabolic and catabolic processes responsible for the metabolic process [10,39,40]. In the low-growth scenario, the percentage that the metabolism contributed to the overall turnover (MTO) was consistently between 93 and 97% for both diets, indicating that metabolic activity, as opposed to growth, is the primary mechanism behind the tissue turnover in this study. Therefore, different turnover rates between tissues can be attributed to the different metabolic activity that governs each tissue. For example, the liver provides regulatory activity and, thus, has a continuous protein turnover, while muscle and skin, as structural tissues, have relatively low turnovers when growth is minimal [38,41,42]. Indeed, previous work has demonstrated the increased contribution of catabolism in isotopic turnover in fish liver tissues compared with muscle and skin tissues [42,43].
That said, the only other previous study on winter flounder in a controlled setting reported growth as the primary factor contributing to tissue turnover [14]; however, that study estimated the initial masses of small fish undergoing metamorphosis, using a regression approach as opposed to tracking actual fish growth. Additionally, Bosley et al. [14] controlled for the variable of temperature, which allowed for the promotion of growth, while our study followed the natural fluctuations in the ambient estuary temperature, resulting in average temperatures that are below the range needed for development and growth.
These discrepancies could explain the differences between this study and previous work on flounder, which may have limited the fish in this experiment to reach maximum growth rates, particularly with respect to the temperature range. Ectothermic organisms that rely on external temperatures for metabolic regulation are known to have inconsistent growth patterns yearly. Perga and Gerdeaux [44] demonstrated that when temperatures were too low to support growth, isotopic turnover still occurred in metabolically active liver tissues, while muscle tissues continued to reflect food consumed during times of growth. Similarly, arctic cod (Boreogadus saida) have rapid isotopic turnover in tissues that are otherwise considered to have a slow turnover, particularly when growth is limited [40]. When the anabolic synthesis of new tissues is not the primary function of the tissue turnover, catabolic processes that break down compounds from the diet may contribute to the increased rates of protein turnover seen in both that study and for the winter flounder given the krill in our study.
The differences in turnover rates between the two experimental groups may be due to differences in protein and lipid composition between the krill and mysis diets, as well as the efficiency with which flounder are able to digest and assimilate the different prey items. The dietary nitrogen content is known to affect both the tissue fractionation and isotope turnover [45], while the dietary quality has an additional influence on tissue turnover rates [12]. The dietary variation in the protein content and the composition of amino acids differ in their assimilation in tissue maintenance and mobilization in different tissue components, while the excretion of heavier isotopes through cellular metabolism can vary between different tissues [6]. Therefore, it is reasonable to hypothesize that the amino acid composition and isotopic differences between the mysis and krill are related to the metabolic processes influencing the turnover in nitrogen isotopes.
In terms of isotopic values, the krill used in this study were substantially depleted in δ15N relative to the mysis that were used. The larger difference between the base δ15N values in winter flounder tissues and the krill diet compared to the base winter flounder δ15N values and the mysis diet could explain the discrepancy in turnover hierarchies between the two experimental groups. Indeed, a similar study on lab-reared Atlantic croaker showed that when a lower-quality protein, lower δ15N-value diet was used, isotopic signals of dietary change were harder to detect [46]. The krill used in this study contained less protein and more lipids than the mysis and resulted in tissue turnover rates that strayed from the anticipated hierarchy. Although this may have been a mechanism behind the different hierarchy of the tissue turnover between the two diets, further research would be warranted to explore the relationships between the diet and metabolism or assimilation of specific amino acids to synthesize or maintain tissues. As the biochemical mechanisms of isotopic incorporation can vary based on the diet quality, future work should consider these relationships when applying stable isotope analysis in the field.
4.1.2. Carbon
The patterns of δ13C turnover were not as clear as those of δ15N; however, modeling still revealed differences between the four tissues that were sampled and the two diets that were used. Unexpectedly, the fish on the krill diet exhibited muscle tissue with the quickest turnover of δ13C (57 days), followed by the digestive (100 days) and skin (102 days) tissues. The liver isotopic turnover rates of δ13C values for the fish on the krill diet were unable to be estimated; this could be due to the similarity between the base values for δ13C and the dietary δ13C, where the liver tissue started at −26.3‰, and the krill that were used had a δ13C value of −26.2‰, leading to the inability to detect a clear turnover through modeling. In a similar diet-switch experiment, the insignificant magnitude of the differences between the base diet and the experimental diet did, indeed, prevent turnover measurements [47]. Additionally, lipid-heavy diets, such as the krill that were used in this study (>0.5%), are known to be depleted in 13C [8], resulting in decreased δ13C values. The lipid contents of this diet may have influenced the δ13C dynamics, complicating the ability to detect clear patterns of isotopic turnover.
In contrast, the δ13C value of mysis that were used was distinctly enriched relative to the base δ13C values in the fish tissues, which was clearly reflected in the isotopic turnover in all the tissues across the experimental period. The mysis shrimp used in this study had a δ13C value of −21.2‰, providing an ample difference between the starting δ13C value of −29.6‰ from the initial diet. For the tank B fish given the mysis, the muscle tissues did have the expected slowest turnover (93 days), followed by the liver tissue (32 days), while the skin (15 days) and digestive (13 days) tissues turned over relatively quickly. Indeed, Buchheister and Latour [10] demonstrated that the half-lives of δ13C in the liver were substantially shorter (20 days) compared to the muscle δ13C half-lives (297 days).
The discrepancies between the half-life hierarchies in our two experimental groups and between this study and previous work could be a mechanism of the minimal growth of winter flounder in the experimental period. Watanabe et al. [31] concluded that changes in carbon isotope ratios are directly related to the growth rates of the fish after a diet change, particularly for tissues that are highly reliant upon nutritional conditions. Therefore, when nutritional differences exist between diets that affect growth, changes in δ 13C values may not be as readily apparent compared to changes in δ15N values. Overall, the large differences between the turnover times with respect to δ 13C values indicates the importance of considering the tissue, time of year, and stage of maturity when applied to field studies.
4.2. TDF
One of the primary considerations in stable isotope studies is the fractionation between the diet and the organism, where typical teleost fish are considered to have a 3.4‰ fractionation for δ15N values and a 0.4‰ fractionation for δ13C values [9]. More recent isotopic analyses have also explored tissue-specific discrimination factors, where species-specific and tissue-specific differences have been demonstrated [12,38,48,49,50].
The ∆ δ15N values fell within the range of accepted values for the variety of tissues used in both experimental groups. The Tank A fish given the krill ranged from 0.8 to 1.9‰ in quicker-turnover tissues and from 5.3 to 6.1‰ in slower-turnover tissues. The Tank B fish had a lower range from 1.7 to 3.2‰ across all the tissues. The larger range of values between the tissues for the fish on the krill diet compared to the fish given the mysis was unsurprising given the magnitude of the difference between the initial diets of silverside (δ15N = 20) and krill (δ15N = 5) compared to the mysis (δ15N = 10).
Our ∆ δ15N values agree with reported ∆ δ15N values from similar studies, where Atlantic croaker ranged from 3 to 6.5‰ [12], summer flounder ranged from 2.1 to 2.5‰ [10], and 3.5–3.7‰ was observed for marbled flounder [13,22]. Our large range of ∆ δ15N values reflects the range of tissues used in this study. As it takes longer for tissues such as muscle to equilibrate to the diet, high TDF values in those tissues would be expected owing to the greater magnitude of the difference between the δ15N values in tissues and that of the diet. Indeed, our ∆ δ15N hierarchy (Δ15Ndigestive < Δ15Nliver < Δ15Nskin < Δ15Nmuscle) matches previous work that demonstrates ∆ δ15N values are lower in quicker-turnover tissues, such as the liver, compared to slower tissues, such as muscle [10,38,41,51]. Although few studies have compared this range of tissues and diets in a lab setting, the known biochemical differences across these tissues contribute to the range of TDFs found in this study.
Unsurprisingly, the range of ∆ δ13C values was much narrower compared to that of ∆ δ15N values. TDFs for δ13C were also far more similar between diets compared to the range of ∆ δ15N values. The initial base diet had an average δ13C value (−29.6‰) that was closer to the dietary δ13C values of krill (−26.2‰) and mysis (−21.2‰). As the magnitude of the difference is lower for δ13C compared to δ15N between the two diets, all the tissues were closer to equilibrium and, therefore, had lower TDF values in general. Our range of ∆ δ13C values matches closely with that in previous work showing a range from 0 to 4‰ among tissues [12,38,52] and reflects the biochemical differences of untreated tissues. High lipid contents in liver and digestive tissues influence δ13C depletion in those tissues relative to the more proteinaceous muscle and skin tissues. This is likely the mechanism behind the hierarchy of ∆ δ13C values (Δ13Cdigestive < Δ13Cliver < Δ13Cmuscle < Δ13Cskin) and is corroborated by ∆ δ13C values found in previous work [10,12,38,53].
5. Conclusions
This study quantified the isotopic turnover rates in multiple tissues of winter flounder. For fish experiencing minimal growth, we show that isotopic turnover can still occur as a function of the metabolic activity governing the cellular processes of catabolism in various tissues. We demonstrated that the magnitude of the difference between the base isotope values and dietary isotope values and the nutritional composition of the diet influence the rate of isotopic turnover in the tissues. For δ15N values, the winter flounder in this study showed the fastest equilibration with the diet that had the largest difference first in the digestive tissues, followed by the muscle and skin tissues, and the liver tissue showed the slowest equilibration. Similarly, δ13C showed a more consistent equilibration with the diet when the largest discrepancy existed first in the digestive tissues, followed by the skin, liver, and muscle tissues. We demonstrated that the nutritional composition of the diet will influence the turnover rates, where a more lipid-enriched diet can impact the δ13C values if not treated, and a higher-protein diet can influence the δ15N dynamics. The results of this study can be applied to future field studies to improve the accuracy in determining dietary sources when considering multiple tissues with variable turnover rates.
Author Contributions
Conceptualization, A.L.B. and J.A.M.; methodology, A.L.B. and J.A.M.; software, A.L.B. and J.A.M.; validation, A.L.B. and J.A.M.; formal analysis, A.L.B., A.S.F. and J.A.M.; investigation, A.L.B., A.S.F. and J.A.M.; resources, A.L.B. and J.A.M.; data curation, A.L.B., A.S.F. and J.A.M.; writing—original draft preparation, A.L.B. and A.S.F.; writing—review and editing, A.L.B. and J.A.M.; visualization, A.L.B., A.S.F. and J.A.M.; supervision, J.A.M.; project administration, A.L.B. and J.A.M.; funding acquisition, A.L.B. and J.A.M. All authors have read and agreed to the published version of the manuscript.
Funding
This research was funded by the University of New England.
Institutional Review Board Statement
The procedures followed the University of New England IACUC protocol #072121-018.
Data Availability Statement
All relevant data are within the paper.
Acknowledgments
The authors would like the thank the students in the Mohan Shark and Fish Ecology Lab, Tim Arienti for his help in designing the tanks, Brittney Bull for her help with the fish processing, the UNH Stable Isotope Facility for processing the samples, and the University of New England for providing funding for this experiment.
Conflicts of Interest
The authors declare no conflict of interest.
References
- Fry, B.; Sherr, E.B. δ13C measurements as indicators of carbon flow in marine and freshwater ecosystems. In Stable Isotopes in Ecological Research; Springer: Berlin/Heidelberg, Germany, 1989; pp. 196–229. [Google Scholar]
- Fry, B. Stable Isotope Ecology; Springer: Berlin/Heidelberg, Germany, 2006. [Google Scholar]
- Frédérich, B.; Colleye, O.; Lepoint, G.; Lecchini, D. Mismatch between shape changes and ecological shifts during the post-settlement growth of the surgeonfish, Acanthurus triostegus. Front. Zool. 2012, 9, 1–9. [Google Scholar] [CrossRef]
- Glibert, P.M.; Middelburg, J.J.; McClelland, J.W.; Jake Vander Zanden, M. Stable isotope tracers: Enriching our perspectives and questions on sources, fates, rates, and pathways of major elements in aquatic systems. Limnol. Oceanogr. 2019, 64, 950–981. [Google Scholar] [CrossRef]
- Hobson, K.A.; Wassenaar, L.I.; Taylor, O.R. Stable isotopes (δD and δ 13C) are geographic indicators of natal origins of monarch butterflies in eastern North America. Oecologia 1999, 120, 397–404. [Google Scholar] [CrossRef]
- Peterson, B.J.; Fry, B. Stable isotopes in ecosystem studies. Annu. Rev. Ecol. Syst. 1987, 18, 293–320. [Google Scholar] [CrossRef]
- Schoeninger, M.J.; DeNiro, M.J. Nitrogen and carbon isotopic composition of bone collagen from marine and terrestrial animals. Geochim. Cosmochim. Acta 1984, 48, 625–639. [Google Scholar] [CrossRef]
- DeNiro, M.J.; Epstein, S. Influence of diet on the distribution of carbon isotopes in animals. Geochim. Cosmochim. Acta 1978, 42, 495–506. [Google Scholar] [CrossRef]
- Post, D.M. Using stable isotopes to estimate trophic position: Models, methods, and assumptions. Ecology 2002, 83, 703–718. [Google Scholar] [CrossRef]
- Buchheister, A.; Latour, R.J. Turnover and fractionation of carbon and nitrogen stable isotopes in tissues of a migratory coastal predator, summer flounder (Paralichthys dentatus). Can. J. Fish. Aquat. Sci. 2010, 67, 445–461. [Google Scholar] [CrossRef]
- Herzka, S.Z. Assessing connectivity of estuarine fishes based on stable isotope ratio analysis. Estuar. Coast. Shelf Sci. 2005, 64, 58–69. [Google Scholar] [CrossRef]
- Mohan, J.A.; Smith, S.D.; Connelly, T.L.; Attwood, E.T.; McClelland, J.W.; Herzka, S.Z.; Walther, B.D. Tissue-specific isotope turnover and discrimination factors are affected by diet quality and lipid content in an omnivorous consumer. J. Exp. Mar. Biol. Ecol. 2016, 479, 35–45. [Google Scholar] [CrossRef]
- Hamaoka, H.; Sogabe, A.; Omori, K. Spatial variation of carbon and nitrogen stable isotope ratios in Japanese anchovy, Engraulis japonicus, in the eastern Seto Inland Sea, Japan. Aquac. Sci. 2016, 64, 333–338. [Google Scholar]
- Bosley, K.L.; Witting, D.A.; Chambers, R.C.; Wainright, S.C. Estimating turnover rates of carbon and nitrogen in recently metamorphosed winter flounder Pseudopleuronectes americanus with stable isotopes. Mar. Ecol. Prog. Ser. 2002, 236, 233–240. [Google Scholar] [CrossRef]
- Fry, B.; Arnold, C. Rapid 13 C/12C turnover during growth of brown shrimp (Penaeus aztecus). Oecologia 1982, 54, 200–204. [Google Scholar] [CrossRef]
- Pecquerie, L.; Nisbet, R.M.; Fablet, R.; Lorrain, A.; Kooijman, S.A.L.M. The impact of metabolism on stable isotope dynamics: A theoretical framework. Philos. Trans. R. Soc. B Biol. Sci. 2010, 365, 3455–3468. [Google Scholar] [CrossRef] [PubMed]
- MacAvoy, S.E.; Arneson, L.S.; Bassett, E. Correlation of metabolism with tissue carbon and nitrogen turnover rate in small mammals. Oecologia 2006, 150, 190–201. [Google Scholar] [CrossRef]
- Herzka, S.Z.; Holt, S.A.; Holt, G.J. Documenting the settlement history of individual fish larvae using stable isotope ratios: Model development and validation. J. Exp. Mar. Biol. Ecol. 2001, 265, 49–74. [Google Scholar] [CrossRef]
- Link, J.S.; Bolles, K.; Milliken, C.G. The feeding ecology of flatfish in the Northwest Atlantic. J. Northwest Atl. Fish. Sci. 2002, 30, 1–17. [Google Scholar] [CrossRef]
- Witting, D.A.; Chambers, R.C.; Bosley, K.L.; Wainright, S.C. Experimental evaluation of ontogenetic diet transitions in summer flounder (Paralichthys dentatus), using stable isotopes as diet tracers. Can. J. Fish. Aquat. Sci. 2004, 61, 2069–2084. [Google Scholar] [CrossRef]
- Tominaga, O.; Uno, N.; Seikai, T. Influence of diet shift from formulated feed to live mysids on the carbon and nitrogen stable isotope ratio (δ13C and δ15N) in dorsal muscles of juvenile Japanese flounders, Paralichthys olivaceus. Aquaculture 2003, 218, 265–276. [Google Scholar] [CrossRef]
- Hamaoka, H.; Shoji, J.; Hori, M. Turnover rates of carbon and nitrogen stable isotopes in juvenile marbled flounder Pleuronectes yokohamae estimated by diet switch. Ichthyol. Res. 2016, 63, 201–206. [Google Scholar] [CrossRef]
- Wargo, A.M.; Tilburg, C.E.; Driggers, W.B.; Sulikowski, J.A. Observations on the distribution of ichthyoplankton within the Saco River estuary system. Northeast. Nat. 2009, 16, 647–654. [Google Scholar] [CrossRef]
- Reynolds, W.W.; Casterlin, M.E. Vagile macrofauna and the hydrographic environment of the Saco River Estuary and adjacent waters of the Gulf of Maine. Hydrobiologia 1985, 128, 207–215. [Google Scholar] [CrossRef]
- Pereira, J.J. Essential Fish Habitat Source Document. Winter Flounder, Pseudopleuronectes americanus, Life History and Habitat Characteristics; Diane Publishing: Collingdale, PA, USA, 1999. [Google Scholar]
- Hammer, L.J.; Furey, N.B.; Koh, W.Y.; Sulikowski, J.A. Movements of juvenile Winter Flounder in a southern Maine estuary. Northeast. Nat. 2020, 27, 502–519. [Google Scholar] [CrossRef]
- Furey, N.B.; Sulikowski, J.A. The fish assemblage structure of the Saco River estuary. Northeast. Nat. 2011, 18, 37–44. [Google Scholar] [CrossRef]
- Perry, A.L.; Low, P.J.; Ellis, J.R.; Reynolds, J.D. Climate change and distribution shifts in marine fishes. Science 2005, 308, 1912–1915. [Google Scholar] [CrossRef]
- Hare, J.A.; Morrison, W.E.; Nelson, M.W.; Stachura, M.M.; Teeters, E.J.; Griffis, R.B.; Alexander, M.A.; Scott, J.D.; Alade, L.; Bell, R.J.; et al. A vulnerability assessment of fish and invertebrates to climate change on the Northeast US Continental Shelf. PLoS ONE 2016, 11, e0146756. [Google Scholar] [CrossRef] [PubMed]
- Brierley, A.S.; Kingsford, M.J. Impacts of climate change on marine organisms and ecosystems. Curr. Biol. 2009, 19, R602–R614. [Google Scholar] [CrossRef]
- Watanabe, Y.; Seikai, T.; Tominaga, O. Estimation of growth and food consumption in juvenile Japanese flounder Paralichthys olivaceus using carbon stable isotope ratio δ13C under laboratory conditions. J. Exp. Mar. Biol. Ecol. 2005, 326, 187–198. [Google Scholar] [CrossRef]
- Watanabe, S.; Isshiki, T.; Kudo, T.; Yamada, A.; Katayama, S.; Fukuda, M. Using stable isotope ratios as a tracer of feeding adaptation in released Japanese flounder Paralichthys olivaceus. J. Fish Biol. 2006, 68, 1192–1205. [Google Scholar] [CrossRef]
- Sogard, S.M. Interpretation of otolith microstructure in juvenile winter flounder (Pseudopleuronectes americanus): Ontogenetic development, daily increment validation, and somatic growth relationships. Can. J. Fish Aquat. Sci. 1991, 48, 1862–1871. Available online: http://ci.nii.ac.jp/naid/80006192043/en/ (accessed on 1 March 2022). [CrossRef]
- Coplen, T.B. Guidelines and recommended terms for expression of stable-isotope-ratio and gas-ratio measurement results. Rapid Commun. Mass Spectrom. 2011, 25, 2538–2560. [Google Scholar] [CrossRef] [PubMed]
- Hesslein, R.H.; Hallard, K.A.; Ramlal, P. Replacement of sulfur, carbon, and nitrogen in tissue of growing broad whitefish (Coregonus nasus) in response to a change in diet traced by δ34S, δ13C, and δ15N. Can. J. Fish. Aquat. Sci. 1993, 50, 2071–2076. [Google Scholar] [CrossRef]
- Tieszen, L.L.; Boutton, T.W.; Tesdahl, K.G.; Slade, N.A. Fractionation and turnover of stable carbon isotopes in animal tissues: Implications for δ13C analysis of diet. Oecologia 1983, 57, 32–37. [Google Scholar] [CrossRef] [PubMed]
- Minagawa, M.; Wada, E. Stepwise enrichment of 15N along food chains: Further evidence and the relation between δ15N and animal age. Geochim. Cosmochim. Acta 1984, 48, 1135–1140. [Google Scholar] [CrossRef]
- Matley, J.K.; Fisk, A.T.; Tobin, A.J.; Heupel, M.R.; Simpfendorfer, C.A. Diet-tissue discrimination factors and turnover of carbon and nitrogen stable isotopes in tissues of an adult predatory coral reef fish, Plectropomus leopardus. Rapid Commun. Mass Spectrom. 2016, 30, 29–44. [Google Scholar] [CrossRef]
- Logan, J.; Haas, H.; Deegan, L.; Gaines, E. Turnover rates of nitrogen stable isotopes in the salt marsh mummichog, Fundulus heteroclitus, following a laboratory diet switch. Oecologia 2006, 147, 391–395. [Google Scholar] [CrossRef]
- Ziegler, A.F.; Bluhm, B.A.; Renaud, P.E.; Jørgensen, L.L. Isotopic turnover in polar cod (Boreogadus saida) muscle determined through a controlled feeding experiment. J. Fish Biol. 2023, 102, 1442–1454. [Google Scholar] [CrossRef]
- MacNeil, M.A.; Drouillard, K.G.; Fisk, A.T. Variable uptake and elimination of stable nitrogen isotopes between tissues in fish. Can. J. Fish. Aquat. Sci. 2006, 63, 345–353. [Google Scholar] [CrossRef]
- Busst, G.M.A.; Britton, J.R. Tissue-specific turnover rates of the nitrogen stable isotope as functions of time and growth in a cyprinid fish. Hydrobiologia 2018, 805, 49–60. [Google Scholar] [CrossRef]
- Carleton, S.A.; Del Rio, C.M. Growth and catabolism in isotopic incorporation: A new formulation and experimental data. Funct. Ecol. 2010, 24, 805–812. [Google Scholar] [CrossRef]
- Perga, M.-E.; Gerdeaux, D. ‘Are fish what they eat’all year round? Oecologia 2005, 144, 598–606. [Google Scholar] [CrossRef] [PubMed]
- Bloomfield, A.L.; Elsdon, T.S.; Walther, B.D.; Gier, E.J.; Gillanders, B.M. Temperature and diet affect carbon and nitrogen isotopes of fish muscle: Can amino acid nitrogen isotopes explain effects? J. Exp. Mar. Biol. Ecol. 2011, 399, 48–59. [Google Scholar] [CrossRef]
- Lueders-Dumont, J.A.; Forden, A.G.; Kast, E.R.; Mohan, J.A.; Walther, B.D.; Sigman, D.M.; Ward, B.B. Controls on the nitrogen isotopic composition of fish otolith organic matter: Lessons from a controlled diet switch experiment. Geochim. Cosmochim. Acta 2022, 316, 69–86. [Google Scholar] [CrossRef]
- Seminoff, J.A.; Bjorndal, K.A.; Bolten, A.B. Stable carbon and nitrogen isotope discrimination and turnover in pond sliders Trachemys scripta: Insights for trophic study of freshwater turtles. Copeia 2007, 2007, 534–542. [Google Scholar] [CrossRef]
- Hussey, N.E.; MacNeil, M.A.; Fisk, A.T. The requirement for accurate diet-tissue discrimination factors for interpreting stable isotopes in sharks: Comment on: Stable isotope dynamics in elasmobranch fishes. Hydrobiologia 2010, 654, 1–5. [Google Scholar] [CrossRef]
- Colborne, S.F.; Fisk, A.T.; Johnson, T.B. Tissue-specific turnover and diet-tissue discrimination factors of carbon and nitrogen isotopes of a common forage fish held at two temperatures. Rapid Commun. Mass Spectrom. 2017, 31, 1405–1414. [Google Scholar] [CrossRef]
- Busst, G.M.A.; Britton, J.R. High variability in stable isotope diet–tissue discrimination factors of two omnivorous freshwater fishes in controlled ex situ conditions. J. Exp. Biol. 2016, 219, 1060–1068. [Google Scholar] [CrossRef]
- Suzuki, K.W.; Kasai, A.; Nakayama, K.; Tanaka, M. Differential isotopic enrichment and half-life among tissues in Japanese temperate bass (Lateolabrax japonicus) juveniles: Implications for analyzing migration. Can. J. Fish. Aquat. Sci. 2005, 62, 671–678. [Google Scholar] [CrossRef]
- Sweeting, C.J.; Jennings, S.; Polunin, N.V.C. Variance in isotopic signatures as a descriptor of tissue turnover and degree of omnivory. Funct. Ecol. 2005, 19, 777–784. [Google Scholar] [CrossRef]
- Trueman, C.N.; McGill, R.A.R.; Guyard, P.H. The effect of growth rate on tissue-diet isotopic spacing in rapidly growing animals. An experimental study with Atlantic salmon (Salmo salar). Rapid Commun. Mass Spectrom. Int. J. Devoted Rapid Dissem. Up-to-the-Minute Res. Mass Spectrom. 2005, 19, 3239–3247. [Google Scholar] [CrossRef]
Disclaimer/Publisher’s Note: The statements, opinions and data contained in all publications are solely those of the individual author(s) and contributor(s) and not of MDPI and/or the editor(s). MDPI and/or the editor(s) disclaim responsibility for any injury to people or property resulting from any ideas, methods, instructions or products referred to in the content. |
© 2023 by the authors. Licensee MDPI, Basel, Switzerland. This article is an open access article distributed under the terms and conditions of the Creative Commons Attribution (CC BY) license (https://creativecommons.org/licenses/by/4.0/).





